Determinants of Antibody Response to a Third SARS-CoV-2 mRNA Vaccine Dose in Solid Organ Transplant Recipients: Results from the Prospective Cohort Study COVAC-Tx
Abstract
:1. Introduction
2. Method
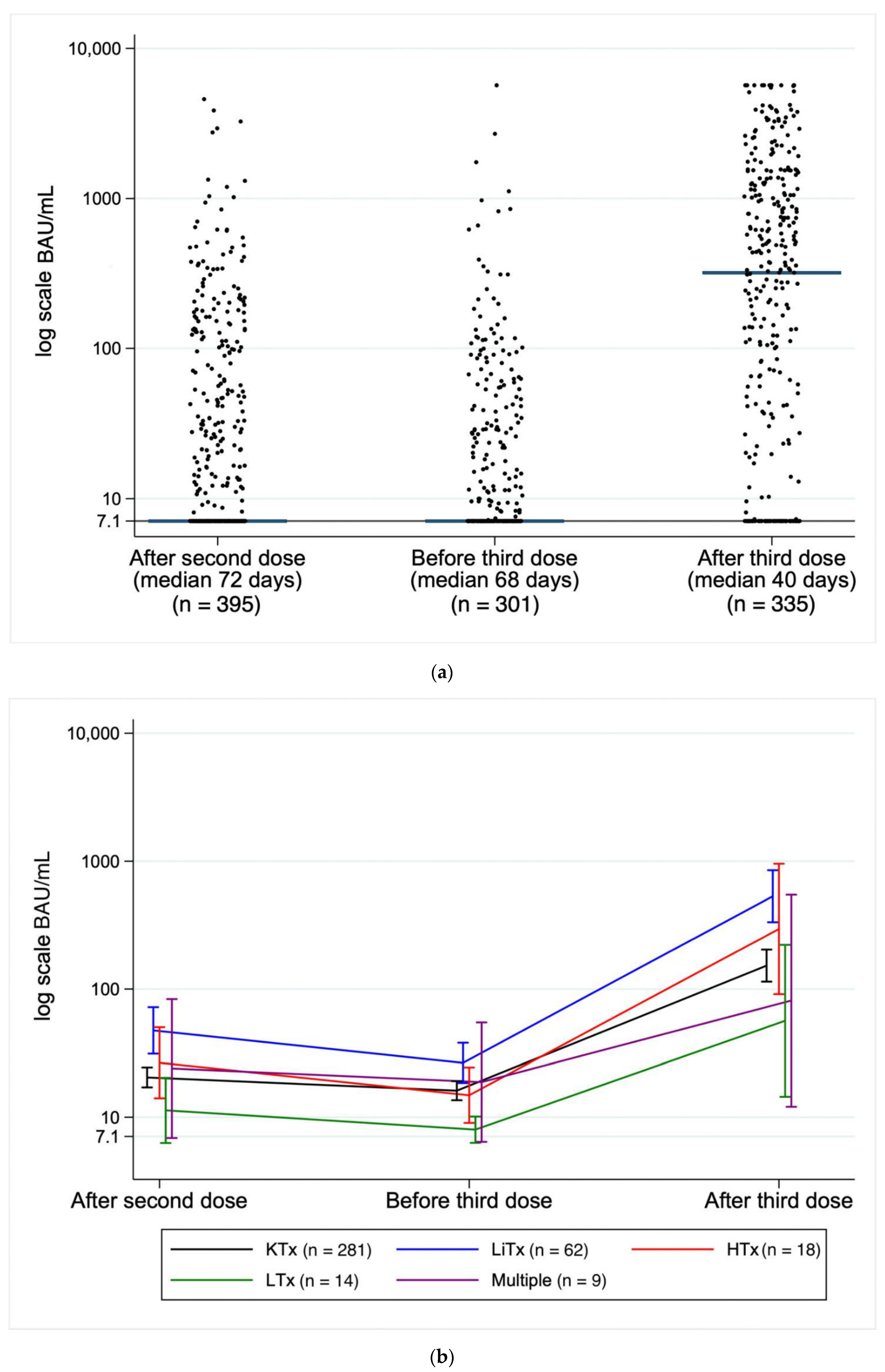
3. Results
4. Discussion
Author Contributions
Funding
Institutional Review Board Statement
Informed Consent Statement
Data Availability Statement
Acknowledgments
Conflicts of Interest
References
- Coll, E.; Fernández-Ruiz, M.; Sánchez-Álvarez, J.E.; Martínez-Fernández, J.R.; Crespo, M.; Gayoso, J.; Bada-Bosch, T.; Oppenheimer, F.; Moreso, F.; López-Oliva, M.O.; et al. COVID-19 in transplant recipients: The Spanish experience. Am. J. Transplant. 2021, 21, 1825–1837. [Google Scholar] [CrossRef]
- Mombelli, M.; Lang, B.M.; Neofytos, D.; Aubert, J.; Benden, C.; Berger, C.; Boggian, K.; Egli, A.; Soccal, P.M.; Kaiser, L.; et al. Burden, epidemiology, and outcomes of microbiologically confirmed respiratory viral infections in solid organ transplant recipients: A nationwide, multi-season prospective cohort study. Am. J. Transplant. 2020, 21, 1789–1800. [Google Scholar] [CrossRef]
- Boyarsky, B.J.; Werbel, W.A.; Avery, R.K.; Tobian, A.A.; Massie, A.B.; Segev, D.L.; Garonzik-Wang, J.M. Antibody Response to 2-Dose SARS-CoV-2 mRNA Vaccine Series in Solid Organ Transplant Recipients. JAMA 2021, 325, 2204–2206. [Google Scholar] [CrossRef] [PubMed]
- Hallett, A.M.; Greenberg, R.S.; Boyarsky, B.J.; Shah, P.D.; Ou, M.T.; Teles, A.T.; Krach, M.R.; López, J.I.; Werbel, W.A.; Avery, R.K.; et al. SARS-CoV-2 messenger RNA vaccine antibody response and reactogenicity in heart and lung transplant recipients. J. Heart Lung Transplant. 2021, 40, 1579–1588. [Google Scholar] [CrossRef] [PubMed]
- Hall, V.G.; Ferreira, V.H.; Ierullo, M.; Ku, T.; Marinelli, T.; Majchrzak-Kita, B.; Yousuf, A.; Kulasingam, V.; Humar, A.; Kumar, D. Humoral and cellular immune response and safety of two-dose SARS-CoV-2 mRNA-1273 vaccine in solid organ transplant recipients. Am. J. Transplant. 2021, 21, 3980–3989. [Google Scholar] [CrossRef] [PubMed]
- Holden, I.K.; Bistrup, C.; Nilsson, A.C.; Hansen, J.F.; Abazi, R.; Davidsen, J.R.; Poulsen, M.K.; Lindvig, S.O.; Justesen, U.S.; Johansen, I.S. Immunogenicity of SARS-CoV-2 mRNA vaccine in solid organ transplant recipients. J. Intern. Med. 2021, 290, 1264–1267. [Google Scholar] [CrossRef] [PubMed]
- Hall, V.G.; Ferreira, V.H.; Ku, T.; Ierullo, M.; Majchrzak-Kita, B.; Chaparro, C.; Selzner, N.; Schiff, J.; McDonald, M.; Tomlinson, G.; et al. Randomized Trial of a Third Dose of mRNA-1273 Vaccine in Transplant Recipients. N. Engl. J. Med. 2021, 385, 1244–1246. [Google Scholar] [CrossRef] [PubMed]
- Benotmane, I.; Gautier, G.; Perrin, P.; Olagne, J.; Cognard, N.; Fafi-Kremer, S.; Caillard, S. Antibody Response After a Third Dose of the mRNA-1273 SARS-CoV-2 Vaccine in Kidney Transplant Recipients With Minimal Serologic Response to 2 Doses. JAMA 2021, 326, 1063–1065. [Google Scholar] [CrossRef]
- Grupper, A.; Rabinowich, L.; Schwartz, D.; Schwartz, I.F.; Ben-Yehoyada, M.; Shashar, M.; Katchman, E.; Halperin, T.; Turner, D.; Goykhman, Y.; et al. Reduced humoral response to mRNA SARS-CoV-2 BNT162b2 vaccine in kidney transplant recipients without prior exposure to the virus. Am. J. Transplant. 2021, 21, 2719–2726. [Google Scholar] [CrossRef]
- Rozen-Zvi, B.; Yahav, D.; Agur, T.; Zingerman, B.; Ben-Zvi, H.; Atamna, A.; Tau, N.; Mashraki, T.; Nesher, E.; Rahamimov, R. Antibody response to SARS-CoV-2 mRNA vaccine among kidney transplant recipients: A prospective cohort study. Clin. Microbiol. Infect. 2021, 27, 1173.e1171–1173.e1174. [Google Scholar] [CrossRef]
- Kamar, N.; Abravanel, F.; Marion, O.; Couat, C.; Izopet, J.; Del Bello, A. Three Doses of an mRNA COVID-19 Vaccine in Solid-Organ Transplant Recipients. N. Engl. J. Med. 2021, 385, 661–662. [Google Scholar] [CrossRef] [PubMed]
- Del Bello, A.; Abravanel, F.; Marion, O.; Couat, C.; Esposito, L.; Lavayssière, L.; Izopet, J.; Kamar, N. Efficiency of a boost with a third dose of anti-SARS-CoV-2 messenger RNA-based vaccines in solid organ transplant recipients. Am. J. Transplant. 2022, 22, 322–323. [Google Scholar] [CrossRef] [PubMed]
- Kute, V.; Meshram, H.S.; Sharma, A.; Chaudhury, A.R.; Sudhindran, S.; Gokhale, A.K.; Hote, M.; Guleria, R.; Rana, D.S.; Prakash, J.; et al. Update on Coronavirus 2019 Vaccine Guidelines for Transplant Recipients. Transplant. Proc. 2021. epub ahead of print. [Google Scholar] [CrossRef] [PubMed]
- Giannella, M.; Pierrotti, L.C.; Helanterä, I.; Manuel, O. SARS-CoV-2 vaccination in solid-organ transplant recipients: What the clinician needs to know. Transpl. Int. 2021, 34, 1776–1788. [Google Scholar] [CrossRef] [PubMed]
- Masset, C.; Kerleau, C.; Garandeau, C.; Ville, S.; Cantarovich, D.; Hourmant, M.; Kervella, D.; Houzet, A.; Guillot-Gueguen, C.; Guihard, I.; et al. A third injection of the BNT162b2 mRNA COVID-19 vaccine in kidney transplant recipients improves the humoral immune response. Kidney Int. 2021, 100, 1132–1135. [Google Scholar] [CrossRef] [PubMed]
- Eliakim-Raz, N.; Leibovici-Weisman, Y.; Stemmer, A.; Ness, A.; Awwad, M.; Ghantous, N.; Stemmer, S.M. Antibody Titers Before and After a Third Dose of the SARS-CoV-2 BNT162b2 Vaccine in Adults Aged ≥60 Years. JAMA 2021, 326, 2203–2204. [Google Scholar] [CrossRef] [PubMed]
- Kamar, N.; Abravanel, F.; Marion, O.; Romieu-Mourez, R.; Couat, C.; Del Bello, A.; Izopet, J. Assessment of 4 Doses of SARS-CoV-2 Messenger RNA-Based Vaccine in Recipients of a Solid Organ Transplant. JAMA Netw. Open 2021, 4, e2136030. [Google Scholar] [CrossRef] [PubMed]
- Abedon, A.T.; Teles, M.S.; Alejo, J.L.; Kim, J.D.; Mitchell, J.; Chiang, T.P.; Avery, R.K.; Tobian, A.A.; Levan, M.L.; Warren, D.S.; et al. Improved Antibody Response After a Fifth Dose of a SARS-CoV-2 Vaccine in Solid Organ Transplant Recipients: A Case Series. Transplantation 2022. online ahead of print. [Google Scholar] [CrossRef] [PubMed]
- Rapport. COVID-19: Gennembruds- Infektioner og Vaccineeffektivitet; SSI; Staten Serum Institut: Copenhagen, Denmark, 2022; pp. 1–22.
- Pedersen, R.M.; Bang, L.L.; Tornby, D.S.; Kierkegaard, H.; Nilsson, A.C.; Johansen, I.S.; Bistrup, C.; Jensen, T.G.; Justesen, U.S.; Andersen, T.E. The SARS-CoV-2-neutralizing capacity of kidney transplant recipients 4 weeks after receiving a second dose of the BNT162b2 vaccine. Kidney Int. 2021, 100, 1129–1131. [Google Scholar] [CrossRef] [PubMed]

| Characteristics | Total Cohort after Second Dose | Responders after Third Dose | Non-Responders after Third Dose | p-Value |
|---|---|---|---|---|
| N | 395 | 261 (77.9%) | 74 (22.1%) | |
| Antibody concentration (median) | 7.1 (IQR 7.1–73.2) | 605.5 (IQR 157.3–1543.6) | <7.1 | <0.001 |
| Age (median) | 58.2 (IQR 48.0–66.9) | 58.1 (IQR 48.7–66.4) | 60.2 (IQR 54.4–71.1) | 0.036 |
| Sex (males) | 225 (58.4%) | 152 (58.9%) | 42 (56.8%) | 0.789 |
| BMI | 26.0 (IQR 23.0–29.1) | 26.0 (IQR 23.1–28.9) | 25.9 (IQR 21.9–29.7) | 0.544 |
| Time from Tx b to vaccine months(median) | 86.7 (IQR 50.3–159.3) | 95.5 (IQR 55.7–183.1) | 51.8 (IQR 25.9–127.9) | <0.001 |
| Organ transplant | <0.001 | |||
| Kidney | 281 (73.2%) | 182 (70.5%) | 58 (78.4%) | |
| Liver | 62 (16.2%) | 54 (20.9%) | 3 (4.1%) | |
| Heart | 18 (4.7%) | 12 (4.7%) | 3 (4.1%) | |
| Lung | 14 (3.7%) | 6 (2.3%) | 6 (8.1%) | |
| Combined a | 9 (2.3%) | 4 (1.6%) | 4 (5.4%) | |
| Immunosuppressive treatment | ||||
| Prednisolone | 95 (24.0%) | 55 (21.1%) | 26 (35.1%) | 0.020 |
| CNI c | 311 (78.7%) | 198 (75.9%) | 61 (82.4%) | 0.273 |
| Proliferation inhibitor d | 365 (92.4%) | 237 (90.8%) | 73 (98.7%) | 0.022 |
| mTOR inhibitor e | 1 (0.3%) | 1 (0.4%) | 0 (0%) | 1.000 |
| Responders | Odds Ratio | p | [95% CI] |
|---|---|---|---|
| Age | 0.97 | 0.017 | 0.95–0.99 |
| Female | 0.87 | 0.629 | 0.48–1.56 |
| BMI | 1.00 | 0.954 | 0.94–1.06 |
| Month from Tx | 1.16 | 0.013 | 1.03–1.31 |
| SOT a | |||
| Kidney | 1 (ref.) | ||
| Liver | 8.27 | 0.002 | 2.24–30.46 |
| Heart | 0.50 | 0.433 | 0.09–2.85 |
| Lung | 0.81 | 0.758 | 0.20–3.20 |
| Combined | 0.42 | 0.307 | 0.08–2.23 |
| Immunosuppressive treatment | |||
| Prednisone | 0.31 | 0.002 | 0.15–0.66 |
| CNI | 1.03 | 0.938 | 0.47–2.29 |
| Proliferation inhibitor | 0.07 | 0.023 | 0.01–0.69 |
| mTOR inhib. a | 1 |
Publisher’s Note: MDPI stays neutral with regard to jurisdictional claims in published maps and institutional affiliations. |
© 2022 by the authors. Licensee MDPI, Basel, Switzerland. This article is an open access article distributed under the terms and conditions of the Creative Commons Attribution (CC BY) license (https://creativecommons.org/licenses/by/4.0/).
Share and Cite
Balsby, D.; Nilsson, A.C.; Möller, S.; Lindvig, S.O.; Davidsen, J.R.; Abazi, R.; Poulsen, M.K.; Holden, I.K.; Justesen, U.S.; Bistrup, C.; et al. Determinants of Antibody Response to a Third SARS-CoV-2 mRNA Vaccine Dose in Solid Organ Transplant Recipients: Results from the Prospective Cohort Study COVAC-Tx. Vaccines 2022, 10, 565. https://doi.org/10.3390/vaccines10040565
Balsby D, Nilsson AC, Möller S, Lindvig SO, Davidsen JR, Abazi R, Poulsen MK, Holden IK, Justesen US, Bistrup C, et al. Determinants of Antibody Response to a Third SARS-CoV-2 mRNA Vaccine Dose in Solid Organ Transplant Recipients: Results from the Prospective Cohort Study COVAC-Tx. Vaccines. 2022; 10(4):565. https://doi.org/10.3390/vaccines10040565
Chicago/Turabian StyleBalsby, Daniel, Anna Christine Nilsson, Sören Möller, Susan Olaf Lindvig, Jesper Rømhild Davidsen, Rozeta Abazi, Mikael Kjær Poulsen, Inge Kristine Holden, Ulrik Stenz Justesen, Claus Bistrup, and et al. 2022. "Determinants of Antibody Response to a Third SARS-CoV-2 mRNA Vaccine Dose in Solid Organ Transplant Recipients: Results from the Prospective Cohort Study COVAC-Tx" Vaccines 10, no. 4: 565. https://doi.org/10.3390/vaccines10040565
APA StyleBalsby, D., Nilsson, A. C., Möller, S., Lindvig, S. O., Davidsen, J. R., Abazi, R., Poulsen, M. K., Holden, I. K., Justesen, U. S., Bistrup, C., & Johansen, I. S. (2022). Determinants of Antibody Response to a Third SARS-CoV-2 mRNA Vaccine Dose in Solid Organ Transplant Recipients: Results from the Prospective Cohort Study COVAC-Tx. Vaccines, 10(4), 565. https://doi.org/10.3390/vaccines10040565

