Transmission Dynamics of Monkeypox Virus in Nigeria during the Current COVID-19 Pandemic and Estimation of Effective Reproduction Number
Abstract
1. Background
2. Material and Methods
2.1. Data
2.2. Effective Reproduction Number Estimation Analysis
3. Results and Discussions
3.1. Current Epidemiological Scenarios of MPXV and COVID-19 in Nigeria
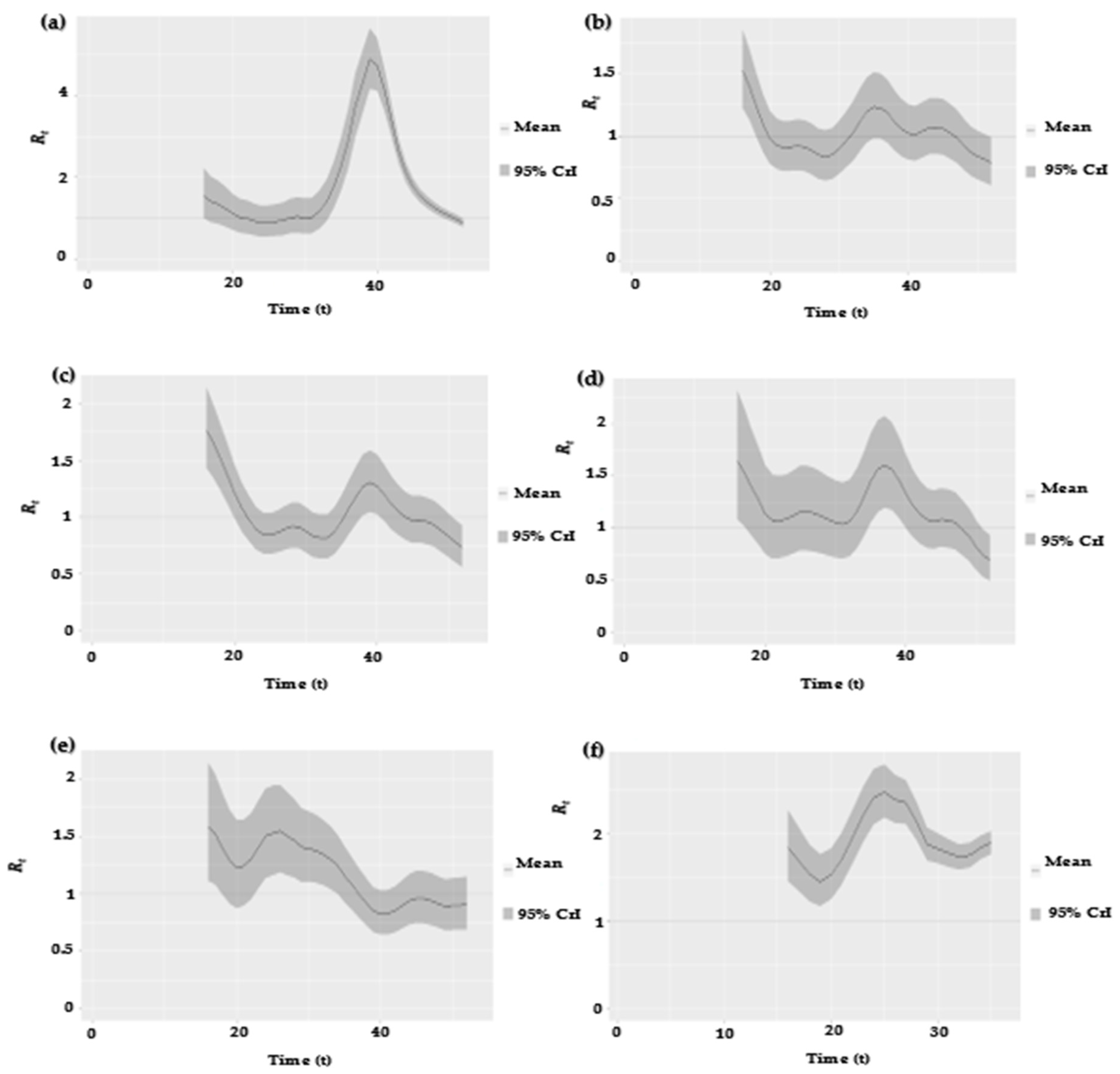
3.2. Effective Reproduction Number Estimation
4. Discussion
5. Conclusions
Author Contributions
Funding
Institutional Review Board Statement
Informed Consent Statement
Data Availability Statement
Conflicts of Interest
References
- Belongia, E.A.; Naleway, A.L. Smallpox vaccine: The good, the bad, and the ugly. Clin. Med. Res. 2003, 1, 87–92. [Google Scholar] [CrossRef] [PubMed]
- World Health Organization. Monkeypox Outbreak. 2022. Available online: https://www.who.int/emergencies/situations/monkeypox-oubreak-2022 (or https://www.who.int/news/item/23-07-2022-second-meeting-of-the-international-health-regulations-(2005)-(ihr)-emergency-committee-regarding-the-multi-country-outbreak-of-monkeypox) (accessed on 29 July 2022).
- Parker, S.; Nuara, A.; Buller, R.M.; Schultz, D.A. Human monkeypox: An emerging zoonotic disease. Fut. Microb. 2007, 2, 17–34. [Google Scholar] [CrossRef] [PubMed]
- World Health Organization. WHO Coronavirus Disease (COVID-19) Dashboard. 2022. Available online: https://covid19.who.int/ (accessed on 26 July 2022).
- Centers for Disease Control and Prevention. Monkeypox. 2022. Available online: https://www.cdc.gov/poxvirus/monkeypox/index.html (accessed on 29 July 2022).
- Haider, N.; Guitian, J.; Simons, D.; Asogun, D.; Ansumana, R.; Honeyborne, I.; Velavan, T.P.; Ntoumi, F.; Valdoleiros, S.R.; Petersen, E.; et al. Increased outbreaks of monkeypox highlight gaps in actual disease burden in Sub-Saharan Africa and in animal reservoirs. Int. J. Infect. Dis. 2022, 122, 107–111. [Google Scholar] [CrossRef] [PubMed]
- Antinori, A.; Mazzotta, V.; Vita, S.; Carletti, F.; Tacconi, D.; Lapini, L.E.; D’Abramo, A.; Cicalini, S.; Lapa, D.; Pittalis, S.; et al. Epidemiological, clinical and virological characteristics of four cases of monkeypox support transmission through sexual contact, Italy, May 2022. Eurosurveillance 2022, 27, 2200421. [Google Scholar] [PubMed]
- Akhmetzhanov, A.R.; Ponce, L.; Thompson, R.N. Emergence potential of Monkeypox in the Western Pacific Region, July 2022. Int. J. Infect. Dis. 2022, 122, 829–831. [Google Scholar] [CrossRef] [PubMed]
- Lulli, L.G.; Baldassarre, A.; Mucci, N.; Arcangeli, G. Prevention, Risk Exposure, and Knowledge of Monkeypox in Occupational Settings: A Scoping Review. Trop. Med. Infect. Dis. 2022, 7, 276. [Google Scholar]
- Ward, T.; Christie, R.; Paton, R.S.; Cumming, F.; Overton, C.E. Transmission dynamics of monkeypox in the United Kingdom: Contact tracing study. BMJ 2022, 379, e073153. [Google Scholar] [CrossRef]
- Du, Z.; Shao, Z.; Bai, Y.; Wang, L.; Herrera-Diestra, J.L.; Fox, S.J.; Ertem, Z.; Lau, E.H.; Cowling, B.J. Reproduction number of monkeypox in the early stage of the 2022 multi-country outbreak. J. Trav. Med. 2022, taac009. [Google Scholar] [CrossRef]
- Zhao, S. Estimating the Time Interval between Transmission Generations When Negative Values Occur in the Serial Interval Data: Using COVID-19 as an Example. Math. Biosci. Eng. 2020, 17, 3512–3519. [Google Scholar]
- Breman, J.G.; Kalisa, R.; Steniowski, M.V.; Zanotto, E.; Gromyko, A.I.; Arita, I. Human monkeypox, 1970–1979. Bull. World Health Organ. 1980, 58, 165–182. [Google Scholar]
- Arita, I.; Henderson, D.A. Monkeypox and whitepox viruses in West and Central Africa. Bull. World Health Organ. 1976, 53, 347–353. [Google Scholar]
- Alakunle, E.; Moens, U.; Nchinda, G.; Okeke, M.I. Monkeypox virus in Nigeria: Infection biology, epidemiology, and evolution. Viruses 2020, 12, 1257. [Google Scholar] [CrossRef]
- Mauldin, M.R.; McCollum, A.M.; Nakazawa, Y.J.; Mandra, A.; Whitehouse, E.R.; Davidson, W.; Zhao, H.; Gao, J.; Li, Y.; Doty, J.; et al. Exportation of monkeypox virus from the African continent. J. Infect. Dis. 2022, 225, 1367–1376. [Google Scholar] [CrossRef]
- Gostic, K.M.; McGough, L.; Baskerville, E.B.; Abbott, S.; Joshi, K.; Tedijanto, C.; Kahn, R.; Niehus, R.; Hay, J.A.; De Salazar, P.M.; et al. Practical considerations for measuring the effective reproductive number, Rt. PLoS Comput. Biol. 2020, 16, e1008409. [Google Scholar] [CrossRef]
- Najeeb, H.; Huda, Z. Monkeypox virus: A spreading threat for Pakistan? Ann. Med. Surg. 2022, 79, 103977. [Google Scholar] [CrossRef]
- Cowling, B.J.; Fang, V.J.; Riley, S.; Peiris, J.M.; Leung, G.M. Estimation of the serial interval of influenza. Epidemiology 2009, 20, 344. [Google Scholar] [CrossRef]
- Nigeria Centre for Disease Control. Diseases Situation Report. 2022. Available online: https://ncdc.gov.ng/ (accessed on 26 July 2022).
- Musa, S.S.; Zhao, S.; Wang, M.H.; Habib, A.G.; Mustapha, U.T.; He, D. Estimation of exponential growth rate and basic reproduction number of the coronavirus disease 2019 (COVID-19) in Africa. Infect. Dis. Poverty 2020, 9, 96. [Google Scholar] [CrossRef]
- Cori, A.; Ferguson, N.M.; Fraser, C.; Cauchemez, S. A new framework and software to estimate time-varying reproduction numbers during epidemics. Am. J. Epidemiol. 2013, 178, 1505–1512. [Google Scholar] [CrossRef]
- Zhao, S.; Musa, S.S.; Hebert, J.T.; Cao, P.; Ran, J.; Meng, J.; He, D.; Qin, J. Modelling the effective reproduction number of vector-borne diseases: The yellow fever outbreak in Luanda, Angola 2015–2016 as an example. PeerJ 2020, 8, e8601. [Google Scholar] [CrossRef]
- Fraser, C. Estimating individual and household reproduction numbers in an emerging epidemic. PLoS ONE 2007, 2, e758. [Google Scholar] [CrossRef]
- Guo, Z.; Zhao, S.; Sun, S.; He, D.; Chong, K.C.; Yeoh, E.K. Estimation of the serial interval of monkeypox during the early outbreak in 2022. J. Med. Virol. 2022, e28248. [Google Scholar] [CrossRef] [PubMed]
- Kawasuji, H.; Takegoshi, Y.; Kaneda, M.; Ueno, A.; Miyajima, Y.; Kawago, K.; Fukui, Y.; Yoshida, Y.; Kimura, M.; Yamada, H.; et al. Transmissibility of COVID-19 depends on the viral load around onset in adult and symptomatic patients. PLoS ONE 2020, 15, e0243597. [Google Scholar] [CrossRef] [PubMed]
- Sherrard-Smith, E.; Hogan, A.B.; Hamlet, A.; Watson, O.J.; Whittaker, C.; Winskill, P.; Ali, F.; Mohammad, A.B.; Uhomoibhi, P.; Maikore, I.; et al. The potential public health consequences of COVID-19 on malaria in Africa. Nat. Med. 2020, 26, 1411–1416. [Google Scholar] [CrossRef] [PubMed]
- Musa, S.S.; Zhao, S.; Abdullahi, Z.U.; Habib, A.G.; He, D. COVID-19 and Lassa fever in Nigeria: A deadly alliance? Int. J. Infect. Dis. 2022, 117, 45–47. [Google Scholar] [CrossRef] [PubMed]
- Luiselli, L.; Hema, E.M.; Segniagbeto, G.H.; Ouattara, V.; Eniang, E.A.; Di Vittorio, M.; Amadi, N.; Parfait, G.; Pacini, N.; Akani, G.C.; et al. Understanding the influence of non-wealth factors in determining bushmeat consumption: Results from four West African countries. Acta Oecol. 2019, 94, 47–56. [Google Scholar] [CrossRef]
- Mora, C.; McKenzie, T.; Gaw, I.M.; Dean, J.M.; von Hammerstein, H.; Knudson, T.A.; Setter, R.O.; Smith, C.Z.; Webster, K.M.; Patz, J.A.; et al. Over half of known human pathogenic diseases can be aggravated by climate change. Nat. Clim. Chang. 2022, 12, 869–875. [Google Scholar] [CrossRef]
- World Health Organization; Regional Office for Africa. COVID-19 Strategic Response Plan in the WHO African Region. 2021. Available online: https://www.afro.who.int/fr/node/12891 (accessed on 20 September 2022).


| Year | Mean Reff (95% CrI) a | Mean Reff (95% CI) b | Mean Reff (95% CI) c |
|---|---|---|---|
| 2017 | 1.8052 (0.8817–4.8732) | 1.4541 (0.9428–2.7914) | 1.4793 (0.9492–2.8796) |
| 2018 | 1.0204 (0.7854–1.5200) | 1.0247 (0.8409–1.4185) | 1.0279 (0.8374–1.4509) |
| 2019 | 1.0385 (0.7316–1.7675) | 1.0318 (0.7854–1.5785) | 1.0360 (0.7809–1.6179) |
| 2020 | 1.1760 (0.6978–1.6440) | 1.1460 (0.7738–1.4712) | 1.1544 (0.7699–1.5006) |
| 2021 | 1.1693 (0.8257–1.5825) | 1.1388 (0.8970–1.4670) | 1.1472 (0.8969–1.4970) |
| 2022 | 1.924 (1.455–2.485) | 1.638 (1.383–1.868) | 1.673 (1.410–1.908) |
| Year | Median Reff (95% CrI) a | Median Reff (95% CI) b | Median Reff (95% CI) c |
|---|---|---|---|
| 2017 | 1.794 (0.876–4.863) | 1.4439 (0.9399–2.7858) | 1.469 (0.942–2.874) |
| 2018 | 1.0161 (0.7813–1.5144) | 1.0204 (0.8365–1.4132) | 1.0235 (0.8330–1.4456) |
| 2019 | 1.0343 (0.7275–1.7613) | 1.0277 (0.7811–1.5730) | 1.0318 (0.7765–1.6123) |
| 2020 | 1.1655 (0.6916–1.6237) | 1.136 (0.767–1.453) | 1.1441 (0.7632–1.4822) |
| 2021 | 1.1627 (0.8218–1.5679) | 1.1324 (0.8928–1.4534) | 1.1408 (0.8920–1.4831) |
| 2022 | 1.921 (1.450–2.482) | 1.635 (1.378–1.866) | 1.670 (1.405–1.905) |
Publisher’s Note: MDPI stays neutral with regard to jurisdictional claims in published maps and institutional affiliations. |
© 2022 by the authors. Licensee MDPI, Basel, Switzerland. This article is an open access article distributed under the terms and conditions of the Creative Commons Attribution (CC BY) license (https://creativecommons.org/licenses/by/4.0/).
Share and Cite
Musa, S.S.; Abdullahi, Z.U.; Zhao, S.; Bello, U.M.; Hussaini, N.; Habib, A.G.; He, D. Transmission Dynamics of Monkeypox Virus in Nigeria during the Current COVID-19 Pandemic and Estimation of Effective Reproduction Number. Vaccines 2022, 10, 2153. https://doi.org/10.3390/vaccines10122153
Musa SS, Abdullahi ZU, Zhao S, Bello UM, Hussaini N, Habib AG, He D. Transmission Dynamics of Monkeypox Virus in Nigeria during the Current COVID-19 Pandemic and Estimation of Effective Reproduction Number. Vaccines. 2022; 10(12):2153. https://doi.org/10.3390/vaccines10122153
Chicago/Turabian StyleMusa, Salihu Sabiu, Zainab Umar Abdullahi, Shi Zhao, Umar Muhammad Bello, Nafiu Hussaini, Abdulrazaq Garba Habib, and Daihai He. 2022. "Transmission Dynamics of Monkeypox Virus in Nigeria during the Current COVID-19 Pandemic and Estimation of Effective Reproduction Number" Vaccines 10, no. 12: 2153. https://doi.org/10.3390/vaccines10122153
APA StyleMusa, S. S., Abdullahi, Z. U., Zhao, S., Bello, U. M., Hussaini, N., Habib, A. G., & He, D. (2022). Transmission Dynamics of Monkeypox Virus in Nigeria during the Current COVID-19 Pandemic and Estimation of Effective Reproduction Number. Vaccines, 10(12), 2153. https://doi.org/10.3390/vaccines10122153

