Nutritional Composition, Total Phenolic Content, Antioxidant and α-Amylase Inhibitory Activities of Different Fractions of Selected Wild Edible Plants
Abstract
1. Introduction
2. Materials and Methods
2.1. Reagents
2.2. Sample Collection and Preparation
2.3. Determination of Proximate Composition
2.4. Determination of Mineral Composition
2.5. Plant Extraction
2.6. Determination of Total Phenolic Content
2.7. Determination of Total Flavonoid Content
2.8. Evaluation of Antioxidant Capacities
2.8.1. DPPH Free Radical Scavenging Assay
2.8.2. Ferric Reducing Antioxidant Power (FRAP) Assay
2.8.3. Trolox Equivalent Antioxidant Capacity (TEAC) Assay
2.9. α-Amylase Inhibitory Assay
2.10. Statistical Analysis
3. Results and Discussion
3.1. Proximate Composition
3.2. Mineral Composition
3.3. Total Phenolic and Flavonoid Contents
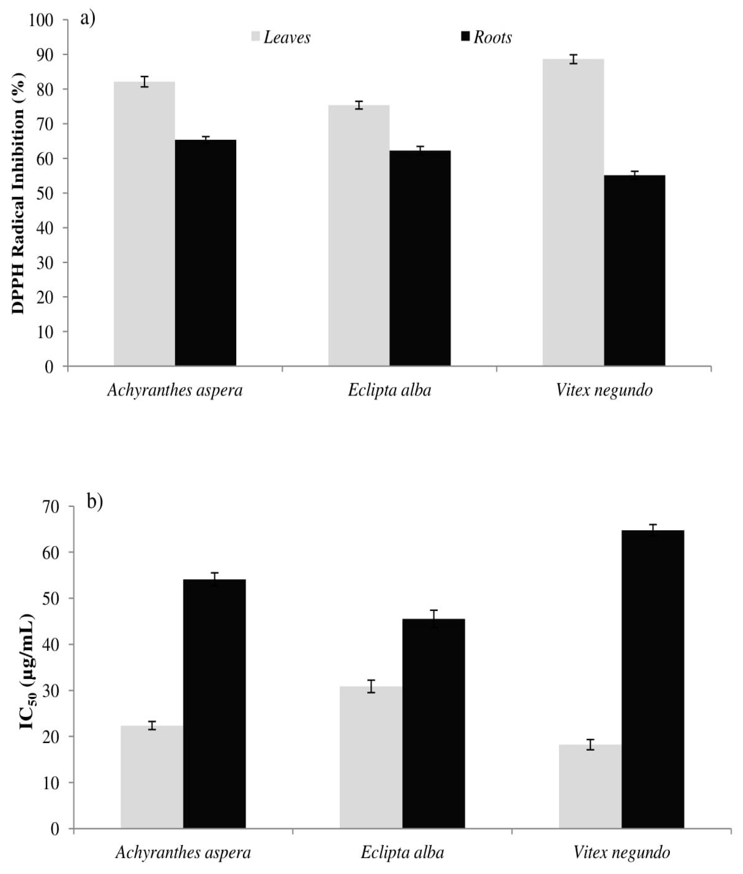
3.4. Antioxidant Capacities
3.5. α-Amylase Inhibitory Activity of the Selected Plants
3.6. Principal Component Analysis
4. Conclusions
Author Contributions
Funding
Acknowledgments
Conflicts of Interest
References
- Johnsen, S.P.; Overvad, K.; Stripp, C.; Tjønneland, A.; Husted, S.E.; Sørensen, H.T. Intake of fruit and vegetables and the risk of ischemic stroke in a cohort of danish men and women. Am. J. Clin. Nutr. 2003, 78, 57–64. [Google Scholar] [CrossRef] [PubMed]
- Vauzour, D.; Vafeiadou, K.; Rendeiro, C.; Corona, G.; Spencer, J.P.E. The inhibitory effects of berry-derived flavonoids against neurodegenerative processes. J. Berry Res. 2010, 1, 45–52. [Google Scholar] [CrossRef]
- Murimi, M.W.; Kanyi, M.G.; Mbogori, T.N.; Amin, M.R.; Rana, Z.H.; Nguyen, B.; Moyeda-Carabaza, A.F. Voices and perspectives of rural hispanic households on food insecurity in west texas: A qualitative study. J. Hunger Environ. Nutr. 2018, 1–18. [Google Scholar] [CrossRef]
- Afolayan, A.J.; Jimoh, F.O. Nutritional quality of some wild leafy vegetables in South Africa. Int. J. Food Sci. Nutr. 2009, 60, 424–431. [Google Scholar] [CrossRef] [PubMed]
- Gupta, S.; Jyothi Lakshmi, A.; Manjunath, M.N.; Prakash, J. Analysis of nutrient and antinutrient content of underutilized green leafy vegetables. LWT-Food Sci. Technol. 2005, 38, 339–345. [Google Scholar] [CrossRef]
- Nguyen, B.; Murimi, M.; Rana, Z.; Lee, H.; Halloran, R. Impact of a nutrition education intervention on nutrition knowledge and dietary intake of fruits, vegetables, and milk among fourth and fifth-grade elementary school children. J. Nutr. Educ. Behav. 2016, 48, S79. [Google Scholar] [CrossRef]
- Dasgupta, N.; De, B. Antioxidant activity of some leafy vegetables of India: A comparative study. Food Chem. 2007, 101, 471–474. [Google Scholar] [CrossRef]
- Alam, M.K.; Rana, Z.H.; Akhtaruzzaman, M. Chemical composition and fatty acid profile of Bangladeshi beef at retail. Int. Food Res. J. 2017, 24, 1897–1902. [Google Scholar]
- Alam, M.K.; Rana, Z.H.; Akhtaruzzaman, M. Comparison of muscle and subcutaneous tissue fatty acid composition of Bangladeshi nondescript deshi bulls finished on pasture diet. J. Chem. 2017, 2017, 8579387. [Google Scholar] [CrossRef]
- van Hecke, T.; van Camp, J.; de Smet, S. Oxidation during digestion of meat: Interactions with the diet and helicobacter pylori gastritis, and implications on human health. Compr. Rev. Food Sci. Food Saf. 2017, 16, 214–233. [Google Scholar] [CrossRef]
- Ferguson, L.R. Chronic inflammation and mutagenesis. Mutat. Res. Fundam. Mol. Mech. Mutagen. 2010, 690, 3–11. [Google Scholar] [CrossRef] [PubMed]
- Gülçin, I. Antioxidant activity of food constituents: An overview. Arch. Toxicol. 2012, 86, 345–391. [Google Scholar] [CrossRef] [PubMed]
- Kumar, S.; Prasad, A.K.; Iyer, S.V.; Vaidya, S.K. Systematic pharmacognostical, phytochemical and pharmacological review on an ethno medicinal plant, Basella alba L. J. Pharmacogn. Phyther. 2013, 5, 53–58. [Google Scholar]
- Aprile, A.; Negro, C.; Sabella, E.; Luvisi, A.; Nicolì, F.; Nutricati, E.; Vergine, M.; Miceli, A.; Blando, F.; De Bellis, L. Antioxidant activity and anthocyanin contents in olives (cv cellina di nardò) during ripening and after fermentation. Antioxidants 2019, 8, 138. [Google Scholar] [CrossRef] [PubMed]
- Coelho, E.M.; de Souza, M.E.A.O.; Corrêa, L.C.; Viana, A.C.; de Azevêdo, L.C.; dos Santos Lima, M. Bioactive compounds and antioxidant activity of mango peel liqueurs (Mangifera indica L.) produced by different methods of maceration. Antioxidants 2019, 8, 102. [Google Scholar] [CrossRef] [PubMed]
- Armendáriz-Fernández, K.; Herrera-Hernández, I.; Muñoz-Márquez, E.; Sánchez, E. Characterization of bioactive compounds, mineral content, and antioxidant activity in bean varieties grown with traditional methods in Oaxaca, Mexico. Antioxidants 2019, 8, 26. [Google Scholar] [CrossRef] [PubMed]
- Nwosu, F.; Morris, J.; Lund, V.A.; Stewart, D.; Ross, H.A.; McDougall, G.J. Anti-proliferative and potential anti-diabetic effects of phenolic-rich extracts from edible marine algae. Food Chem. 2011, 126, 1006–1012. [Google Scholar] [CrossRef]
- Mojica, L.; Meyer, A.; Berhow, M.A.; de Mejía, E.G. Bean cultivars (Phaseolus vulgaris L.) have similar high antioxidant capacity, in vitro inhibition of α-amylase and α-glucosidase while diverse phenolic composition and concentration. Food Res. Int. 2015, 69, 38–48. [Google Scholar] [CrossRef]
- Hanhineva, K.; Törrönen, R.; Bondia-Pons, I.; Pekkinen, J.; Kolehmainen, M.; Mykkänen, H.; Poutanen, K. Impact of dietary polyphenols on carbohydrate metabolism. Int. J. Mol. Sci. 2010, 11, 1365–1402. [Google Scholar] [CrossRef]
- Satter, M.M.A.; Khan, M.M.R.L.; Jabin, S.A.; Abedin, N.; Islam, M.F.; Shaha, B. Nutritional quality and safety aspects of wild vegetables consume in Bangladesh. Asian-Pac. J. Trop. Biomed. 2016, 6, 125–131. [Google Scholar] [CrossRef]
- Ocvirk, S.; Kistler, M.; Khan, S.; Talukder, S.H.; Hauner, H. Traditional medicinal plants used for the treatment of diabetes in rural and urban areas of Dhaka, Bangladesh—An ethnobotanical survey. J. Ethnobiol. Ethnomed. 2013, 9, 43. [Google Scholar] [CrossRef] [PubMed]
- Alam, M.; Rana, Z.; Islam, S. Comparison of the proximate composition, total carotenoids and total polyphenol content of nine orange-fleshed sweet potato varieties grown in Bangladesh. Foods 2016, 5, 64. [Google Scholar] [CrossRef] [PubMed]
- Shajib, M.T.I.; Kawser, M.; Nuruddin Miah, M.; Begum, P.; Bhattacharjee, L.; Hossain, A.; Fomsgaard, I.S.; Islam, S.N. Nutritional composition of minor indigenous fruits: Cheapest nutritional source for the rural people of Bangladesh. Food Chem. 2013, 140, 466–470. [Google Scholar] [CrossRef] [PubMed]
- Alam, M.K.; Rana, Z.H.; Islam, S.N.; Akhtaruzzaman, M. Total phenolic content and antioxidant activity of methanolic extract of selected wild leafy vegetables grown in Bangladesh: A cheapest source of antioxidants. Potravin. Slovak J. Food Sci. 2019, 13, 287–293. [Google Scholar] [CrossRef][Green Version]
- Miao, J.; Li, X.; Zhao, C.; Gao, X.; Wang, Y.; Gao, W. Active compounds, antioxidant activity and α-glucosidase inhibitory activity of different varieties of chaenomeles fruits. Food Chem. 2018, 248, 330–339. [Google Scholar] [CrossRef] [PubMed]
- Hossain, S.; El-Sayed, M.; Aoshima, H. Antioxidative and anti-α-amylase activities of four wild plants consumed by pastoral nomads in Egypt. Orient. Pharm. Exp. Med. 2009, 9, 217–224. [Google Scholar] [CrossRef]
- Seal, T. Wild edible plants of arunachal pradesh: Ethnomedicinal and nutritional importance. Med. Plants 2018, 10, 1–9. [Google Scholar] [CrossRef]
- Saikia, P.; Deka, D.C. Mineral content of some wild green leafy vegetables of north-east India. J. Chem. Pharm. Res. 2013, 5, 117–121. [Google Scholar]
- Adedapo, A.A.; Jimoh, F.O.; Koduru, S.; Afolayan, A.J.; Masika, P.J. Antibacterial and antioxidant properties of the methanol extracts of the leaves and stems of Calpurnia aurea. BMC Complement. Altern. Med. 2008, 8, 53. [Google Scholar] [CrossRef]
- Saklani, S.; Mishra, A.; Chandra, H.; Atanassova, M.; Stankovic, M.; Sati, B.; Shariati, M.; Nigam, M.; Khan, M.; Plygun, S.; et al. Comparative evaluation of polyphenol contents and antioxidant activities between ethanol extracts of Vitex negundo and Vitex trifolia L. leaves by different methods. Plants 2017, 6, 45. [Google Scholar] [CrossRef]
- Shahat, A.A.; Ibrahim, A.Y.; Elsaid, M.S. Polyphenolic content and antioxidant activity of some wild Saudi Arabian asteraceae plants. Asian Pac. J. Trop. Med. 2014, 7, 545–551. [Google Scholar] [CrossRef]
- Nana, F.W.; Hilou, A.; Millogo, J.F.; Nacoulma, O.G. Phytochemical composition, antioxidant and xanthine oxidase inhibitory activities of Amaranthus cruentus L. and Amaranthus hybridus L. extracts. Pharmaceuticals 2012, 5, 613–628. [Google Scholar] [CrossRef] [PubMed]
- Hossain, S.; Shaheen, N.; Mohiduzzaman, M.; Banu, C.P. Antioxidant capacity and total phenol content of commonly consumed selected vegetables of Bangladesh. Malays. J. Nutr. 2011, 17, 377–383. [Google Scholar]
- Kaur, C.; Kapoor, H.C. Anti-oxidant activity and total phenolic content of some asian vegetables. Int. J. Food Sci. Technol. 2002, 37, 153–161. [Google Scholar] [CrossRef]
- Mendoza-Wilson, A.M.; Castro-Arredondo, S.I.; Espinosa-Plascencia, A.; Del Refugio Robles-Burgueño, M.; Balandrán-Quintana, R.R.; Del Carmen Bermúdez-Almada, M. Chemical composition and antioxidant-prooxidant potential of a polyphenolic extract and a proanthocyanidin-rich fraction of apple skin. Heliyon 2016, 2. [Google Scholar] [CrossRef] [PubMed]
- Geetha, S.; Ram, M.S.; Mongia, S.S.; Singh, V.; Ilavazhagan, G.; Sawhney, R.C. Evaluation of antioxidant activity of leaf extract of seabuckthorn (Hippophae rhamnoides L.) on chromium(vi) induced oxidative stress in albino rats. J. Ethnopharmacol. 2003, 87, 247–251. [Google Scholar] [CrossRef]
- Woumbo, C.Y.; Kuate, D.; Womeni, H.M. Cooking methods affect phytochemical composition and anti-obesity potential of soybean (Glycine max) seeds in wistar rats. Heliyon 2017, 3. [Google Scholar] [CrossRef]
- Petrus, A.J.A.; Kalpana, K.; Devi, A.B. Antioxidant capacity and lipophilic constitution of Alternanthera bettzickiana flower extract. Orient. J. Chem. 2014, 30, 491–499. [Google Scholar] [CrossRef][Green Version]
- Olubomehin, O.O.; Abo, K.A.; Ajaiyeoba, E.O. Alpha-amylase inhibitory activity of two anthocleista species and in vivo rat model anti-diabetic activities of Anthocleista djalonensis extracts and fractions. J. Ethnopharmacol. 2013, 146, 811–814. [Google Scholar] [CrossRef]
- Uddin, N.; Hasan, M.R.; Hossain, M.M.; Sarker, A.; Hasan, A.H.M.N.; Islam, A.F.M.M.; Chowdhury, M.M.H.; Rana, M.S. In vitro α–amylase inhibitory activity and in vivo hypoglycemic effect of methanol extract of Citrus macroptera Montr. fruit. Asian-Pac. J. Trop. Biomed. 2014, 4, 473–479. [Google Scholar] [CrossRef]
- Rao, P.S.; Mohan, G.K. In vitro alpha-amylase inhibition and in vivo antioxidant potential of Momordica dioica seeds in streptozotocin-induced oxidative stress in diabetic rats. Saudi J. Biol. Sci. 2017, 24, 1262–1267. [Google Scholar] [CrossRef] [PubMed]
- Oyedemi, S.O.; Oyedemi, B.O.; Ijeh, I.I.; Ohanyerem, P.E.; Coopoosamy, R.M.; Aiyegoro, O.A. Alpha-amylase inhibition and antioxidative capacity of some antidiabetic plants used by the traditional healers in southeastern Nigeria. Sci. World J. 2017, 2017, 3592491. [Google Scholar] [CrossRef] [PubMed]




| Wild Plants | Achyranthes aspera L. (Upat Lengra) | Eclipta alba L. (Kalokeshi) | Vitex negundo L. (Nirgundi) | |||
|---|---|---|---|---|---|---|
| Leaves | Roots | Leaves | Roots | Leaves | Roots | |
| Proximate composition (g/100 g sample) | ||||||
| Moisture | 83.71 ± 1.33 | 61.23 ± 1.01 | 88.13 ± 1.55 | 55.44 ± 2.22 | 82.78 ± 2.68 | 70.41 ± 2.11 |
| Protein | 18.13 ± 1.67 | 7.08 ± 0.33 | 21.56 ± 1.10 | 13.21 ± 0.93 | 19.27 ± 0.85 | 11.35 ± 1.05 |
| Fat | 1.88 ± 0.20 | 0.89 ± 0.07 | 2.17 ± 0.11 | 0.94 ± 0.05 | 3.13 ± 0.51 | 1.12 ± 0.10 |
| Fiber | 18.65 ± 1.23 | 22.26 ± 0.56 | 20.28 ± 0.92 | 16.56 ± 0.52 | 19.70 ± 0.90 | 13.78 ± 1.34 |
| Ash | 21.43 ± 0.33 | 13.42 ± 0.88 | 19.78 ± 0.42 | 17.37 ± 0.51 | 20.15 ± 0.75 | 8.21 ± 0.61 |
| Carbohydrate (CHO) | 39.91 ± 1.85 | 56.35 ± 1.46 | 36.21 ± 0.63 | 51.92 ± 1.50 | 37.75 ± 0.75 | 65.54 ± 1.78 |
| Mineral Composition | ||||||
| Macro minerals (mg/100 g sample) | ||||||
| Sodium (Na) | 497.51 ± 3.66 | 135.20 ± 1.03 | 345.33 ± 1.25 | 100.50 ± 0.70 | 577.82 ± 2.23 | 202.72 ± 1.08 |
| Potassium (K) | 4866.45 ± 5.78 | 1185.37 ± 1.75 | 5174.82 ± 5.74 | 2359.90 ± 4.01 | 3345.20 ± 4.65 | 1058.39 ± 5.05 |
| Magnesium (Mg) | 333.51 ± 2.43 | 164.38 ± 0.96 | 274.20 ± 3.98 | 148.21 ± 2.22 | 315.15 ± 2.45 | 190.80 ± 0.70 |
| Calcium (Ca) | 1493.45 ± 3.73 | 842.16 ± 2.02 | 2221.33 ± 6.83 | 523.91 ± 1.13 | 1786.24 ± 7.88 | 1090.90 ± 1.10 |
| Micro minerals (mg/100 g sample) | ||||||
| Iron (Fe) | 31.61 ± 0.70 | 19.83 ± 1.33 | 45.22 ± 1.12 | 16.13 ± 0.80 | 62.05 ± 1.01 | 23.40 ± 0.9 |
| Zinc (Zn) | 6.03 ± 0.09 | 3.51 ± 0.05 | 5.82 ± 0.96 | 2.80 ± 0.09 | 5.88 ± 0.44 | 4.35 ± 0.65 |
| Copper (Cu) | 1.13 ± 0.02 | 0.51 ± 0.01 | 2.33 ± 0.07 | 0.67 ± 0.03 | 1.08 ± 0.04 | 0.84 ± 0.02 |
| Scientific Name | Family | Local Name | TPC 1 (mg GAE/g DW) | TFC 2 (mg QE/g DW) | TEAC 3 (µmol trolox/g DW) | FRAP 4 (µmol Fe2+/g DW) | ||||
|---|---|---|---|---|---|---|---|---|---|---|
| Leaves | Roots | Leaves | Roots | Leaves | Roots | Leaves | Roots | |||
| Achyranthes aspera L. | Amaranthaceae | Upat Lengra | 68.84 ± 0.61a | 4.55 ± 0.11b | 80.23 ± 0.55a | 2.23 ± 0.19b | 250.18 ± 1.08a | 12.13 ± 0.28b | 505.19 ± 1.56a | 65.22 ± 0.70b |
| Eclipta alba L. | Asteraceae | Kalokeshi | 55.32 ± 0.47b | 8.45 ± 0.15a | 31.55 ± 0.25c | 4.88 ± 0.31a | 184.31 ± 1.42b | 18.58 ± 0.20a | 474.35 ± 1.88b | 81.05 ± 0.55a |
| Vitex negundo L. | Lamiaceae | Nirgundi | 72.11 ± 0.73a | 2.46 ± 0.06c | 51.07 ± 0.88b | 1.22 ± 0.09b | 282.41 ± 1.25a | 7.50 ± 0.10b | 554.41 ± 2.38a | 53.78 ± 0.98c |
| Correlation Matrix | ||||||
| Variables | TPC | TFC | TEAC | DPPH | FRAP | α-Amylase |
| TPC | 0.916 | 0.996 | 0.906 | 0.996 | 0.974 | |
| TFC | 0.916 | 0.916 | 0.829 | 0.884 | 0.876 | |
| TEAC | 0.996 | 0.916 | 0.914 | 0.988 | 0.966 | |
| DPPH | 0.906 | 0.829 | 0.914 | 0.883 | 0.963 | |
| FRAP | 0.996 | 0.884 | 0.988 | 0.883 | 0.967 | |
| α-amylase | 0.974 | 0.876 | 0.966 | 0.963 | 0.967 | |
| p-Values | ||||||
| Variables | TPC | TFC | TEAC | DPPH | FRAP | α-Amylase |
| TPC | <0.0001 | <0.0001 | <0.0001 | <0.0001 | <0.0001 | |
| TFC | <0.0001 | <0.0001 | <0.0001 | <0.0001 | <0.0001 | |
| TEAC | <0.0001 | <0.0001 | <0.0001 | <0.0001 | <0.0001 | |
| DPPH | <0.0001 | <0.0001 | <0.0001 | <0.0001 | <0.0001 | |
| FRAP | <0.0001 | <0.0001 | <0.0001 | <0.0001 | <0.0001 | |
| α-amylase | <0.0001 | <0.0001 | <0.0001 | <0.0001 | <0.0001 | |
© 2019 by the authors. Licensee MDPI, Basel, Switzerland. This article is an open access article distributed under the terms and conditions of the Creative Commons Attribution (CC BY) license (http://creativecommons.org/licenses/by/4.0/).
Share and Cite
Rana, Z.H.; Alam, M.K.; Akhtaruzzaman, M. Nutritional Composition, Total Phenolic Content, Antioxidant and α-Amylase Inhibitory Activities of Different Fractions of Selected Wild Edible Plants. Antioxidants 2019, 8, 203. https://doi.org/10.3390/antiox8070203
Rana ZH, Alam MK, Akhtaruzzaman M. Nutritional Composition, Total Phenolic Content, Antioxidant and α-Amylase Inhibitory Activities of Different Fractions of Selected Wild Edible Plants. Antioxidants. 2019; 8(7):203. https://doi.org/10.3390/antiox8070203
Chicago/Turabian StyleRana, Ziaul Hasan, Mohammad Khairul Alam, and Mohammad Akhtaruzzaman. 2019. "Nutritional Composition, Total Phenolic Content, Antioxidant and α-Amylase Inhibitory Activities of Different Fractions of Selected Wild Edible Plants" Antioxidants 8, no. 7: 203. https://doi.org/10.3390/antiox8070203
APA StyleRana, Z. H., Alam, M. K., & Akhtaruzzaman, M. (2019). Nutritional Composition, Total Phenolic Content, Antioxidant and α-Amylase Inhibitory Activities of Different Fractions of Selected Wild Edible Plants. Antioxidants, 8(7), 203. https://doi.org/10.3390/antiox8070203

