Antioxidant Potential, Genotoxic Safety, and Metabolomic Profiling of Cladode Extracts from Dactylopius opuntiae-Resistant Opuntia Species
Abstract
1. Introduction
2. Materials and Methods
2.1. Biochemical Analysis
2.2. Preparation of Plant Material
2.3. Measurement of Fiber Content
- W0 (g): weight of the empty crucible (tare)
- W1 (g) = NDF: weight of crucible + residue after NDF treatment (cellulose + hemicellulose + lignin + ash)
- W2 (g) = weight of crucible + residue after ADF treatment (cellulose + lignin + ash)
- W3 (g) = weight of crucible + residue after ADL treatment (lignin + ash)
- W4 (g) = weight of crucible + ash after incineration
- E (g) = initial sample weight.
2.4. Photosynthetic Pigments
2.5. Ascorbic Acid Concentration
2.6. Preparation of Cladode Hydroethanolic Extracts
2.6.1. Reducing Sugar Content Determination
2.6.2. Total Polyphenols
2.6.3. Flavonoid Content
2.6.4. Condensed Tannins Content
2.7. In Vitro Antioxidant Activity
2.7.1. DPPH Free Radical Neutralization
2.7.2. β-Carotene Bleaching Assay
2.7.3. Ferric Ion Reduction Antioxidant Assay
2.7.4. Total Antioxidant Capacity
2.8. UHPLC-Orbitrap IQ-X Tribrid MS/MS Analysis of Cladodes Extracts
2.9. Genotoxicity Evaluation of Opuntia Cladode Extracts
2.9.1. Animals and Experimental Conditions
2.9.2. Comet Electrophoresis Assay
2.9.3. Microscopic Observation
2.10. Statistical Analysis
3. Results
3.1. Dietary Fiber Content
3.2. Photosynthetic Pigment
3.3. Ascorbic Acid Content
3.4. Reducing Sugar Content
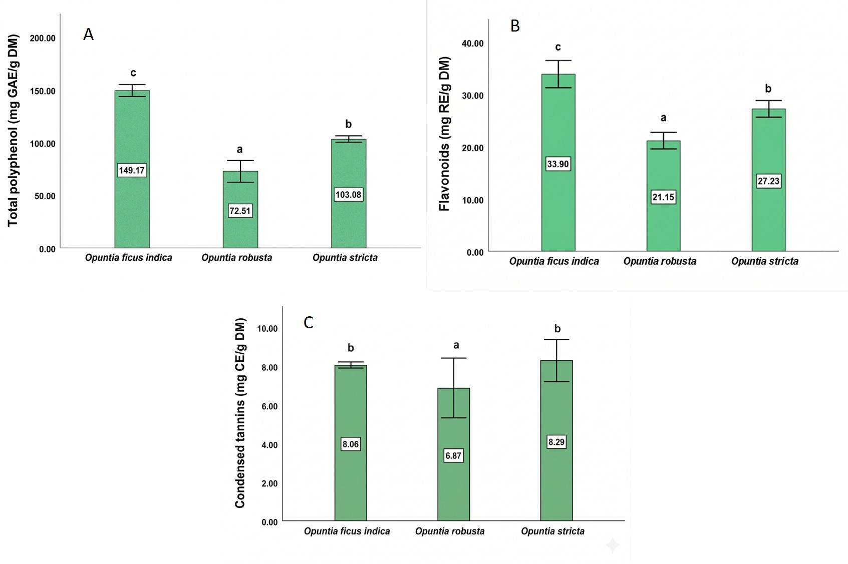
3.5. The Total Phenolic, Flavonoid, and Condensed Tannin Content
3.6. Antioxidant Activity Assessed In Vitro
3.7. Correlation Analysis and Principal Component Analysis
3.8. Comprehensive Metabolite Profiling of Opuntia Cladode Extracts Using UHPLC-Orbitrap IQ-X Tribrid MS/MS


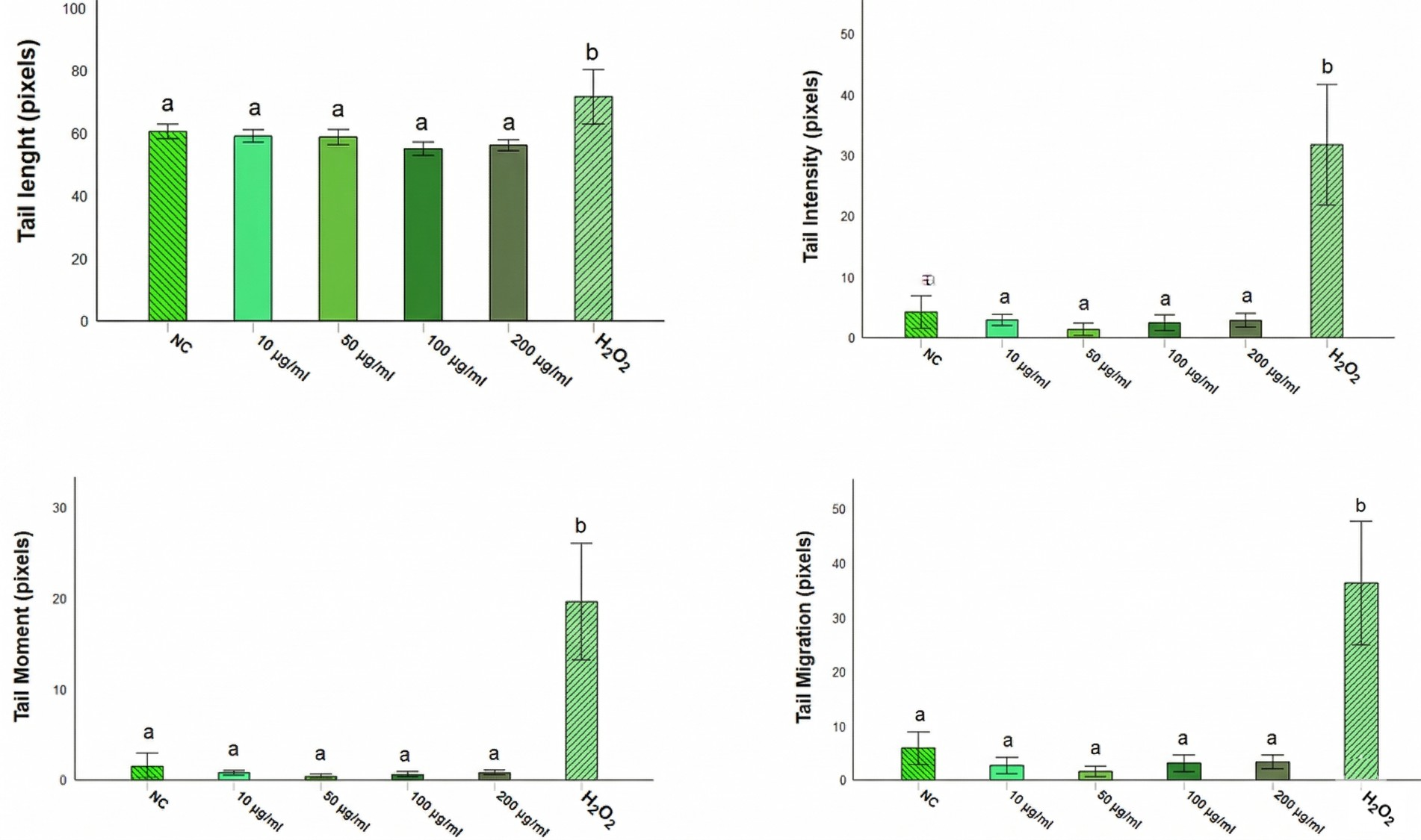
3.9. Genotoxic Effect on Rat Leukocytes



4. Discussion
5. Conclusions
Author Contributions
Funding
Institutional Review Board Statement
Informed Consent Statement
Data Availability Statement
Acknowledgments
Conflicts of Interest
Abbreviations
| NDF | Neutral Detergent Fiber |
| ADF | Acid Detergent Fiber |
| ADL | Acid Detergent Lignin |
| DPPH | 2,2-diphenyl-1-picrylhydrazyl |
| AscA | Ascorbic Acid |
| RE | Rutin Equivalent |
| CE | Cyanidin Equivalent |
| α-toc | Alpha-tocopherol |
| GAE | Gallic Acid Equivalent |
| Ch a | Chlorophyll a |
| Ch b | Chlorophyll b |
| ROS | Reactive Oxygen Species |
| SMs | Secondary Metabolites |
| GE | Glucose Equivalent |
| VOC | Volatile Organic Compounds |
| FRAP | Ferric Reducing Antioxidant Power |
| PCA | Principal Component Analysis |
| PBS | Phosphate-Buffered Saline |
| GSH | Glutathione |
| 8-oxodG | 8-oxo-2′-deoxyguanosine |
| KEGG | Kyoto Encyclopedia of Genes and Genomes |
References
- Chahdoura, H.; Barreira, J.C.; Barros, L.; Santos-Buelga, C.; Ferreira, I.C.; Achour, L. Seeds of Opuntia Spp. as a Novel High Potential by-Product: Phytochemical Characterization and Antioxidant Activity. Ind. Crops Prod. 2015, 65, 383–389. [Google Scholar]
- Andreu-Coll, L.; Cano-Lamadrid, M.; Noguera-Artiaga, L.; Lipan, L.; Carbonell-Barrachina, Á.A.; Rocamora-Montiel, B.; Legua, P.; Hernández, F.; López-Lluch, D. Economic Estimation of Cactus Pear Production and Its Feasibility in Spain. Trends Food Sci. Technol. 2020, 103, 379–385. [Google Scholar] [CrossRef]
- Ciriminna, R.; Chavarría-Hernández, N.; Rodríguez-Hernández, A.I.; Pagliaro, M. Toward Unfolding the Bioeconomy of Nopal (Opuntia Spp.). Biofuels Bioprod. Biorefining 2019, 13, 1417–1427. [Google Scholar] [CrossRef]
- El Kharrassi, Y.; Mazri, M.A.; Benyahia, H.; Benaouda, H.; Nasser, B.; El Mzouri, E.H. Fruit and Juice Characteristics of 30 Accessions of Two Cactus Pear Species (Opuntia Ficus Indica and Opuntia Megacantha) from Different Regions of Morocco. LWT-Food Sci. Technol. 2016, 65, 610–617. [Google Scholar]
- Katanić, J.; Yousfi, F.; Caruso, M.C.; Matić, S.; Monti, D.M.; Loukili, E.H.; Boroja, T.; Mihailović, V.; Galgano, F.; Imbimbo, P.; et al. Characterization of Bioactivity and Phytochemical Composition with Toxicity Studies of Different Opuntia Dillenii Extracts from Morocco. Food Biosci. 2019, 30, 100410. [Google Scholar] [CrossRef]
- Bouharroud, R.; Amarraque, A.; Qessaoui, R. First Report of the Opuntia Cochineal Scale Dactylopius Opuntiae (Hemiptera: Dactylopiidae) in Morocco. EPPO Bull. 2016, 46, 308–310. [Google Scholar] [CrossRef]
- El Aalaoui, M.; Mokrini, F.; Dababat, A.A.; Lahlali, R.; Sbaghi, M. Moroccan Entomopathogenic Nematodes as Potential Biocontrol Agents against Dactylopius Opuntiae (Hemiptera: Dactylopiidae). Sci. Rep. 2022, 12, 7590. [Google Scholar] [CrossRef]
- Sabbahi, R.; Hock, V. Control of the Prickly Pear Cochineal, Dactylopius Opuntiae (Cockerell), in Morocco: An Overview. J. Plant Dis. Prot. 2022, 129, 1323–1330. [Google Scholar] [CrossRef]
- El Aalaoui, M.; Sbaghi, M. Morphological and Phenological Characterization of Moroccan Opuntia Cactus Varieties (Karama, Ghalia, Belara, Marjana, Cherratia, Angad, and Melk Zhar) Resistant to the Cactus Cochineal Dactylopius Opuntiae (Cockerell). J. Prof. Assoc. Cactus Dev. 2023, 25, 115. [Google Scholar]
- Marhri, A.; Boumediene, M.; Tikent, A.; Melhaoui, R.; Jdaini, K.; Mihamou, A.; Serghini-Caid, H.; Elamrani, A.; Hano, C.; Abid, M.; et al. A Comparative Analysis of Morphological Characteristics between Endangered Local Prickly Pear and the Newly Introduced Dactylopius Opuntiae-Resistant Species in Eastern Morocco. Scientifica 2024, 2024, 7939465. [Google Scholar] [CrossRef]
- Ginestra, G.; Parker, M.L.; Bennett, R.N.; Robertson, J.; Mandalari, G.; Narbad, A.; Curto, R.B.L.; Bisignano, G.; Faulds, C.B.; Waldron, K.W. Anatomical, Chemical, and Biochemical Characterization of Cladodes from Prickly Pear [Opuntia Ficus-Indica (L.) Mill.]. J. Agric. Food Chem. 2009, 57, 10323–10330. [Google Scholar] [CrossRef]
- Mannai, F.; Elhleli, H.; Mosbah, M.B.; Khiari, R.; Nacer, S.N.; Belgacem, M.N.; Moussaoui, Y. Comparative Study of Conventional and Combined Ultrasound-Assisted Methods on the Quality of Mucilage Extracted from Opuntia Ficus-Indica Cladodes. Ind. Crops Prod. 2024, 214, 118566. [Google Scholar]
- El-Hawary, S.S.; Sobeh, M.; Badr, W.K.; Abdelfattah, M.A.; Ali, Z.Y.; El-Tantawy, M.E.; Rabeh, M.A.; Wink, M. HPLC-PDA-MS/MS Profiling of Secondary Metabolites from Opuntia Ficus-Indica Cladode, Peel and Fruit Pulp Extracts and Their Antioxidant, Neuroprotective Effect in Rats with Aluminum Chloride Induced Neurotoxicity. Saudi J. Biol. Sci. 2020, 27, 2829–2838. [Google Scholar]
- Aruwa, C.; Amoo, S.; Kudanga, T. Extractable and Macromolecular Antioxidants of Opuntia Ficus-Indica Cladodes: Phytochemical Profiling, Antioxidant and Antibacterial Activities. S. Afr. J. Bot. 2019, 125, 402–410. [Google Scholar]
- Ayadi, M.; Abdelmaksoud, W.; Ennouri, M.; Attia, H. Cladodes from Opuntia Ficus Indica as a Source of Dietary Fiber: Effect on Dough Characteristics and Cake Making. Ind. Crops Prod. 2009, 30, 40–47. [Google Scholar]
- Maiuolo, J.; Nucera, S.; Serra, M.; Caminiti, R.; Oppedisano, F.; Macrì, R.; Scarano, F.; Ragusa, S.; Muscoli, C.; Palma, E.; et al. Cladodes of Opuntia Ficus-Indica (L.) Mill. Possess Important Beneficial Properties Dependent on Their Different Stages of Maturity. Plants 2024, 13, 1365. [Google Scholar] [CrossRef]
- Chahdoura, H.; Hsouna, A.B.; Boujbiha, M.A.; Mnif, W.; Snoussi, M.; Khemiss, M.; El Bok, S.; M’hadheb, M.B.; Garzoli, S.; Mosbah, H. Phytochemical Characterization and Biological Activities Evaluation of Opuntia Sp. Cladode. S. Afr. J. Bot. 2024, 168, 246–252. [Google Scholar] [CrossRef]
- Missaoui, M.; D’Antuono, I.; D’Imperio, M.; Linsalata, V.; Boukhchina, S.; Logrieco, A.F.; Cardinali, A. Characterization of Micronutrients, Bioaccessibility and Antioxidant Activity of Prickly Pear Cladodes as Functional Ingredient. Molecules 2020, 25, 2176. [Google Scholar] [CrossRef] [PubMed]
- Zeghbib, W.; Boudjouan, F.; Carneiro, J.; Oliveira, A.L.; Sousa, S.F.; Pintado, M.E.; Ourabah, A.; Vasconcelos, V.; Lopes, G. LC-ESI-UHR-QqTOF-MS/MS Profiling and Anti-Inflammatory Potential of the Cultivated Opuntia Ficus-Indica (L.) Mill. and the Wild Opuntia Stricta (Haw.) Haw. Fruits from the Algerian Region. Food Chem. 2024, 460, 140414. [Google Scholar] [PubMed]
- Rodrigues, C.; Paula, C.D.d.; Lahbouki, S.; Meddich, A.; Outzourhit, A.; Rashad, M.; Pari, L.; Coelhoso, I.; Fernando, A.L.; Souza, V.G. Opuntia Spp.: An Overview of the Bioactive Profile and Food Applications of This Versatile Crop Adapted to Arid Lands. Foods 2023, 12, 1465. [Google Scholar] [CrossRef]
- Pan, Y.; Lin, K.; Zeng, J.; Zhou, Y.; Yang, D.; Zhu, X.; Shi, M.; Sun, Q.; Ou, C.; Wang, Y.; et al. Nutritional Evaluation, Characteristic Component Differences and Non-Targeted Metabolomics Analysis of Traditional Fermented Glutinous Rice in Four Chinese Provinces. Food Chem. X 2026, 33, 103534. [Google Scholar] [CrossRef]
- Aloo, S.; Ofosu, F.; Muchiri, M.; Vijayalakshmi, S.; Pyo, C.-G.; Oh, D.-H. In Vitro Bioactivities of Commonly Consumed Cereal, Vegetable, and Legume Seeds as Related to Their Bioactive Components: An Untargeted Metabolomics Approach Using UHPLC–QTOF-MS2. Antioxidants 2023, 12, 1501. [Google Scholar] [CrossRef] [PubMed]
- Sahbani, S.K. Protective Effect of Opuntia Ficus Indica Cladode Extract against Gamma Radiation-Induced DNA Strand Breaks and Base Damage. J. Radiat. Res. Appl. Sci. 2023, 16, 100734. [Google Scholar] [CrossRef]
- Zorgui, L.; Ayed-Boussema, I.; Ayed, Y.; Bacha, H.; Hassen, W. The Antigenotoxic Activities of Cactus (Opuntia Ficus-Indica) Cladodes against the Mycotoxin Zearalenone in Balb/c Mice: Prevention of Micronuclei, Chromosome Aberrations and DNA Fragmentation. Food Chem. Toxicol. 2009, 47, 662–667. [Google Scholar] [CrossRef] [PubMed]
- Maiuolo, J.; Liuzzi, F.; Spagnoletta, A.; Oppedisano, F.; Macrì, R.; Scarano, F.; Caminiti, R.; Nucera, S.; Serra, M.; Palma, E.; et al. Studies on the Comparative Response of Fibers Obtained from the Pastazzo of Citrus Bergamia and Cladodes of Opuntia Ficus-Indica on In Vitro Model of Neuroinflammation. Plants 2024, 13, 2123. [Google Scholar] [CrossRef]
- Zamboi, A.; Garofalo, S.F.; Tommasi, T.; Fino, D. Optimization of Ultrasounds Assisted Extraction of Polysaccharides from Cladodes of Opuntia Ficus-Indica Using Response Surface Methodology. Sustain. Chem. Pharm. 2024, 37, 101348. [Google Scholar] [CrossRef]
- Van Soest, P.J.; Robertson, J. Analysis of Forages and Fibrous Foods; Cornell University: Ithaca, NY, USA, 1985. [Google Scholar]
- Lichtenthaler, H.K. [34] Chlorophylls and Carotenoids: Pigments of Photosynthetic Biomembranes. In Methods in Enzymology; Elsevier: Amsterdam, The Netherlands, 1987; Volume 148, pp. 350–382. [Google Scholar]
- Mau, J.-L.; Tsai, S.-Y.; Tseng, Y.-H.; Huang, S.-J. Antioxidant Properties of Methanolic Extracts from Ganoderma Tsugae. Food Chem. 2005, 93, 641–649. [Google Scholar]
- Saqib, A.A.N.; Whitney, P.J. Differential Behaviour of the Dinitrosalicylic Acid (DNS) Reagent Towards Mono-and Di-Saccharide Sugars. Biomass Bioenergy 2011, 35, 4748–4750. [Google Scholar] [CrossRef]
- Velioglu, Y.; Mazza, G.; Gao, L.; Oomah, B. Antioxidant Activity and Total Phenolics in Selected Fruits, Vegetables, and Grain Products. J. Agric. Food Chem. 1998, 46, 4113–4117. [Google Scholar] [CrossRef]
- Koolen, H.H.; da Silva, F.M.; Gozzo, F.C.; de Souza, A.Q.; de Souza, A.D. Antioxidant, Antimicrobial Activities and Characterization of Phenolic Compounds from Buriti (Mauritia Flexuosa L. f.) by UPLC–ESI-MS/MS. Food Res. Int. 2013, 51, 467–473. [Google Scholar] [CrossRef]
- Julkunen-Tiitto, R. Phenolic Constituents in the Leaves of Northern Willows: Methods for the Analysis of Certain Phenolics. J. Agric. Food Chem. 1985, 33, 213–217. [Google Scholar] [CrossRef]
- Braca, A.; De Tommasi, N.; Di Bari, L.; Pizza, C.; Politi, M.; Morelli, I. Antioxidant Principles from Bauhinia tarapotensis. J. Nat. Prod. 2001, 64, 892–895. [Google Scholar] [CrossRef]
- Kabouche, A.; Kabouche, Z.; Öztürk, M.; Kolak, U.; Topçu, G. Antioxidant Abietane Diterpenoids from Salvia barrelieri. Food Chem. 2007, 102, 1281–1287. [Google Scholar] [CrossRef]
- Karagözler, A.A.; Erdağ, B.; Emek, Y.Ç.; Uygun, D.A. Antioxidant Activity and Proline Content of Leaf Extracts from Dorystoechas hastata. Food Chem. 2008, 111, 400–407. [Google Scholar] [CrossRef]
- Umamaheswari, M.; Chatterjee, T. In Vitro Antioxidant Activities of the Fractions of Coccinia Grandis L. Leaf Extract. Afr. J. Tradit. Complement. Altern. Med. 2008, 5, 61–73. [Google Scholar] [CrossRef]
- Ouahhoud, S.; Khoulati, A.; Kadda, S.; Bencheikh, N.; Mamri, S.; Ziani, A.; Baddaoui, S.; Eddabbeh, F.-E.; Lahmass, I.; Benabbes, R.; et al. Antioxidant Activity, Metal Chelating Ability and DNA Protective Effect of the Hydroethanolic Extracts of Crocus sativus Stigmas, Tepals and Leaves. Antioxidants 2022, 11, 932. [Google Scholar] [CrossRef]
- Singh, N.P.; McCoy, M.T.; Tice, R.R.; Schneider, E.L. A Simple Technique for Quantitation of Low Levels of DNA Damage in Individual Cells. Exp. Cell Res. 1988, 175, 184–191. [Google Scholar] [CrossRef]
- Garcia, O.; Romero, I.; González, J.E.; Mandina, T. Measurements of DNA Damage on Silver Stained Comets Using Free Internet Software. Mutat. Res. Toxicol. Environ. Mutagen. 2007, 627, 186–190. [Google Scholar] [CrossRef]
- Pinos-Rodríguez, J.; Duque-Briones, R.; Reyes-Agüero, J.; Aguirre-Rivera, J.; García-López, J.; González-Muñoz, S. Effect of Species and Age on Nutrient Content and in Vitro Digestibility of Opuntia spp. J. Appl. Anim. Res. 2006, 30, 13–17. [Google Scholar] [CrossRef][Green Version]
- Teklu, G.W.; Ayimut, K.-M.; Abera, F.A.; Egziabher, Y.G.; Fitiwi, I. Nutritive and Chemical Composition and In Vitro Digestibility of Cladodes of the Opuntia Species. Sustainability 2023, 15, 6624. [Google Scholar] [CrossRef]
- Batista, Â.M.; Ribeironeto, A.C.; Lucena, R.B.; Santos, D.C.; Dubeux, J., Jr.; Mustafa, A.F. Chemical Composition and Ruminal Degradability of Spineless Cactus Grown in Northeastern Brazil. Rangel. Ecol. Manag. 2009, 62, 297–301. [Google Scholar] [CrossRef]
- Abidi, S.; Salem, H.B.; Vasta, V.; Priolo, A. Supplementation with Barley or Spineless Cactus (Opuntia Ficus Indica f. Inermis) Cladodes on Digestion, Growth and Intramuscular Fatty Acid Composition in Sheep and Goats Receiving Oaten Hay. Small Rumin. Res. 2009, 87, 9–16. [Google Scholar] [CrossRef]
- Negesse, T.; Makkar, H.; Becker, K. Nutritive Value of Some Non-Conventional Feed Resources of Ethiopia Determined by Chemical Analyses and an in Vitro Gas Method. Anim. Feed Sci. Technol. 2009, 154, 204–217. [Google Scholar] [CrossRef]
- Vazquez-Mendoza, P.; Miranda-Romero, L.A.; Aranda-Osorio, G.; Burgueño-Ferreira, J.A.; Salem, A.Z. Evaluation of Eleven Mexican Cultivars of Prickly Pear Cactus Trees for Possibly Utilization as Animal Fed: In Vitro Gas Production. Agrofor. Syst. 2017, 91, 749–756. [Google Scholar] [CrossRef]
- Santos, R.; Neves, A.; Santos, D.; Pereira, L.; Gonçalves, L.; Ferreira, A.; Costa, C.; Araujo, G.; Scherer, C.; Sollenberger, L. Divergence in Nutrient Concentration, in Vitro Degradation and Gas Production Potential of Spineless Cactus Genotypes Selected for Insect Resistance. J. Agric. Sci. 2018, 156, 450–456. [Google Scholar] [CrossRef]
- Rocchetti, G.; Pellizzoni, M.; Montesano, D.; Lucini, L. Italian Opuntia Ficus-Indica Cladodes as Rich Source of Bioactive Compounds with Health-Promoting Properties. Foods 2018, 7, 24. [Google Scholar] [CrossRef]
- Misra, A.; Mishra, A.; Tripathi, M.; Chaturvedi, O.; Vaithiyanathan, S.; Prasad, R.; Jakhmola, R. Intake, Digestion and Microbial Protein Synthesis in Sheep on Hay Supplemented with Prickly Pear Cactus [Opuntia Ficus-Indica (L.) Mill.] with or without Groundnut Meal. Small Rumin. Res. 2006, 63, 125–134. [Google Scholar] [CrossRef]
- Nobel, P.S. Cacti: Biology and Uses; University of California Press: Oakland, CA, USA, 2002. [Google Scholar]
- Guevara, J.C.; Suassuna, P.; Felker, P. Opuntia Forage Production Systems: Status and Prospects for Rangeland Application. Rangel. Ecol. Manag. 2009, 62, 428–434. [Google Scholar] [CrossRef]
- Guan, J.; Teng, K.; Yue, Y.; Guo, Y.; Liu, L.; Yin, S.; Han, L. Zoysia Japonica Chlorophyll b Reductase Gene NOL Participates in Chlorophyll Degradation and Photosynthesis. Front. Plant Sci. 2022, 13, 906018. [Google Scholar] [CrossRef]
- Wang, C.; Zhang, Q. Exogenous Salicylic Acid Alleviates the Toxicity of Chlorpyrifos in Wheat Plants (Triticum Aestivum). Ecotoxicol. Environ. Saf. 2017, 137, 218–224. [Google Scholar] [CrossRef] [PubMed]
- Sdouga, D.; Amor, F.B.; Ghribi, S.; Kabtni, S.; Tebini, M.; Branca, F.; Trifi-Farah, N.; Marghali, S. An Insight from Tolerance to Salinity Stress in Halophyte Portulaca Oleracea L.: Physio-Morphological, Biochemical and Molecular Responses. Ecotoxicol. Environ. Saf. 2019, 172, 45–52. [Google Scholar] [CrossRef]
- Senger, E.; Peyrat, A.; Martin, M.; Montes, J. Genetic Variation in Leaf Chlorophyll Content of Jatropha Curcas L. Ind. Crops Prod. 2014, 58, 204–211. [Google Scholar] [CrossRef]
- Koufan, M.; Choukrane, B.; Mazri, M.A. Structure–Function Relationships and Health-Promoting Properties of the Main Nutraceuticals of the Cactus Pear (Opuntia Spp.) Cladodes: A Review. Molecules 2024, 29, 4732. [Google Scholar]
- Izuegbuna, O.; Otunola, G.; Bradley, G. Chemical Composition, Antioxidant, Anti-Inflammatory, and Cytotoxic Activities of Opuntia Stricta Cladodes. PLoS ONE 2019, 14, e0209682. [Google Scholar]
- Lima, G.V.S.; Gonçalves, C.G.; Pinto, A.S.O.; da Silva, E.M.; de Souza, J.N.S.; Rogez, H. Impact of Post-Harvest Processing and Roasting Conditions on the Physicochemical Properties, Phenolic Compounds, and Antioxidant Capacity of Cocoa Beans from the Brazilian Amazon. LWT 2024, 210, 116825. [Google Scholar] [CrossRef]
- Medina-Torres, L.; Vernon-Carter, E.J.; Gallegos-Infante, J.A.; Rocha-Guzman, N.E.; Herrera-Valencia, E.; Calderas, F.; Jiménez-Alvarado, R. Study of the Antioxidant Properties of Extracts Obtained from Nopal Cactus (Opuntia Ficus-Indica) Cladodes after Convective Drying. J. Sci. Food Agric. 2011, 91, 1001–1005. [Google Scholar]
- du Toit, A.; de Wit, M.; Osthoff, G.; Hugo, A. Antioxidant Properties of Fresh and Processed Cactus Pear Cladodes from Selected Opuntia Ficus-Indica and O. Robusta Cultivars. S. Afr. J. Bot. 2018, 118, 44–51. [Google Scholar] [CrossRef]
- Bendada, M.; Hadini, A.; El Asri, O.; Taarabt, Y.; Nazih, A.; Andich, K.; El Bekkaye, K.; Chaabane, K. Evaluation of Phytochemical Content and In Vitro Antioxidant Activities of Pistacia Lentiscus L. Leaves Extracts, a Medicinal Plant From the Beni-Snassen Forest (Eastern Region of Morocco). Scientifica 2024, 2024, 9999175. [Google Scholar] [CrossRef] [PubMed]
- da Silveira Agostini-Costa, T. Genetic and Environment Effects on Bioactive Compounds of Opuntia Cacti—A Review. J. Food Compos. Anal. 2022, 109, 104514. [Google Scholar]
- Jeandet, P.; Formela-Luboińska, M.; Labudda, M.; Morkunas, I. The Role of Sugars in Plant Responses to Stress and Their Regulatory Function during Development. Int. J. Mol. Sci. 2022, 23, 5161. [Google Scholar] [CrossRef]
- Valluru, R.; Van den Ende, W. Plant Fructans in Stress Environments: Emerging Concepts and Future Prospects. J. Exp. Bot. 2008, 59, 2905–2916. [Google Scholar] [CrossRef]
- Mounir, B.; Younes, E.G.; Asmaa, M.; Abdeljalil, Z.; Abdellah, A. Physico-Chemical Changes in Cladodes of Opuntia Ficus-Indica as a Function of the Growth Stage and Harvesting Areas. J. Plant Physiol. 2020, 251, 153196. [Google Scholar] [CrossRef]
- Pérez-Cadena, R.; Espinosa-Solares, T.; Medina-Moreno, S.; Martínez, A.; Lizardi-Jiménez, M.; Téllez-Jurado, A. Effect of the Age of Opuntia Ficus-Indica Cladodes on the Release of Simple Sugars. Biocatal. Agric. Biotechnol. 2021, 33, 102010. [Google Scholar] [CrossRef]
- Jeandet, P.; Vannozzi, A.; Sobarzo-Sánchez, E.; Uddin, M.S.; Bru, R.; Martínez-Márquez, A.; Clément, C.; Cordelier, S.; Manayi, A.; Nabavi, S.F.; et al. Phytostilbenes as Agrochemicals: Biosynthesis, Bioactivity, Metabolic Engineering and Biotechnology. Nat. Prod. Rep. 2021, 38, 1282–1329. [Google Scholar] [CrossRef]
- Nabavi, S.M.; Šamec, D.; Tomczyk, M.; Milella, L.; Russo, D.; Habtemariam, S.; Suntar, I.; Rastrelli, L.; Daglia, M.; Xiao, J.; et al. Flavonoid Biosynthetic Pathways in Plants: Versatile Targets for Metabolic Engineering. Biotechnol. Adv. 2020, 38, 107316. [Google Scholar] [CrossRef] [PubMed]
- Li, Y.; Kong, D.; Fu, Y.; Sussman, M.R.; Wu, H. The Effect of Developmental and Environmental Factors on Secondary Metabolites in Medicinal Plants. Plant Physiol. Biochem. 2020, 148, 80–89. [Google Scholar] [CrossRef] [PubMed]
- Selwal, N.; Rahayu, F.; Herwati, A.; Latifah, E.; Supriyono; Suhara, C.; Suastika, I.B.K.; Mahayu, W.M.; Wani, A.K. Enhancing Secondary Metabolite Production in Plants: Exploring Traditional and Modern Strategies. J. Agric. Food Res. 2023, 14, 100702. [Google Scholar] [CrossRef]
- Maniaci, G.; Ponte, M.; Giosuè, C.; Gannuscio, R.; Pipi, M.; Gaglio, R.; Busetta, G.; Di Grigoli, A.; Bonanno, A.; Alabiso, M. Cladodes of Opuntia Ficus-Indica (L.) as a Source of Bioactive Compounds in Dairy Products. J. Dairy Sci. 2024, 107, 1887–1902. [Google Scholar] [CrossRef]
- Figueroa-Pérez, M.G.; Pérez-Ramírez, I.F.; Paredes-López, O.; Mondragón-Jacobo, C.; Reynoso-Camacho, R. Phytochemical Composition and In Vitro Analysis of Nopal (O. Ficus-Indica) Cladodes at Different Stages of Maturity. Int. J. Food Prop. 2018, 21, 1728–1742. [Google Scholar] [CrossRef]
- Verma, N.; Shukla, S. Impact of Various Factors Responsible for Fluctuation in Plant Secondary Metabolites. J. Appl. Res. Med. Aromat. Plants 2015, 2, 105–113. [Google Scholar] [CrossRef]
- Zhao, Q.; Li, M.; Li, M.; Jin, L.; Wei, J. Changes in Growth Characteristics and Secondary Metabolites in Sinopodophyllum Hexandrum with Increasing Age. Ind. Crops Prod. 2023, 196, 116509. [Google Scholar] [CrossRef]
- Linić, I.; Mlinarić, S.; Brkljačić, L.; Pavlović, I.; Smolko, A.; Salopek-Sondi, B. Ferulic Acid and Salicylic Acid Foliar Treatments Reduce Short-Term Salt Stress in Chinese Cabbage by Increasing Phenolic Compounds Accumulation and Photosynthetic Performance. Plants 2021, 10, 2346. [Google Scholar] [CrossRef]
- Anjali; Kumar, S.; Korra, T.; Thakur, R.; Arutselvan, R.; Kashyap, A.S.; Nehela, Y.; Chaplygin, V.; Minkina, T.; Keswani, C. Role of Plant Secondary Metabolites in Defence and Transcriptional Regulation in Response to Biotic Stress. Plant Stress 2023, 8, 100154. [Google Scholar] [CrossRef]
- Saravanan, G. Plants and Phytochemical Activity as Botanical Pesticides for Sustainable Agricultural Crop Production in India-MiniReview. J. Agric. Food Res. 2022, 9, 100345. [Google Scholar] [CrossRef]
- Al-Khayri, J.M.; Rashmi, R.; Toppo, V.; Chole, P.B.; Banadka, A.; Sudheer, W.N.; Nagella, P.; Shehata, W.F.; Al-Mssallem, M.Q.; Alessa, F.M.; et al. Plant Secondary Metabolites: The Weapons for Biotic Stress Management. Metabolites 2023, 13, 716. [Google Scholar] [CrossRef]
- Razo-Belman, R.; Ozuna, C. Volatile Organic Compounds: A Review of Their Current Applications as Pest Biocontrol and Disease Management. Horticulturae 2023, 9, 441. [Google Scholar] [CrossRef]
- Zhang, S.-P.; Bai, B.; Chen, G.-M.; Wang, Y.-Q.; Hu, C.; Liu, X.-F.; Gao, P.; Li, Y.-T.; Fu, N.-X.; Yang, X.-Q. Secondary Metabolites in Host Pears Defense against Two Fruit Borers and Cytochrome-P450-Mediated Counter-Defense. Iscience 2024, 27, 109518. [Google Scholar] [PubMed]
- Nam, D.-G.; Yang, H.-S.; Bae, U.-J.; Park, E.; Choi, A.-J.; Choe, J.-S. The Cactus (Opuntia Ficus-Indica) Cladodes and Callus Extracts: A Study Combined with LC-MS Metabolic Profiling, in-Silico, and in-Vitro Analyses. Antioxidants 2023, 12, 1329. [Google Scholar] [CrossRef]
- Elouazkiti, M.; Elyacoubi, H.; Gadhi, C.; Bouamama, H.; Rochdi, A. Proximate Nutritive Values, Antioxidant Capacity, Antimicrobial Properties and Profiling the Chemical Content of Opuntia Stricta Cladodes and Fruit Peel by HPLC–DAD-ESI/MS Analyses. Nat. Prod. Res. 2025, 39, 6564–6575. [Google Scholar] [CrossRef] [PubMed]
- De Santiago, E.; Juániz, I.; Cid, C.; De Peña, M.-P. Extraction of (Poly) Phenolic Compounds of Cactus (Opuntia Ficus-Indica (L.) Mill.) Cladodes. Food Anal. Methods 2021, 14, 1167–1175. [Google Scholar] [CrossRef]
- Ressaissi, A.; Attia, N.; Falé, P.L.; Pacheco, R.; Victor, B.L.; Machuqueiro, M.; Serralheiro, M.L.M. Isorhamnetin Derivatives and Piscidic Acid for Hypercholesterolemia: Cholesterol Permeability, HMG-CoA Reductase Inhibition, and Docking Studies. Arch. Pharmacal Res. 2017, 40, 1278–1286. [Google Scholar]
- Petruk, G.; Di Lorenzo, F.; Imbimbo, P.; Silipo, A.; Bonina, A.; Rizza, L.; Piccoli, R.; Monti, D.M.; Lanzetta, R. Protective Effect of Opuntia Ficus-Indica L. Cladodes against UVA-Induced Oxidative Stress in Normal Human Keratinocytes. Bioorganic Med. Chem. Lett. 2017, 27, 5485–5489. [Google Scholar]
- Chahdoura, H.; Barreira, J.C.; Barros, L.; Santos-Buelga, C.; Ferreira, I.C.; Achour, L. Phytochemical Characterization and Antioxidant Activity of the Cladodes of Opuntia Macrorhiza (Engelm.) and Opuntia Microdasys (Lehm.). Food Funct. 2014, 5, 2129–2136. [Google Scholar] [CrossRef] [PubMed]
- Quiroga, P.R.; Nepote, V.; Baumgartner, M.T. Contribution of Organic Acids to α-Terpinene Antioxidant Activity. Food Chem. 2019, 277, 267–272. [Google Scholar] [CrossRef]
- Dyachenko, E.I.; Bel’skaya, L.V. The Role of Amino Acids in Non-Enzymatic Antioxidant Mechanisms in Cancer: A Review. Metabolites 2023, 14, 28. [Google Scholar] [CrossRef]
- Das, K.; Roychoudhury, A. Reactive Oxygen Species (ROS) and Response of Antioxidants as ROS-Scavengers during Environmental Stress in Plants. Front. Environ. Sci. 2014, 2, 53. [Google Scholar] [CrossRef]
- Alam, M.N.; Bristi, N.J.; Rafiquzzaman, M. Review on in Vivo and in Vitro Methods Evaluation of Antioxidant Activity. Saudi Pharm. J. 2013, 21, 143–152. [Google Scholar] [CrossRef] [PubMed]
- Lahmidi, S.; Homrani Bakali, A.; Harrak, H. Physical and Physicochemical Characteristics, Bioactive Compounds, and Antioxidant Activity of Cladodes from Erect Prickly Pear Opuntia Stricta (Haw.) Haw. J. Food Qual. 2023, 2023, 3028552. [Google Scholar] [CrossRef]
- De Wit, M.; Du Toit, A.; Osthoff, G.; Hugo, A. Antioxidant Content, Capacity and Retention in Fresh and Processed Cactus Pear (Opuntia Ficus-Indica and O. Robusta) Fruit Peels from Different Fruit-Colored Cultivars. Front. Sustain. Food Syst. 2020, 4, 133. [Google Scholar]
- Effiong, M.E.; Umeokwochi, C.P.; Afolabi, I.S.; Chinedu, S.N. Comparative Antioxidant Activity and Phytochemical Content of Five Extracts of Pleurotus Ostreatus (Oyster Mushroom). Sci. Rep. 2024, 14, 3794. [Google Scholar] [CrossRef]
- Ueno, H.; Yamakura, S.; Arastoo, R.S.; Oshima, T.; Kokubo, K. Systematic Evaluation and Mechanistic Investigation of Antioxidant Activity of Fullerenols Using β-Carotene Bleaching Assay. J. Nanomater. 2014, 2014, 802596. [Google Scholar]
- Saeed, N.; Khan, M.R.; Shabbir, M. Antioxidant Activity, Total Phenolic and Total Flavonoid Contents of Whole Plant Extracts Torilis leptophylla L. BMC Complement. Altern. Med. 2012, 12, 221. [Google Scholar]
- Rumpf, J.; Burger, R.; Schulze, M. Statistical Evaluation of DPPH, ABTS, FRAP, and Folin-Ciocalteu Assays to Assess the Antioxidant Capacity of lignins. Int. J. Biol. Macromol. 2023, 233, 123470. [Google Scholar] [CrossRef] [PubMed]
- Müller, L.; Fröhlich, K.; Böhm, V. Comparative Antioxidant Activities of Carotenoids Measured by Ferric Reducing Antioxidant Power (FRAP), ABTS Bleaching Assay (αTEAC), DPPH Assay and Peroxyl Radical Scavenging Assay. Food Chem. 2011, 129, 139–148. [Google Scholar] [CrossRef]
- Shen, N.; Wang, T.; Gan, Q.; Liu, S.; Wang, L.; Jin, B. Plant Flavonoids: Classification, Distribution, Biosynthesis, and Antioxidant Activity. Food Chem. 2022, 383, 132531. [Google Scholar] [CrossRef] [PubMed]
- Adugna, H.; Ezez, D.; Guadie, A.; Tefera, M. Phytochemical Profiling, Evaluation of Heavy Metal Load, Antioxidant and Antibacterial Activity of Various Medicinal Plants. J. Agric. Food Res. 2024, 16, 101190. [Google Scholar] [CrossRef]
- Hadini, A.; Azdimousa, A.; Khoulati, A.; El Bekkaye, K.; Saalaoui, E. Valorization of Moroccan Pistacia Lentiscus L. Leaves: Phytochemical and in Vitro Antioxidant Activity Evaluation Compared to Different Altitudes. Sci. World J. 2022, 2022, 6367663. [Google Scholar] [CrossRef]
- Khoulati, A.; Ouahhoud, S.; Channouf, I.; Channouf, K.; Azdimousa, A.; Mamri, S.; Ziani, A.; Baddaoui, S.; Hadini, A.; Asehraou, A.; et al. Crocus Sativus L. (Saffron): A Cocktail of Bioactive Molecules as a Biostimulant by Influencing Plant Growth, the Polyphenol and Ascorbic Acid Content of Eggplant Fruit. Sci. Afr. 2023, 19, e01451. [Google Scholar]
- Sponchiado, G.; Adam, M.L.; Silva, C.D.; Soley, B.S.; de Mello-Sampayo, C.; Cabrini, D.A.; Correr, C.J.; Otuki, M.F. Quantitative Genotoxicity Assays for Analysis of Medicinal Plants: A Systematic Review. J. Ethnopharmacol. 2016, 178, 289–296. [Google Scholar] [CrossRef]
- Araldi, R.P.; de Melo, T.C.; Mendes, T.B.; de Sá Júnior, P.L.; Nozima, B.H.N.; Ito, E.T.; de Carvalho, R.F.; de Souza, E.B.; de Cassia Stocco, R. Using the Comet and Micronucleus Assays for Genotoxicity Studies: A Review. Biomed. Pharmacother. 2015, 72, 74–82. [Google Scholar] [CrossRef] [PubMed]
- Ventura, L.; Giovannini, A.; Savio, M.; Donà, M.; Macovei, A.; Buttafava, A.; Carbonera, D.; Balestrazzi, A. Single Cell Gel Electrophoresis (Comet) Assay with Plants: Research on DNA Repair and Ecogenotoxicity Testing. Chemosphere 2013, 92, 1–9. [Google Scholar] [CrossRef] [PubMed]
- Siddiqui, F.; Farooq, A.D.; Mudassar; Kabir, N.; Fatima, N.; Abidi, L.; Lubna; Faizi, S. Toxicological Assessment of Opuntia Dillenii (Ker Gawl.) Haw. Cladode Methanol Extract, Fractions and Its Alpha Pyrones: Opuntiol and Opuntioside. J. Ethnopharmacol. 2021, 280, 114409. [Google Scholar] [CrossRef]
- Allai, L.; Druart, X.; Öztürk, M.; BenMoula, A.; Nasser, B.; El Amiri, B. Protective Effects of Opuntia Ficus-Indica Extract on Ram Sperm Quality, Lipid Peroxidation and DNA Fragmentation during Liquid Storage. Anim. Reprod. Sci. 2016, 175, 1–9. [Google Scholar] [CrossRef] [PubMed]
- Zhu, X.; Athmouni, K. HPLC Analysis and the Antioxidant and Preventive Actions of Opuntia Stricta Juice Extract Against Hepato-Nephrotoxicity and Testicular Injury Induced by Cadmium Exposure. Molecules 2022, 27, 4972. [Google Scholar] [CrossRef] [PubMed]
- Coyle, C.H.; Martinez, L.J.; Coleman, M.C.; Spitz, D.R.; Weintraub, N.L.; Kader, K.N. Mechanisms of H2O2-Induced Oxidative Stress in Endothelial Cells. Free Radic. Biol. Med. 2006, 40, 2206–2213. [Google Scholar]
- Yin, R.; Zhang, D.; Song, Y.; Zhu, B.-Z.; Wang, H. Potent DNA Damage by Polyhalogenated Quinones and H2O2 via a Metal-Independent and Intercalation-Enhanced Oxidation Mechanism. Sci. Rep. 2013, 3, 1269. [Google Scholar] [PubMed]
- Macomber, L.; Rensing, C.; Imlay, J.A. Intracellular Copper Does Not Catalyze the Formation of Oxidative DNA Damage in Escherichia coli. J. Bacteriol. 2007, 189, 1616–1626. [Google Scholar] [CrossRef]
- Bokare, A.D.; Choi, W. Review of Iron-Free Fenton-like Systems for Activating H2O2 in Advanced Oxidation Processes. J. Hazard. Mater. 2014, 275, 121–135. [Google Scholar]
- Liu, Y.; Zhao, Y.; Wang, J. Fenton/Fenton-like Processes with in-Situ Production of Hydrogen Peroxide/Hydroxyl Radical for Degradation of Emerging Contaminants: Advances and Prospects. J. Hazard. Mater. 2021, 404, 124191. [Google Scholar]
- Hajam, Y.A.; Rani, R.; Ganie, S.Y.; Sheikh, T.A.; Javaid, D.; Qadri, S.S.; Pramodh, S.; Alsulimani, A.; Alkhanani, M.F.; Harakeh, S.; et al. Oxidative Stress in Human Pathology and Aging: Molecular Mechanisms and Perspectives. Cells 2022, 11, 552. [Google Scholar] [CrossRef]
- Demirci-Cekic, S.; Özkan, G.; Avan, A.N.; Uzunboy, S.; Çapanoğlu, E.; Apak, R. Biomarkers of Oxidative Stress and Antioxidant Defense. J. Pharm. Biomed. Anal. 2022, 209, 114477. [Google Scholar] [CrossRef]
- Ferjani, W.; Kouki, A.; Dang, P.M.-C.; Fetoui, H.; Chtourou, Y.; Ghanem-Boughanmi, N.; Ben-Attia, M.; El-Benna, J.; Souli, A. Opuntia Ficus-Indica Cladodes Extract Inhibits Human Neutrophil pro-Inflammatory Functions and Protects Rats from Acetic Acid-Induced Ulcerative Colitis. Inflammopharmacology 2024, 32, 3825–3844. [Google Scholar]
- Lehner, M.D.; Scheyhing, U.; Elsässer, J. A Combination of Carbonates and Opuntia Ficus-Indica Extract Protects Esophageal Cells against Simulated Acidic and Non-Acidic Reflux in Vitro. Sci. Rep. 2024, 14, 22355. [Google Scholar] [PubMed]
- Demma, J.; Engidawork, E.; Hellman, B. Potential Genotoxicity of Plant Extracts Used in Ethiopian Traditional Medicine. J. Ethnopharmacol. 2009, 122, 136–142. [Google Scholar] [CrossRef]
- Lin, H.; Guo, X.; Zhang, S.; Dial, S.L.; Guo, L.; Manjanatha, M.G.; Moore, M.M.; Mei, N. Mechanistic Evaluation of Ginkgo Biloba Leaf Extract-Induced Genotoxicity in L5178Y Cells. Toxicol. Sci. 2014, 139, 338–349. [Google Scholar]
- Zhang, Z.; Chen, S.; Mei, H.; Xuan, J.; Guo, X.; Couch, L.; Dobrovolsky, V.N.; Guo, L.; Mei, N. Ginkgo Biloba Leaf Extract Induces DNA Damage by Inhibiting Topoisomerase II Activity in Human Hepatic Cells. Sci. Rep. 2015, 5, 14633. [Google Scholar] [CrossRef]
- Jomova, K.; Cvik, M.; Orolinova, T.; Alomar, S.Y.; Alwasel, S.H.; Aldahmash, W.; Alqarzae, S.; Al-Juaimlani, A.; Nepovimova, E.; Kuca, K.; et al. Antioxidant versus Prooxidant Properties of the Flavonoid, Galangin: ROS Scavenging Activity, Flavonoid-DNA Interaction, Copper-Catalyzed Fenton Reaction and DNA Damage Study. J. Agric. Food Res. 2024, 16, 101112. [Google Scholar]
- Tian, L.; Zhang, S.; Yi, J.; Zhu, Z.; Cui, L.; Decker, E.A.; McClements, D.J. Factors Impacting the Antioxidant/Prooxidant Activity of Tea Polyphenols on Lipids and Proteins in Oil-in-Water Emulsions. LWT 2022, 156, 113024. [Google Scholar]








| Species | Cellulose (% ± SD) | Hemicellulose (% ± SD) | NDF (% ± SD) | ADF (% ± SD) | ADL (% ± SD) |
|---|---|---|---|---|---|
| O. ficus indica | 11.12 ± 0.02 c | 16.22 ± 0.05 b | 32.94 ± 0.82 b | 16.78 ± 0.82 c | 5.67 ± 0.02 c |
| O. robusta | 8.94 ± 0.03 b | 25.67 ± 0.03 c | 36.23 ± 0.80 c | 10.56 ± 0.83 b | 1.32 ± 0.03 b |
| O. stricta | 5.79 ± 0.07 a | 15.87 ± 0.47 a | 22.62 ± 0.83 a | 6.74 ± 0.82 a | 0.95 ± 0.01 a |
| Species | DPPH (IC50 mg/mL ± SD) | β-Carotene (% ± SD) | FRAP (mg α-tocE/g DM ± SD) | TAC (mg α-tocE/g DM ± SD) |
|---|---|---|---|---|
| O. ficus indica | 1.99 ± 0.89 a | 48.52 ± 0.50 c | 19.48 ± 0.94 b | 76.50 ± 1.80 b |
| O. robusta | 2.78 ± 1.27 b | 28.37 ± 1.18 b | 17.24 ± 0.35 a | 50.37 ± 2.58 a |
| O. stricta | 2.07 ± 0.91 a | 25.46 ± 0.34 a | 17.88 ± 0.81 a | 90.29 ± 1.34 c |
| Pearson Correlation | TPC | TFC | Ascorbic Acid | Tannins | DPPH | FRAP | β-Carotene | Phosphomolybdate |
|---|---|---|---|---|---|---|---|---|
| TPC | 1 | |||||||
| TFC | 0.982 ** | 1 | ||||||
| Ascorbic acid | 0.218 | 0.315 | 1 | |||||
| Tannins | 0.626 | 0.631 | 0.694 * | 1 | ||||
| DPPH | 0.823 ** | 0.872 ** | 0.733 * | 0.814 ** | 1 | |||
| FRAP | 0.805 ** | 0.841 ** | 0.141 | 0.307 | 0.638 | 1 | ||
| β-carotene | 0.861 ** | 0.810 ** | −0.281 | 0.203 | 0.437 | 0.787 * | 1 | |
| Phosphomolybdate | 0.540 | 0.621 | 0.932 ** | 0.810 ** | 0.921 ** | 0.367 | 0.061 | 1 |
| No. | Metabolites | RT | [M − H]− (m/z) | Molecular Formula | O. ficus indica | O. robusta | O. stricta | CL |
|---|---|---|---|---|---|---|---|---|
| Phenolic acids and derivatives | ||||||||
| 1 | Piscidic Acid | 3.87 | 255.0510 | C11H12O7 | 8.87 × 108 | 6.59 × 106 | 6.69 × 108 | 2 |
| 2 | 3-(3-Hydroxyphenyl)propionic | 6.05 | 165.0557 | C9H10O3 | 2.03 × 107 | 5.64 × 106 | 1.49 × 107 | 1 |
| 3 | 4,6-dihydroxy-3-(1-hydroxyethyl)-5-methoxy-3H-2-benzofuran-1-one | 4.81 | 239.0561 | C11H12O6 | 1.24 × 108 | 1.44 × 108 | 3.41 × 107 | 2 |
| 4 | Thiophaninic acid | 4.82 | 338.9813 | C15H10Cl2O5 | 4.29 × 106 | 9.89 × 103 | 2.07 × 105 | 2 |
| 5 | 4-Hydroxybenzoic acid | 4.79 | 137.0244 | C7H6O3 | 1.01 × 106 | 8.34 × 106 | 2.74 × 106 | 1 |
| 6 | p-Coumaric acid | 3.99 | 163.0401 | C9H8O3 | 4.78 × 106 | 1.50 × 107 | 1.61 × 106 | 1 |
| 7 | p-Coumaryl alcohol | 5.65 | 149.0608 | C9H10O2 | 3.97 × 106 | 5.40 × 105 | 1.11 × 106 | 1 |
| 8 | Salicylic acid | 8.33 | 137.0244 | C7H6O3 | 3.13 × 106 | 1.46 × 106 | 8.17 × 105 | 1 |
| 9 | Caffeic acid | 4.81 | 179.0350 | C9H8O4 | 3.07 × 106 | 1.70 × 106 | 2.13 × 106 | 1 |
| 10 | 1-O-feruloyl-β-D-glucose | 4.69 | 355.1038 | C16H20O9 | 2.11 × 106 | 2.11 × 107 | 1.09 × 106 | 2 |
| 11 | 4-Methoxycinnamic acid | 5.66 | 177.0557 | C10H10O3 | 1.38 × 106 | 6.40 × 104 | 3.67 × 105 | 2 |
| 12 | (E)-Ferulic acid | 4.69 | 193.0507 | C10H10O4 | 1.01 × 106 | 1.14 × 107 | 4.53 × 106 | 1 |
| 13 | 2-Hydroxybenzaldehyde | 5.49 | 121.0295 | C7H6O2 | 1.94 × 106 | 4.58 × 106 | 1.27 × 106 | 1 |
| 14 | 3-phenylpropionic acid | 4.81 | 149.0607 | C9H10O2 | 2.31 × 104 | 9.01 × 105 | 1.11 × 106 | 2 |
| 15 | Sinapoylhexoside | 4.89 | 385.1145 | C17H22O10 | 4.99 × 105 | 3.84 × 106 | 3.28 × 106 | 2 |
| 16 | Sinapinic acid-O-glucuronide | 1.28 | 399.0935 | C17H20O11 | 3.52 × 105 | 7.18 × 105 | 1.91 × 105 | 2 |
| 17 | p-Coumaric acid glucoside | 4.39 | 325.0931 | C15H18O8 | 5.07 × 106 | 1.40 × 107 | 1.13 × 106 | 1 |
| 18 | 3,4-Dihydroxyallylbenzene 3,4-di-O-glucoside | 1.44 | 473.1509 | C21H30O12 | 6.02 × 106 | 6.16 × 106 | 2.44 × 107 | 2 |
| 19 | Caffeic acid 3-O-glucuronide | 4.76 | 355.0669 | C15H16O10 | 1.18 × 106 | 1.54 × 106 | 9.43 × 106 | 2 |
| 20 | Gentisic acid 5-b-glucoside | 4.01 | 315.0724 | C13H16O9 | 2.43 × 106 | 1.40 × 106 | 1.69 × 107 | 2 |
| 21 | Chlorogenic Acid Hydrate | 5.83 | 371.0985 | C16H20O10 | 4.90 × 106 | 5.01 × 106 | 8.81 × 106 | 1 |
| 22 | Vanillic acid + O-sulfonateHex | 6.36 | 409.0448 | C14H18O12S | 1.80 × 105 | 1.28 × 106 | 4.30 × 106 | 2 |
| Flavonoids and derivatives | ||||||||
| 23 | Xanthorhamnin | 5.73 | 769.2203 | C34H42O20 | 1.88 × 107 | 1.88 × 106 | 8.01 × 105 | 2 |
| 24 | Robinin | 5.67 | 739.2092 | C33H40O19 | 9.29 × 106 | 2.29 × 106 | 6.49 × 104 | 2 |
| 25 | Isorhamnetin-3-O-rutinoside | 6.49 | 623.1613 | C28H32O16 | 6.69 × 106 | 2.41 × 105 | 1.48 × 107 | 1 |
| 26 | Selaginpulvilin K | 1.27 | 537.1672 | C36H26O5 | 4.39 × 106 | 1.07 × 106 | 1.57 × 106 | 2 |
| 27 | Astragalin 6″-gallate | 3.87 | 638.9896 | C28H24O15 | 1.76 × 106 | Tr | 4.48 × 105 | 2 |
| 28 | Quercetin-3-O-rutinoside | 5.98 | 609.1465 | C27H30O16 | 1.42 × 106 | 4.18 × 104 | 1.09 × 106 | 1 |
| 29 | kaempferol 7-O-glucoside | 6.73 | 447.1148 | C21H20O11 | 1.38 × 106 | 1.54 × 106 | 7.27 × 105 | 2 |
| 30 | Quercetin-3-O-galactoside | 3.87 | 463.0887 | C21H20O12 | 1.14 × 106 | 1.19 × 106 | 2.52 × 106 | 1 |
| 31 | Quercitrin Hydrate | 3.86 | 466.1111 | C21H22O12 | 2.92 × 106 | 1.25 × 103 | 1.60 × 106 | 2 |
| 32 | Quercetin-3′-glucoside | 6.24 | 463.0887 | C21H20O12 | 2.71 × 106 | 2.08 × 103 | 4.37 × 105 | 1 |
| 33 | Isorhamnetin | 8.86 | 315.0512 | C16H12O7 | 2.54 × 106 | 4.53 × 106 | 2.65 × 107 | 1 |
| 34 | Quercimeritrin trihydrate | 1.29 | 517.1409 | C21H26O15 | 1.2 × 106 | 1.31 × 106 | 5.93 × 105 | 2 |
| 35 | 6″-O-(3-Hydroxy-3-methylglutaroyl)astragalin | 6.91 | 591.1365 | C27H28O15 | 1.19 × 106 | Tr | 3.21 × 103 | 2 |
| 36 | Hesperidin | 1.38 | 609.1889 | C28H34O15 | 1. 16 × 106 | 1.27 × 105 | 2.21 × 105 | 2 |
| 37 | Nor-dentatin | 11.1 | 311.1867 | C19H20O4 | 1.71 × 104 | 2.01 × 106 | 1.04 × 106 | 2 |
| 38 | Formononetin 7-O-glucoside | 1.38 | 429.1251 | C22H22O9 | 8.74 × 105 | 9.16 × 105 | 1.61 × 107 | 2 |
| 39 | 2′,3,5,6′,7-Pentahydroxyflavanone | 6.57 | 303.0514 | C15H12O7 | 1.25 × 106 | 2.57 × 105 | 8.99 × 106 | 2 |
| 40 | Aromadendrin | 7.49 | 287.0562 | C15H12O6 | 1.07 × 106 | 1.77 × 105 | 3.51 × 107 | 1 |
| 41 | 8-isopentenylnaringenin | 5.54 | 339.6312 | C20H20O5 | 6.91 × 105 | 1.42 × 105 | 1.11 × 105 | 2 |
| 42 | Acacetin | 1.23 | 283.1038 | C16H12O5 | 7.56 × 105 | 9.56 × 105 | 5.28 × 106 | 2 |
| 43 | Chrysin | 1.28 | 253.0567 | C15H10O4 | 3.56 × 106 | 3.45 × 106 | 4.67 × 106 | 2 |
| 44 | Flavone 3O, 1MeO, C-Hex-FeruloylHex | 7.84 | 799.2105 | C38H40O19 | 1.95 × 106 | 1.48 × 105 | 1.48 × 105 | 2 |
| 45 | Luteolin-7-rutinoside | 6.41 | 593.1523 | C27H30O15 | 1.10 × 106 | 5.82 × 104 | 8.59 × 106 | 1 |
| 46 | Kaempferol 3-gentiobioside-7-rhamnoside | 5.36 | 755.2040 | C33H40O20 | 1.03 × 106 | 8.89 × 104 | 7.09 × 105 | 2 |
| 47 | Axillarin 7-sulfate | 4.39 | 425.0187 | C17H14O11S | 1.07 × 106 | 4.25 × 106 | 1.88 × 105 | 3 |
| 48 | Flavone base 2O, 1MeO, C-Hex | 6.92 | 445.1146 | C22H22O10 | 7.73 × 104 | 2.95 × 106 | 1.62 × 104 | 2 |
| 49 | Isobavachin | 3.68 | 323.1349 | C20H20O4 | 4.72 × 105 | 1.32 × 106 | 1.17 × 107 | 2 |
| 50 | Myricetin | 1.95 | 317.0549 | C15H10O8 | 1.02 × 105 | 2.04 × 104 | 7.73 × 106 | 2 |
| 51 | Kuwanon C | 4.57 | 421.1716 | C25H26O6 | 1.57 × 104 | 4.2 × 106 | 7.69 × 106 | 2 |
| 52 | Quercetin | 8.56 | 301.0355 | C15H10O7 | 1.58 × 105 | 6.58 × 103 | 2.30 × 106 | 1 |
| 53 | Rhamnetin 3-sophoroside | 5.61 | 639.1575 | C28H32O17 | 2.04 × 104 | 1.03 × 104 | 4.46 × 106 | 2 |
| 54 | Apigenin-7-O-neohesperidoside | 7.18 | 577.1570 | C27H30O14 | 1.14 × 105 | 9.93 × 104 | 4.17 × 104 | 1 |
| Carboxylic acid. fatty acid and amino acid | ||||||||
| 55 | Malic acid | 1.49 | 133.0141 | C4H6O5 | 4.05 × 108 | 1.15 × 108 | 5.62 × 107 | 1 |
| 56 | Gluconic acid | 1.27 | 195.0511 | C6H12O7 | 2.89 × 108 | 2.54 × 108 | 1.52 × 108 | 1 |
| 57 | Citric acid | 1.89 | 191.0197 | C6H8O7 | 2.18 × 108 | 2.20 × 107 | 1.34 × 108 | 1 |
| 58 | Fumaric acid | 1.50 | 115.0036 | C4H4O4 | 8.14 × 107 | 2.40 × 107 | 1.11 × 107 | 1 |
| 59 | Pinellic acid | 9.46 | 329.2334 | C18H34O5 | 6.84 × 107 | 2.35 × 107 | 1.30 × 107 | 1 |
| 60 | Galactaric acid | 1.32 | 209.0302 | C6H10O8 | 5.35 × 107 | 4.73 × 107 | 7.37 × 107 | 1 |
| 61 | 2-Furancarboxylic acid | 1.91 | 111.0088 | C5H4O3 | 4.81 × 107 | 4.50 × 106 | 2.89 × 107 | 2 |
| 62 | 9-Hode | 12.8 | 295.2279 | C18H32O3 | 3.34 × 107 | 3.31 × 106 | 2.10 × 106 | 2 |
| 63 | Citrate | 1.59 | 191.0198 | C6H5O7 | 1. 92 × 107 | 7.13 × 106 | 2.80 × 107 | 2 |
| 64 | L-aspartic acid | 1.15 | 132.0302 | C4H7NO4 | 1.68 × 107 | 4.42 × 105 | 4.29 × 105 | 2 |
| 65 | L-Pyroglutamic Acid | 1.86 | 128.0354 | C5H7NO3 | 1.50 × 107 | 2.04 × 106 | 3.59 × 106 | 1 |
| 66 | Malyngic acid | 8.95 | 327.2178 | C18H32O5 | 1.49 × 107 | 5.87 × 106 | 1.91 × 106 | 2 |
| 67 | L-glutamine | 1.11 | 145.0619 | C5H10N2O3 | 1.36 × 107 | 8.56 × 106 | 7.15 × 106 | 1 |
| 68 | 13-Oxo-ODE | 12.4 | 293.2124 | C18H30O3 | 1.27 × 107 | 2.84 × 106 | 1.55 × 106 | 1 |
| 69 | L-Allothreonine | 1.12 | 118.0509 | C4H9NO3 | 1.04 × 107 | 1.01 × 107 | 2.07 × 106 | 1 |
| 70 | D-Glucuronic Acid | 1.36 | 193.0356 | C6H10O7 | 9.78 × 106 | 9.87 × 106 | 7.08 × 106 | 2 |
| 71 | D-Glutamic Acid | 1.13 | 146.0459 | C5H9NO4 | 9.21 × 106 | 3.60 × 106 | 2.82 × 106 | 1 |
| 72 | 9-HOTrE | 13.0 | 293.2124 | C18H30O3 | 8.99 × 106 | 2.50 × 106 | 7.92 × 105 | 1 |
| 73 | Citraconic acid | 1.28 | 129.0193 | C5H6O4 | 8.33 × 106 | 2.99× 106 | 5.07 × 106 | 1 |
| 74 | 12-Oxo-phytodienoic acid | 12.5 | 291.1967 | C18H28O3 | 8.12 × 106 | 2.26 × 106 | 2.75 × 105 | 2 |
| 75 | L-methionine sulfoxide | 1.15 | 164.0387 | C5H11NO3S | 7.45 × 106 | 5.47 × 106 | 5.51 × 105 | 2 |
| 76 | L-threonic acid | 1.33 | 135.0299 | C4H8O5 | 7.29 × 106 | 6.45 × 106 | 7.15 × 106 | 2 |
| 77 | 2-Methylcitric acid | 1.42 | 205.0354 | C7H7O7 | 6.43 × 106 | 5.22 × 106 | 7.64 × 106 | 2 |
| 78 | (E)-Aconitic Acid | 1.91 | 173.0092 | C6H6O6 | 6.33 × 106 | 1.58 × 106 | 7.50 × 106 | 1 |
| 79 | Azelaic Acid | 6.99 | 187.0977 | C9H16O4 | 6.10 × 106 | 3.59 × 106 | 3.69 × 106 | 1 |
| 80 | Glyceric acid | 1.35 | 105.0193 | C3H6O4 | 5.40 × 106 | 3.42 × 106 | 2.88 × 106 | 1 |
| 81 | L-Tryptophan | 3.32 | 203.0826 | C11H12N2O2 | 1.45 × 106 | 1.10 × 106 | 2.01 × 104 | 2 |
| 82 | Me-9-HPODE (10E,11E) | 11.4 | 326.2457 | C19H34O4 | 4.54 × 106 | 7.82 × 105 | 1.62 × 106 | 1 |
| 83 | Pyruvic acid | 1.92 | 87.0087 | C3H4O3 | 4.33 × 106 | 8.54 × 105 | 2.91 × 106 | 2 |
| 84 | 13S-HpOTrE | 10.2 | 309.2074 | C18H30O4 | 4.10 × 106 | 3.73 × 104 | 3.93 × 104 | 2 |
| 85 | PG O-11:0_24:4 | 15.3 | 741.4992 | C41H75O9P | 4.07 × 106 | 8.65 × 105 | 3.28 × 106 | 2 |
| 86 | Aconitic Acid | 1.61 | 173.0093 | C6H6O6 | 3.17 × 106 | 1.58 × 106 | 7.50 × 106 | 2 |
| 87 | 13(S)-HPODE | 12.1 | 311.2231 | C18H32O4 | 3.01 × 106 | 8.66 × 104 | 3.33 × 105 | 1 |
| 88 | Pipecolic acid | 1.44 | 130.0874 | C6H10NO2 | 2.93 × 106 | 8.74 × 105 | 1.07 × 105 | 1 |
| 89 | N-Acetyltryptophan | 6.68 | 245.0933 | C13H14N2O3 | 2.64 × 106 | 2.18 × 106 | 3.75 × 106 | 1 |
| 90 | L-serine | 1.10 | 104.0353 | C3H7NO3 | 2.44 × 106 | 3.02 × 106 | 7.35 × 105 | 1 |
| 91 | Pantothenic Acid | 3.18 | 218.1034 | C9H17NO5 | 1.08 × 106 | 3.71 × 106 | 1.05 × 106 | 1 |
| 92 | Glycine | 1.12 | 74.0247 | C2H5NO2 | 1.35 × 106 | 1.46 × 106 | 2.98 × 105 | 1 |
| 93 | 2-Isopropylmalic acid | 4.46 | 175.0612 | C7H12O5 | 1.49 × 106 | 4.39 × 107 | 3.43 × 106 | 1 |
| 94 | D-Xylaric Acid | 1.38 | 179.0197 | C5H8O7 | 3.64 × 107 | 5.81 × 107 | 2.22 × 106 | 3 |
| 95 | D-(−)-Quinic acid | 1.35 | 191.0561 | C7H12O6 | 1.60 × 106 | 1.39 × 107 | 4.05 × 105 | 2 |
| 96 | Ascorbic acid | 1.37 | 175.0249 | C6H8O6 | 5.98 × 105 | 3.48× 105 | 4.98 × 106 | 2 |
| 97 | Glycolic acid | 1.28 | 75.0087 | C2H4O3 | 2.79 × 106 | 2.70 × 106 | 1.58 × 106 | 2 |
| 98 | α-Hydroxyglutaric acid | 1.32 | 147.0299 | C5H8O5 | 1.40 × 106 | 1.58 × 106 | 2.24 × 106 | 2 |
| 99 | (R)-2-hydroxystearic acid | 15.3 | 299.2594 | C18H36O3 | 9.06 × 105 | 1.37 × 106 | 1.99 × 106 | 2 |
| 100 | L-Tyrosine | 1.36 | 180.0594 | C9H11NO3 | 2.02 × 106 | 2.92 × 106 | 7.47 × 105 | 2 |
| 101 | LPE(2:0) | 3.98 | 256.0544 | C7H16NO7P | 1.16 × 108 | 9.14 × 105 | 8.79 × 107 | 2 |
| 102 | L-histidine | 1.06 | 154.0622 | C6H9N3O2 | 5.63 × 105 | 7.13 × 105 | 1.72 × 104 | 1 |
| 103 | L-proline | 1.19 | 114.0560 | C5H9NO2 | 3.31 × 105 | 4.05 × 105 | 6.26 × 105 | 1 |
| 104 | L-alanine | 1.14 | 88.0403 | C3H7NO2 | 1.90 × 106 | 8.49 × 104 | 1.27 × 105 | 1 |
| 105 | L-leucine | 5.49 | 130.0873 | C6H13NO2 | 3.13 × 105 | 1.21 × 105 | 7.21 × 104 | 1 |
| Other compounds | ||||||||
| 106 | Lumazine | 1.32 | 165.0405 | C6H4N4O2 | 3. 43 × 107 | 4.26 × 107 | 2.95 × 107 | 2 |
| 107 | Saccharose | 1.52 | 341.1088 | C12H22O11 | 3.32 × 107 | 4.12 × 106 | 5.24 × 107 | 1 |
| 108 | Inosine | 1.39 | 267.0723 | C10H12N4O5 | 2.38 × 107 | 1.5 × 107 | 1.13 × 107 | 2 |
| 109 | Lyxose | 1.42 | 149.0455 | C5H10O5 | 1.10 × 107 | 1.17 × 107 | 1.61 × 107 | 1 |
| 110 | D-Arabitol | 1.21 | 151.0612 | C5H12O5 | 2.60 × 106 | 1.46 × 107 | 3.04 × 106 | 1 |
| 111 | D-Maltitol | 1.20 | 343.1247 | C12H24O11 | 1.40 × 106 | 8.23 × 105 | 1.64 × 107 | 2 |
| 112 | D-Sedoheptulose | 1.39 | 209.0665 | C7H14O7 | 1.21 × 106 | 1.34 × 106 | 1.87 × 106 | 2 |
| 113 | Galactitol | 1.18 | 181.0717 | C6H14O6 | 2.04 × 106 | 1.97 × 107 | 1.91 × 107 | 1 |
| 114 | Rescinnamine | 7.22 | 633.2799 | C35H42N2O9 | 7.21 × 105 | 5.21 × 105 | 2.75 × 106 | 2 |
| 115 | Xanthosine | 1.25 | 283.0672 | C10H12N4O6 | 7.03 × 105 | 3.33 × 105 | 7.29 × 105 | 2 |
| 116 | Orotidine 5′-monophosphate | 1.38 | 366.9972 | C10H13N2O11P | 8.43 × 105 | 5.08 × 105 | 2.80 × 105 | 2 |
| 117 | (6R,9S)-3-Oxo-alpha-ionol glucoside | 6.18 | 369.1910 | C19H30O7 | 9.22 × 104 | 3.40 × 107 | 3.60 × 105 | 2 |
| 118 | Erythraddison II | 6.20 | 405.1692 | C25H26O5 | 4.92 × 103 | 8.10 × 106 | 1.68 × 104 | 2 |
| 119 | Isofraxoside | 6.50 | 369.0832 | C16H18O10 | 6.78 × 104 | 3.06 × 106 | 2. 68 × 103 | 2 |
| 120 | β-Peltatin | 4.02 | 413.0392 | C22H22O8 | 2.82 × 106 | 1.28× 104 | Tr | 2 |
| 121 | Schisandrin | 5.42 | 431.1927 | C24H32O7 | 6.99 × 105 | 3.41 × 106 | 1.38 × 107 | 2 |
| 122 | D-Galactose | 1.62 | 179.0561 | C6H12O6 | 3.14 × 104 | 2.41 × 105 | 9.95 × 106 | 2 |
| 123 | Sibiricose A1 | 5.81 | 547.1710 | C23H32O15 | 1.83 × 105 | 1.30 × 106 | 8.91 × 106 | 2 |
| 124 | D-Glucose | 1.40 | 179.0561 | C6H12O6 | 4.32 × 104 | 1.01 × 105 | 3.97 × 105 | 2 |
| 125 | D-Mannose | 1.97 | 179.0561 | C6H12O6 | 4.30 × 105 | 9.53 × 104 | 4.66 × 105 | 2 |
| 126 | Gluconolactone | 1.26 | 177.0406 | C6H10O6 | 2.79 × 106 | 2.81 × 106 | 3.10 × 106 | 1 |
Disclaimer/Publisher’s Note: The statements, opinions and data contained in all publications are solely those of the individual author(s) and contributor(s) and not of MDPI and/or the editor(s). MDPI and/or the editor(s) disclaim responsibility for any injury to people or property resulting from any ideas, methods, instructions or products referred to in the content. |
© 2026 by the authors. Licensee MDPI, Basel, Switzerland. This article is an open access article distributed under the terms and conditions of the Creative Commons Attribution (CC BY) license.
Share and Cite
Hadini, A.; Neffa, M.; Baddaoui, S.; Bendada, M.; Moumou, M.; Tayebi, A.; Aboukhalid, K.; Maatougui, A.; Saalaoui, E.; D’Elia, M.; et al. Antioxidant Potential, Genotoxic Safety, and Metabolomic Profiling of Cladode Extracts from Dactylopius opuntiae-Resistant Opuntia Species. Antioxidants 2026, 15, 416. https://doi.org/10.3390/antiox15040416
Hadini A, Neffa M, Baddaoui S, Bendada M, Moumou M, Tayebi A, Aboukhalid K, Maatougui A, Saalaoui E, D’Elia M, et al. Antioxidant Potential, Genotoxic Safety, and Metabolomic Profiling of Cladode Extracts from Dactylopius opuntiae-Resistant Opuntia Species. Antioxidants. 2026; 15(4):416. https://doi.org/10.3390/antiox15040416
Chicago/Turabian StyleHadini, Abderrahmane, Mounsef Neffa, Sanae Baddaoui, Mourad Bendada, Mohammadine Moumou, Amani Tayebi, Kaoutar Aboukhalid, Abdesselam Maatougui, Ennouamane Saalaoui, Maria D’Elia, and et al. 2026. "Antioxidant Potential, Genotoxic Safety, and Metabolomic Profiling of Cladode Extracts from Dactylopius opuntiae-Resistant Opuntia Species" Antioxidants 15, no. 4: 416. https://doi.org/10.3390/antiox15040416
APA StyleHadini, A., Neffa, M., Baddaoui, S., Bendada, M., Moumou, M., Tayebi, A., Aboukhalid, K., Maatougui, A., Saalaoui, E., D’Elia, M., El Bekkaye, K., Rastrelli, L., Bernard, A., & Harnafi, H. (2026). Antioxidant Potential, Genotoxic Safety, and Metabolomic Profiling of Cladode Extracts from Dactylopius opuntiae-Resistant Opuntia Species. Antioxidants, 15(4), 416. https://doi.org/10.3390/antiox15040416

