Norisoboldine Induces Endothelium-Dependent Vasorelaxation and Attenuates Hypertension by Modulating Ca2+-eNOS Signaling, Oxidative Stress, and Inflammation
Abstract
1. Introduction
2. Materials and Methods
2.1. Drugs
2.2. Experimental Animals and Cells
2.3. Preparation of Isolated Thoracic Aortic Rings
2.4. P-eNOS and ICAM-1/VCAM-1 Activity
2.5. Rat Femoral Artery Blood Pressure Measurement Experiments
2.6. L-NAME-Induced Hypertension Model
2.7. Determination of NO and cGMP Levels
2.8. Determination of Catalase and Malondialdehyde Levels
2.9. Determination of TNF-α and IL-6 Levels
2.10. Statistical Methods
3. Results
3.1. Vasodilatory Effect of NOR on PE-Precontracted Endothelium Intact and Endothelium Removed from Vascular Rings
3.2. Vasodilatory Effect of NOR on WT, TCN, L-NAME, ODQ, and KT5823 Pre-Incubated Vascular Rings
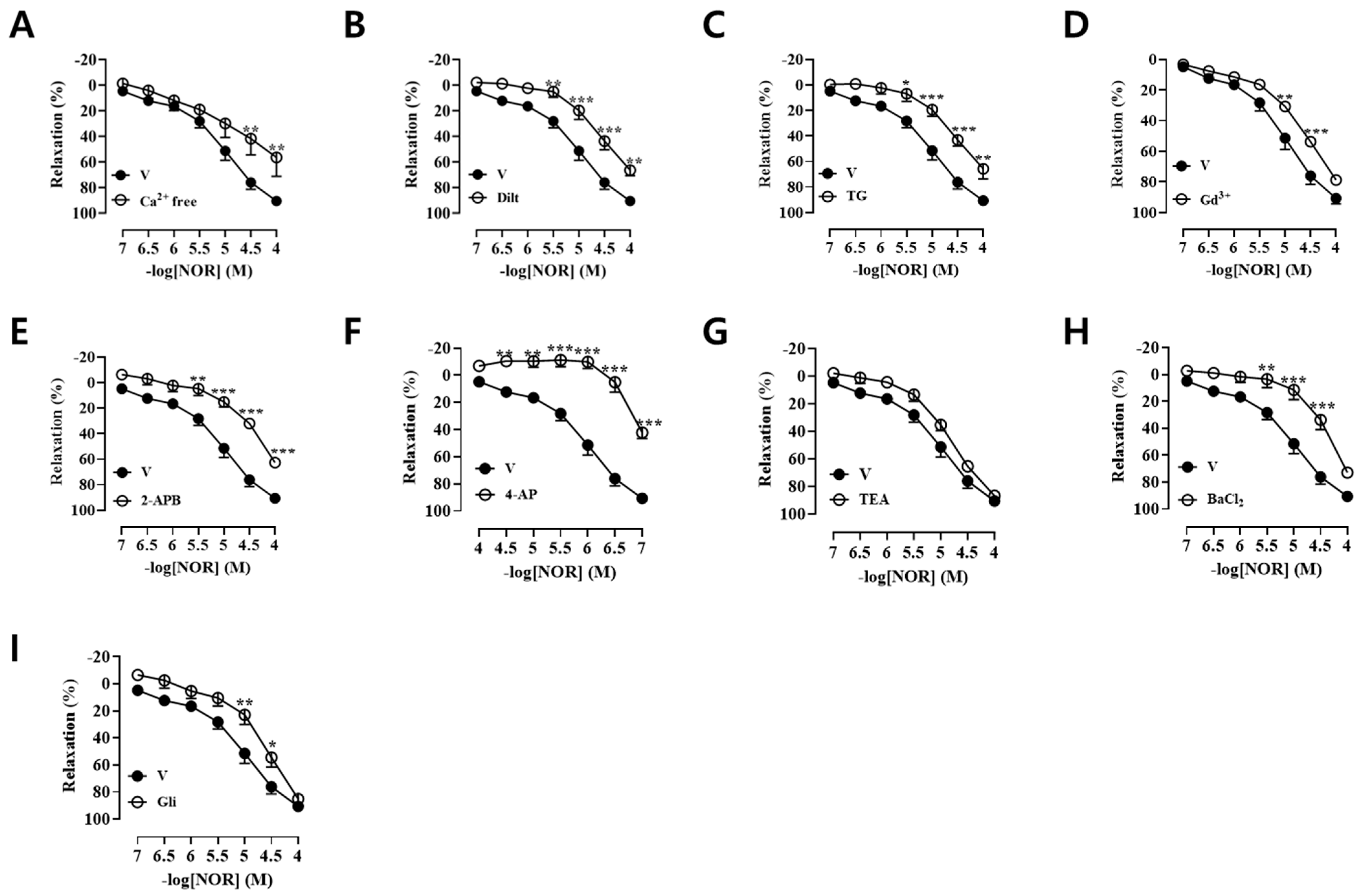
3.3. Vasodilatory Effect of NOR on Calcium-Free Krebs Solution and Dilt Pre-Incubated Vascular Rings
3.4. Vasodilatory Effect of NOR on TG, Gd3+, and 2-APB Preincubated Vascular Rings
3.5. Vasodilatory Effect of NOR on 4-AP, TEA, BaCl2, and Gli Pre-Incubated Vascular Rings
3.6. Effects of Voltage-Dependent Calcium Channels (VDCC) and Receptor-Operated Calcium Channels (ROCC) on NOR Vasodilation
3.7. Effect of the Sarcoplasmic Reticulum IP3 Receptor (IP3R) Calcium Release Pathway on NOR Vasodilation
3.8. Vasodilatory Effect of NOR on Indo, Atro, and Prop Preincubated Vascular Rings
3.9. Inhibitory Effect of NOR on Vascular Inflammation
3.10. Effect of NOR on Blood Pressure in Normal Rats
3.11. Effect of NOR on Blood Pressure in L-NAME-Induced Hypertensive Rats
3.12. Effect of NOR on NO and cGMP in the Serum of Hypertensive Rats
3.13. Effect of NOR on Oxidative Stress in the Serum of Hypertensive Rats
3.14. Effect of NOR on TNF-α and IL-6 in the Serum of Hypertensive Rats
3.15. Effect of NOR on Thoracic Aortic Tone in Hypertensive Rats
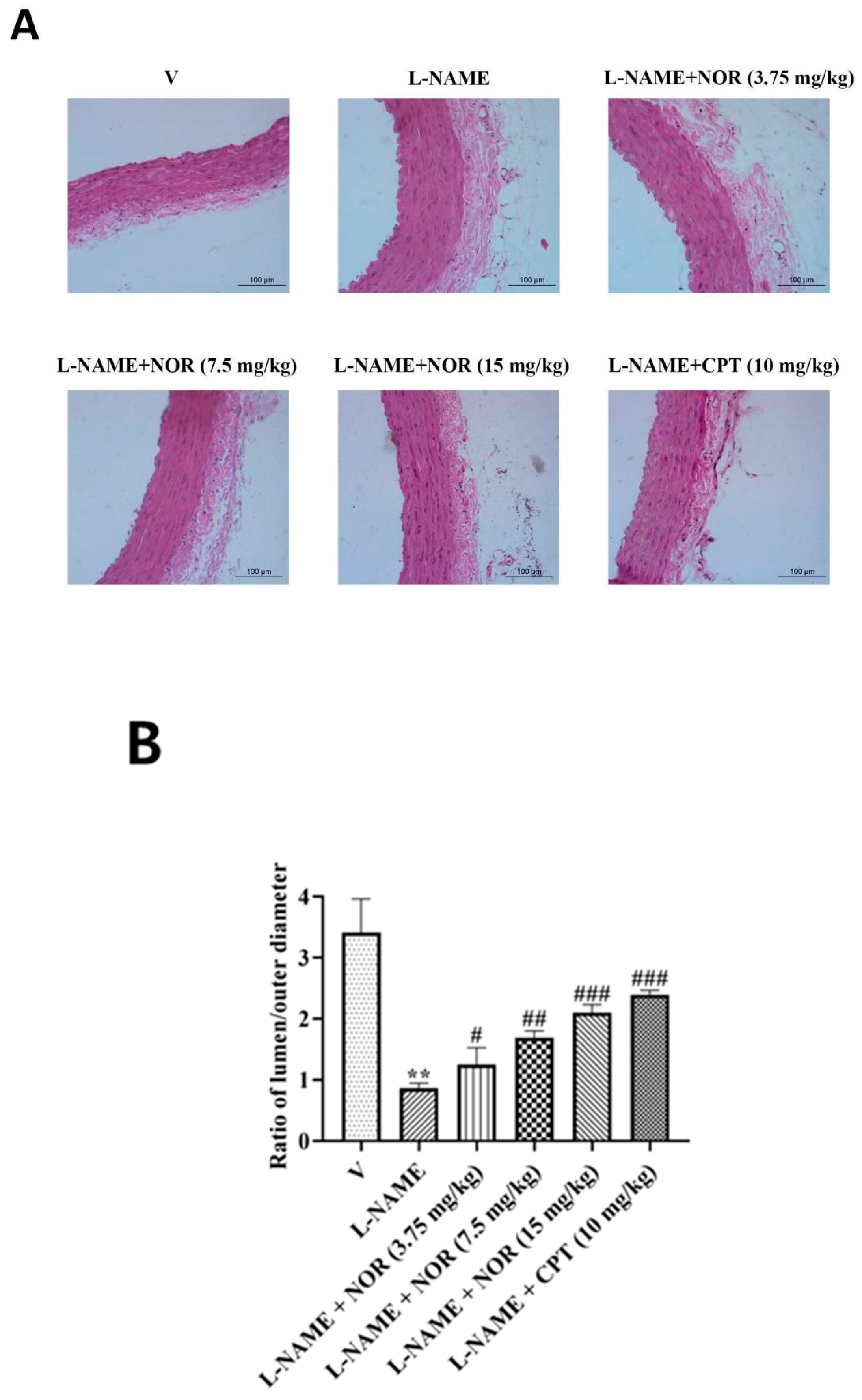
3.16. Results of NOR on H&E-Stained Pathological Sections of the Thoracic Aorta of Hypertensive Rats
3.17. Results of NOR on Masson-Stained Sections of the Thoracic Aorta from Hypertensive Rats
4. Discussion
5. Conclusions
Author Contributions
Funding
Institutional Review Board Statement
Informed Consent Statement
Data Availability Statement
Conflicts of Interest
References
- Godfraind, T. Antioxidant effects and the therapeutic mode of action of calcium channel blockers in hypertension and atherosclerosis. Philos. Trans. R. Soc. Lond. B Biol. Sci. 2005, 360, 2259–2272. [Google Scholar] [CrossRef]
- Jackson, W.F. Ion channels and vascular tone. Hypertension 2000, 35, 173–178. [Google Scholar] [CrossRef]
- Owen, R.S.; Carpenter, J.P.; Baum, R.A.; Perloff, L.J.; Cope, C. Magnetic resonance imaging of angiographically occult runoff vessels in peripheral arterial occlusive disease. N. Engl. J. Med. 1992, 326, 1577–1581. [Google Scholar] [CrossRef]
- Lee, S.M.; Lee, Y.J.; Choi, J.H.; Kho, M.C.; Yoon, J.J.; Shin, S.H.; Kang, D.G.; Lee, H.S. Gal-geun-dang-gwi-tang improves diabetic vascular complication in apolipoprotein E knockout mice fed a western diet. BMC Complement. Altern. Med. 2014, 14, 453. [Google Scholar] [CrossRef]
- Nava, E.; Llorens, S. The local regulation of vascular function: From an inside–outside to an outside–inside model. Front. Physiol. 2019, 10, 729. [Google Scholar] [CrossRef]
- Lee, K.; Shin, M.S.; Ham, I.; Choi, H.-Y. Investigation of the mechanisms of Angelica dahurica root extract-induced vasorelaxation in isolated rat aortic rings. BMC Complement. Altern. Med. 2015, 15, 395. [Google Scholar] [CrossRef] [PubMed]
- Valenzuela, P.L.; Carrera-Bastos, P.; Gálvez, B.G.; Ruiz-Hurtado, G.; Ordovas, J.M.; Ruilope, L.M.; Lucia, A. Lifestyle interventions for the prevention and treatment of hypertension. Nat. Rev. Cardiol. 2021, 18, 251–275. [Google Scholar] [CrossRef] [PubMed]
- Carlström, M.; Lundberg, J.O.; Weitzberg, E. Mechanisms underlying blood pressure reduction by dietary inorganic nitrate. Acta Physiol. 2018, 224, e13080. [Google Scholar] [CrossRef]
- Fejes, R.; Pilat, N.; Lutnik, M.; Weisshaar, S.; Weijler, A.M.; Krüger, K.; Draxler, A.; Bragagna, L.; Peake, J.M.; Woodman, R.J.; et al. Effects of increased nitrate intake from beetroot juice on blood markers of oxidative stress and inflammation in older adults with hypertension. Free Radic. Biol. Med. 2024, 222, 519–530. [Google Scholar] [CrossRef]
- Zewinger, S.; Reiser, J.; Jankowski, V.; Alansary, D.; Hahm, E.; Triem, S.; Klug, M.; Schunk, S.J.; Schmit, D.; Kramann, R.; et al. Apolipoprotein C3 induces inflammation and organ damage by alternative inflammasome activation. Nat. Immunol. 2020, 21, 30–41. [Google Scholar] [CrossRef] [PubMed]
- Guzik, T.J.; Touyz, R.M. Oxidative stress, inflammation, and vascular aging in hypertension. Hypertension 2017, 70, 660–667. [Google Scholar] [CrossRef]
- Raubenheimer, K.; Bondonno, C.; Blekkenhorst, L.; Wagner, K.-H.; Peake, J.M.; Neubauer, O. Effects of dietary nitrate on inflammation and immune function, and implications for cardiovascular health. Nutr. Rev. 2019, 77, 584–599. [Google Scholar] [CrossRef]
- Olivares-Silva, F.; De Gregorio, N.; Espitia-Corredor, J.; Espinoza, C.; Vivar, R.; Silva, D.; Osorio, J.M.; Lavandero, S.; Peiró, C.; Sánchez-Ferrer, C.; et al. Resolvin D1 attenuates angiotensin II-induced cardiac inflammation and prevents cardiac remodeling and hypertension in mice. Biochim. Biophys. Acta Mol. Basis Dis. 2021, 1867, 166241. [Google Scholar] [CrossRef]
- Förstermann, U.; Xia, N.; Li, H. Roles of vascular oxidative stress and nitric oxide in the pathogenesis of atherosclerosis. Circ. Res. 2017, 120, 713–735. [Google Scholar] [CrossRef]
- Zhang, Z.; Zhao, L.; Zhou, X.; Meng, X.; Zhou, X. Role of inflammation, immunity, and oxidative stress in hypertension: New insights and potential therapeutic targets. Front. Immunol. 2022, 13, 1098725. [Google Scholar] [CrossRef]
- Yang, J.; Villar, V.A.M.; Jose, P.A.; Zeng, C. Renal dopamine receptors and oxidative stress: Role in hypertension. Antioxid. Redox Signal. 2021, 34, 716–735. [Google Scholar] [CrossRef]
- Patel, D.K.; Patel, K. Therapeutic importance and pharmacological activities of norisoboldine in medicine for the treatment of human disorders. Drug Metab. Bioanal. Lett. 2023, 16, 81–88. [Google Scholar] [CrossRef] [PubMed]
- GB/T 35892-2018; Laboratory Animal—Guideline for Ethical Review of Animal Welfare. Standardization Administration of China: Bejing, China, 2018.
- Parkington, H.C.; Coleman, H.A.; Tare, M. Prostacyclin and endothelium-dependent hyperpolarization. Pharmacol. Res. 2004, 49, 509–514. [Google Scholar] [CrossRef] [PubMed]
- Púzserová, A.; Kopincová, J.; Bernátová, I. The role of endothelium and nitric oxide in the regulation of vascular tone. Cesk. Fysiol. 2008, 57, 53–60. [Google Scholar] [PubMed]
- Ohkita, M.; Tawa, M.; Kitada, K.; Matsumura, Y. Pathophysiological roles of endothelin receptors in cardiovascular diseases. J. Pharmacol. Sci. 2012, 119, 302–313. [Google Scholar] [CrossRef]
- Liang, X.X.; Wang, R.Y.; Guo, Y.Z.; Cheng, Z.; Lv, D.Y.; Luo, M.H.; He, A.; Luo, S.-X.; Xia, Y. Phosphorylation of Akt at Thr308 regulates eNOS Ser1177 phosphorylation under physiological conditions. FEBS Open Bio 2021, 11, 1953–1964. [Google Scholar] [CrossRef]
- Su, K.H.; Lin, S.J.; Wei, J.; Lee, K.; Zhao, J.; Shyue, S.; Lee, T. Essential role of transient receptor potential vanilloid 1 in simvastatin-induced activation of endothelial nitric oxide synthase and angiogenesis. Acta Physiol. 2014, 212, 191–204. [Google Scholar] [CrossRef] [PubMed]
- Razali, N.; Dewa, A.; Asmawi, M.Z.; Mohamed, N.; Manshor, N.M. Mechanisms underlying vascular relaxation induced by Zingiber officinale var. rubrum in thoracic aorta of spontaneously hypertensive rats. J. Integr. Med. 2020, 18, 46–58. [Google Scholar] [CrossRef]
- Assis, K.S.; Araújo, I.G.A.; De Azevedo, F.; Maciel, P.M.P.; Calzerra, N.T.M.; da Silva, T.A.F.; Assis, V.L.; de Vasconcelos, A.P.; Santos, C.A.G.; Meireles, B.R.L.A.; et al. Potassium channel activation is involved in cardiovascular effects induced by freeze-dried Syzygium jambolanum fruit juice. BioMed Res. Int. 2018, 2018, 4827461. [Google Scholar] [CrossRef]
- Vanhaesebroeck, B.; Leevers, S.J.; Panayotou, G.; Waterfield, M.D. Phosphoinositide 3-kinases: A conserved family of signal transducers. Trends Biochem. Sci. 1997, 22, 267–272. [Google Scholar] [CrossRef]
- Dogan, M.F.; Yildiz, O.; Arslan, S.O.; Ulusoy, K.G. Potassium channels in vascular smooth muscle: A pathophysiological and pharmacological perspective. Fundam. Clin. Pharmacol. 2019, 33, 504–523. [Google Scholar] [CrossRef]
- Tangsucharit, P.; Takatori, S.; Zamami, Y.; Goda, M.; Pakdeechote, P.; Kawasaki, H.; Takayama, F. Muscarinic acetylcholine receptor M1 and M3 subtypes mediate acetylcholine-induced endothelium-independent vasodilatation in rat mesenteric arteries. J. Pharmacol. Sci. 2016, 130, 24–32. [Google Scholar] [CrossRef] [PubMed]
- Tanaka, Y.; Horinouchi, T.; Koike, K. New insights into β-adrenoceptors in smooth muscle: Distribution of receptor subtypes and molecular mechanisms triggering muscle relaxation. Clin. Exp. Pharmacol. Physiol. 2005, 32, 503–514. [Google Scholar] [CrossRef]
- Jin, J.; Shen, X.; Tai, Y.; Li, S.; Liu, M.; Zhen, C.; Xuan, X.; Zhang, X.; Hu, N.; Zhang, X. Arterial relaxation is coupled to inhibition of mitochondrial fission in arterial smooth muscle cells: Comparison of vasorelaxant effects of verapamil and phentolamine. Acta Pharm. Sin. B 2017, 7, 319–325. [Google Scholar] [CrossRef] [PubMed]
- Gimbrone, M.A., Jr.; García-Cardeña, G. Endothelial cell dysfunction and the pathobiology of atherosclerosis. Circ. Res. 2016, 118, 620–636. [Google Scholar] [CrossRef]
- Jing, Y.; Wang, G.; Xiao, Q.; Zhou, Y.; Wei, Y.; Gong, Z. Antiangiogenic effects of AA-PMe on HUVECs in vitro and zebrafish in vivo. OncoTargets Ther. 2018, 11, 1871–1884. [Google Scholar] [CrossRef]
- Pletsch-Borba, L.; Watzinger, C.; Turzanski Fortner, R.; Katzke, V.; Schwingshackl, L.; Sowah, S.A.; Hüsing, A.; Johnson, T.; Groß, M.-L.; Maldonado, S.G.; et al. Biomarkers of vascular injury and type 2 diabetes: A prospective study, systematic review and meta-analysis. J. Clin. Med. 2019, 8, 2075. [Google Scholar] [CrossRef] [PubMed]
- Helle, F.; Iversen, B.M.; Chatziantoniou, C. Losartan increases nitric oxide release in afferent arterioles during regression of L-NAME-induced renal damage. Am. J. Physiol. Renal Physiol. 2010, 298, F1170–F1177. [Google Scholar] [CrossRef] [PubMed][Green Version]
- Silambarasan, T.; Manivannan, J.; Krishna Priya, M.; Suganya, N.; Chatterjee, S.; Raja, B. Sinapic acid prevents hypertension and cardiovascular remodeling in nitric oxide-deficient rats. PLoS ONE 2014, 9, e115682. [Google Scholar] [CrossRef] [PubMed]
- Bunbupha, S.; Prachaney, P.; Kukongviriyapan, U.; Kukongviriyapan, V.; Welbat, J.U.; Pakdeechote, P. Asiatic acid alleviates cardiovascular remodeling in rats with L-NAME-induced hypertension. Clin. Exp. Pharmacol. Physiol. 2015, 42, 1189–1197. [Google Scholar] [CrossRef]












Disclaimer/Publisher’s Note: The statements, opinions and data contained in all publications are solely those of the individual author(s) and contributor(s) and not of MDPI and/or the editor(s). MDPI and/or the editor(s) disclaim responsibility for any injury to people or property resulting from any ideas, methods, instructions or products referred to in the content. |
© 2026 by the authors. Licensee MDPI, Basel, Switzerland. This article is an open access article distributed under the terms and conditions of the Creative Commons Attribution (CC BY) license.
Share and Cite
Li, J.; Wang, S.; Jin, E.; Zhao, Z.; Liang, J.; Lee, Y.J.; Cao, L. Norisoboldine Induces Endothelium-Dependent Vasorelaxation and Attenuates Hypertension by Modulating Ca2+-eNOS Signaling, Oxidative Stress, and Inflammation. Antioxidants 2026, 15, 131. https://doi.org/10.3390/antiox15010131
Li J, Wang S, Jin E, Zhao Z, Liang J, Lee YJ, Cao L. Norisoboldine Induces Endothelium-Dependent Vasorelaxation and Attenuates Hypertension by Modulating Ca2+-eNOS Signaling, Oxidative Stress, and Inflammation. Antioxidants. 2026; 15(1):131. https://doi.org/10.3390/antiox15010131
Chicago/Turabian StyleLi, Jiaze, Shurui Wang, Enyi Jin, Ziyi Zhao, Jinyue Liang, Yun Jung Lee, and Lihua Cao. 2026. "Norisoboldine Induces Endothelium-Dependent Vasorelaxation and Attenuates Hypertension by Modulating Ca2+-eNOS Signaling, Oxidative Stress, and Inflammation" Antioxidants 15, no. 1: 131. https://doi.org/10.3390/antiox15010131
APA StyleLi, J., Wang, S., Jin, E., Zhao, Z., Liang, J., Lee, Y. J., & Cao, L. (2026). Norisoboldine Induces Endothelium-Dependent Vasorelaxation and Attenuates Hypertension by Modulating Ca2+-eNOS Signaling, Oxidative Stress, and Inflammation. Antioxidants, 15(1), 131. https://doi.org/10.3390/antiox15010131

