Recovery from Resistance Exercise with or Without Blood Flow Restriction Results in an Early Biphasic Pattern of Change in Albumin Cys34 Oxidation in Untrained Males
Abstract
1. Introduction
2. Materials and Methods
2.1. Participants
2.2. Overview of the Experimental Design
2.3. Familiarization Session
2.4. Testing Sessions
2.5. Measurement of Muscle Oxygenation and Heart Rate
2.6. Blood Collection and Analyses
2.7. Statistical Analyses
3. Results
3.1. Matching of Food Intake Prior to Testing
3.2. Responses of the Proportions of Total, Reversibly, and Irreversibly Oxidized Albumin Cys34 to HIRE and LIBFR Resistance Exercise
3.3. Muscle Oxygenation Level and Post-Exercise Responses to HIRE and LIBFR Resistance Exercise
3.4. Lactate, Heart Rate, and Rate of Perceived Exertion Responses to HIRE and LIBFR
3.5. Multiple Regression and Correlation Analysis of Cys34
4. Discussion
5. Conclusions
Author Contributions
Funding
Institutional Review Board Statement
Informed Consent Statement
Data Availability Statement
Conflicts of Interest
Abbreviations
| -SO2H | sulfinic acids |
| -SO3H | sulfonic acids |
| -S-S- | reversible disulfide bond |
| 1 RM | one repetition maximum |
| albumin Cys34 | albumin cysteine 34 |
| HIRE | high intensity resistance exercise |
| LIBFR | low intensity resistance exercise combined with blood flow restriction |
| Malpeg | methoxypolyethylene glycol-maleimide |
| mTORC1 | mammalian target of rapamycin complex 1 |
| RONS | reactive oxygen and nitrogen species |
| SmO2 | muscle oxygen saturation |
| rate of oxygen consumption |
References
- Pearson, S.J.; Hussain, S.R. A review on the mechanisms of blood-flow restriction resistance training-induced muscle hypertrophy. Sports Med. 2015, 45, 187–200. [Google Scholar] [CrossRef] [PubMed]
- Fry, C.S.; Drummond, M.J.; Glynn, E.L.; Dickinson, J.M.; Gundermann, D.M.; Timmerman, K.L.; Walker, D.K.; Dhanani, S.; Volpi, E.; Rasmussen, B.B. Aging impairs contraction-induced human skeletal muscle mTORC1 signaling and protein synthesis. Skelet. Muscle 2011, 1, 11. [Google Scholar] [CrossRef] [PubMed]
- Takada, S.; Okita, K.; Suga, T.; Omokawa, M.; Kadoguchi, T.; Sato, T.; Takahashi, M.; Yokota, T.; Hirabayashi, K.; Morita, N. Low-intensity exercise can increase muscle mass and strength proportionally to enhanced metabolic stress under ischemic conditions. J. Appl. Physiol. 2012, 113, 199–205. [Google Scholar] [CrossRef] [PubMed]
- Tanimoto, M.; Ishii, N. Effects of low-intensity resistance exercise with slow movement and tonic force generation on muscular function in young men. J. Appl. Physiol. 2006, 100, 1150–1157. [Google Scholar] [CrossRef]
- Lim, Z.X.; Goh, J. Effects of blood flow restriction (BFR) with resistance exercise on musculoskeletal health in older adults: A narrative review. Eur. Rev. Aging Phys. Act. 2022, 19, 15. [Google Scholar] [CrossRef]
- Fry, C.S.; Glynn, E.L.; Drummond, M.J.; Timmerman, K.L.; Fujita, S.; Abe, T.; Dhanani, S.; Volpi, E.; Rasmussen, B.B. Blood flow restriction exercise stimulates mTORC1 signaling and muscle protein synthesis in older men. J. Appl. Physiol. 2010, 108, 1199–1209. [Google Scholar] [CrossRef]
- Fujita, S.; Abe, T.; Drummond, M.J.; Cadenas, J.G.; Dreyer, H.C.; Sato, Y.; Volpi, E.; Rasmussen, B.B. Blood flow restriction during low-intensity resistance exercise increases S6K1 phosphorylation and muscle protein synthesis. J. Appl. Physiol. 2007, 103, 903–910. [Google Scholar] [CrossRef]
- Powers, S.K.; Duarte, J.; Kavazis, A.N.; Talbert, E.E. Reactive oxygen species are signalling molecules for skeletal muscle adaptation. Exp. Physiol. 2010, 95, 1–9. [Google Scholar] [CrossRef]
- Gundermann, D.M.; Walker, D.K.; Reidy, P.T.; Borack, M.S.; Dickinson, J.M.; Volpi, E.; Rasmussen, B.B. Activation of mTORC1 signaling and protein synthesis in human muscle following blood flow restriction exercise is inhibited by rapamycin. Am. J. Physiol.-Endocrinol. Metab. 2014, 306, E1198–E1204. [Google Scholar] [CrossRef]
- Ramel, A.; Wagner, K.-H.; Elmadfa, I. Plasma antioxidants and lipid oxidation after submaximal resistance exercise in men. Eur. J. Nutr. 2004, 43, 2–6. [Google Scholar] [CrossRef]
- Çakir-Atabek, H.; Demir, S.; PinarbaSili, R.D.; Gündüz, N. Effects of different resistance training intensity on indices of oxidative stress. J. Strength Cond. Res. 2010, 24, 2491–2497. [Google Scholar] [CrossRef] [PubMed]
- Çakır-Atabek, H.; Özdemir, F.; Çolak, R. Oxidative stress and antioxidant responses to progressive resistance exercise intensity in trained and untrained males. Biol. Sport 2015, 32, 321. [Google Scholar] [CrossRef] [PubMed]
- Garten, R.; Goldfarb, A.; Crabb, B.; Waller, J. The impact of partial vascular occlusion on oxidative stress markers during resistance exercise. Int. J. Sports Med. 2015, 36, 542–549. [Google Scholar] [CrossRef] [PubMed]
- Nikolaidis, M.G.; Kyparos, A.; Dipla, K.; Zafeiridis, A.; Sambanis, M.; Grivas, G.V.; Paschalis, V.; Theodorou, A.A.; Papadopoulos, S.; Spanou, C.; et al. Exercise as a model to study redox homeostasis in blood: The effect of protocol and sampling point. Biomarkers 2012, 17, 28–35. [Google Scholar] [CrossRef]
- Lim, Z.X.; Duong, M.N.; Boyatzis, A.E.; Golden, E.; Vrielink, A.; Fournier, P.A.; Arthur, P.G. Oxidation of cysteine 34 of plasma albumin as a biomarker of oxidative stress. Free Radic. Res. 2020, 54, 91–103. [Google Scholar] [CrossRef]
- Faure, P.; Tamisier, R.; Baguet, J.; Favier, A.; Halimi, S.; Levy, P.; Pépin, J.L. Impairment of serum albumin antioxidant properties in obstructive sleep apnoea syndrome. Eur. Respir. J. 2008, 31, 1046–1053. [Google Scholar] [CrossRef]
- Turell, L.; Radi, R.; Alvarez, B. The thiol pool in human plasma: The central contribution of albumin to redox processes. Free Radic. Biol. Med. 2013, 65, 244–253. [Google Scholar] [CrossRef]
- Colombo, G.; Clerici, M.; Giustarini, D.; Rossi, R.; Milzani, A.; Dalle-Donne, I. Redox albuminomics: Oxidized albumin in human diseases. Antioxid. Redox Signal. 2012, 17, 1515–1527. [Google Scholar] [CrossRef]
- Turell, L.; Botti, H.; Carballal, S.; Radi, R.; Alvarez, B. Sulfenic acid—A key intermediate in albumin thiol oxidation. J. Chromatogr. B 2009, 877, 3384–3392. [Google Scholar] [CrossRef]
- Turell, L.; Carballal, S.; Botti, H.; Radi, R.; Alvarez, B. Oxidation of the albumin thiol to sulfenic acid and its implications in the intravascular compartment. Braz. J. Med. Biol. Res. 2009, 42, 305–311. [Google Scholar] [CrossRef]
- Borg, G.A. Psychophysical bases of perceived exertion. Med. Sci. Sports Exerc. 1982, 14, 377–381. [Google Scholar] [CrossRef] [PubMed]
- DeLorey, D.S.; Kowalchuk, J.M.; Paterson, D.H. Effects of prior heavy-intensity exercise on pulmonary O2 uptake and muscle deoxygenation kinetics in young and older adult humans. J. Appl. Physiol. 2004, 97, 998–1005. [Google Scholar] [CrossRef]
- Crum, E.; O’connor, W.; Van Loo, L.; Valckx, M.; Stannard, S. Validity and reliability of the Moxy oxygen monitor during incremental cycling exercise. Eur. J. Sport Sci. 2017, 17, 1037–1043. [Google Scholar] [CrossRef]
- Cohen, J. Statistical Power Analysis for the Behavioral Sciences; Routledge: London, UK, 2013. [Google Scholar]
- Fisher-Wellman, K.; Bloomer, R.J. Acute exercise and oxidative stress: A 30 year history. Dyn. Med. 2009, 8, 1. [Google Scholar] [CrossRef]
- Goldfarb, A.H.; Garten, R.; Chee, P.; Cho, C.; Reeves, G.; Hollander, D.; Thomas, C.; Aboudehen, K.; Francois, M.; Kraemer, R. Resistance exercise effects on blood glutathione status and plasma protein carbonyls: Influence of partial vascular occlusion. Eur. J. Appl. Physiol. 2008, 104, 813–819. [Google Scholar] [CrossRef] [PubMed]
- Hellsten, Y.; Frandsen, U.; Orthenblad, N.; Sjødin, B.; Richter, E. Xanthine oxidase in human skeletal muscle following eccentric exercise: A role in inflammation. J. Physiol. 1997, 498, 239–248. [Google Scholar] [CrossRef]
- Tanimoto, M.; Madarame, H.; Ishii, N. Muscle oxygenation and plasma growth hormone concentration during and after resistance exercise: Comparison between “KAATSU” and other types of regimen. Int. J. KAATSU Train. Res. 2005, 1, 51–56. [Google Scholar] [CrossRef]
- Tsutsumi, Y.M.; Yokoyama, T.; Horikawa, Y.; Roth, D.M.; Patel, H.H. Reactive oxygen species trigger ischemic and pharmacological postconditioning: In vivo and in vitro characterization. Life Sci. 2007, 81, 1223–1227. [Google Scholar] [CrossRef]
- Di Maria, C.A.; Bogoyevitch, M.A.; McKitrick, D.J.; Arnolda, L.F.; Hool, L.C.; Arthur, P.G. Changes in oxygen tension affect cardiac mitochondrial respiration rate via changes in the rate of mitochondrial hydrogen peroxide production. J. Mol. Cell. Cardiol. 2009, 47, 49–56. [Google Scholar] [CrossRef]
- Hamilton, K.L.; Staib, J.L.; Phillips, T.; Hess, A.; Lennon, S.L.; Powers, S.K. Exercise, antioxidants, and HSP72: Protection against myocardial ischemia/reperfusion. Free Radic. Biol. Med. 2003, 34, 800–809. [Google Scholar] [CrossRef]
- Bloomer, R.J.; Goldfarb, A.H. Anaerobic exercise and oxidative stress: A review. Can. J. Appl. Physiol. 2004, 29, 245–263. [Google Scholar] [CrossRef] [PubMed]
- Korthuis, R.J.; Granger, D.N.; Townsley, M.I.; Taylor, A.E. The role of oxygen-derived free radicals in ischemia-induced increases in canine skeletal muscle vascular permeability. Circ. Res. 1985, 57, 599–609. [Google Scholar] [CrossRef] [PubMed]
- Peake, J.; Suzuki, K. Neutrophil activation, antioxidant supplements and exercise-induced oxidative stress. Exerc. Immunol. Rev. 2004, 10, 129–141. [Google Scholar] [PubMed]
- Ji, L.L. Antioxidants and oxidative stress in exercise. Proc. Soc. Exp. Biol. Med. 1999, 222, 283–292. [Google Scholar] [CrossRef]
- Hulmi, J.J.; Myllymäki, T.; Tenhumäki, M.; Mutanen, N.; Puurtinen, R.; Paulsen, G.; Mero, A. Effects of resistance exercise and protein ingestion on blood leukocytes and platelets in young and older men. Eur. J. Appl. Physiol. 2010, 109, 343–353. [Google Scholar] [CrossRef] [PubMed]
- De Oliveira Teixeira, A.; da Silva Paulitsch, F.; de Moura Umpierre, M.; de Moraes, M.B.; da Rosa, C.E.; Signori, L.U. Inflammatory response after session of resistance exercises in untrained volunteers. Acta Scientiarum. Health Sci. 2015, 37, 31–39. [Google Scholar] [CrossRef]
- Hoenderdos, K.; Lodge, K.M.; Hirst, R.A.; Chen, C.; Palazzo, S.G.; Emerenciana, A.; Summers, C.; Angyal, A.; Porter, L.; Juss, J.K. Hypoxia upregulates neutrophil degranulation and potential for tissue injury. Thorax 2016, 71, 1030–1038. [Google Scholar] [CrossRef]
- Cardoso, A.; Bagatini, M.; Roth, M.; Martins, C.; Rezer, J.; Mello, F.; Lopes, L.; Morsch, V.; Schetinger, M. Acute effects of resistance exercise and intermittent intense aerobic exercise on blood cell count and oxidative stress in trained middle-aged women. Braz. J. Med. Biol. Res. 2012, 45, 1172–1182. [Google Scholar] [CrossRef]

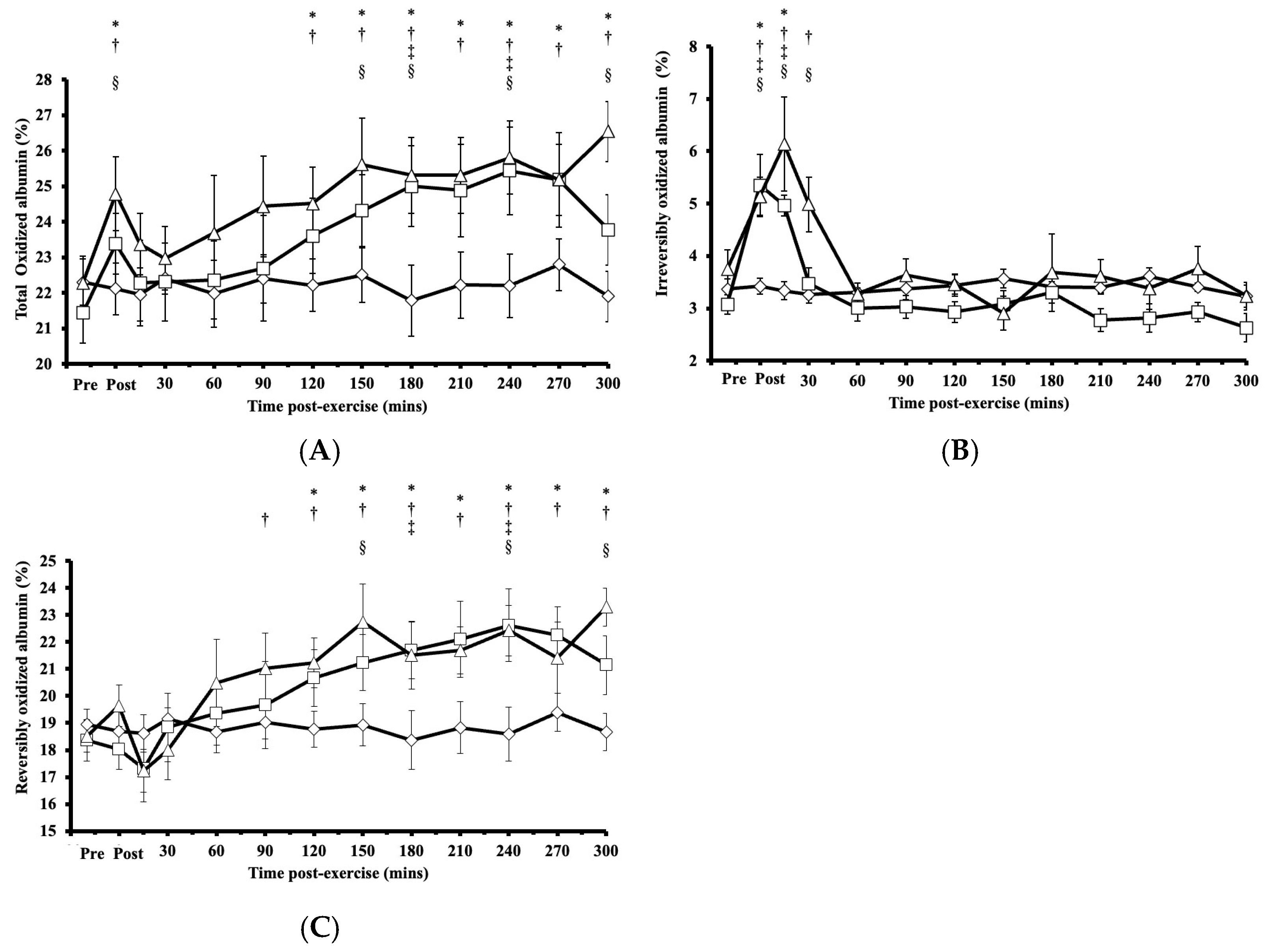
, HIRE
, and LIBFR
exercise trials. Data are shown as the mean ± SE (n = 7). Symbols: *—significant difference from baseline in HIRE trial; †—significant difference from baseline in LIBFR trial; ‡—significant difference between HIRE and control trials; §—significant difference between LIBFR and control trials. Statistical significance set at p < 0.05.
, HIRE
, and LIBFR
exercise trials. Data are shown as the mean ± SE (n = 7). Symbols: *—significant difference from baseline in HIRE trial; †—significant difference from baseline in LIBFR trial; ‡—significant difference between HIRE and control trials; §—significant difference between LIBFR and control trials. Statistical significance set at p < 0.05.
, HIRE
, and LIBFR
exercise trials. Data are displayed as the mean ± SE (n = 7). Symbols: *—significant difference from baseline in HIRE trial; †—significant difference from baseline in LIBFR trial; ‡—significant difference between HIRE and control trials; §—significant difference between LIBFR and control trials. Statistical significance set at p < 0.05.
, HIRE
, and LIBFR
exercise trials. Data are displayed as the mean ± SE (n = 7). Symbols: *—significant difference from baseline in HIRE trial; †—significant difference from baseline in LIBFR trial; ‡—significant difference between HIRE and control trials; §—significant difference between LIBFR and control trials. Statistical significance set at p < 0.05.
, HIRE
, and LIBFR
exercise trials. Data are displayed as the mean ± SE (n = 7). Symbols: *—significant difference from baseline in HIRE trial; †—significant difference from baseline in LIBFR trial; ‡—significant difference between HIRE and control trials; §—significant difference between LIBFR and control trials. Statistical significance set at p < 0.05.
, HIRE
, and LIBFR
exercise trials. Data are displayed as the mean ± SE (n = 7). Symbols: *—significant difference from baseline in HIRE trial; †—significant difference from baseline in LIBFR trial; ‡—significant difference between HIRE and control trials; §—significant difference between LIBFR and control trials. Statistical significance set at p < 0.05.
| Participants’ Physical Characteristics | |
|---|---|
| Age (years) | 23.9 ± 0.9 |
| Weight (kg) | 71.4 ± 4.2 |
| Height (m) | 1.82 ± 0.04 |
| BMI (kg/m2) | 21.6 ± 0.9 |
| peak (mL/kg/min) | 45.6 ± 1.9 |
| Leg extension 1 RM (kg) | 102.1 ± 2.6 |
| 20% 1 RM (kg) | 20.4 ± 0.5 |
| 70% 1 RM (kg) | 71.5 ± 1.9 |
| Mid-thigh skinfold (mm) | 10.4 ± 1.3 |
| Body fat mass (%) | 20.2 ± 2.1 |
| Fat mass (kg) | 14.0 ± 1.9 |
| Lean mass (kg) | 54.8 ± 3.1 |
| Diet Prior to Testing | CON | HIRE | LIBFR |
|---|---|---|---|
| Total energy intake (kJ/day) | 7749 ± 685 | 7607 ± 685 | 7028 ± 390 |
| Fat (g/day) | 67 ± 16 | 59 ± 13 | 53 ± 13 |
| Fat (% energy intake) | 33 ± 4 | 30 ± 3 | 29 ± 3 |
| Carbohydrates (g/day) | 201 ± 21 | 207 ± 20 | 197 ± 17 |
| Carbohydrates (% energy intake) | 45 ± 2 | 47 ± 2 | 48 ± 2 |
| Protein (g/day) | 102 ± 13 | 103 ± 13 | 96 ± 13 |
| Protein (% energy intake) | 22 ± 1 | 23 ± 1 | 23 ± 1 |
| Tissue Oxygenation | Post-Exercise | Heart Rate | Lactate | ||
|---|---|---|---|---|---|
| Irreversibly | Pearson correlation | −0.317 * | 0.353 * | 0.411 * | 0.555 * |
| oxidized | |||||
| albumin | N | 260 | 256 | 260 | 247 |
| Reversibly | Pearson correlation | 0.076 | 0.004 | 0.057 | −0.128 * |
| oxidized | |||||
| albumin | N | 260 | 256 | 260 | 247 |
| Variables | Regression Coefficient | Standard Error | Standardized Regression Coefficient | p |
|---|---|---|---|---|
| (Constant) | 3.528 | 0.926 | <0.001 * | |
| Lactate | 0.313 | 0.042 | 0.492 | <0.001 * |
| post-exercise | −0.067 | 0.05 | −0.12 | 0.180 |
| Tissue oxygenation | −0.012 | 0.006 | −0.147 | 0.055 |
| Heart rate | 0.009 | 0.005 | 0.138 | 0.083 |
| Glucose | 0.042 | 0.098 | 0.023 | 0.666 |
Disclaimer/Publisher’s Note: The statements, opinions and data contained in all publications are solely those of the individual author(s) and contributor(s) and not of MDPI and/or the editor(s). MDPI and/or the editor(s) disclaim responsibility for any injury to people or property resulting from any ideas, methods, instructions or products referred to in the content. |
© 2025 by the authors. Licensee MDPI, Basel, Switzerland. This article is an open access article distributed under the terms and conditions of the Creative Commons Attribution (CC BY) license (https://creativecommons.org/licenses/by/4.0/).
Share and Cite
Lim, Z.X.; Peos, J.; Ostojic, S.; Arthur, P.G.; Fournier, P.A. Recovery from Resistance Exercise with or Without Blood Flow Restriction Results in an Early Biphasic Pattern of Change in Albumin Cys34 Oxidation in Untrained Males. Antioxidants 2025, 14, 667. https://doi.org/10.3390/antiox14060667
Lim ZX, Peos J, Ostojic S, Arthur PG, Fournier PA. Recovery from Resistance Exercise with or Without Blood Flow Restriction Results in an Early Biphasic Pattern of Change in Albumin Cys34 Oxidation in Untrained Males. Antioxidants. 2025; 14(6):667. https://doi.org/10.3390/antiox14060667
Chicago/Turabian StyleLim, Zi Xiang, Jackson Peos, Stefan Ostojic, Peter G. Arthur, and Paul A. Fournier. 2025. "Recovery from Resistance Exercise with or Without Blood Flow Restriction Results in an Early Biphasic Pattern of Change in Albumin Cys34 Oxidation in Untrained Males" Antioxidants 14, no. 6: 667. https://doi.org/10.3390/antiox14060667
APA StyleLim, Z. X., Peos, J., Ostojic, S., Arthur, P. G., & Fournier, P. A. (2025). Recovery from Resistance Exercise with or Without Blood Flow Restriction Results in an Early Biphasic Pattern of Change in Albumin Cys34 Oxidation in Untrained Males. Antioxidants, 14(6), 667. https://doi.org/10.3390/antiox14060667

