Oxidative Stability of Fish Oil-Loaded Nanocapsules Produced by Electrospraying Using Kafirin or Zein Proteins as Wall Materials
Abstract
1. Introduction
2. Materials and Methods
2.1. Materials
2.2. Isolation of Kafirin
2.3. Characterization of Kafirin
2.4. Preparation of Electrospraying Solutions
2.5. Production of Electrosprayed Capsules
2.6. Characterization of Electrosprayed Capsules
2.6.1. Scanning Electron Microscopy
2.6.2. Encapsulation Efficiency (EE)
2.6.3. Attenuated Total Reflection–Fourier Transform Infrared (ATR–FTIR) Spectroscopy
2.6.4. Raman Spectroscopy
2.6.5. Differential Scanning Calorimetry (DSC)
2.7. Oxidative Stability of Electrosprayed Capsules
2.7.1. Electron Paramagnetic Resonance (EPR)
2.7.2. Differential Scanning Calorimetry (DSC)
2.8. Statistical Analysis
3. Results and Discussion
3.1. Characterization of the Electrosprayed Capsules
3.1.1. Morphology, Particle Size Distribution, and Encapsulation Efficiency
3.1.2. ATR-FTIR
3.1.3. Raman Spectroscopy
3.1.4. Glass Transition Temperature (Tg)
3.2. Oxidative Stability of Electrosprayed Capsules
3.2.1. Electron Paramagnetic Resonance (EPR)
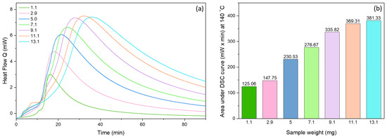
3.2.2. Differential Scanning Calorimetry (DSC)
4. Conclusions
Supplementary Materials
Author Contributions
Funding
Institutional Review Board Statement
Informed Consent Statement
Data Availability Statement
Acknowledgments
Conflicts of Interest
References
- Calder, P.C. Health benefits of omega-3 fatty acids. In Omega-3 Delivery Systems; Elsevier: Amsterdam, The Netherlands, 2021; pp. 25–53. ISBN 9780128213919. [Google Scholar]
- Rittenhouse, M.A.; Barringer, N.D.; Jaffe, D.A.; Morogiello, J.M.; Kegel, J.L.; McNally, B.A.; Deuster, P.A. Omega-3 Index improves after increased intake of foods with omega-3 polyunsaturated fatty acids among US service academy cadets. Nutr. Res. 2023, 117, 30–37. [Google Scholar] [CrossRef] [PubMed]
- Ghelichi, S.; Hajfathalian, M.; García-Moreno, P.J.; Yesiltas, B.; Moltke-Sørensen, A.-D.; Jacobsen, C. Food enrichment with omega-3 polyunsaturated fatty acids. In Omega-3 Delivery Systems; Elsevier: Amsterdam, The Netherlands, 2021; pp. 395–425. [Google Scholar]
- Ghelichi, S.; Hajfathalian, M.; Yesiltas, B.; Sørensen, A.M.; García-Moreno, P.J.; Jacobsen, C. Oxidation and oxidative stability in emulsions. Compr. Rev. Food Sci. Food Saf. 2023, 22, 1864–1901. [Google Scholar] [CrossRef] [PubMed]
- Rahmani-Manglano, N.E.; Tirado-Delgado, M.; García-moreno, P.J.; Guadix, A.; Guadix, E.M. Influence of emulsifier type and encapsulating agent on the in vitro digestion of fish oil-loaded microcapsules produced by spray-drying. Food Chem. 2022, 392, 133257. [Google Scholar] [CrossRef] [PubMed]
- Comunian, T.A.; Gómez-Mascaraque, L.G.; Maudhuit, A.; Roelens, G.; Poncelet, D.; Drusch, S.; Brodkorb, A. Electrostatic spray drying: A new alternative for drying of complex coacervates. Food Res. Int. 2024, 183, 114189. [Google Scholar] [CrossRef] [PubMed]
- García-Moreno, P.J.; Rahmani-Manglano, N.E.; Chronakis, I.S.; Guadix, E.M.; Yesiltas, B.; Sørensen, A.-D.M.; Jacobsen, C. Omega-3 nano-microencapsulates produced by electrohydrodynamic processing. In Omega-3 Delivery Systems; Elsevier: Amsterdam, The Netherlands, 2021; pp. 345–370. ISBN 9780128213919. [Google Scholar]
- Jacobsen, C.; García-Moreno, P.J.; Mendes, A.C.; Mateiu, R.V.; Chronakis, I.S. Use of Electrohydrodynamic Processing for Encapsulation of Sensitive Bioactive Compounds and Applications in Food. Annu. Rev. Food Sci. Technol. 2018, 9, 525–549. [Google Scholar] [CrossRef]
- Tapia-Hernández, J.A.; Torres-Chávez, P.I.; Ramírez-Wong, B.; Rascón-Chu, A.; Plascencia-Jatomea, M.; Barreras-Urbina, C.G.; Rangel-Vázquez, N.A.; Rodríguez-Félix, F. Micro- and Nanoparticles by Electrospray: Advances and Applications in Foods. J. Agric. Food Chem. 2015, 63, 4699–4707. [Google Scholar] [CrossRef]
- Lim, L.-T.; Mendes, A.C.; Chronakis, I.S. Electrospinning and electrospraying technologies for food applications. In Advances in Food and Nutrition Research; Academic Press: Cambridge, MA, USA, 2019; Volume 88, pp. 167–234. ISBN 9780128160732. [Google Scholar]
- García-Moreno, P.J.; Mendes, A.C.; Jacobsen, C.; Chronakis, I.S. Biopolymers for the Nano-microencapsulation of Bioactive Ingredients by Electrohydrodynamic Processing. In Polymers for Food Applications; Springer International Publishing: Cham, Switzerland, 2018; pp. 447–479. ISBN 9783319946252. [Google Scholar]
- Hermund, D.; Jacobsen, C.; Chronakis, I.S.; Pelayo, A.; Yu, S.; Busolo, M.; Lagaron, J.M.; Jónsdóttir, R.; Kristinsson, H.G.; Akoh, C.C.; et al. Stabilization of Fish Oil-Loaded Electrosprayed Capsules with Seaweed and Commercial Natural Antioxidants: Effect on the Oxidative Stability of Capsule-Enriched Mayonnaise. Eur. J. Lipid Sci. Technol. 2019, 121, 1800396. [Google Scholar] [CrossRef]
- Jahanshahi, M.; Babaei, Z. Protein nanoparticle: A unique system as drug delivery vehicles. African J. Biotechnol. 2008, 7, 4926–4934. [Google Scholar]
- Torres-Giner, S.; Martinez-Abad, A.; Ocio, M.J.; Lagaron, J.M. Stabilization of a nutraceutical omega-3 fatty acid by encapsulation in ultrathin electrosprayed zein prolamine. J. Food Sci. 2010, 75, N69–N79. [Google Scholar] [CrossRef]
- Busolo, M.A.; Torres-Giner, S.; Prieto, C.; Lagaron, J.M. Electrospraying assisted by pressurized gas as an innovative high-throughput process for the microencapsulation and stabilization of docosahexaenoic acid-enriched fish oil in zein prolamine. Innov. Food Sci. Emerg. Technol. 2019, 51, 12–19. [Google Scholar] [CrossRef]
- Miguel, G.A.; Jacobsen, C.; Prieto, C.; Kempen, P.J.; Lagaron, J.M.; Chronakis, I.S.; García-Moreno, P.J. Oxidative stability and physical properties of mayonnaise fortified with zein electrosprayed capsules loaded with fish oil. J. Food Eng. 2019, 263, 348–358. [Google Scholar] [CrossRef]
- Hossain, M.S.; Islam, M.N.; Rahman, M.M.; Mostofa, M.G.; Khan, M.A.R. Sorghum: A prospective crop for climatic vulnerability, food and nutritional security. J. Agric. Food Res. 2022, 8, 100300. [Google Scholar] [CrossRef]
- Gallo, T.C.B.; Beaumal, V.; Houinsou-Houssou, B.; Viau, M.; Ribourg-Birault, L.; Sotin, H.; Bonicel, J.; Boire, A.; Queiroz, V.A.V.; Mameri, H.; et al. Sorghum protein ingredients: Production, compositional variability and enhancement of aqueous dispersibility through homogenization. Future Foods 2024, 9, 100323. [Google Scholar] [CrossRef]
- Ye, Z.; Wang, Y.; Shen, P.; Sagis, L.M.C.; Landman, J. Effect of gum Arabic coating on release behavior of curcumin-loaded kafirin and zein composite nanoparticles. Food Hydrocoll. 2024, 156, 110254. [Google Scholar] [CrossRef]
- Sha, X.; Sun, H.; Li, Y.; Wu, J.; Zhang, H.; Yang, R. The prolamins, from structure, property, to the function in encapsulation and delivery of bioactive compounds. Food Hydrocoll. 2024, 149, 109508. [Google Scholar] [CrossRef]
- Taylor, J.; Taylor, J.R.N. Making Kafirin, the Sorghum Prolamin, into a Viable Alternative Protein Source. J. Am. Oil Chem. Soc. 2018, 95, 969–990. [Google Scholar] [CrossRef]
- De Mesa-Stonestreet, N.J.; Alavi, S.; Bean, S.R. Sorghum Proteins: The Concentration, Isolation, Modification, and Food Applications of Kafirins. J. Food Sci. 2010, 75, R90–R104. [Google Scholar] [CrossRef]
- Xiao, J.; Li, Y.; Li, J.; Gonzalez, A.P.; Xia, Q.; Huang, Q. Structure, Morphology, and Assembly Behavior of Kafirin. J. Agric. Food Chem. 2015, 63, 216–224. [Google Scholar] [CrossRef]
- Taylor, J.; Taylor, J.R.N.; Belton, P.S.; Minnaar, A. Kafirin Microparticle Encapsulation of Catechin and Sorghum Condensed Tannins. J. Agric. Food Chem. 2009, 57, 7523–7528. [Google Scholar] [CrossRef]
- Bai, X.; Li, C.; Yu, L.; Jiang, Y.; Wang, M.; Lang, S.; Liu, D. Development and characterization of soybean oil microcapsules employing kafirin and sodium caseinate as wall materials. LWT 2019, 111, 235–241. [Google Scholar] [CrossRef]
- Cetinkaya, T.; Mendes, A.C.; Jacobsen, C.; Ceylan, Z.; Chronakis, I.S.; Bean, S.R.; García-Moreno, P.J. Development of kafirin-based nanocapsules by electrospraying for encapsulation of fish oil. LWT 2021, 136, 110297. [Google Scholar] [CrossRef]
- Bean, S.R.; Ioerger, B.P.; Blackwell, D.L. Separation of Kafirins on Surface Porous Reversed-Phase High-Performance Liquid Chromatography Columns. J. Agric. Food Chem. 2011, 59, 85–91. [Google Scholar] [CrossRef] [PubMed]
- Ioerger, B.P.; Bean, S.R.; Tilley, M.; Lin, H. An improved method for extraction of sorghum polymeric protein complexes. J. Cereal Sci. 2020, 91, 102876. [Google Scholar] [CrossRef]
- Thomsen, M.K.; Vedstesen, H.; Skibsted, L.H.; Davies, M.J.; Hawkins, C.L.; Amft, J.; Steffen-Heins, A.; Schwarz, K.; Merkx, D.W.H.; Plankensteiner, L.; et al. Oxidative stability and oxygen permeability of oil-loaded capsules produced by spray-drying or electrospraying measured by electron spin resonance. Food Chem. 2024, 430, 136894. [Google Scholar] [CrossRef]
- García-Moreno, P.J.; Pelayo, A.; Yu, S.; Busolo, M.; Lagaron, J.M.; Chronakis, I.S.; Jacobsen, C. Physicochemical characterization and oxidative stability of fish oil-loaded electrosprayed capsules: Combined use of whey protein and carbohydrates as wall materials. J. Food Eng. 2018, 231, 42–53. [Google Scholar] [CrossRef]
- Velasco, J.; Andersen, M.L.; Skibsted, L.H. ESR spin trapping for in situ detection of radicals involved in the early stages of lipid oxidation of dried microencapsulated oils. Food Chem. 2021, 341, 128227. [Google Scholar] [CrossRef]
- Fallahasghari, E.Z.; Stubbe, P.R.; Chronakis, I.S.; Mendes, A.C. Ethyl cellulose-core, OSA starch-shell electrosprayed microcapsules enhance the oxidative stability of loaded fish oil. Nanomaterials 2024, 14, 510. [Google Scholar] [CrossRef]
- Fallahasghari, E.Z.; Højgaard Lynge, M.; Espholin Gudnason, E.; Munkerup, K.; Mendes, A.C.; Chronakis, I.S. Carbohydrate core–shell electrosprayed microcapsules for enhanced oxidative stability of vitamin A palmitate. Pharmaceutics 2023, 15, 2633. [Google Scholar] [CrossRef]
- Fallahasghari, E.Z.; Filtenborg, K.G.; Mendes, A.C.; Chronakis, I.S. Antioxidant efficacy of amino acids on vitamin A palmitate encapsulated in OSA-starch electrosprayed core-shell microcapsules. Food Biosci. 2024, 61, 104673. [Google Scholar] [CrossRef]
- Yang, S.; Rabbani, M.; Ji, B.; Han, D.-W.; Lee, J.; Kim, J.; Yeum, J. Optimum Conditions for the Fabrication of Zein/Ag Composite Nanoparticles from Ethanol/H2O Co-Solvents Using Electrospinning. Nanomaterials 2016, 6, 230. [Google Scholar] [CrossRef]
- Taylor, J.R.N.; Schober, T.J.; Bean, S.R. Novel food and non-food uses for sorghum and millets. J. Cereal Sci. 2006, 44, 252–271. [Google Scholar] [CrossRef]
- Johns, C.O.; Brewster, J.F. Kafirin, An Alcohol-Soluble Protein from Kafir, Andropogon Sorghum. J. Biol. Chem. 1916, 28, 59–65. [Google Scholar] [CrossRef]
- Xu, Q.; Nakajima, M.; Nabetani, H.; Iwamoto, S.; Liu, X. The Effects of Ethanol Content and Emulsifying Agent Concentration on the Stability of Vegetable Oil-Ethanol Emulsions. J. Am. Oil Chem. Soc. 2001, 78, 1185–1190. [Google Scholar] [CrossRef]
- Yang, Y.; Chen, Q.; Liu, Q.; Wang, X.; Bai, W.; Chen, Z. Effect of High-Hydrostatic-Pressure Treatment on the Physicochemical Properties of Kafirin. Foods 2023, 12, 4077. [Google Scholar] [CrossRef] [PubMed]
- Keshanidokht, S.; Via, M.A.; Falco, C.Y.; Clausen, M.P.; Risbo, J. Zein-stabilized emulsions by ethanol addition; stability and microstructure. Food Hydrocoll. 2022, 133, 107973. [Google Scholar] [CrossRef]
- Shukla, R.; Cheryan, M. Zein: The industrial protein from corn. Ind. Crops Prod. 2001, 13, 171–192. [Google Scholar] [CrossRef]
- Vasconcelos, M.; Coelho, L.; Barros, A.; de Almeida, J.M.M.M. Study of adulteration of extra virgin olive oil with peanut oil using FTIR spectroscopy and chemometrics. Cogent Food Agric. 2015, 1, 1018695. [Google Scholar] [CrossRef]
- Embaby, H.E.; Miyakawa, T.; Hachimura, S.; Muramatsu, T.; Nara, M.; Tanokura, M. Crystallization and melting properties studied by DSC and FTIR spectroscopy of goldenberry (Physalis peruviana) oil. Food Chem. 2022, 366, 130645. [Google Scholar] [CrossRef]
- Loughrill, E.; Thompson, S.; Owusu-Ware, S.; Snowden, M.J.; Douroumis, D.; Zand, N. Controlled release of microencapsulated docosahexaenoic acid (DHA) by spray–drying processing. Food Chem. 2019, 286, 368–375. [Google Scholar] [CrossRef]
- García-Moreno, P.J.; Özdemir, N.; Stephansen, K.; Mateiu, R.V.; Echegoyen, Y.; Lagaron, J.M.; Chronakis, I.S.; Jacobsen, C. Development of carbohydrate-based nano-microstructures loaded with fish oil by using electrohydrodynamic processing. Food Hydrocoll. 2017, 69, 273–285. [Google Scholar] [CrossRef]
- Amorim, T.L.; Fuente, M.A.d.l.; Oliveira, M.A.L.d; Gómez-Cortés, P. ATR-FTIR and Raman Spectroscopies Associated with Chemometrics for Lipid Form Evaluation of Fish Oil Supplements: A Comparative Study. ACS Food Sci. Technol. 2021, 1, 318–325. [Google Scholar] [CrossRef]
- Xiao, S.; Ahn, D.U. Co-encapsulation of fish oil with essential oils and lutein/curcumin to increase the oxidative stability of fish oil powder. Food Chem. 2023, 410, 135465. [Google Scholar] [CrossRef] [PubMed]
- Yao, Z.-C.C.; Chang, M.-W.W.; Ahmad, Z.; Li, J.-S.S. Encapsulation of rose hip seed oil into fibrous zein films for ambient and on demand food preservation via coaxial electrospinning. J. Food Eng. 2016, 191, 115–123. [Google Scholar] [CrossRef]
- Jahanbakhsh Oskouei, M.; Alizadeh Khaledabad, M.; Almasi, H.; Hamishekar, H.; Amiri, S. Preparation and characterization of kafirin/PLA electrospun nanofibers activated by Syzygium aromaticum essential oil. Polym. Bull. 2024, 81, 10061–10079. [Google Scholar] [CrossRef]
- Czamara, K.; Majzner, K.; Pacia, M.Z.; Kochan, K.; Kaczor, A.; Baranska, M. Raman spectroscopy of lipids: A review. J. Raman Spectrosc. 2015, 46, 4–20. [Google Scholar] [CrossRef]
- Afseth, N.K.; Wold, J.P.; Segtnan, V.H. The potential of Raman spectroscopy for characterisation of the fatty acid unsaturation of salmon. Anal. Chim. Acta 2006, 572, 85–92. [Google Scholar] [CrossRef]
- Ahmmed, F.; Killeen, D.P.; Gordon, K.C.; Fraser-Miller, S.J. Rapid Quantitation of Adulterants in Premium Marine Oils by Raman and IR Spectroscopy: A Data Fusion Approach. Molecules 2022, 27, 4534. [Google Scholar] [CrossRef]
- Rygula, A.; Majzner, K.; Marzec, K.M.; Kaczor, A.; Pilarczyk, M.; Baranska, M. Raman spectroscopy of proteins: A review. J. Raman Spectrosc. 2013, 44, 1061–1076. [Google Scholar] [CrossRef]
- de Almeida, M.R.; de Sá Oliveira, K.; Stephani, R.; Cappa de Oliveira, L.F. Application of FT-Raman Spectroscopy and Chemometric Analysis for Determination of Adulteration in Milk Powder. Anal. Lett. 2012, 45, 2589–2602. [Google Scholar] [CrossRef]
- Schober, T.J.; Bean, S.R.; Tilley, M.; Smith, B.M.; Ioerger, B.P. Impact of different isolation procedures on the functionality of zein and kafirin. J. Cereal Sci. 2011, 54, 241–249. [Google Scholar] [CrossRef]
- Andersen, M.L. Lipid oxidation studied by electron paramagnetic resonance (EPR). In Omega-3 Delivery Systems; Elsevier: Amsterdam, The Netherlands, 2021; pp. 201–213. [Google Scholar]
- Velasco, J.; Andersen, M.L.; Skibsted, L.H. Electron Spin Resonance Spin Trapping for Analysis of Lipid Oxidation in Oils: Inhibiting Effect of the Spin Trap α-Phenyl-N-tert-butylnitrone on Lipid Oxidation. J. Agric. Food Chem. 2005, 53, 1328–1336. [Google Scholar] [CrossRef] [PubMed]
- Velasco, J.; Andersen, M.L.; Skibsted, L.H. Evaluation of oxidative stability of vegetable oils by monitoring the tendency to radical formation. A comparison of electron spin resonance spectroscopy with the Rancimat method and differential scanning calorimetry. Food Chem. 2004, 85, 623–632. [Google Scholar] [CrossRef]
- Thomsen, M.K.; Vedstesen, H.; Skibsted, L.H. Quantification of Radical formation in Oil-in-Water Food Emulsions by Electron Spin Resonance Spectroscopy. J. Food Lipids 1999, 6, 149–158. [Google Scholar] [CrossRef]
- Zhou, L.; Elias, R.J. Factors Influencing the Antioxidant and Pro-Oxidant Activity of Polyphenols in Oil-in-Water Emulsions. J. Agric. Food Chem. 2012, 60, 2906–2915. [Google Scholar] [CrossRef]
- García-Moreno, P.J.; Gregersen, S.; Nedamani, E.R.; Olsen, T.H.; Marcatili, P.; Overgaard, M.T.; Andersen, M.L.; Hansen, E.B.; Jacobsen, C. Identification of emulsifier potato peptides by bioinformatics: Application to omega-3 delivery emulsions and release from potato industry side streams. Sci. Rep. 2020, 10, 690. [Google Scholar] [CrossRef]
- Merkx, D.W.H.; Plankensteiner, L.; Yu, Y.; Wierenga, P.A.; Hennebelle, M.; Van Duynhoven, J.P.M. Evaluation of PBN spin-trapped radicals as early markers of lipid oxidation in mayonnaise. Food Chem. 2021, 334, 127578. [Google Scholar] [CrossRef]
- Boerekamp, D.M.W.; Andersen, M.L.; Jacobsen, C.; Chronakis, I.S.; García-Moreno, P.J. Oxygen permeability and oxidative stability of fish oil-loaded electrosprayed capsules measured by Electron Spin Resonance: Effect of dextran and glucose syrup as main encapsulating materials. Food Chem. 2019, 287, 287–294. [Google Scholar] [CrossRef]
- Davies, M.J.; Hawkins, C.L. EPR Spin trapping of protein radicals. Free Radic. Biol. Med. 2004, 36, 1072–1086. [Google Scholar] [CrossRef]
- Amft, J.; Steffen-Heins, A.; Schwarz, K. Analysis of radical formation by EPR in complex starch-protein-lipid model systems and corn extrudates. Food Chem. 2020, 331, 127314. [Google Scholar] [CrossRef]
- Gillgren, T.; Stading, M. Mechanical and Barrier Properties of Avenin, Kafirin, and Zein Films. Food Biophys. 2008, 3, 287–294. [Google Scholar] [CrossRef]
- Miller, K.S.; Krochta, J.M. Oxygen and aroma barrier properties of edible films: A review. Trends Food Sci. Technol. 1997, 8, 228–237. [Google Scholar] [CrossRef]
- Drusch, S.; Rätzke, K.; Shaikh, M.Q.; Serfert, Y.; Steckel, H.; Scampicchio, M.; Voigt, I.; Schwarz, K.; Mannino, S. Differences in free volume elements of the carrier matrix affect the stability of microencapsulated lipophilic food ingredients. Food Biophys. 2009, 4, 42–48. [Google Scholar] [CrossRef]










| Disclaimer/Publisher’s Note: The statements, opinions and data contained in all publications are solely those of the individual author(s) and contributor(s) and not of MDPI and/or the editor(s). MDPI and/or the editor(s) disclaim responsibility for any injury to people or property resulting from any ideas, methods, instructions or products referred to in the content. | 
© 2024 by the authors. Licensee MDPI, Basel, Switzerland. This article is an open access article distributed under the terms and conditions of the Creative Commons Attribution (CC BY) license (https://creativecommons.org/licenses/by/4.0/).
Share and Cite
Rahmani-Manglano, N.E.; Fallahasghari, E.Z.; Mendes, A.C.; Andersen, M.L.; Guadix, E.M.; Chronakis, I.S.; García-Moreno, P.J. Oxidative Stability of Fish Oil-Loaded Nanocapsules Produced by Electrospraying Using Kafirin or Zein Proteins as Wall Materials. Antioxidants 2024, 13, 1145. https://doi.org/10.3390/antiox13091145
Rahmani-Manglano NE, Fallahasghari EZ, Mendes AC, Andersen ML, Guadix EM, Chronakis IS, García-Moreno PJ. Oxidative Stability of Fish Oil-Loaded Nanocapsules Produced by Electrospraying Using Kafirin or Zein Proteins as Wall Materials. Antioxidants. 2024; 13(9):1145. https://doi.org/10.3390/antiox13091145
Chicago/Turabian StyleRahmani-Manglano, Nor E., Elnaz Z. Fallahasghari, Ana C. Mendes, Mogens L. Andersen, Emilia M. Guadix, Ioannis S. Chronakis, and Pedro J. García-Moreno. 2024. "Oxidative Stability of Fish Oil-Loaded Nanocapsules Produced by Electrospraying Using Kafirin or Zein Proteins as Wall Materials" Antioxidants 13, no. 9: 1145. https://doi.org/10.3390/antiox13091145
APA StyleRahmani-Manglano, N. E., Fallahasghari, E. Z., Mendes, A. C., Andersen, M. L., Guadix, E. M., Chronakis, I. S., & García-Moreno, P. J. (2024). Oxidative Stability of Fish Oil-Loaded Nanocapsules Produced by Electrospraying Using Kafirin or Zein Proteins as Wall Materials. Antioxidants, 13(9), 1145. https://doi.org/10.3390/antiox13091145
 
        






 
                        