Effects of Different Combinations of Phytochemical-Rich Fruits and Vegetables on Chronic Disease Risk Markers and Gene Expression Changes: Insights from the MiBLEND Study, a Randomized Trial
Abstract
1. Introduction
2. Materials and Methods
2.1. Study Design
2.2. Dietary Interventions
2.3. Participants
2.4. Test Days
2.5. DNA Damage Markers
2.5.1. DNA Strand Breaks
2.5.2. Oxidized Purines
2.6. Oxidative Stress in Blood and Plasma
2.6.1. Antioxidant Capacity
2.6.2. Superoxide Scavenging
2.7. Retinal Microvasculature
2.7.1. Vessel Calibre (CRAE, CRVE, and AVR)
2.7.2. Vessel Branching and Tortuosity
2.8. Phytochemicals in Plasma and Urine
2.8.1. Total Polyphenols
2.8.2. Carotenoids
2.8.3. Vitamin C
2.9. Gene Expression Analysis
2.9.1. RNA Isolation
2.9.2. Library Prep and Sequencing
2.9.3. DATA Pre-Processing
2.9.4. Differentially Expressed Genes (DEG) and Pathway Analysis
| contr.matrix <- makeContrasts( D0vsD1 = subsetPostTestD1 − subsetBaselineD1, D0vsD2 = subsetPostTestD2 − subsetBaselineD2, D0vsD3 = subsetPostTestD3 − subsetBaselineD3, D0vsD4 = subsetPostTestD4 − subsetBaselineD4, D0vsD5 = subsetPostTestD5 − subsetBaselineD5, D0vsD6 = subsetPostTestD6 − subsetBaselineD6, D0vsD7 = subsetPostTestD7 − subsetBaselineD7, AllDIs = (subsetPostTestD1 + subsetPostTestD2 + subsetPostTestD3 + subsetPostTestD4 + subsetPostTestD5 + subsetPostTestD6 + subsetPostTestD7)/7 − (subsetBaselineD1 + subsetBaselineD2 + subsetBaselineD3 + subsetBaselineD4 + subsetBaselineD5 + subsetBaselineD6 + subsetBaselineD7)/7, levels = colnames(design)) |
2.9.5. Gene Set Enrichment Analysis (GSEA)
2.10. Sample Size Calculation and Randomization
2.11. Statistical Analysis
3. Results
3.1. Participants
3.2. DNA Damage Markers
3.2.1. DNA Strand Breaks
| Baseline | Post-Test 1 | Post-Test 2 | Blend 1 | Blend 2 | Blend 3 | Blend 4 | Blend 5 | Blend 6 | Blend 7 | ||
|---|---|---|---|---|---|---|---|---|---|---|---|
| Participant Characteristics | N | 146 | 126 | 117 | 38 | 37 | 40 | 9 | 40 | 39 | 40 |
| % Female | 73% | 74% | 72% | 68% | 79% | 60% | 40% | 78% | 75% | 88% | |
| Age (yr) | 27 ± 10 | 27 ± 10 | 27 ± 9 | 27 ± 9 | 26 ± 9 | 27 ± 11 | 34 ± 13 | 27 ± 10 | 25 ± 7 | 28 ± 9 | |
| BMI (kg/m2) | 22.7 ± 2.2 | 22.6 ± 2.2 | 22.7 ± 2.2 | 22.6 ± 2.2 | 22.1 ± 2.5 | 22.1 ± 2.0 | 23.3 ± 2.6 | 22.5 ± 2.1 | 22.9 ± 2.4 | 22.6 ± 2.2 | |
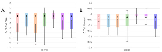
| DNA Damage | % Tail DNA | 12.85 ± 1.15 | 9.49 ± 0.99 ** | 10.28 ± 1.11 * | 9.04 ± 1.67 * | 10.22 ± 1.72 | 8.86 ± 1.64 * | 10.24 ± 3.66 | 11.68 ± 1.64 | 9.57 ± 1.75 | 9.66 ± 1.73 |
| Tail Moment | 0.37 ± 0.04 | 0.28 ± 0.04 | 0.28 ± 0.04 | 0.24 ± 0.07 | 0.26 ± 0.07 | 0.25 ± 0.06 | 0.29 ± 0.15 | 0.34 ± 0.06 | 0.34 ± 0.07 | 0.26 ± 0.07 | |
| 8-OH-dG (ng/mmol creatinine) | 36.59 ± 4.04 | 38.13 ± 3.59 | |||||||||
| Oxidative Stress Markers | TEAC | 1154 ± 9 | 1186 ± 9 *** | 1190 ± 9 *** | 1187 ± 12 *** | 1198 ± 12 *** | 1191 ± 11 *** | 1209 ± 21 * | 1185 ± 12 ** | 1195 ± 12 *** | 1165 ± 12 |
| Superoxide Height (AU) | 3380 ± 171 | 3636 ± 197 | 3285 ± 157 | 3454 ± 254 | 3170 ± 259 | 3277 ± 244 | 3279 ± 446 | 3666 ± 250 | 3154 ± 257 | 3476 ± 251 | |
| Superoxide AUC (×105 AU) | 12.04 ± 0.63 | 13.31 ± 0.79 | 11.98 ± 0.65 | 12.93 ± 1.03 | 12.13 ± 1.05 | 11.59 ± 1.00 | 12.27 ± 1.82 | 13.23 ± 1.02 | 11.31 ± 1.05 | 12.87 ± 1.03 | |
| Retinal Microvasculature | CRAE (µm) | 121.08 ± 3.62 | 123.88 ± 3.76 *** | 124.75 ± 3.79 *** | 123.08 ± 3.87 * | 123.78 ± 3.86 * | 123.39 ± 3.87 * | 125.96 ± 4.35 * | 124.69 ± 3.86 *** | 124.30 ± 3.86 ** | 123.77 ± 3.86 * |
| CRVE (µm) | 177.36 ± 5.28 | 175.52 ± 5.16 * | 177.51 ± 5.14 | 174.45 ± 5.25 * | 175.81 ± 5.26 | 175.81 ± 5.24 | 177.99 ± 5.75 | 175.99 ± 5.26 | 177.77 ± 5.26 | 176.53 ± 5.27 | |
| AVR | 0.67 ± 0.01 | 0.70 ± 0.01 *** | 0.70 ± 0.01 *** | 0.70 ± 0.01 *** | 0.69 ± 0.01 *** | 0.69 ± 0.01 *** | 0.70 ± 0.01 * | 0.70 ± 0.01 *** | 0.69 ± 0.01 *** | 0.70 ± 0.01 *** | |
| Branching | 60.54 ± 1.47 | 59.54 ± 1.48 | 61.23 ± 1.50 | 61.77 ± 1.87 | 59.65 ± 1.90 | 59.69 ± 1.87 | 58.40 ± 3.12 | 60.12 ± 1.87 | 61.03 ± 1.88 | 59.60 ± 1.91 | |
| Tortuosity | 0.897 ± 0.001 | 0.897 ± 0.001 | 0.897 ± 0.001 | 0.896 ± 0.002 | 0.897 ± 0.002 | 0.898 ± 0.002 | 0.897 ± 0.004 | 0.896 ± 0.002 | 0.897 ± 0.002 | 0.897 ± 0.002 | |
| Phytochemicals in Plasma & Urine | Total polyphenols | 254 ± 2 | 253 ± 2 | 253 ± 2 | 253 ± 3 | 252 ± 3 | 253 ± 3 | 248 ± 6 | 255 ± 3 | 252 ± 3 | 253 ± 3 |
| Lutein (nM) | 277.6 ± 12.6 | 311.8 ± 12.9 *** | 301.2 ± 13.3 * | 292.6 ± 17.7 | 317.7 ± 18.2 * | 322.6 ± 17.4 ** | 294.8 ± 31.6 | 293.6 ± 17.8 | 272.6 ± 17.9 | 341.4 ± 17.6 *** | |
| Lycopene (nM) | 444.5 ± 20.1 | 471.1 ± 21.5 | 458.6 ± 19.9 | 433.7 ± 28.9 | 461.9 ± 29.7 | 475.5 ± 28.3 | 473.3 ± 52.08 | 452.1 ± 29.1 | 480.7 ± 29.1 | 472.0 ± 28.7 | |
| Alpha-carotene (nM) | 128.4 ± 11.8 | 150.2 ± 11.1 * | 151.9 ± 9.3 * | 105.1 ± 12.3 | 106.3 ± 12.5 | 212.3 ± 12.0 *** | 128.3 ± 20.6 | 112.7 ± 12.4 | 179.7 ± 12.4 *** | 176.3 ± 12.2 *** | |
| Beta-carotene (nM) | 636.8 ± 44.5 | 737.9 ± 45.9 *** | 759.4 ± 42.3 *** | 572.0 ± 52.8 | 568.2 ± 53.8 | 955.4 ± 51.9 *** | 598.4 ± 84.6 | 621.9 ± 53.2 | 853.6 ± 53.1 *** | 911.8 ± 52.6 *** | |
| Vitamin C (mg/mmol creatinine) | 0.66 ± 0.05 | 0.73 ± 0.04 | 0.74 ± 0.06 | 0.63 ± 0.07 | 0.69 ± 0.07 | 0.85 ± 0.07 * | 0.89 ± 0.15 | 0.70 ± 0.07 | 0.81 ± 0.07 * | 0.61 ± 0.07 | |
| Gene expression | Significant DEGs | all post-tests vs. baseline = 846 | 1 | 2 | 2 | 18 | 0 | 9 | 4 | ||
| Significant pathways after GSEA | all post-tests vs. baseline = 281 | 281 | 76 | 244 | 199 | 291 | 301 | 5 | |||
| Study Phase | Average Blend | ||||
|---|---|---|---|---|---|
| Nutrient Type | Baseline/Run-In Phase | Intervention Phase 1 | Washout Phase | Intervention Phase 2 | |
| Calories (kcal) | 1708.9 ± 40 | 1817 ± 42 *** | 1693 ± 41 | 1829 ± 43 *** | 182 |
| Carbohydrates (g) | 206 ± 7 | 244 ± 8 *** | 202 ± 7 | 239 ± 8 *** | 44 |
| Proteins (g) | 78 ± 2 | 76 ± 3 | 76 ± 2 | 80 ± 2 | 3 |
| Fats (g) | 66 ± 2 | 65 ± 2 | 65 ± 2 | 65 ± 3 | 1 |
| Cholesterol (mg) | 145 ± 13 | 134 ± 14 | 144 ± 13 | 152 ± 14 | 0 |
| Sodium (mg) | 865 ± 73 | 861 ± 76 | 815 ± 75 | 931 ± 77 | 41 |
| Sugars (g) | 42 ± 2 | 66 ± 2 *** | 41 ± 2 | 62 ± 2 *** | 28 |
| Fibers (g) | 13 ± 1 | 24 ± 1 *** | 13 ± 1 | 23 ± 1 *** | 11 |
3.2.2. Oxidized Purines
3.3. Oxidative Stress in Blood and Plasma
3.3.1. Antioxidant Capacity
3.3.2. Superoxide Scavenging
3.4. Retinal Microvasculature
3.4.1. Vessel Calibre (CRAE, CRVE, and AVR)
3.4.2. Vessel Branching and Tortuosity
3.5. Phytochemicals in Plasma and Urine
3.5.1. Total Polyphenols
3.5.2. Carotenoids
3.5.3. Vitamin C
3.6. Gene-Expression Analysis
3.6.1. RNA Isolations
3.6.2. Data Pre-Processing
3.6.3. DEG Analysis
3.6.4. GSEA
4. Discussion
4.1. Protection from Oxidative Stress and Damage
4.2. Changes in Retinal Microvasculature
4.3. Absorption and Excretion of Phytochemicals
4.4. Gene-Expression Changes and Pathway Analysis
5. Conclusions
Supplementary Materials
Author Contributions
Funding
Institutional Review Board Statement
Informed Consent Statement
Data Availability Statement
Acknowledgments
Conflicts of Interest
References
- Riboli, E.; Norat, T. Epidemiologic evidence of the protective effect of fruit and vegetables on cancer ris-4. Am. J. Clin. Nutr. 2003, 78, 559–569. [Google Scholar] [CrossRef]
- Aune, D.; Keum, N.; Giovannucci, E.; Fadnes, L.T.; Boffetta, P.; Greenwood, D.C.; Tonstad, S.; Vatten, L.J.; Riboli, E.; Norat, T. Dietary intake and blood concentrations of antioxidants and the risk of cardiovascular disease, total cancer, and all-cause mortality: A systematic review and dose-response meta-analysis of prospective studies. Am. J. Clin. Nutr. 2018, 108, 1069–1091. [Google Scholar] [CrossRef]
- Aune, D.; Chan, D.S.M.; Vieira, A.R.; Navarro Rosenblatt, D.A.; Vieira, R.; Greenwood, D.C.; Norat, T. Fruit and vegetable intake and the risk of cardiovascular disease, total cancer and all-cause mortality-A systematic review and dose-response meta-analysis of prospective studies. Int. J. Epidemiol. 2017, 46, 1029–1056. [Google Scholar] [CrossRef]
- Amine, E.K.; Baba, N.H.; Belhadj, M.; Deurenberg-Yap, M.; Djazayery, A.; Forrestre, T.; Galuska, D.A.; Herman, S.; James, W.P.T.; M’Buyamba Kabangu, J.R.; et al. Diet, Nutrition and the Prevention of Chronic Diseases; World Health Organization Technical Report Series; WHO: Geneva, Switzerland, 2003. [Google Scholar] [PubMed]
- RIVM. Eet en drinkt Nederland volgens de richtlijnen Schijf van Vijf?: Resultaten van de Voedselconsumptiepeiling, 2012–2016; Rijksinstituut voor Volksgezondheid en Milieu: Bilthoven, The Netherlands, 2020; pp. 1–178. [Google Scholar]
- Eurostat. How Much Fruit and Vegetables Do You Eat Daily? Europa.eu. 2022. Available online: https://ec.europa.eu/eurostat/web/products-eurostat-news/-/ddn-20220104-1 (accessed on 24 August 2023).
- Lee, S.; Moore, L.; Park, S.; Harris, D.; Blanck, H. Adults Meeting Fruit and Vegetable Intake Recommendations—United States, 2019. Morb. Mortal. Wkly. Rep. 2022, 71, 1–9. [Google Scholar] [CrossRef]
- Scalbert, A.; Andres-Lacueva, C.; Arita, M.; Kroon, P.; Manach, C.; Urpi-Sarda, M.; Wishart, D. Databases on Food Phytochemicals and Their Health-Promoting Effects. J. Agric. Food Chem. 2011, 59, 4331–4348. [Google Scholar] [CrossRef]
- van Breda, S.G.J.; de Kok, T.M.C.M. Smart Combinations of Bioactive Compounds in Fruits and Vegetables May Guide New Strategies for Personalized Prevention of Chronic Diseases. Mol. Nutr. Food Res. 2018, 62, 1700597. [Google Scholar] [CrossRef]
- van Breda, S.G.J.; Wilms, L.C.; Gaj, S.; Jennen, D.G.J.; Briedé, J.J.; Kleinjans, J.C.S.; De Kok, T.M.C.M. The exposome concept in a human nutrigenomics study: Evaluating the impact of exposure to a complex mixture of phytochemicals using transcriptomics signatures. Mutagenesis 2015, 30, 723–731. [Google Scholar] [CrossRef]
- van Breda, S.G.J.; Wilms, L.C.; Gaj, S.; Jennen, D.G.J.; Briedé, J.J.; Helsper, J.P.; Kleinjans, J.C.S.; De Kok, T.M.C.M. Can Transcriptomics Provide Insight into the Chemopreventive Mechanisms of Complex Mixtures of Phytochemicals in Humans? Antioxid. Redox Signal. 2014, 20, 2107–2113. [Google Scholar] [CrossRef]
- Chang, J.L.; Chen, G.; Ulrich, C.M.; Bigler, J.; King, I.B.; Schwarz, Y.; Li, S.; Li, L.; Potter, J.D.; Lampe, J.W. DNA Damage and Repair: Fruit and Vegetable Effects in a Feeding Trial. Nutr. Cancer 2010, 62, 329. [Google Scholar] [CrossRef]
- González-Vallinas, M.; González-Castejón, M.; Rodríguez-Casado, A.; Ramírez De Molina, A. Dietary phytochemicals in cancer prevention and therapy: A complementary approach with promising perspectives. Nutr. Rev. 2013, 71, 585–599. [Google Scholar] [CrossRef]
- Saracino, M.R.; Lampe, J.W. Phytochemical Regulation of UDP-Glucuronosyltransferases: Implications for Cancer Prevention. Nutr. Cancer 2007, 59, 121–141. [Google Scholar] [CrossRef]
- Dashwood, R.H.; Ho, E. Dietary histone deacetylase inhibitors: From cells to mice to man. Semin. Cancer Biol. 2007, 17, 363–369. [Google Scholar] [CrossRef]
- Hecht, S.S. Symposium on Phytochemicals: Biochemistry and Physiology Chemoprevention of Cancer by Isothiocyanates, Modifiers of Carcinogen Metabolism. J. Nutr. 1999, 129, 768S–774S. [Google Scholar] [CrossRef]
- Barcelo, S.; Gardiner, J.M.; Gescher, A.; Chipman, J.K. CYP2E1-mediated mechanism of anti-genotoxicity of the broccoli constituent sulforaphane. Carcinogenesis 1996, 17, 277–282. [Google Scholar] [CrossRef]
- van Breda, S.G.; Mathijs, K.; Pieters, H.-J.; Sági-Kiss, V.; Kuhnle, G.G.; Georgiadis, P.; Saccani, G.; Parolari, G.; Virgili, R.; Sinha, R.; et al. Replacement of Nitrite in Meat Products by Natural Bioactive Compounds Results in Reduced Exposure to N-Nitroso Compounds: The PHYTOME Project. Mol. Nutr. Food Res. 2021, 65, e2001214. [Google Scholar] [CrossRef]
- Wallace, T.C.; Bailey, R.L.; Blumberg, J.B.; Burton-Freeman, B.; Chen, C.; Crowe-White, K.M.; Drewnowski, A.; Hooshmand, S.; Johnson, E.; Lewis, R.; et al. Fruits, vegetables, and health: A comprehensive narrative, umbrella review of the science and recommendations for enhanced public policy to improve intake. Crit. Rev. Food Sci. Nutr. 2020, 60, 2174–2211. [Google Scholar] [CrossRef]
- Michalska, M.; Gluba, A.; Mikhailidis, D.P.; Nowak, P.; Bielecka-Dabrowa, A.; Rysz, J.; Banach, M. The role of polyphenols in cardiovascular disease. Med. Sci. Monit. 2010, 16, 110–119. [Google Scholar]
- Murphy, K.J.; Chronopoulos, A.K.; Singh, I.; Francis, M.A.; Moriarty, H.; Pike, M.J.; Turner, A.H.; Mann, N.J.; Sinclair, A.J. Dietary flavanols and procyanidin oligomers from cocoa (Theobroma cacao) inhibit platelet function. Am. J. Clin. Nutr. 2003, 77, 1466–1473. [Google Scholar] [CrossRef]
- Mukai, Y.; Sato, S. Polyphenol-containing azuki bean (Vigna angularis) extract attenuates blood pressure elevation and modulates nitric oxide synthase and caveolin-1 expressions in rats with hypertension. Nutr. Metab. Cardiovasc. Dis. 2009, 19, 491–497. [Google Scholar] [CrossRef]
- Fisher, N.D.L.; Hughes, M.; Gerhard-Herman, M.; Hollenberg, N.K. Flavanol-rich cocoa induces nitric-oxide-dependent vasodilation in healthy humans. J. Hypertens. 2003, 21, 2281–2286. [Google Scholar] [CrossRef] [PubMed]
- Surh, Y.-J. Transcription Factors in the Cellular Signaling Network as Prime Targets of Chemopreventive Phytochemicals. Cancer Res. Treat. Off. J. Korean Cancer Assoc. 2004, 36, 275. [Google Scholar] [CrossRef]
- Khan, F.; Niaz, K.; Maqbool, F.; Ismail Hassan, F.; Abdollahi, M.; Nagulapalli Venkata, K.C.; Nabavi, S.M.; Bishayee, A. Molecular Targets Underlying the Anticancer Effects of Quercetin: An Update. Nutrients 2016, 8, 529. [Google Scholar] [CrossRef] [PubMed]
- van Breda, S.G.J.; van Agen, E.; Engels, L.G.; Moonen, E.J.; Kleinjans, J.C.; van Delft, J.H. Altered vegetable intake affects pivotal carcinogenesis pathways in colon mucosa from adenoma patients and controls. Carcinogenesis 2004, 25, 2207–2216. [Google Scholar] [CrossRef] [PubMed]
- Thompson, H.J.; Heimendinger, J.; Diker, A.; O’Neill, C.; Haegele, A.; Meinecke, B.; Wolfe, P.; Sedlacek, S.; Zhu, Z.; Jiang, W. Dietary Botanical Diversity Affects the Reduction of Oxidative Biomarkers in Women due to High Vegetable and Fruit Intake. J. Nutr. 2006, 136, 2207–2212. [Google Scholar] [CrossRef] [PubMed]
- Wilms, L.C.; Boots, A.W.; de Boer, V.C.; Maas, L.M.; Pachen, D.M.; Gottschalk, R.W.; Ketelslegers, H.B.; Godschalk, R.W.; Haenen, G.R.; van Schooten, F.J.; et al. Impact of multiple genetic polymorphisms on effects of a 4-week blueberry juice intervention on ex vivo induced lymphocytic DNA damage in human volunteers. Carcinogenesis 2007, 28, 1800–1806. [Google Scholar] [CrossRef]
- DeBenedictis, J.N.; de Kok, T.M.; van Breda, S.G. Impact of Processing Method and Storage Time on Phytochemical Concentrations in an Antioxidant-Rich Food Mixture. Antioxidants 2023, 12, 1252. [Google Scholar] [CrossRef] [PubMed]
- Vermeer, I.T.M.; Moonen, E.J.C.; Dallinga, J.W.; Kleinjans, J.C.S.; Van Maanen, J.M.S. Effect of ascorbic acid and green tea on endogenous formation of N-nitrosodimethylamine and N-nitrosopiperidine in humans. Mutat. Res. Fundam. Mol. Mech. Mutagen. 1999, 428, 353–361. [Google Scholar] [CrossRef] [PubMed]
- Mrakic-Sposta, S.; Gussoni, M.; Montorsi, M.; Porcelli, S.; Vezzoli, A. Assessment of a Standardized ROS Production Profile in Humans by Electron Paramagnetic Resonance. Oxid. Med. Cell Longev. 2012, 2012, 973927. [Google Scholar] [CrossRef]
- Van Breda, S.G.J.; Briedé, J.J.; De Kok, T.M.C.M. Improved Preventive Effects of Combined Bioactive Compounds Present in Different Blueberry Varieties as Compared to Single Phytochemicals. Nutrients 2018, 11, 61. [Google Scholar] [CrossRef]
- Dams, S.; Holasek, S.; Tsiountsioura, M.; Malliga, D.E.; Meier-Allard, N.; Poncza, B.; Lackner, S.; Jansenberger, Y.; Lamprecht, M. An encapsulated fruit, vegetable and berry juice powder concentrate increases plasma values of specific carotenoids and vitamins. Int. J. Vitam. Nutr. Res. 2021, 91, 77–86. [Google Scholar] [CrossRef]
- Verheijen, M.; Sarkans, U.; Wolski, W.; Jennen, D.; Caiment, F.; Kleinjans, J. HeCaToS Consortium. Multi-omics HeCatoS dataset of repeated dose toxicity for cardiotoxic; hepatotoxic compounds. Sci. Data 2022, 9, 699. [Google Scholar] [CrossRef] [PubMed]
- Verheijen, M.C.; Meier, M.J.; Asensio, J.O.; Gant, T.W.; Tong, W.; Yauk, C.L.; Caiment, F. R-ODAF: Omics data analysis framework for regulatory application. Regul. Toxicol. Pharmacol. 2022, 131, 105143. [Google Scholar] [CrossRef] [PubMed]
- Robinson, M.D.; Oshlack, A. A scaling normalization method for differential expression analysis of RNA-seq data. Genome Biol. 2010, 11, R25. [Google Scholar] [CrossRef] [PubMed]
- Law, C.W.; Alhamdoosh, M.; Su, S.; Dong, X.; Tian, L.; Smyth, G.K.; Ritchie, M.E. RNA-seq analysis is easy as 1-2-3 with limma, Glimma and edgeR. F1000Res 2016, 5, ISCB Comm J-1408. [Google Scholar] [CrossRef] [PubMed]
- Fabregat, A.; Sidiropoulos, K.; Viteri, G.; Forner, O.; Marin-Garcia, P.; Arnau, V.; D’Eustachio, P.; Stein, L.; Hermjakob, H. Reactome pathway analysis: A high-performance in-memory approach. BMC Bioinform. 2017, 18, 142. [Google Scholar] [CrossRef] [PubMed]
- Page, G.P.; Edwards, J.W.; Gadbury, G.L.; Yelisetti, P.; Wang, J.; Trivedi, P.; Allison, D.B. The PowerAtlas: A power and sample size atlas for microarray experimental design and research. BMC Bioinform. 2006, 7, 84. [Google Scholar] [CrossRef] [PubMed]
- Altman, D.G.; Bland, J.M. How to randomize. BMJ 1999, 319, 703. [Google Scholar] [CrossRef]
- Mišík, M.; Staudinger, M.; Kundi, M.; Worel, N.; Nersesyan, A.; Ferk, F.; Dusinska, M.; Azqueta, A.; Møller, P.; Knasmueller, S. Use of the single cell gel electrophoresis assay for the detection of DNA-protective dietary factors: Results of human intervention studies. Mutat. Res. Rev. Mutat. Res. 2023, 791, 108458. [Google Scholar] [CrossRef]
- Nandhakumar, S.; Parasuraman, S.; Shanmugam, M.M.; Rao, K.R.; Chand, P.; Bhat, B.V. Evaluation of DNA damage using single-cell gel electrophoresis (Comet Assay). J. Pharmacol. Pharmacother. 2011, 2, 107. [Google Scholar] [PubMed]
- Del Bó, C.; Riso, P.; Campolo, J.; Møller, P.; Loft, S.; Klimis-Zacas, D.; Brambilla, A.; Rizzolo, A.; Porrini, M. A single portion of blueberry (Vaccinium corymbosum L) improves protection against DNA damage but not vascular function in healthy male volunteers. Nutr. Res. 2013, 33, 220–227. [Google Scholar] [CrossRef]
- Paredes-Sánchez, E.; Montiel-Company, J.M.; Iranzo-Cortés, J.E.; Almerich-Torres, T.; Bellot-Arcís, C.; Almerich-Silla, J.M. Meta-Analysis of the Use of 8-OHdG in Saliva as a Marker of Periodontal Disease. Dis. Markers 2018, 2018, 7916578. [Google Scholar] [CrossRef] [PubMed]
- Nishikawa, T.; Sasahara, T.; Kiritoshi, S.; Sonoda, K.; Senokuchi, T.; Matsuo, T.; Kukidome, D.; Wake, N.; Matsumura, T.; Miyamura, N.; et al. Evaluation of urinary 8-hydroxydeoxy-guanosine as a novel biomarker of macrovascular complications in type 2 diabetes. Diabetes Care 2003, 26, 1507–1512. [Google Scholar] [CrossRef] [PubMed]
- Ersöz, A.; Diltemiz, S.E.; Özcan, A.A.; Denizli, A.; Say, R. Synergie between molecular imprinted polymer based on solid-phase extraction and quartz crystal microbalance technique for 8-OHdG sensing. Biosens. Bioelectron. 2008, 24, 742–747. [Google Scholar] [CrossRef] [PubMed]
- Kroese, L.J.; Scheffer, P.G. 8-Hydroxy-2′-Deoxyguanosine and Cardiovascular Disease: A Systematic Review. Curr. Atheroscler. Rep. 2014, 16, 1–8. [Google Scholar] [CrossRef] [PubMed]
- Tamae, K.; Kawai, K.; Yamasaki, S.; Kawanami, K.; Ikeda, M.; Takahashi, K.; Miyamoto, T.; Kato, N.; Kasai, H. Effect of age, smoking and other lifestyle factors on urinary 7-methylguanine and 8-hydroxydeoxyguanosine. Cancer Sci. 2009, 100, 715–721. [Google Scholar] [CrossRef] [PubMed]
- Thompson, H.J.; Heimendinger, J.; Haegele, A.; Sedlacek, S.M.; Gillette, C.; O’Neill, C.; Wolfe, P.; Conry, C. Effect of increased vegetable and fruit consumption on markers of oxidative cellular damage. Carcinogenesis 1999, 20, 2261–2266. [Google Scholar] [CrossRef] [PubMed]
- Edalati, S.; Bagherzadeh, F.; Jafarabadi, M.A.; Ebrahimi-Mamaghani, M. Higher ultra-processed food intake is associated with higher DNA damage in healthy adolescents. Br. J. Nutr. 2021, 125, 568–576. [Google Scholar] [CrossRef]
- Landete, J.M. Dietary Intake of Natural Antioxidants: Vitamins and Polyphenols. Crit. Rev. Food Sci. Nutr. 2013, 53, 706–721. [Google Scholar] [CrossRef]
- Scalbert, A.; Johnson, I.T.; Saltmarsh, M. Polyphenols: Antioxidants and beyond. Am. J. Clin. Nutr. 2005, 81, 215S–217S. [Google Scholar] [CrossRef]
- Shan, B.; Cai, Y.Z.; Sun, M.; Corke, H. Antioxidant Capacity of 26 Spice Extracts and Characterization of Their Phenolic Constituents. J. Agric. Food Chem. 2005, 53, 7749–7759. [Google Scholar] [CrossRef]
- Chohan, M.; Naughton, D.P.; Jones, L.; Opara, E.I. An Investigation of the Relationship between the Anti-Inflammatory Activity, Polyphenolic Content, and Antioxidant Activities of Cooked and In Vitro Digested Culinary Herbs. Oxid. Med. Cell Longev. 2012, 2012, 627843. [Google Scholar] [CrossRef]
- Nemzer, B.; Chang, T.; Xie, Z.; Pietrzkowski, Z.; Reyes, T.; Ou, B. Decrease of free radical concentrations in humans following consumption of a high antioxidant capacity natural product. Food Sci. Nutr. 2014, 2, 647–654. [Google Scholar] [CrossRef] [PubMed]
- Higdon, J.V.; Frei, B. Tea Catechins and Polyphenols: Health Effects, Metabolism, and Antioxidant Functions. Crit. Rev. Food Sci. Nutr. 2003, 43, 89–143. [Google Scholar] [CrossRef] [PubMed]
- Dhawan, V.; Jain, S. Effect of garlic supplementation on oxidized low density lipoproteins and lipid peroxidation in patients of essential hypertension. Mol. Cell Biochem. 2004, 266, 109–115. [Google Scholar] [CrossRef] [PubMed]
- Petrosino, T.; Serafini, M. Antioxidant Modulation of F2-Isoprostanes in Humans: A Systematic Review. Crit. Rev. Food Sci. Nutr. 2014, 54, 1202–1221. [Google Scholar] [CrossRef] [PubMed]
- Chen, G.; Heilbrun, L.K.; Venkatramanamoorthy, R.; Maranci, V.; Redd, J.N.; Klurfeld, D.M.; Djuric, Z. Effects of low-fat and/or high fruit-and-vegetable diets on plasma levels of 8-isoprostane-F2α in the nutrition and breast health study. Nutr. Cancer 2004, 50, 155–160. [Google Scholar] [CrossRef] [PubMed]
- Ruiz, N.; Segarra, A.B.; Lara, L.; Ramírez-Sánchez, M.; Prieto, I. Diet and Oxidative Status. The Dietary Pattern and Urinary 8-Isoprostane in Healthy Spanish Women. Antioxidants 2019, 8, 271. [Google Scholar] [CrossRef] [PubMed]
- Santus, P.; Sola, A.; Carlucci, P.; Fumagalli, F.; Di Gennaro, A.; Mondoni, M.; Carnini, C.; Centanni, S.; Sala, A. Lipid peroxidation and 5-lipoxygenase activity in chronic obstructive pulmonary disease. Am. J. Respir. Crit. Care Med. 2005, 171, 838–843. [Google Scholar] [CrossRef] [PubMed]
- Serafini, M.; Miglio, C.; Peluso, I.; Petrosino, T. Modulation of Plasma Non Enzimatic Antioxidant Capacity (NEAC) by Plant Foods: The Role of Polyphenol. Curr. Top. Med. Chem. 2011, 11, 1821–1846. [Google Scholar] [CrossRef]
- Allon, R.; Aronov, M.; Belkin, M.; Maor, E.; Shechter, M.; Fabian, I.D. Retinal Microvascular Signs as Screening and Prognostic Factors for Cardiac Disease: A Systematic Review of Current Evidence. Am. J. Med. 2021, 134, 36–47.e7. [Google Scholar] [CrossRef]
- McCall, D.O.; McGartland, C.P.; McKinley, M.C.; Patterson, C.C.; Sharpe, P.; McCance, D.R.; Young, I.S.; Woodside, J.V. Dietary intake of fruits and vegetables improves microvascular function in hypertensive subjects in a dose-dependent manner. Circulation 2009, 119, 2153–2160. [Google Scholar] [CrossRef] [PubMed]
- Kapil, V.; Webb, A.J.; Ahluwalia, A. Inorganic nitrate and the cardiovascular system. Heart 2010, 96, 1703–1709. [Google Scholar] [CrossRef] [PubMed]
- Crilly, M.A.; Mcneill, G. Arterial dysfunction in patients with rheumatoid arthritis and the consumption of daily fruits and daily vegetables. Eur. J. Clin. Nutr. 2012, 66, 345–352. [Google Scholar] [CrossRef] [PubMed]
- Gopinath, B.; Liew, G.; Lewis, J.R.; Blekkenhorst, L.C.; Bondonno, C.; Burlutsky, G.; Hodgson, J.M.; Mitchell, P. Association of dietary nitrate intake with retinal microvascular structure in older adults. Eur. J. Nutr. 2020, 59, 2057–2063. [Google Scholar] [CrossRef] [PubMed]
- Kan, H.; Stevens, J.; Heiss, G.; Klein, R.; Rose, K.M.; London, S.J. Dietary fiber intake and retinal vascular caliber in the Atherosclerosis Risk in Communities Study 1-3. Am. J. Clin. Nutr. 2007, 86, 1626–1658. [Google Scholar] [CrossRef] [PubMed]
- Bresciani, L.; Martini, D.; Mena, P.; Tassotti, M.; Calani, L.; Brigati, G.; Brighenti, F.; Holasek, S.; Malliga, D.E.; Lamprecht, M.; et al. Absorption profile of (Poly)phenolic compounds after consumption of three food supplements containing 36 different fruits, vegetables, and berries. Nutrients 2017, 9, 194. [Google Scholar] [CrossRef] [PubMed]
- Gonzales, G.B.; Smagghe, G.; Grootaert, C.; Zotti, M.; Raes, K.; Van Camp, J. Flavonoid interactions during digestion, absorption, distribution and metabolism: A sequential structure-activity/property relationship-based approach in the study of bioavailability and bioactivity. Drug Metab. Rev. 2015, 47, 175–190. [Google Scholar] [CrossRef] [PubMed]
- Latruffe, N.; Menzel, M.; Delmas, D.; Buchet, R.; Lançon, A. Compared Binding Properties between Resveratrol and Other Polyphenols to Plasmatic Albumin: Consequences for the Health Protecting Effect of Dietary Plant Microcomponents. Molecules 2014, 19, 17066–17077. [Google Scholar] [CrossRef] [PubMed]
- Wang, X. Carotenoids; Springer: Basel, Switzerland, 2014. [Google Scholar] [CrossRef]
- Krinsky, N.I.; Landrum, J.T.; Bone, R.A. Biologic mechanisms of the protective role of lutein and zeaxanthin in the eye. Annu. Rev. Nutr. 2003, 23, 171–201. [Google Scholar] [CrossRef]
- Moran, N.E.; Erdman, J.W.B.; Clinton, S.K. Complex interactions between dietary and genetic factors impact lycopene metabolism and distribution. Arch. Biochem. Biophys. 2013, 539, 171–180. [Google Scholar] [CrossRef]
- Gropper, S.; Smith, J. Advanced Nutrition and Human Metabolism; Yolanda, C., Ed.; Cengage Learning: Wadsworth, OH, USA, 2013; pp. 371–389. [Google Scholar]
- Jiang, W.; Xia, T.; Liu, C.; Li, J.; Zhang, W.; Sun, C. Remodeling the Epigenetic Landscape of Cancer—Application Potential of Flavonoids in the Prevention and Treatment of Cancer. Front. Oncol. 2021, 11, 705903. [Google Scholar] [CrossRef] [PubMed]
- Busch, C.; Burkard, M.; Leischner, C.; Lauer, U.M.; Frank, J.; Venturelli, S. Epigenetic activities of flavonoids in the prevention and treatment of cancer. Clin. Epigenetics 2015, 7, 64. [Google Scholar] [CrossRef]
- Xu, X.; Feng, H.; Dai, C.; Lu, W.; Zhang, J.; Guo, X.; Yin, Q.; Wang, J.; Cui, X.; Jiang, F. Therapeutic efficacy of the novel selective RNA polymerase I inhibitor CX-5461 on pulmonary arterial hypertension and associated vascular remodelling. Br. J. Pharmacol. 2021, 178, 1605–1619. [Google Scholar] [CrossRef] [PubMed]
- Olson, M.F. Rho GTPases, their post-translational modifications, disease-associated mutations and pharmacological inhibitors. Small GTPases 2018, 9, 203–215. [Google Scholar] [CrossRef]
- Haga, R.B.; Ridley, A.J. Rho GTPases: Regulation and roles in cancer cell biology. Small GTPases 2016, 7, 207. [Google Scholar] [CrossRef]
- Tsakiroglou, P.; VandenAkker, N.E.; Del, B.Ó.C.; Riso, P.; Klimis-Zacas, D. Role of Berry Anthocyanins and Phenolic Acids on Cell Migration and Angiogenesis: An Updated Overview. Nutrients 2019, 11, 1075. [Google Scholar] [CrossRef] [PubMed]
- Myzak, M.C.; Tong, P.; Dashwood, W.-M.; Dashwood, R.H.; Ho, E. Sulforaphane Retards the Growth of Human PC-3 Xenografts and Inhibits HDAC Activity in Human Subjects. Exp. Biol. Med. 2007, 232, 227–234. [Google Scholar]
- Rajendran, P.; Delage, B.; Dashwood, W.M.; Yu, T.W.; Wuth, B.; Williams, D.E.; Ho, E.; Dashwood, R.H. Histone deacetylase turnover and recovery in sulforaphane-treated colon cancer cells: Competing actions of 14-3-3 and Pin1 in HDAC3/SMRT corepressor complex dissociation/reassembly. Mol. Cancer 2011, 10, 68. [Google Scholar] [CrossRef]
- Rajendran, P.; Delage, B.; Dashwood, W.M.; Yu, T.W.; Wuth, B.; Williams, D.E.; Ho, E.; Dashwood, R.H. HDAC turnover, CtIP acetylation and dysregulated DNA damage signaling in colon cancer cells treated with sulforaphane and related dietary isothiocyanates. Epigenetics 2013, 8, 612–623. [Google Scholar] [CrossRef]
- Venturelli, S.; Berger, A.; Bö Cker, A.; Busch, C.; Weiland, T. Resveratrol as a Pan-HDAC Inhibitor Alters the Acetylation Status of Jistone Proteins in Human-Derived Hepatoblastoma Cells. PLoS ONE 2013, 8, 73097. [Google Scholar] [CrossRef]
- Ciesielski, O.; Biesiekierska, M.; Balcerczyk, A. Epigallocatechin-3-gallate (EGCG) Alters Histone Acetylation and Methylation and Impacts Chromatin Architecture Profile in Human Endothelial Cells. Molecules 2020, 25, 2326. [Google Scholar] [CrossRef] [PubMed]
- Abbaoui, B.; Telu, K.H.; Lucas, C.R.; Thomas-Ahner, J.M.; Schwartz, S.J.; Clinton, S.K.; Freitas, M.A.; Mortazavi, A. The impact of cruciferous vegetable isothiocyanates on histone acetylation and histone phosphorylation in bladder cancer. J. Proteom. 2017, 156, 94–103. [Google Scholar] [CrossRef] [PubMed]
- Batra, S.; Sahu, R.P.; Kandala, P.K.; Srivastava, S.K. Benzyl isothiocyanate-mediated inhibition of histone deacetylase leads to NF-kappaB turnoff in human pancreatic carcinoma cells. Mol. Cancer Ther. 2010, 9, 1596–1608. [Google Scholar] [CrossRef] [PubMed]
- Clarke, J.D.; Hsu, A.; Yu, Z.; Dashwood, R.H.; Ho, E. Differential effects of sulforaphane on histone deacetylases, cell cycle arrest and apoptosis in normal prostate cells versus hyperplastic and cancerous prostate cells. Mol. Nutr. Food Res. 2011, 55, 999–1009. [Google Scholar] [CrossRef] [PubMed]
- Pledgie-Tracy, A.; Sobolewski, M.D.; Davidson, N.E. Sulforaphane induces cell type-specific apoptosis in human breast cancer cell lines. Mol. Cancer Ther. 2007, 6, 1013–1021. [Google Scholar] [CrossRef]
- Williams, R.J.; Spencer, J.P.E.; Rice-Evans, C. Flavonoids: Antioxidants or signalling molecules? Free Radic. Biol. Med. 2004, 36, 838–849. [Google Scholar] [CrossRef] [PubMed]
- Spencer, J.P.E.; Schroeter, H.; Rechner, A.R.; Rice-Evans, C. Bioavailability of Flavan-3-ols and Procyanidins: Gastrointestinal Tract Influences and Their Relevance to Bioactive Forms In Vivo. Antioxid. Redox Signal. 2004, 3, 1023–1039. [Google Scholar] [CrossRef]
- Spencer, J.P.E. Metabolism of tea flavonoids in the gastrointestinal tract. J. Nutr. 2003, 133, 3255S–3261S. [Google Scholar] [CrossRef] [PubMed]
- Hou, D.-X.; Fujii, M.; Terahara, N.; Yoshimoto, M. Molecular Mechanisms Behind the Chemopreventive Effects of Anthocyanidins. J. Biomed. Biotechnol. 2004, 2004, 321–325. [Google Scholar] [CrossRef]
- Lambert, J.D.; Yang, C.S. Mechanisms of cancer prevention by tea constituents. J. Nutr. 2003, 133, 3262S–3267S. [Google Scholar] [CrossRef]
- Kumar Saini, R.; Keum, Y.-S.; Daglia, M.; Rengasamy, K.R. Dietary carotenoids in cancer chemoprevention and chemotherapy: A review of emerging evidence. Pharmacol. Res. 2020, 157, 104830. [Google Scholar] [CrossRef] [PubMed]
- Ho, C.K.; Choi, S.-W.; Siu, P.M.; Benzie, I.F.F. Effects of single dose and regular intake of green tea (Camellia sinensis) on DNA damage, DNA repair, and heme oxygenase-1 expression in a randomized controlled human supplementation study. Mol. Nutr. Food Res. 2014, 58, 1379–1383. [Google Scholar] [CrossRef] [PubMed]
- Astley, S.B.; Elliott, R.M.; Archer, D.B.; Southon, S. Evidence that dietary supplementation with carotenoids and carotenoid-rich foods modulates the DNA damage:repair balance in human lymphocytes. Br. J. Nutr. 2004, 91, 63–72. [Google Scholar] [CrossRef] [PubMed]
- La Marca, M.; Beffy, P.; Della Croce, C.; Gervasi, P.G.; Iori, R.; Puccinelli, E.; Longo, V. Structural influence of isothiocyanates on expression of cytochrome P450, phase II enzymes, and activation of Nrf2 in primary rat hepatocytes. Food Chem. Toxicol. 2012, 50, 2822–2830. [Google Scholar] [CrossRef] [PubMed]
- Ioannides, C.; Konsue, N. A principal mechanism for the cancer chemopreventive activity of phenethyl isothiocyanate is modulation of carcinogen metabolism. Drug Metab. Rev. 2015, 47, 356–373. [Google Scholar] [CrossRef] [PubMed]
- Kensler, T.W.; Talalay, P. Inducers of Enzymes That Protect Against Carcinogens and Oxidants. Cancer Chemoprevention 2004, 1, 3–20. [Google Scholar]
- Von Weymarn, L.B.; Chun, J.A.; Hollenberg, P.F. Effects of benzyl and phenethyl isothiocyanate on P450s 2A6 and 2A13: Potential for chemoprevention in smokers. Carcinogenesis 2006, 27, 782–790. [Google Scholar] [CrossRef] [PubMed]
- Nijhoff, W.A.; Grubben, M.J.; Nagengast, F.M.; Jansen, J.B.; Verhagen, H.; van Poppel, G.; Peters, W.H. Effects of consumption of Brussels sprouts on intestinal and lymphocytic glutathione S-transferases in humans. Carcinogenesis 1995, 16, 2125–2128. [Google Scholar] [CrossRef] [PubMed][Green Version]
- Nijhoff, W.A.; Mulder, T.P.J.; Verhagen, H.; Van Poppel, G.; Peters, W.H.M. Effects of consumption of brussels sprouts on plasma and urinary glutathione S-transferase class-alpha and -pi in humans. Carcinogenesis 1995, 16, 955–957. [Google Scholar] [CrossRef]
- Kritchevsky, S.B. Recent Advances in Nutritional Science-Carotene, Carotenoids and the Prevention of Coronary Heart Disease 1. J. Nutr. 1999, 129, 5–8. [Google Scholar] [CrossRef]
- Wang, Y.; Chung, S.J.; McCullough, M.L.; Song, W.O.; Fernandez, M.L.; Koo, S.I.; Chun, O.K. Dietary carotenoids are associated with cardiovascular disease risk biomarkers mediated by serum carotenoid concentrations. J. Nutr. 2014, 144, 1067–1074. [Google Scholar] [CrossRef] [PubMed]
- McQuillan, B.M.; Hung, J.; Beilby, J.P.; Nidorf, M.; Thompson, P.L. Antioxidant vitamins and the risk of carotid atherosclerosis: The perth carotid ultrasound disease assessment study (CUDAS). J. Am. Coll. Cardiol. 2001, 38, 1788–1794. [Google Scholar] [CrossRef]
- Iribarren, C.; Folsom, A.R.; Jacobs DRJr Gross, M.D.; Belcher, J.D.; Eckfeldt, J.H. Association of Serum Vitamin Levels, LDL Susceptibility to Oxidation, and Autoantibodies Against MDA-LDL With Carotid Atherosclerosis. Arterioscler. Thromb. Vasc. Biol. 1997, 17, 1171–1177. [Google Scholar] [CrossRef] [PubMed]
- D’Odorico, A.; Martines, D.; Kiechl, S.; Egger, G.; Oberhollenzer, F.; Bonvicini, P.; Sturniolo, G.C.; Naccarato, R.; Willeit, J. High plasma levels of alpha- and beta-carotene are associated with a lower risk of atherosclerosis: Results from the Bruneck study. Atherosclerosis 2000, 153, 231–239. [Google Scholar] [CrossRef] [PubMed]
- Rissanen, T.; Voutilainen, S.; Nyyssönen, K.; Salonen, R.; Salonen, J.T. Low Plasma Lycopene Concentration Is Associated With Increased Intima-Media Thickness of the Carotid Artery Wall. Arterioscler. Thromb. Vasc. Biol. 2000, 20, 2677–2681. [Google Scholar] [CrossRef] [PubMed]
- Dwyer, J.H.; Paul-Labrador, M.J.; Fan, J.; Shircore, A.M.; Merz, C.N.; Dwyer, K.M. Progression of Carotid Intima-Media Thickness and Plasma Antioxidants: The Los Angeles Atherosclerosis Study. Arterioscler. Thromb. Vasc. Biol. 2004, 24, 313–319. [Google Scholar] [CrossRef]
- Rissanen, T.H.; Voutilainen, S.; Nyyssönen, K.; Salonen, R.; Kaplan, G.A.; Salonen, J.T. Serum lycopene concentrations and carotid atherosclerosis: The Kuopio Ischaemic Heart Disease Risk Factor Study. Am. J. Clin. Nutr. 2003, 77, 133–138. [Google Scholar] [CrossRef]
- Bots, M.L.; Grobbee, D.E. Intima Media Thickness as a Surrogate Marker for Generalised Atherosclerosis. Cardiovasc. Drugs Ther. 2002, 16, 341–351. [Google Scholar] [CrossRef]








| Blend | Composition | Over-Represented Phytochemicals | Fruits and Vegetables | Calories (kcal) | Carbohydrate (g) | Fat (g) | Protein (g) | Sodium (mg) | Sugars (g) | Fiber (g) |
|---|---|---|---|---|---|---|---|---|---|---|
| 1 | 1 | Flavonoids (e.g., quercetin, catechins) | Apples (400 g), green tea (2 g in 100 mL water a) | 207 | 55 | 1 | 1 | 4 | 41 | 10 |
| 2 | 2 | Anthocyanins (subclass of flavonoids) | Blueberries (100 g), blue grapes (100 g), blackberries (100 g), raspberries (100 g) | 222 | 54 | 1 | 3 | 3 | 34 | 14 |
| 3 | 3 | Carotenoids | Tomato (133 g), carrots (133 g), red bell pepper (133 g) | 112 | 26 | 1 | 4 | 103 | 15 | 8 |
| 4 | 4 | Diallyl sulfide Glucosinulates | Broccoli (133 g), cauliflower (133 g), Brussels sprouts (133 g) | 136 | 27 | 1 | 11 | 117 | 8 | 11 |
| 5 | 1 + 2 | Flavonoids Anthocyanins | Apples (200 g), green tea (1 g in 50 mL water), blueberries (50 g),blue grapes (50 g), blackberries (50 g), raspberries (50 g) | 218 | 54 | 1 | 3 | 3 | 36 | 13 |
| 6 | 1 + 2 + 3 | Flavonoids Anthocyanins Carotenoids | Apples (133 g), green tea (0.66 g in 33 mL water), blueberries (33 g), blue grape (33 g), blackberries (33 g), raspberries (33 g), tomato (44 g), carrots (44 g), red bell pepper (44 g) | 178 | 44 | 1 | 3 | 41 | 28 | 11 |
| 7 | 1 + 2 + 3 + 4 (most complex mixture) | Flavonoids Anthocyanins Carotenoids Diallyl sulfide Glucosinulates | Apples (100 g), green tea (0.5 g in 25 mL water), blueberries (25 g), blue grape (25 g), blackberries (25 g), raspberries (25 g), tomato (33 g), carrots (33 g), red bell pepper (33 g), broccoli (33 g), cauliflower (33 g), Brussels sprouts (33 g) | 176 | 39 | 1 | 5 | 62 | 23 | 11 |
| Blend 1 | Blend 2 | Blend 3 | Blend 4 | Blend 5 | Blend 6 | Blend 7 | All Blends | |
|---|---|---|---|---|---|---|---|---|
| Down-regulated | 0 | 1 | 1 | 18 | 0 | 9 | 3 | 519 |
| Not Significant | 10,576 | 10,575 | 10,575 | 10,559 | 10,577 | 10,568 | 10,573 | 9731 |
| Up-regulated | 1 | 1 | 1 | 0 | 0 | 0 | 1 | 327 |
| Pathway Category | Pathway Name | q Value | # of Entities | Total in Pathway |
|---|---|---|---|---|
| Cell Cycle | Deposition of new CENPA-containing nucleosomes at the centromere | 4.65 × 10−2 | 10 | 53 |
| Nucleosome assembly | 4.65 × 10−2 | 10 | 53 | |
| Chromatin Organization | HDACs deacetylate histones | 3.17 × 10−6 | 19 | 63 |
| DNA Repair | Recognition and association of DNA glycosylase with site containing an affected purine | 1.94 × 10−2 | 10 | 38 |
| Cleavage of the damaged purine | 2.20 × 10−2 | 10 | 44 | |
| Depurination | 2.69 × 10−2 | 10 | 45 | |
| Gene Expression (Transcription) | RNA Polymerase I Promoter Opening | 1.78 × 10−2 | 10 | 33 |
| PRC2 methylates histones and DNA | 2.20 × 10−2 | 10 | 43 | |
| RNA Polymerase I Promoter Escape | 3.18 × 10−2 | 12 | 60 | |
| Signal Transduction | RHO GTPase cycle | 2.21 × 10−2 | 44 | 460 |
Disclaimer/Publisher’s Note: The statements, opinions and data contained in all publications are solely those of the individual author(s) and contributor(s) and not of MDPI and/or the editor(s). MDPI and/or the editor(s) disclaim responsibility for any injury to people or property resulting from any ideas, methods, instructions or products referred to in the content. |
© 2024 by the authors. Licensee MDPI, Basel, Switzerland. This article is an open access article distributed under the terms and conditions of the Creative Commons Attribution (CC BY) license (https://creativecommons.org/licenses/by/4.0/).
Share and Cite
DeBenedictis, J.N.; Murrell, C.; Hauser, D.; van Herwijnen, M.; Elen, B.; de Kok, T.M.; van Breda, S.G. Effects of Different Combinations of Phytochemical-Rich Fruits and Vegetables on Chronic Disease Risk Markers and Gene Expression Changes: Insights from the MiBLEND Study, a Randomized Trial. Antioxidants 2024, 13, 915. https://doi.org/10.3390/antiox13080915
DeBenedictis JN, Murrell C, Hauser D, van Herwijnen M, Elen B, de Kok TM, van Breda SG. Effects of Different Combinations of Phytochemical-Rich Fruits and Vegetables on Chronic Disease Risk Markers and Gene Expression Changes: Insights from the MiBLEND Study, a Randomized Trial. Antioxidants. 2024; 13(8):915. https://doi.org/10.3390/antiox13080915
Chicago/Turabian StyleDeBenedictis, Julia N., Courtney Murrell, Duncan Hauser, Marcel van Herwijnen, Bart Elen, Theo M. de Kok, and Simone G. van Breda. 2024. "Effects of Different Combinations of Phytochemical-Rich Fruits and Vegetables on Chronic Disease Risk Markers and Gene Expression Changes: Insights from the MiBLEND Study, a Randomized Trial" Antioxidants 13, no. 8: 915. https://doi.org/10.3390/antiox13080915
APA StyleDeBenedictis, J. N., Murrell, C., Hauser, D., van Herwijnen, M., Elen, B., de Kok, T. M., & van Breda, S. G. (2024). Effects of Different Combinations of Phytochemical-Rich Fruits and Vegetables on Chronic Disease Risk Markers and Gene Expression Changes: Insights from the MiBLEND Study, a Randomized Trial. Antioxidants, 13(8), 915. https://doi.org/10.3390/antiox13080915

