Clove Essential Oil: Chemical Profile, Biological Activities, Encapsulation Strategies, and Food Applications
Abstract
1. Introduction
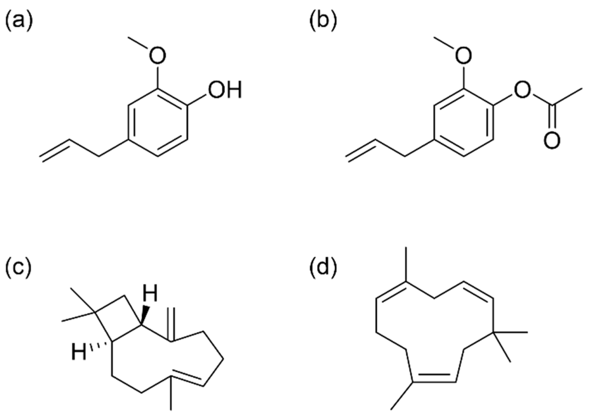
2. Main CEO Components and Their Bioactivities
3. Recent Advances in the Extraction of CEO
3.1. Conventional Methods
3.2. Innovative Methods
3.2.1. Supercritical Fluid Extraction
3.2.2. Ultrasound-Assisted Extraction (UAE)
3.2.3. Microwave-Assisted Extraction
3.2.4. Ohmic Heating-Assisted Hydrodistillation
4. Biological Activities of the CEO
4.1. Antioxidant Activity
4.1.1. Free Radical Scavenging
4.1.2. Inhibition of Free Radical Production and Disruption of the Chain Reaction Propagation
4.1.3. Free Radical Conversion into Less Toxic Compounds
4.1.4. Delaying the Formation of Secondary Toxic Species
4.1.5. Immune System Improvement
4.2. Antimicrobial Activity
4.3. Anti-Inflammatory Activity
4.4. Cytotoxic Activity
4.5. Anti-Hypertensive Activity
5. Potential Food Application of CEO
5.1. Food Packaging
| Food Category | Food | Application Form/Role | Dose | Main Findings | Reference |
|---|---|---|---|---|---|
| Food packaging | PLA/graphene oxide nanosheets/CEO composite films * | Fortification | 15–30% | Improved flexibility | [166] |
| Gelatin/ZnO nanorods/CEO films for shrimp packaging * | Fortification | 25–50% | Greater transparency and inhibition effect | [169] | |
| LLDPE/CA/CEO * | Fortification | - | Inhibitory effect against L. monocytogenes and S. Typhimurium for 3 weeks | [126] | |
| PLA-PBAT/CEO film * | Fortification | 1–10% | Improved UV blocking and antimicrobial properties | [125] | |
| Gelatin/ZnO/CEO nanocomposite | Fortification | 25% | 3D food printing | [170] | |
| Citrus pectin film *,+ | Coating | 0.5–1.5% | Enhanced antimicrobial, antioxidant, mechanical, and barrier characteristics of edible pectin film | [177] | |
| Gelatin/agar-based film CEO stabilized with nanocellulose + | Fortification | - | Improved transparency, UV blocking, and antioxidant properties | [171] | |
| PLA/poly(ε-caprolactone)/ZnO/CEO films for scrambled egg packaging * | Fortification | 25% | Prolonged the storage duration for up to 3 weeks, better structural and mechanical characteristics | [167] | |
| PLA/CEO biocomposite food packaging film * | Fortification | 3% | Improved antimicrobial activity | [168] | |
| Mechanically deboned chicken meat protein film for beef sucuks *,+ | Fortification | 1% | Improved antimicrobial and antioxidant activities | [175,176] | |
| Millet Starch/CEO edible Film * | Fortification | 1–3% | Inhibitory effect against T. fungi, P. aeruginosa, B. cereus, Enterobacter sp., S. aureus, and E. coli | [173] | |
| Chitosan/pullulan based films with CEO/chitosan-ZnO hybrid nanoparticles for active food packaging *,+ | Fortification | 1.5% | Improved UV, water, and oxygen blocking, better antimicrobial and antioxidant activity, and prolonged storage duration for up to 5 days | [174] | |
| Meat, seafood, and poultry | Burger-like meat products *,+ | Fortification | 1 μL/g | Similar effects to nitrite, but better against S. aureus | [16] |
| Pork * | Storage | 0.25–8.0 mg/mL | Antibacterial effect against S. aureus for 1 week without texture changings | [178] | |
| Refrigerated bluefin tuna (Thunnus thynnus) fillets *,+ | Coating | 0.5% | Prolonged the storge duration for up to 2 weeks, decreased lipid oxidation and Pseudomonads growth | [179] | |
| Bream (Megalobrama ambycephala) + | Coating | 1–1.5% | Prolonged the storge duration for up to 2 weeks, decreased lipid oxidation in cold storage | [180] | |
| Tambaqui (Colossoma macropomum) fillets *,+ | Coating | 0.08% | Prolonged the storge duration for up to 4 months at −18 °C | [181] | |
| Chinese bacon + | Fortification | 1 mg/mL | Decreased lipid oxidation and increased hydroxyl and superoxide anion radical scavenging activities | [182] | |
| Young bulls + | Feed | 450 mg/kg | Color and pH changes, decreased lipid oxidation, and the 1-week aged meat was more accepted | [183] | |
| Cattle + | Feed | 0.5–2 g/animal/day | Improved meat quality with higher muscle to body ratio | [184] | |
| Chicken breast meat * | Storage | 0.035–4.5 g/L | Chicken breast meat * | [185] | |
| Broilers + | Feed | 0.05% | Improved growth performance, meat quality, and relieved gut’s integrity coccidial damage | [186] | |
| Pork patties * | Coating | - | Prolonged the storge duration for up to 6 days | [187] | |
| Dairy products | Soft cheese * | Storage | 0.01–0.02% | Antimicrobial properties during storage at 4 °C for 30 days, with organoleptic enhancement and storage duration up to 3 weeks | [188] |
| Edam cheese * | Storage | 500 μL/L | Antifungal effects against Streptococcus spp. | [189] | |
| Fresh Double Cream Cheese *,+ | Storage | 0.37% | Oxidation stability, antimicrobial properties against S. aureus, E. coli, and Salmonella enteritidis, and prolonged the storage duration for up to 13 days | [190] | |
| Bakery products | Finger citron crisp and green bean cakes * | Storage | 0.21–1.67 μL/mL | Prolonged the storge duration for 3–4 days and almost 10 days in vacuum package | [133] |
| Cake *,+ | Storage | 0.06–0.08% | Oxidation stability and inhibitory effect for 28 days at 22 °C | [191] | |
| Bread * | Storage | 125–500 μL/L | Alternative substances to decrease the sporulation, growth, and mycotoxins like aflatoxin and ochratoxin produced by aspergilli at 22 °C for 2 weeks in the dark | [192] | |
| Refrigerated steamed buns * | Coating | 0–1.2% | Prolonged the storage duration for up to 10 days, yet with losses in the re-steaming cycle of volatile compounds | [193] | |
| Fruits and vegetables | Fresh-cut lettuce + | Storage | 0.05% | Anti-browning effects against browning-relevant enzymes like polyphenol oxidase, peroxidase, and phenylalanine ammonia lyase | [194] |
| Apple tubes *,+ | Coating | 0–0.75% | Extraordinary antioxidant and antimicrobial coating at 1 °C, delaying the color and firmness spoilage | [182] | |
| Cut apples | Storage | 0.25–1% | Prolonged the storage duration for 6 days, delaying the firmness and weight loss | [195] | |
| Cucumber and lettuce slices * | - | 0.25–4.0 mg/mL | L. monocytogenes biofilm effectively removed | [196] | |
| Pak choi * | Storage | 0.02% | Prolonged the storge duration to 17 days | [197] | |
| Persimmon * | Storage | 1.56% | Inhibition of mold growth for 4 weeks | [198] | |
| Mango *,+ | Storage | 106 µL | Prolonged the storge duration to 3 weeks | [199] | |
| Pomegranate arils * | Coating | 0.15–0.3% | Prolonged the storge duration for 54 days | [200] | |
| Pomegranate * | Coating | 0.02–0.08% | Alternative biopesticide against A. niger | [201] | |
| Citrus Fruit * | Storage | 0.05–0.8% | Inhibitory effect against Penicillium italicum | [202] | |
| Papaya (Carica papaya L.) * | - | 3 mL/L | Alternative biopesticide against anthracnose disease | [203] |
5.2. Meat, Seafood, and Poultry
5.3. Dairy Products
5.4. Bakery Products
5.5. Fruits and Vegetables
6. Encapsulation Strategies of the CEO
| Extraction Technique | Encapsulation Method | Key Finding | References |
|---|---|---|---|
| - | Complex coacervation | The encapsulation of CEO exhibited higher antimicrobial activity compared to the unencapsulated form. | [215] |
| - | Emulsion-ionic gelation crosslinking technique | The complete prevention of E. coli and S. aureus development was achieved by utilizing CEO. | [211] |
| Clevenger apparatus | Inclusion complex | The antioxidant activity was significantly boosted to 88% with the encapsulated CEO, surpassing the 71% observed with the free form of CEO. | [213] |
| SD | Emulsification | The encapsulated CEO demonstrated potent fungicidal effects against B. cinerea, preventing both infection and the development of disease. | [216] |
| - | Freeze-drying | The encapsulation of CEO resulted in a noteworthy augmentation of the total antioxidant activity, phenolic content, antifungal activity, antioxidant capacity, and oxidative stability. | [217] |
| - | Electrospinning | The constructed mat demonstrated effective antibacterial activity against S. aureus and E. coli, along with non-cytotoxic behavior towards human fibroblast cell lines. Additionally, it exhibited promising potential for wound healing. | [218] |
| Hydrodistillation using a Clevenger-type | Emulsification | Encapsulation increased the antioxidant and antifungal properties of CEO. | [219] |
| - | Emulsification and 3D printing | Encapsulation greatly enhanced the antimicrobial activity of CEO. | [220] |
| - | Sol-gel process | The findings suggested that the antifungal efficacy tripled in the encapsulated form. | [221] |
| - | Emulsification | The encapsulated CEO showed high antifungal activity and the quality of pomegranate arils. | [200] |
| Water distillation technique | The encapsulation done in two steps. First oil-in-water emulsification and second, ionic gelation method. | Encapsulation resulted in an enhancement of the antioxidant and antibacterial properties of CEO. | [164] |
| - | Emulsion-ionic gelation technique | The controlled release of oil led to an enhancement in the antifungal activity of the encapsulated oil. | [131] |
| SD using the Clevenger equipment | Emulsification and air circulation oven | Encapsulated CEO exhibits robust antimicrobial and antioxidant properties. Through the encapsulation process, the distinctive aroma of CEO was restrained. | [16] |
| - | Kneading and freeze-drying | The encapsulation process elevated both the total phenolic content and antioxidant activity of CEO. | [221] |
| - | Sonication | Encapsulation of CEO in chitosan-myristic acid enhanced the antibacterial and antioxidant activity. The applied coating exhibited increased antibacterial efficacy against Salmonella enterica Ser. Enteritidis. | [222] |
| Extracted using 95% ethanol (v/v) | Emulsification | The encapsulation of CEO/cinnamon demonstrated a higher antimicrobial activity against the common microorganisms. | [223] |
| - | Liposome | The efficient inhibition of S. aureus in tofu was achieved through the use of liposome-encapsulated clove oil. | [224] |
| - | Ethanol injection method | The encapsulated CEO demonstrated higher antioxidant activity. | [225] |
| Supercritical carbon dioxide (SC-CO2) extraction | Spray drying | Encapsulation improved the antioxidant activity of CEO. | [226] |
7. Concluding Remarks and Future Perspectives
Funding
Institutional Review Board Statement
Informed Consent Statement
Data Availability Statement
Conflicts of Interest
References
- Edris, A.E. Pharmaceutical and Potentials of Essential Oils and Their Individual Volatile Constituents: A Review. Phytother. Res. 2007, 21, 308–323. [Google Scholar] [CrossRef] [PubMed]
- de Matos, S.P.; Lucca, L.G.; Koester, L.S. Essential Oils in Nanostructured Systems: Challenges in Preparation and Analytical Methods. Talanta 2019, 195, 204–214. [Google Scholar] [CrossRef] [PubMed]
- Nieto, G. Biological Activities of Three Essential Oils of the Lamiaceae Family. Medicines 2017, 4, 63. [Google Scholar] [CrossRef] [PubMed]
- Bhowmik, D.; Kumar, K.P.S.; Yadav, A.; Srivastava, S.; Paswan, S.; sankar Dutta, A. Recent Trends in Indian Traditional Herbs Syzygium aromaticum and Its Health Benefits. J. Pharmacogn. Phytochem. 2012, 1, 13–22. [Google Scholar]
- Kaur, K.; Kaushal, S. Phytochemistry and Pharmacological Aspects of Syzygium aromaticum: A Review. J. Pharmacogn. Phytochem. 2019, 8, 398–404. [Google Scholar]
- Majidiyan, N.; Hadidi, M.; Azadikhah, D.; Moreno, A. Protein Complex Nanoparticles Reinforced with Industrial Hemp Essential Oil: Characterization and Application for Shelf-Life Extension of Rainbow Trout Fillets. Food Chem. X 2022, 13, 100202. [Google Scholar] [CrossRef] [PubMed]
- Zulu, L.; Gao, H.; Zhu, Y.; Wu, H.; Xie, Y.; Liu, X.; Yao, H.; Rao, Q. Antifungal Effects of Seven Plant Essential Oils against Penicillium Digitatum. Chem. Biol. Technol. Agric. 2023, 10, 82. [Google Scholar] [CrossRef]
- Batiha, G.E.S.; Alkazmi, L.M.; Wasef, L.G.; Beshbishy, A.M.; Nadwa, E.H.; Rashwan, E.K. Syzygium aromaticum L. (Myrtaceae): Traditional Uses, Bioactive Chemical Constituents, Pharmacological and Toxicological Activities. Biomolecules 2020, 10, 202. [Google Scholar] [CrossRef] [PubMed]
- Refaey, M.S.; Fayed, M.A.A.; Kutkat, O.; Moatasim, Y.; Sameh Tolba, N.; Anis, A.; Elshorbagy, A.M.; Nassar, K.; Abouzid, K.A.M.; Elshaier, Y.A.M.M.; et al. Bio-Guided Chemical Characterization and Nano-Formulation Studies of Selected Edible Volatile Oils with Potential Antibacterial and Anti-SARS-CoV-2 Activities. Arab. J. Chem. 2023, 16, 104813. [Google Scholar] [CrossRef]
- Roy, S.; Priyadarshi, R.; Rhim, J.W. Gelatin/Agar-Based Multifunctional Film Integrated with Copper-Doped Zinc Oxide Nanoparticles and Clove Essential Oil Pickering Emulsion for Enhancing the Shelf Life of Pork Meat. Food Res. Int. 2022, 160, 111690. [Google Scholar] [CrossRef]
- Kaur, K.; Kaushal, S.; Rani, R. Chemical Composition, Antioxidant and Antifungal Potential of Clove (Syzygium aromaticum) Essential Oil, Its Major Compound and Its Derivatives. J. Essent. Oil Bear. Plants 2019, 22, 1195–1217. [Google Scholar] [CrossRef]
- Lakshmi Praba, K.; Jagan Mohan, R.; Loganathan, M. View of Optimization of Concentration of Clove (Syzygium aromaticum) Extract on Reduction of Histamine Content during Fermentation of Idli Batter. Int. J. Pharma Bio Sci. 2022, 12, L53–L61. [Google Scholar] [CrossRef]
- Alanazi, A.K.; Alqasmi, M.H.; Alrouji, M.; Kuriri, F.A.; Almuhanna, Y.; Joseph, B.; Asad, M. Antibacterial Activity of Syzygium aromaticum (Clove) Bud Oil and Its Interaction with Imipenem in Controlling Wound Infections in Rats Caused by Methicillin-Resistant Staphylococcus Aureus. Molecules 2022, 27, 8551. [Google Scholar] [CrossRef] [PubMed]
- Kim, K.H.; Rateb, M.; Hassan, H.; Elbestawy, M.K.M.; El-Sherbiny, G.M.; Moghannem, S.A. Antibacterial, Antibiofilm and Anti-Inflammatory Activities of Eugenol Clove Essential Oil against Resistant Helicobacter Pylori. Molecules 2023, 28, 2448. [Google Scholar] [CrossRef] [PubMed]
- .Mahulette, A.S.; Hariyadi; Yahya, S.; Wachjar, A. Physico-Chemical Properties of Clove Oil from Three Forest Clove Accession Groups in Maluku. IOP Conf. Ser. Earth Environ. Sci. 2020, 418, 012028. [Google Scholar] [CrossRef]
- Radünz, M.; da Trindade, M.L.M.; Camargo, T.M.; Radünz, A.L.; Borges, C.D.; Gandra, E.A.; Helbig, E. Antimicrobial and Antioxidant Activity of Unencapsulated and Encapsulated Clove (Syzygium aromaticum L.) Essential Oil. Food Chem. 2019, 276, 180–186. [Google Scholar] [CrossRef] [PubMed]
- Tian, B.L.; Liu, Q.Z.; Liu, Z.L.; Li, P.; Wang, J.W. Insecticidal Potential of Clove Essential Oil and Its Constituents on Cacopsylla chinensis (Hemiptera: Psyllidae) in Laboratory and Field. J. Econ. Entomol. 2015, 108, 957–961. [Google Scholar] [CrossRef]
- Guan, W.; Li, S.; Yan, R.; Tang, S.; Quan, C. Comparison of Essential Oils of Clove Buds Extracted with Supercritical Carbon Dioxide and Other Three Traditional Extraction Methods. Food Chem. 2007, 101, 1558–1564. [Google Scholar] [CrossRef]
- de Oliveira, M.S.; da Costa, W.A.; Pereira, D.S.; Botelho, J.R.S.; de Alencar Menezes, T.O.; de Aguiar Andrade, E.H.; da Silva, S.H.M.; da Silva Sousa Filho, A.P.; de Carvalho, R.N. Chemical Composition and Phytotoxic Activity of Clove (Syzygium aromaticum) Essential Oil Obtained with Supercritical CO2. J. Supercrit. Fluids 2016, 118, 185–193. [Google Scholar] [CrossRef]
- Tunç, M.T.; Koca, İ. Ohmic Heating Assisted Hydrodistillation of Clove Essential Oil. Ind. Crops Prod. 2019, 141, 111763. [Google Scholar] [CrossRef]
- Kapadiya, S.M.; Parikh, J.; Desai, M.A. A Greener Approach towards Isolating Clove Oil from Buds of Syzygium aromaticum Using Microwave Radiation. Ind. Crops Prod. 2018, 112, 626–632. [Google Scholar] [CrossRef]
- Plati, F.; Paraskevopoulou, A. Micro- and Nano-Encapsulation as Tools for Essential Oils Advantages’ Exploitation in Food Applications: The Case of Oregano Essential Oil. Food Bioprocess Technol. 2022, 15, 949–977. [Google Scholar] [CrossRef]
- Bakry, A.M.; Abbas, S.; Ali, B.; Majeed, H.; Abouelwafa, M.Y.; Mousa, A.; Liang, L. Microencapsulation of Oils: A Comprehensive Review of Benefits, Techniques, and Applications. Compr. Rev. Food Sci. Food Saf. 2016, 15, 143–182. [Google Scholar] [CrossRef]
- Kennouche, A.; Benkaci-Ali, F.; Scholl, G.; Eppe, G. Chemical Composition and Antimicrobial Activity of the Essential Oil of Eugenia caryophyllata Cloves Extracted by Conventional and Microwave Techniques. J. Biol. Act. Prod. Nat. 2015, 5, 1–11. [Google Scholar] [CrossRef]
- Yin, X.; Hu, Q.; Chen, X.; Tan, S.; Niu, A.; Qiu, W.; Wang, G. Inclusion Complexes of Clove Essential Oil with Sodium Caseinate and Gum Arabic Prepared by High-Pressure Homogenization: Characterization and Non-Contact Antimicrobial Activity. Food Control 2023, 150, 109765. [Google Scholar] [CrossRef]
- Razzouk, S.; Mazri, M.A.; Jeldi, L.; Mnasri, B.; Ouahmane, L.; Alfeddy, M.N. Chemical Composition and Antimicrobial Activity of Essential Oils from Three Mediterranean Plants against Eighteen Pathogenic Bacteria and Fungi. Pharmaceutics 2022, 14, 1608. [Google Scholar] [CrossRef]
- de Carvalho, S.Y.B.; Almeida, R.R.; Pinto, N.A.R.; de Mayrinck, C.; Vieira, S.S.; Haddad, J.F.; Leitão, A.A.; Guimarães, L.G.d.L. Encapsulation of Essential Oils Using Cinnamic Acid Grafted Chitosan Nanogel: Preparation, Characterization and Antifungal Activity. Int. J. Biol. Macromol. 2021, 166, 902–912. [Google Scholar] [CrossRef] [PubMed]
- Kačániová, M.; Galovičová, L.; Borotová, P.; Valková, V.; Ďúranová, H.; Kowalczewski, P.Ł.; Said-Al Ahl, H.A.H.; Hikal, W.M.; Vukic, M.; Savitskaya, T.; et al. Chemical Composition, In Vitro and In Situ Antimicrobial and Antibiofilm Activities of Syzygium aromaticum (Clove) Essential Oil. Plants 2021, 10, 2185. [Google Scholar] [CrossRef]
- Ulanowska, M.; Olas, B. Biological Properties and Prospects for the Application of Eugenol—A Review. Int. J. Mol. Sci. 2021, 22, 3671. [Google Scholar] [CrossRef]
- Jung, M.J.; Kim, N.; Jeon, S.H.; Gee, M.S.; Kim, J.W.; Lee, J.K. Eugenol Relieves the Pathological Manifestations of Alzheimer’s Disease in 5×FAD Mice. Phytomedicine 2023, 118, 154930. [Google Scholar] [CrossRef]
- Gürbüz, M.; İrem Omurtag Korkmaz, B. The Anti-Campylobacter Activity of Eugenol and Its Potential for Poultry Meat Safety: A Review. Food Chem. 2022, 394, 133519. [Google Scholar] [CrossRef] [PubMed]
- Bai, J.; Li, J.; Chen, Z.; Bai, X.; Yang, Z.; Wang, Z.; Yang, Y. Antibacterial Activity and Mechanism of Clove Essential Oil against Foodborne Pathogens. LWT 2023, 173, 114249. [Google Scholar] [CrossRef]
- Vargas-Méndez, L.Y.; Sanabria-Flórez, P.L.; Saavedra-Reyes, L.M.; Merchan-Arenas, D.R.; Kouznetsov, V.V. Bioactivity of Semisynthetic Eugenol Derivatives against Spodoptera frugiperda (Lepidoptera: Noctuidae) Larvae Infesting Maize in Colombia. Saudi J. Biol. Sci. 2019, 26, 1613–1620. [Google Scholar] [CrossRef] [PubMed]
- Sahin, S.; Eulenburg, V.; Heinlein, A.; Villmann, C.; Pischetsrieder, M. Identification of Eugenol as the Major Determinant of GABAA-Receptor Activation by Aqueous Syzygium aromaticum L. (Clove Buds) Extract. J. Funct. Foods 2017, 37, 641–649. [Google Scholar] [CrossRef]
- Abdul Aziz, A.H.; Rizkiyah, D.N.; Qomariyah, L.; Irianto, I.; Che Yunus, M.A.; Putra, N.R. Unlocking the Full Potential of Clove (Syzygium aromaticum) Spice: An Overview of Extraction Techniques, Bioactivity, and Future Opportunities in the Food and Beverage Industry. Processes 2023, 11, 2453. [Google Scholar] [CrossRef]
- Abdulhamid, A.; Awad, T.A.; Ahmed, A.E.; Koua, F.H.M.; Ismail, A.M. Acetyleugenol from Acacia nilotica (L.) Exhibits a Strong Antibacterial Activity and Its Phenyl and Indole Analogues Show a Promising Anti-TB Potential Targeting PknE/B Protein Kinases. Microbiol. Res. 2021, 12, 1–15. [Google Scholar] [CrossRef]
- He, Y.; Zhang, J.; Shen, L.; Wang, L.; Qian, C.; Lyu, H.; Yi, C.; Cai, J.; Chen, X.; Wen, X.; et al. Eugenol Derivatives: Strong and Long-Lasting Repellents against Both Undisturbed and Disturbed Red Imported Fire Ants. J. Pest Sci. 2023, 96, 327–344. [Google Scholar] [CrossRef]
- Kamikubo, R.; Kai, K.; Tsuji-Naito, K.; Akagawa, M. β-Caryophyllene Attenuates Palmitate-Induced Lipid Accumulation through AMPK Signaling by Activating CB2 Receptor in Human HepG2 Hepatocytes. Mol. Nutr. Food Res. 2016, 60, 2228–2242. [Google Scholar] [CrossRef]
- Ullah, A.; Sun, L.; Wang, F.; Nawaz, H.; Yamashita, K.; Cai, Y.; Anwar, F.; Khan, M.Q.; Mayakrishnan, G.; Kim, I.S. Eco-Friendly Bioactive β-Caryophyllene/Halloysite Nanotubes Loaded Nanofibrous Sheets for Active Food Packaging. Food Packag. Shelf Life 2023, 35, 101028. [Google Scholar] [CrossRef]
- Yeom, J.E.; Kim, S.K.; Park, S.Y. Regulation of the Gut Microbiota and Inflammation by β-Caryophyllene Extracted from Cloves in a Dextran Sulfate Sodium-Induced Colitis Mouse Model. Molecules 2022, 27, 7782. [Google Scholar] [CrossRef]
- Rogerio, A.P.; Andrade, E.L.; Leite, D.F.P.; Figueiredo, C.P.; Calixto, J.B. Preventive and Therapeutic Anti-Inflammatory Properties of the Sesquiterpene α-Humulene in Experimental Airways Allergic Inflammation. Br. J. Pharmacol. 2009, 158, 1074–1087. [Google Scholar] [CrossRef] [PubMed]
- Yeo, D.; Hwang, S.J.; Song, Y.S.; Lee, H.J. Humulene Inhibits Acute Gastric Mucosal Injury by Enhancing Mucosal Integrity. Antioxidants 2021, 10, 761. [Google Scholar] [CrossRef] [PubMed]
- Benali, T.; Lemhadri, A.; Harboul, K.; Chtibi, H.; Khabbach, A.; Jadouali, S.M.; Quesada-Romero, L.; Louahlia, S.; Hammani, K.; Ghaleb, A.; et al. Chemical Profiling and Biological Properties of Essential Oils of Lavandula stoechas L. Collected from Three Moroccan Sites: In Vitro and In Silico Investigations. Plants 2023, 12, 1413. [Google Scholar] [CrossRef] [PubMed]
- Pastare, L.; Berga, M.; Kienkas, L.; Boroduskis, M.; Ramata-Stunda, A.; Reihmane, D.; Senkovs, M.; Skudrins, G.; Nakurte, I. Exploring the Potential of Supercritical Fluid Extraction of Matricaria Chamomilla White Ray Florets as a Source of Bioactive (Cosmetic) Ingredients. Antioxidants 2023, 12, 1092. [Google Scholar] [CrossRef] [PubMed]
- Šojić, B.; Putnik, P.; Danilović, B.; Teslić, N.; Kovačević, D.B.; Pavlić, B. Lipid Extracts Obtained by Supercritical Fluid Extraction and Their Application in Meat Products. Antioxidants 2022, 11, 716. [Google Scholar] [CrossRef]
- Pourmortazavi, S.M.; Hajimirsadeghi, S.S. Supercritical Fluid Extraction in Plant Essential and Volatile Oil Analysis. J. Chromatogr. A 2007, 1163, 2–24. [Google Scholar] [CrossRef] [PubMed]
- Luca, S.V.; Kittl, T.; Minceva, M. Supercritical CO2 Extraction of Hemp Flowers: A Systematic Study to Produce Terpene-Rich and Terpene-Depleted Cannabidiol Fractions. Ind. Crops Prod. 2022, 187, 115395. [Google Scholar] [CrossRef]
- Ayub, M.A.; Goksen, G.; Fatima, A.; Zubair, M.; Abid, M.A.; Starowicz, M. Comparison of Conventional Extraction Techniques with Superheated Steam Distillation on Chemical Characterization and Biological Activities of Syzygium aromaticum L. Essential Oil. Separations 2023, 10, 27. [Google Scholar] [CrossRef]
- Chemat, F.; Abert Vian, M.; Fabiano-Tixier, A.S.; Nutrizio, M.; Režek Jambrak, A.; Munekata, P.E.S.; Lorenzo, J.M.; Barba, F.J.; Binello, A.; Cravotto, G. A Review of Sustainable and Intensified Techniques for Extraction of Food and Natural Products. Green Chem. 2020, 22, 2325–2353. [Google Scholar] [CrossRef]
- Kessler, J.C.; Vieira, V.; Martins, I.M.; Manrique, Y.A.; Ferreira, P.; Calhelha, R.C.; Afonso, A.; Barros, L.; Rodrigues, A.E.; Dias, M.M. Chemical and Organoleptic Properties of Bread Enriched with Rosmarinus officinalis L.: The Potential of Natural Extracts Obtained through Green Extraction Methodologies as Food Ingredients. Food Chem. 2022, 384, 132514. [Google Scholar] [CrossRef]
- Gilani, F.; Raftani Amiri, Z.; Esmaeilzadeh Kenari, R.; Ghaffari Khaligh, N. Investigation of Extraction Yield, Chemical Composition, Bioactive Compounds, Antioxidant and Antimicrobial Characteristics of Citron (Citrus medica L.) Peel Essential Oils Produced by Hydrodistillation and Supercritical Carbon Dioxide. J. Food Meas. Charact. 2023, 17, 4332–4344. [Google Scholar] [CrossRef]
- Ebrahimzadeh, H.; Yamini, Y.; Sefidkon, F.; Chaloosi, M.; Pourmortazavi, S.M. Chemical Composition of the Essential Oil and Supercritical CO2 Extracts of Zataria multiflora Boiss. Food Chem. 2003, 83, 357–361. [Google Scholar] [CrossRef]
- Pourmortazavi, S.M.; Sefidkon, F.; Hosseini, S.G. Supercritical Carbon Dioxide Extraction of Essential Oils from Perovskia atriplicifolia Benth. J. Agric. Food Chem. 2003, 51, 5414–5419. [Google Scholar] [CrossRef] [PubMed]
- Zhannan, Y.; Shiqiong, L.; Quancai, P.; Chao, Z.; Zhengwen, Y. GC-MS Analysis of the Essential Oil of Coral Ginger (Zingiber corallinum Hance) Rrhizome Obtained by Supercritical Fluid Extraction and Steam Distillation Extraction. Chromatographia 2009, 69, 785–790. [Google Scholar] [CrossRef]
- Conde-Hernández, L.A.; Espinosa-Victoria, J.R.; Trejo, A.; Guerrero-Beltrán, J. CO2-Supercritical Extraction, Hydrodistillation and Steam Distillation of Essential Oil of Rosemary (Rosmarinus officinalis). J. Food Eng. 2017, 200, 81–86. [Google Scholar] [CrossRef]
- Řebíčková, K.; Bajer, T.; Šilha, D.; Ventura, K.; Bajerová, P. Comparison of Chemical Composition and Biological Properties of Essential Oils Obtained by Hydrodistillation and Steam Distillation of Laurus nobilis L. Plant Foods Hum. Nutr. 2020, 75, 495–504. [Google Scholar] [CrossRef] [PubMed]
- Narayanankutty, A.; Sasidharan, A.; Job, J.T.; Rajagopal, R.; Alfarhan, A.; Kim, Y.O.; Kim, H.J. Mango Ginger (Curcuma amada Roxb.) Rhizome Essential Oils as Source of Environmental Friendly Biocides: Comparison of the Chemical Composition, Antibacterial, Insecticidal and Larvicidal Properties of Essential Oils Extracted by Different Methods. Environ. Res. 2021, 202, 111718. [Google Scholar] [CrossRef] [PubMed]
- Fawzy, M. Clove (Syzygium aromaticum): Chemistry, Functionality and Applications; Academic Press: Cambridge, MA, USA, 2022. [Google Scholar] [CrossRef]
- Drinić, Z.; Pljevljakušić, D.; Živković, J.; Bigović, D.; Šavikin, K. Microwave-Assisted Extraction of O. vulgare L. Spp. Hirtum Essential Oil: Comparison with Conventional Hydro-Distillation. Food Bioprod. Process. 2020, 120, 158–165. [Google Scholar] [CrossRef]
- Jadhav, J.J.; Jadeja, G.C.; Desai, M.A. Ultrasound-Assisted Hydrodistillation for Extraction of Essential Oil from Clove Buds—A Step towards Process Improvement and Sustainable Outcome. Chem. Eng. Process. Process Intensif. 2023, 189, 109404. [Google Scholar] [CrossRef]
- Belwal, T.; Ezzat, S.M.; Rastrelli, L.; Bhatt, I.D.; Daglia, M.; Baldi, A.; Devkota, H.P.; Orhan, I.E.; Patra, J.K.; Das, G.; et al. A Critical Analysis of Extraction Techniques Used for Botanicals: Trends, Priorities, Industrial Uses and Optimization Strategies. TrAC Trends Anal. Chem. 2018, 100, 82–102. [Google Scholar] [CrossRef]
- Haro-González, J.N.; Castillo-Herrera, G.A.; Martínez-Velázquez, M.; Espinosa-Andrews, H. Clove Essential Oil (Syzygium aromaticum L. Myrtaceae): Extraction, Chemical Composition, Food Applications, and Essential Bioactivity for Human Health. Molecules 2021, 26, 6387. [Google Scholar] [CrossRef] [PubMed]
- Gonzalez-Rivera, J.; Duce, C.; Campanella, B.; Bernazzani, L.; Ferrari, C.; Tanzini, E.; Onor, M.; Longo, I.; Ruiz, J.C.; Tinè, M.R.; et al. In Situ Microwave Assisted Extraction of Clove Buds to Isolate Essential Oil, Polyphenols, and Lignocellulosic Compounds. Ind. Crops Prod. 2021, 161, 113203. [Google Scholar] [CrossRef]
- Frohlich, P.C.; Santos, K.A.; Palú, F.; Cardozo-Filho, L.; da Silva, C.; da Silva, E.A. Evaluation of the Effects of Temperature and Pressure on the Extraction of Eugenol from Clove (Syzygium aromaticum) Leaves Using Supercritical CO2. J. Supercrit. Fluids 2019, 143, 313–320. [Google Scholar] [CrossRef]
- Roy, S.; Guha, C.; Asit Kumar, S.; Somak Jyoti, S. Supercritical Carbon Dioxide Extraction of Clove (Syzygium aromaticum) Bud Oil in an Annular Grate Feed Contactor: Effect of Axial To Radial Surface Enhancement Factor. Int. J. Innov. Technol. Explor. Eng. (IJITEE) 2019, 8. [Google Scholar]
- Hatami, T.; Johner, J.C.F.; Zabot, G.L.; Meireles, M.A.A. Supercritical Fluid Extraction Assisted by Cold Pressing from Clove Buds: Extraction Performance, Volatile Oil Composition, and Economic Evaluation. J. Supercrit. Fluids 2019, 144, 39–47. [Google Scholar] [CrossRef]
- Yang, Y.C.; Wei, M.C.; Hong, S.J. Ultrasound-Assisted Extraction and Quantitation of Oils from Syzygium aromaticum Flower Bud (Clove) with Supercritical Carbon Dioxide. J. Chromatogr. A 2014, 1323, 18–27. [Google Scholar] [CrossRef]
- Wei, M.C.; Lin, P.H.; Hong, S.J.; Chen, J.M.; Yang, Y.C. Development of a Green Alternative Procedure for the Simultaneous Separation and Quantification of Clove Oil and Its Major Bioactive Constituents. ACS Sustain. Chem. Eng. 2016, 4, 6491–6499. [Google Scholar] [CrossRef]
- Golmakani, M.T.; Zare, M.; Razzaghi, S. Eugenol Enrichment of Clove Bud Essential Oil Using Different Microwave-Assisted Distillation Methods. Food Sci. Technol. Res. 2017, 23, 385–394. [Google Scholar] [CrossRef]
- El Asbahani, A.; Miladi, K.; Badri, W.; Sala, M.; Addi, E.H.A.; Casabianca, H.; El Mousadik, A.; Hartmann, D.; Jilale, A.; Renaud, F.N.R.; et al. Essential Oils: From Extraction to Encapsulation. Int. J. Pharm. 2015, 483, 220–243. [Google Scholar] [CrossRef]
- Aziz, Z.A.A.; Ahmad, A.; Setapar, S.H.M.; Karakucuk, A.; Azim, M.M.; Lokhat, D.; Rafatullah, M.; Ganash, M.; Kamal, M.A.; Ashraf, G.M. Essential Oils: Extraction Techniques, Pharmaceutical and Therapeutic Potential—A Review. Curr. Drug Metab. 2018, 19, 1100–1110. [Google Scholar] [CrossRef]
- Rajesh, Y.; Khan, N.M.; Raziq Shaikh, A.; Mane, V.S.; Daware, G.; Dabhade, G. Investigation of Geranium Oil Extraction Performance by Using Soxhlet Extraction. Mater. Today Proc. 2023, 72, 2610–2617. [Google Scholar] [CrossRef]
- Tongnuanchan, P.; Benjakul, S. Essential Oils: Extraction, Bioactivities, and Their Uses for Food Preservation. J. Food Sci. 2014, 79, R1231–R1249. [Google Scholar] [CrossRef] [PubMed]
- Radwan, M.N.; Morad, M.M.; Ali, M.M.; Wasfy, K.I. A Solar Steam Distillation System for Extracting Lavender Volatile Oil. Energy Rep. 2020, 6, 3080–3087. [Google Scholar] [CrossRef]
- Shehabeldine, A.M.; Doghish, A.S.; El-Dakroury, W.A.; Hassanin, M.M.H.; Al-Askar, A.A.; AbdElgawad, H.; Hashem, A.H. Antimicrobial, Antibiofilm, and Anticancer Activities of Syzygium aromaticum Essential Oil Nanoemulsion. Molecules 2023, 28, 5812. [Google Scholar] [CrossRef] [PubMed]
- Gavahian, M.; Sastry, S.; Farhoosh, R.; Farahnaky, A. Ohmic Heating as a Promising Technique for Extraction of Herbal Essential Oils: Understanding Mechanisms, Recent Findings, and Associated Challenges. Adv. Food Nutr. Res. 2020, 91, 227–273. [Google Scholar] [CrossRef] [PubMed]
- Reyes-Jurado, F.; Franco-Vega, A.; Ramírez-Corona, N.; Palou, E.; López-Malo, A. Essential Oils: Antimicrobial Activities, Extraction Methods, and Their Modeling. Food Eng. Rev. 2015, 7, 275–297. [Google Scholar] [CrossRef]
- Pimentel-Moral, S.; Borrás-Linares, I.; Lozano-Sánchez, J.; Arráez-Román, D.; Martínez-Férez, A.; Segura-Carretero, A. Supercritical CO2 Extraction of Bioactive Compounds from Hibiscus Sabdariffa. J. Supercrit. Fluids 2019, 147, 213–221. [Google Scholar] [CrossRef]
- Kant, R.; Kumar, A. Review on Essential Oil Extraction from Aromatic and Medicinal Plants: Techniques, Performance and Economic Analysis. Sustain. Chem. Pharm. 2022, 30, 100829. [Google Scholar] [CrossRef]
- Saldaña-Mendoza, S.A.; Chávez-González, M.L.; Ramírez-Guzmán, N.; Pacios-Michelena, S.; Aguilar, C.N. Technological Trends in the Extraction of Essential Oils. Environ. Qual. Manag. 2022, 32, 441–450. [Google Scholar] [CrossRef]
- Matei, P.L.; Deleanu, I.; Brezoiu, A.M.; Chira, N.A.; Busuioc, C.; Isopencu, G.; Cîlțea-Udrescu, M.; Alexandrescu, E.; Stoica-Guzun, A. Ultrasound-Assisted Extraction of Blackberry Seed Oil: Optimization and Oil Characterization. Molecules 2023, 28, 2486. [Google Scholar] [CrossRef]
- Fiorini, D.; Scortichini, S.; Bonacucina, G.; Greco, N.G.; Mazzara, E.; Petrelli, R.; Torresi, J.; Maggi, F.; Cespi, M. Cannabidiol-Enriched Hemp Essential Oil Obtained by an Optimized Microwave-Assisted Extraction Using a Central Composite Design. Ind. Crops Prod. 2020, 154, 112688. [Google Scholar] [CrossRef]
- Liu, Z.; Deng, B.; Li, S.; Zou, Z. Optimization of Solvent-Free Microwave Assisted Extraction of Essential Oil from Cinnamomum Camphora Leaves. Ind. Crops Prod. 2018, 124, 353–362. [Google Scholar] [CrossRef]
- Tunç, M.T.; Koca, İ. Optimization of Ohmic Heating Assisted Hydrodistillation of Cinnamon and Bay Leaf Essential Oil. J. Food Process Eng. 2021, 44, e13635. [Google Scholar] [CrossRef]
- Gavahian, M.; Chu, Y.H. Ohmic Accelerated Steam Distillation of Essential Oil from Lavender in Comparison with Conventional Steam Distillation. Innov. Food Sci. Emerg. Technol. 2018, 50, 34–41. [Google Scholar] [CrossRef]
- Kumar-Pandey, V.; Shams, R.; Singh, R.; Dar, A.H.; Pandiselvam, R.; Rusu, A.V.; Trif, M. A Comprehensive Review on Clove (Caryophyllus aromaticus L.) Essential Oil and Its Significance in the Formulation of Edible Coatings for Potential Food Applications. Front. Nutr. 2022, 9, 987674. [Google Scholar] [CrossRef] [PubMed]
- Katekar, V.P.; Rao, A.B.; Sardeshpande, V.R. A Cutting-Edge Assessment of Recent Advancements in Essential Oils Extraction Technologies for Energy and Ecological Sustainability: A Comprehensive Review. J. Food Process Eng. 2023, 46, e14414. [Google Scholar] [CrossRef]
- Zhang, X.; Zhu, H.; Wang, J.; Li, F.; Wang, J.; Ma, X.; Li, J.; Huang, Y.; Liu, Z.; Zhang, L.; et al. Anti-Microbial Activity of Citronella (Cymbopogon citratus) Essential Oil Separation by Ultrasound Assisted Ohmic Heating Hydrodistillation. Ind. Crops Prod. 2022, 176, 114299. [Google Scholar] [CrossRef]
- Sahebkar, A.; Serban, M.C.; Ursoniu, S.; Banach, M. Effect of Curcuminoids on Oxidative Stress: A Systematic Review and Meta-Analysis of Randomized Controlled Trials. J. Funct. Foods 2015, 18, 898–909. [Google Scholar] [CrossRef]
- Zhang, L.; Gu, B.; Wang, Y. Clove Essential Oil Confers Antioxidant Activity and Lifespan Extension in C. Elegans via the DAF-16/FOXO Transcription Factor. Comp. Biochem. Physiol. Part C Toxicol. Pharmacol. 2021, 242, 108938. [Google Scholar] [CrossRef]
- Jugreet, B.S.; Mahomoodally, M.F.; Sinan, K.I.; Zengin, G.; Abdallah, H.H. Chemical Variability, Pharmacological Potential, Multivariate and Molecular Docking Analyses of Essential Oils Obtained from Four Medicinal Plants. Ind. Crops Prod. 2020, 150, 112394. [Google Scholar] [CrossRef]
- Micić, D.; Ostojić, S.; Pezo, L.; Blagojević, S.; Pavlić, B.; Zeković, Z.; Đurović, S. Essential Oils of Coriander and Sage: Investigation of Chemical Profile, Thermal Properties and QSRR Analysis. Ind. Crops Prod. 2019, 138, 111438. [Google Scholar] [CrossRef]
- Khodaei, N.; Nguyen, M.M.; Mdimagh, A.; Bayen, S.; Karboune, S. Compositional Diversity and Antioxidant Properties of Essential Oils: Predictive Models. LWT 2021, 138, 110684. [Google Scholar] [CrossRef]
- de Araújo Couto, H.G.S.; Blank, A.F.; de Oliveira e Silva, A.M.; de Lima Nogueira, P.C.; de Fátima Arrigoni-Blank, M.; de Castro Nizio, D.A.; de Oliveira Pinto, J.A. Essential Oils of Basil Chemotypes: Major Compounds, Binary Mixtures, and Antioxidant Activity. Food Chem. 2019, 293, 446–454. [Google Scholar] [CrossRef] [PubMed]
- Losada-Barreiro, S.; Sezgin-Bayindir, Z.; Paiva-Martins, F.; Bravo-Díaz, C. Biochemistry of Antioxidants: Mechanisms and Pharmaceutical Applications. Biomedicines 2022, 10, 3051. [Google Scholar] [CrossRef] [PubMed]
- Dawidowicz, A.L.; Olszowy, M. Does Antioxidant Properties of the Main Component of Essential Oil Reflect Its Antioxidant Properties? The Comparison of Antioxidant Properties of Essential Oils and Their Main Components. Nat. Prod. Res. 2014, 28, 1952–1963. [Google Scholar] [CrossRef] [PubMed]
- Kang, J.H.; Song, K. Bin Characterization of Job’s Tears (Coix lachryma-jobi L.) Starch Films Incorporated with Clove Bud Essential Oil and Their Antioxidant Effects on Pork Belly during Storage. LWT 2019, 111, 711–718. [Google Scholar] [CrossRef]
- Domínguez, R.; Pateiro, M.; Gagaoua, M.; Barba, F.J.; Zhang, W.; Lorenzo, J.M. A Comprehensive Review on Lipid Oxidation in Meat and Meat Products. Antioxidants 2019, 8, 1739. [Google Scholar] [CrossRef] [PubMed]
- Xu, L.; Li, X.; Chen, H.; Li, H.; Zhou, Q.; Tong, P.; Liu, X. Antibacterial and Antioxidant Properties of Clove Extract Applied in the Production of Dry-Cured Duck. LWT 2023, 185, 115153. [Google Scholar] [CrossRef]
- Sebaaly, C.; Charcosset, C.; Stainmesse, S.; Fessi, H.; Greige-Gerges, H. Clove Essential Oil-in-Cyclodextrin-in-Liposomes in the Aqueous and Lyophilized States: From Laboratory to Large Scale Using a Membrane Contactor. Carbohydr. Polym. 2016, 138, 75–85. [Google Scholar] [CrossRef]
- Kiki, M.J. In Vitro Antiviral Potential, Antioxidant, and Chemical Composition of Clove (Syzygium aromaticum) Essential Oil. Molecules 2023, 28, 2421. [Google Scholar] [CrossRef]
- Zečić, A.; Braeckman, B.P. DAF-16/FoxO in Caenorhabditis Elegans and Its Role in Metabolic Remodeling. Cells 2020, 9, 109. [Google Scholar] [CrossRef]
- Aman, R.M.; Hashim, I.I.A.; Meshali, M.M. Novel Clove Essential Oil Nanoemulgel Tailored by Taguchi’s Model and Scaffold-Based Nanofibers: Phytopharmaceuticals with Promising Potential as Cyclooxygenase-2 Inhibitors in External Inflammation. Int. J. Nanomed. 2020, 15, 2171–2195. [Google Scholar] [CrossRef]
- Hussain, T.; Tan, B.; Yin, Y.; Blachier, F.; Tossou, M.C.B.; Rahu, N. Oxidative Stress and Inflammation: What Polyphenols Can Do for Us? Oxid. Med. Cell Longev. 2016, 2016, 7432797. [Google Scholar] [CrossRef]
- Mandelker, L. Oxidative Stress, Free Radicals, and Cellular Damage. Stud. Vet. Med. 2011, 2017, 1–17. [Google Scholar] [CrossRef]
- Çimen, M.Y.B. Free Radical Metabolism in Human Erythrocytes. Clin. Chim. Acta 2008, 390, 1–11. [Google Scholar] [CrossRef]
- Li, L.; Lin, Z.G.; Wang, S.; Su, X.L.; Gong, H.R.; Li, H.L.; Hu, F.L.; Zheng, H.Q. The Effects of Clove Oil on the Enzyme Activity of Varroa destructor Anderson and Trueman (Arachnida: Acari: Varroidae). Saudi J. Biol. Sci. 2017, 24, 996–1000. [Google Scholar] [CrossRef] [PubMed]
- Keane, J.A.; Ealy, A.D. An Overview of Reactive Oxygen Species Damage Occurring during In Vitro Bovine Oocyte and Embryo Development and the Efficacy of Antioxidant Use to Limit These Adverse Effects. Animals 2024, 14, 330. [Google Scholar] [CrossRef]
- Mohammadi, F. Effect of Different Levels of Clove (Syzygium aromaticum L.) Essential Oil on Growth Performance and Oxidative/Nitrosative Stress Biomarkers in Broilers under Heat Stress. Trop. Anim. Health Prod. 2021, 53, 1–7. [Google Scholar] [CrossRef] [PubMed]
- Altan, Ö.; Pabuçcuoǧlu, A.; Altan, A.; Konyalioǧlu, S.; Bayraktar, H. Effect of Heat Stress on Oxidative Stress, Lipid Peroxidation and Some Stress Parameters in Broilers. Br. Poult. Sci. 2003, 44, 545–550. [Google Scholar] [CrossRef] [PubMed]
- de Oliveira, L.R.M.; de Aquino, L.V.C.; Santos, M.V.d.O.; Freitas, V.J.d.F.; Bertini, L.M.; Pereira, A.F. Antioxidant Effect of Bioactive Compounds Isolated from Syzygium aromaticum Essential Oil on the in Vitro Developmental Potential of Bovine Oocytes. Livest. Sci. 2022, 260, 104932. [Google Scholar] [CrossRef]
- Sakamuru, S.; Attene-Ramos, M.S.; Xia, M. Mitochondrial Membrane Potential Assay. Methods Mol. Biol. 2016, 1473, 17–22. [Google Scholar] [CrossRef] [PubMed]
- Santos, M.V.d.O.; Nascimento, L.E.; Praxedes, É.A.; Borges, A.A.; Silva, A.R.; Bertini, L.M.; Pereira, A.F. Syzygium aromaticum Essential Oil Supplementation during In Vitro Bovine Oocyte Maturation Improves Parthenogenetic Embryonic Development. Theriogenology 2019, 128, 74–80. [Google Scholar] [CrossRef] [PubMed]
- Peterfalvi, A.; Miko, E.; Nagy, T.; Reger, B.; Simon, D.; Miseta, A.; Czéh, B.; Szereday, L. Much More Than a Pleasant Scent: A Review on Essential Oils Supporting the Immune System. Molecules 2019, 24, 4530. [Google Scholar] [CrossRef] [PubMed]
- Elbaz, A.M.; Ashmawy, E.S.; Ali, S.A.M.; Mourad, D.M.; El-Samahy, H.S.; Badri, F.B.; Thabet, H.A. Effectiveness of Probiotics and Clove Essential Oils in Improving Growth Performance, Immuno-Antioxidant Status, Ileum Morphometric, and Microbial Community Structure for Heat-Stressed Broilers. Sci. Rep. 2023, 13, 18846. [Google Scholar] [CrossRef] [PubMed]
- Mahrous, H.; ElFar, A.; Sadek, K.; AbdelLatif, M. Effects of Different Levels of Clove Bud (Syzygium aromaticum) Dietary Supplementation on Immunity, Antioxidant Status, and Performance in Broiler Chickens. Alex. J. Veter Sci. 2017, 54, 29. [Google Scholar] [CrossRef]
- Hu, F.; Tu, X.F.; Thakur, K.; Hu, F.; Li, X.L.; Zhang, Y.S.; Zhang, J.G.; Wei, Z.J. Comparison of Antifungal Activity of Essential Oils from Different Plants against Three Fungi. Food Chem. Toxicol. 2019, 134, 110821. [Google Scholar] [CrossRef]
- Das, M.; Roy, S.; Guha, C.; Saha, A.K.; Singh, M. In Vitro Evaluation of Antioxidant and Antibacterial Properties of Supercritical CO2 Extracted Essential Oil from Clove Bud (Syzygium aromaticum). J. Plant Biochem. Biotechnol. 2021, 30, 387–391. [Google Scholar] [CrossRef]
- Hu, W.; Li, C.; Dai, J.; Cui, H.; Lin, L. Antibacterial Activity and Mechanism of Litsea Cubeba Essential Oil against Methicillin-Resistant Staphylococcus aureus (MRSA). Ind. Crops Prod. 2019, 130, 34–41. [Google Scholar] [CrossRef]
- Halder, S.; Mehta, A.K.; Mediratta, P.K.; Sharma, K.K. Acute Effect of Essential Oil of Eugenia Caryophyllata on Cognition and Pain in Mice. Naunyn Schmiedebergs Arch. Pharmacol. 2012, 385, 587–593. [Google Scholar] [CrossRef]
- Wang, F.; Wei, F.; Song, C.; Jiang, B.; Tian, S.; Yi, J.; Yu, C.; Song, Z.; Sun, L.; Bao, Y.; et al. Dodartia orientalis L. Essential Oil Exerts Antibacterial Activity by Mechanisms of Disrupting Cell Structure and Resisting Biofilm. Ind. Crops Prod. 2017, 109, 358–366. [Google Scholar] [CrossRef]
- Zhao, M.; Bai, J.; Bu, X.; Tang, Y.; Han, W.; Li, D.; Wang, L.; Yang, Y.; Xu, Y. Microwave-Assisted Aqueous Two-Phase Extraction of Phenolic Compounds from Ribes nigrum L. and Its Antibacterial Effect on Foodborne Pathogens. Food Control 2021, 119, 107449. [Google Scholar] [CrossRef]
- Kim, N.N.; Kim, W.J.; Kang, S.S. Anti-Biofilm Effect of Crude Bacteriocin Derived from Lactobacillus Brevis DF01 on Escherichia Coli and Salmonella Typhimurium. Food Control 2019, 98, 274–280. [Google Scholar] [CrossRef]
- Kuhn, D.; Ziem, R.; Scheibel, T.; Buhl, B.; Vettorello, G.; Pacheco, L.A.; Heidrich, D.; Kauffmann, C.; de Freitas, E.M.; Ethur, E.M.; et al. Antibiofilm Activity of the Essential Oil of Campomanesia aurea O. Berg against Microorganisms Causing Food Borne Diseases. LWT 2019, 108, 247–252. [Google Scholar] [CrossRef]
- Sharma, S.; Barkauskaite, S.; Duffy, B.; Jaiswal, A.K.; Swarna, J. Characterization and Antimicrobial Activity of Biodegradable Active Packaging Enriched with Clove and Thyme Essential Oil for Food Packaging Application. Foods 2020, 9, 1117. [Google Scholar] [CrossRef] [PubMed]
- Mulla, M.; Ahmed, J.; Al-Attar, H.; Castro-Aguirre, E.; Arfat, Y.A.; Auras, R. Antimicrobial Efficacy of Clove Essential Oil Infused into Chemically Modified LLDPE Film for Chicken Meat Packaging. Food Control 2017, 73, 663–671. [Google Scholar] [CrossRef]
- Saladino, F.; Luz, C.; Manyes, L.; Fernández-Franzón, M.; Meca, G. In Vitro Antifungal Activity of Lactic Acid Bacteria against Mycotoxigenic Fungi and Their Application in Loaf Bread Shelf Life Improvement. Food Control 2016, 67, 273–277. [Google Scholar] [CrossRef]
- Gatti, L.; Troiano, F.; Vacchini, V.; Cappitelli, F.; Balloi, A. An In Vitro Evaluation of the Biocidal Effect of Oregano and Cloves’ Volatile Compounds against Microorganisms Colonizing an Oil Painting—A Pioneer Study. Appl. Sci. 2020, 11, 78. [Google Scholar] [CrossRef]
- Palla, F.; Bruno, M.; Mercurio, F.; Tantillo, A.; Rotolo, V. Essential Oils as Natural Biocides in Conservation of Cultural Heritage. Molecules 2020, 25, 730. [Google Scholar] [CrossRef] [PubMed]
- Valente, M.T.; Orzali, L.; Manetti, G.; Magnanimi, F.; Matere, A.; Bergamaschi, V.; Grottoli, A.; Bechini, S.; Riccioni, L.; Aragona, M. Rapid Molecular Assay for the Evaluation of Clove Essential Oil Antifungal Activity against Wheat Common Bunt. Front. Plant Sci. 2023, 14, 1130793. [Google Scholar] [CrossRef]
- Hasheminejad, N.; Khodaiyan, F.; Safari, M. Improving the Antifungal Activity of Clove Essential Oil Encapsulated by Chitosan Nanoparticles. Food Chem. 2019, 275, 113–122. [Google Scholar] [CrossRef]
- Muñoz Castellanos, L.; Amaya Olivas, N.; Ayala-Soto, J.; De La O Contreras, C.M.; Zermeño Ortega, M.; Sandoval Salas, F.; Hernández-Ochoa, L. In Vitro and in Vivo Antifungal Activity of Clove (Eugenia caryophyllata) and Pepper (Piper nigrum L.) Essential Oils and Functional Extracts against Fusarium Oxysporum and Aspergillus Niger in Tomato (Solanum lycopersicum L.). Int. J. Microbiol. 2020, 2020, 1702037. [Google Scholar] [CrossRef] [PubMed]
- Ju, J.; Xu, X.; Xie, Y.; Guo, Y.; Cheng, Y.; Qian, H.; Yao, W. Inhibitory Effects of Cinnamon and Clove Essential Oils on Mold Growth on Baked Foods. Food Chem. 2018, 240, 850–855. [Google Scholar] [CrossRef] [PubMed]
- Oussalah, M.; Caillet, S.; Saucier, L.; Lacroix, M. Inhibitory Effects of Selected Plant Essential Oils on the Growth of Four Pathogenic Bacteria: E. coli O157:H7, Salmonella Typhimurium, Staphylococcus aureus and Listeria monocytogenes. Food Control 2007, 18, 414–420. [Google Scholar] [CrossRef]
- Zhong, J.; Shi, G. Editorial: Regulation of Inflammation in Chronic Disease. Front. Immunol. 2019, 10, 453065. [Google Scholar] [CrossRef] [PubMed]
- Chen, L.; Deng, H.; Cui, H.; Fang, J.; Zuo, Z.; Deng, J.; Li, Y.; Wang, X.; Zhao, L. Inflammatory Responses and Inflammation-Associated Diseases in Organs. Oncotarget 2018, 9, 7204. [Google Scholar] [CrossRef] [PubMed]
- Knezevic, N.N.; Nader, A.; Pirvulescu, I.; Pynadath, A.; Rahavard, B.B.; Candido, K.D. Circadian Pain Patterns in Human Pain Conditions—A Systematic Review. Pain Pract. 2023, 23, 94–109. [Google Scholar] [CrossRef] [PubMed]
- Ronchetti, S.; Migliorati, G.; Delfino, D.V. Association of Inflammatory Mediators with Pain Perception. Biomed. Pharmacother. 2017, 96, 1445–1452. [Google Scholar] [CrossRef] [PubMed]
- Brusini, R.; Varna, M.; Couvreur, P. Advanced Nanomedicines for the Treatment of Inflammatory Diseases. Adv. Drug Deliv. Rev. 2020, 157, 161–178. [Google Scholar] [CrossRef] [PubMed]
- Esmaeili, F.; Zahmatkeshan, M.; Yousefpoor, Y.; Alipanah, H.; Safari, E.; Osanloo, M. Anti-Inflammatory and Anti-Nociceptive Effects of Cinnamon and Clove Essential Oils Nanogels: An in Vivo Study. BMC Complement. Med. Ther. 2022, 22, 143. [Google Scholar] [CrossRef]
- Banerjee, K.; Madhyastha, H.; Sandur V., R.; Manikandanath, N.T.; Thiagarajan, N.; Thiagarajan, P. Anti-Inflammatory and Wound Healing Potential of a Clove Oil Emulsion. Colloids Surf. B Biointerfaces 2020, 193, 111102. [Google Scholar] [CrossRef]
- Xie, Y.; Huang, Q.; Wang, Z.; Cao, H.; Zhang, D. Structure-Activity Relationships of Cinnamaldehyde and Eugenol Derivatives against Plant Pathogenic Fungi. Ind. Crops Prod. 2017, 97, 388–394. [Google Scholar] [CrossRef]
- Omale, J.; Okafor, P. Comparative Antioxidant Capacity, Membrane Stabilization, Polyphenol Composition and Cytotoxicity of the Leaf and Stem of Cissus Multistriata. Afr. J. Biotechnol. 2008, 7, 3129–3133. [Google Scholar]
- Patil, K.R.; Mahajan, U.B.; Unger, B.S.; Goyal, S.N.; Belemkar, S.; Surana, S.J.; Ojha, S.; Patil, C.R. Animal Models of Inflammation for Screening of Anti-Inflammatory Drugs: Implications for the Discovery and Development of Phytopharmaceuticals. Int. J. Mol. Sci. 2019, 20, 4367. [Google Scholar] [CrossRef] [PubMed]
- Harishkumar, M.; Masatoshi, Y.; Hiroshi, S.; Tsuyomu, I.; Masugi, M. Revealing the Mechanism of In Vitro Wound Healing Properties of Citrus tamurana Extract. BioMed Res. Int. 2013, 2013, 963457. [Google Scholar] [CrossRef] [PubMed]
- de Oliveira Prata da Silva, M.G.; de Farias Ramos, I.N.; de Matos, C.H.C.; de Oliveira, M.S.; Salim Khayat, A.; Cruz, J.N.; de Aguiar Andrade, E.H. An Overview of Essential Oil Anticancer Activity. Essent. Oils Appl. Trends Food Sci. Technol. 2022, 391–413. [Google Scholar] [CrossRef]
- Kulesz-Martin, M.; Ouyang, X.; Barling, A.; Gallegos, J.R.; Liu, Y.; Medler, T. Multistage Carcinogenesis: Cell and Animal Models. Compr. Toxicol. Third Ed. 2018, 7–15, 11–35. [Google Scholar] [CrossRef]
- Taha Yassin, M.; Abdulrahman Al-Askar, A.; Abdel-Fattah Mostafa, A.; El-Sheikh, M.A. Bioactivity of Syzygium aromaticum (L.) Merr. & L.M.Perry Extracts as Potential Antimicrobial and Anticancer Agents. J. King Saud. Univ. Sci. 2020, 32, 3273–3278. [Google Scholar] [CrossRef]
- Ju, J.; Zhu, A.J.; Yuan, P. Progress in Targeted Therapy for Breast Cancer. Chronic Dis. Transl. Med. 2018, 4, 164–175. [Google Scholar] [CrossRef] [PubMed]
- Aumeeruddy, M.Z.; Mahomoodally, M.F. Combating Breast Cancer Using Combination Therapy with 3 Phytochemicals: Piperine, Sulforaphane, and Thymoquinone. Cancer 2019, 125, 1600–1611. [Google Scholar] [CrossRef]
- Odom, R.Y.; Dansby, M.Y.; Rollins-Hairston, A.M.; Jackson, K.M.; Kirlin, W.G. Phytochemical Induction of Cell Cycle Arrest by Glutathione Oxidation and Reversal by N-Acetylcysteine in Human Colon Carcinoma Cells. Nutr. Cancer 2009, 61, 332–339. [Google Scholar] [CrossRef]
- Chua, L.K.; Lim, C.L.; Ling, A.P.K.; Chye, S.M.; Koh, R.Y. Anticancer Potential of Syzygium Species: A Review. Plant Foods Hum. Nutr. 2019, 74, 18–27. [Google Scholar] [CrossRef] [PubMed]
- Abadi, A.V.M.; Karimi, E.; Oskoueian, E.; Mohammad, G.R.K.S.; Shafaei, N. Chemical Investigation and Screening of Anti-Cancer Potential of Syzygium aromaticum L. Bud (Clove) Essential Oil Nanoemulsion. 3 Biotech 2022, 12, 1–10. [Google Scholar] [CrossRef] [PubMed]
- Ali, I.; Naqshbandi, M.F.; Husain, M. Cell Migration and Apoptosis in Human Lung Cancer Cells by Clove (Syzygium aromaticum) Dried Flower Buds Extract. J. Taibah Univ. Sci. 2019, 13, 1163–1174. [Google Scholar] [CrossRef]
- Khalilzadeh, E.; Hazrati, R.; Saiah, G.V. Effects of Topical and Systemic Administration of Eugenia Caryophyllata Buds Essential Oil on Corneal Anesthesia and Analgesia. Res. Pharm. Sci. 2016, 11, 293. [Google Scholar] [CrossRef]
- Correia, A.M.; Pedrazzani, A.S.; Mendonça, R.C.; Massucatto, A.; Ozório, R.A.; Tsuzuki, M.Y. Basil, Tea Tree and Clove Essential Oils as Analgesics and Anaesthetics in Amphiprion clarkii (Bennett, 1830). Braz. J. Biol. 2017, 78, 436–442. [Google Scholar] [CrossRef]
- Elzayyat, E.; Elleboudy, N.; Moustafa, A.; Ammar, A. Insecticidal, Oxidative, and Genotoxic Activities of Syzygium aromaticum and Eucalyptus globulus on Culex pipiens Adults and Larvae. Turk. J. Parasitol. 2018, 42, 213–222. [Google Scholar] [CrossRef]
- Taher, Y.A.; Samud, A.M.; El-Taher, F.E.; ben-Hussin, G.; Elmezogi, J.S.; Al-Mehdawi, B.F.; Salem, H.A. Experimental Evaluation of Anti-Inflammatory, Antinociceptive and Antipyretic Activities of Clove Oil in Mice. Libyan J. Med. 2015, 10, 28685. [Google Scholar] [CrossRef] [PubMed]
- Beltrán-Villalobos, K.L.; Déciga-Campos, M.; Aguilar-Mariscal, H.; González-Trujano, M.E.; Martínez-Salazar, M.F.; Ramírez-Cisneros, M.d.l.Á.; Rios, M.Y.; López-Muñoz, F.J. Synergistic Antinociceptive Interaction of Syzygium aromaticum or Rosmarinus Officinalis Coadministered with Ketorolac in Rats. Biomed. Pharmacother. 2017, 94, 858–864. [Google Scholar] [CrossRef]
- Jackson-Davis, A.; White, S.; Kassama, L.S.; Coleman, S.; Shaw, A.; Mendonca, A.; Cooper, B.; Thomas-Popo, E.; Gordon, K.; London, L. A Review of Regulatory Standards and Advances in Essential Oils as Antimicrobials in Foods. J. Food Prot. 2023, 86, 100025. [Google Scholar] [CrossRef]
- Bampidis, V.; Azimonti, G.; Bastos, M. de L.; Christensen, H.; Durjava, M.; Kouba, M.; López-Alonso, M.; López Puente, S.; Marcon, F.; Mayo, B.; et al. Safety and Efficacy of Feed Additives Consisting of Essential Oils Derived from the Flower Buds or the Leaves of Syzygium aromaticum (L.) Merr. & L.M. Perry (Clove Bud Oil and Clove Leaf Oils) for All Animal Species (FEFANA Asbl). EFSA J. 2023, 21, e08183. [Google Scholar] [CrossRef]
- Burdock, G.A. Fenaroli’s Handbook of Flavor Ingredients; CRC Press: Boca Raton, FL, USA, 2016. [Google Scholar] [CrossRef]
- Nurdjannah, N.; Bermawie, N. Cloves. In Handbook of Herbs and Spices, 2nd ed.; Woodhead Publishing: Sawston, UK, 2012; Volume 1, pp. 197–215. [Google Scholar] [CrossRef]
- Hadidi, M.; Pouramin, S.; Adinepour, F.; Haghani, S.; Jafari, S.M. Chitosan Nanoparticles Loaded with Clove Essential Oil: Characterization, Antioxidant and Antibacterial Activities. Carbohydr. Polym. 2020, 236, 116075. [Google Scholar] [CrossRef] [PubMed]
- Hu, Q.; Zhou, M.; Wei, S. Progress on the Antimicrobial Activity Research of Clove Oil and Eugenol in the Food Antisepsis Field. J. Food Sci. 2018, 83, 1476–1483. [Google Scholar] [CrossRef] [PubMed]
- Arfat, Y.A.; Ahmed, J.; Ejaz, M.; Mullah, M. Polylactide/Graphene Oxide Nanosheets/Clove Essential Oil Composite Films for Potential Food Packaging Applications. Int. J. Biol. Macromol. 2018, 107, 194–203. [Google Scholar] [CrossRef] [PubMed]
- Ahmed, J.; Mulla, M.; Jacob, H.; Luciano, G.; Bini, T.B.; Almusallam, A. Polylactide/Poly(ε-Caprolactone)/Zinc Oxide/Clove Essential Oil Composite Antimicrobial Films for Scrambled Egg Packaging. Food Packag. Shelf Life 2019, 21, 100355. [Google Scholar] [CrossRef]
- Lu, W.; Cui, R.; Zhu, B.; Qin, Y.; Cheng, G.; Li, L.; Yuan, M. Influence of Clove Essential Oil Immobilized in Mesoporous Silica Nanoparticles on the Functional Properties of Poly(Lactic Acid) Biocomposite Food Packaging Film. J. Mater. Res. Technol. 2021, 11, 1152–1161. [Google Scholar] [CrossRef]
- Ejaz, M.; Arfat, Y.A.; Mulla, M.; Ahmed, J. Zinc Oxide Nanorods/Clove Essential Oil Incorporated Type B Gelatin Composite Films and Its Applicability for Shrimp Packaging. Food Packag. Shelf Life 2018, 15, 113–121. [Google Scholar] [CrossRef]
- Ahmed, J.; Mulla, M.; Joseph, A.; Ejaz, M.; Maniruzzaman, M. Zinc Oxide/Clove Essential Oil Incorporated Type B Gelatin Nanocomposite Formulations: A Proof-of-Concept Study for 3D Printing Applications. Food Hydrocoll. 2020, 98, 105256. [Google Scholar] [CrossRef]
- Roy, S.; Rhim, J.W. Gelatin/Agar-Based Functional Film Integrated with Pickering Emulsion of Clove Essential Oil Stabilized with Nanocellulose for Active Packaging Applications. Colloids Surf. A Physicochem. Eng. Asp. 2021, 627, 127220. [Google Scholar] [CrossRef]
- Nisar, T.; Wang, Z.C.; Yang, X.; Tian, Y.; Iqbal, M.; Guo, Y. Characterization of Citrus Pectin Films Integrated with Clove Bud Essential Oil: Physical, Thermal, Barrier, Antioxidant and Antibacterial Properties. Int. J. Biol. Macromol. 2018, 106, 670–680. [Google Scholar] [CrossRef]
- Al-Hashimi, A.G.; Ammar, A.B.; Lakshmanan, G.; Cacciola, F.; Lakhssassi, N. Development of a Millet Starch Edible Film Containing Clove Essential Oil. Foods 2020, 9, 184. [Google Scholar] [CrossRef]
- Gasti, T.; Dixit, S.; Hiremani, V.D.; Chougale, R.B.; Masti, S.P.; Vootla, S.K.; Mudigoudra, B.S. Chitosan/Pullulan Based Films Incorporated with Clove Essential Oil Loaded Chitosan-ZnO Hybrid Nanoparticles for Active Food Packaging. Carbohydr. Polym. 2022, 277, 118866. [Google Scholar] [CrossRef] [PubMed]
- Sarıcaoglu, F.T.; Turhan, S. Physicochemical, Antioxidant and Antimicrobial Properties of Mechanically Deboned Chicken Meat Protein Films Enriched with Various Essential Oils. Food Packag. Shelf Life 2020, 25, 100527. [Google Scholar] [CrossRef]
- Saricaoglu, F.T.; Turhan, S. Performance of Mechanically Deboned Chicken Meat Protein Coatings Containing Thyme or Clove Essential Oil for Storage Quality Improvement of Beef Sucuks. Meat Sci. 2019, 158, 107912. [Google Scholar] [CrossRef] [PubMed]
- Bhatia, S.; Al-Harrasi, A.; Alhadhrami, A.S.; Shah, Y.A.; Kotta, S.; Iqbal, J.; Anwer, M.K.; Nair, A.K.; Koca, E.; Aydemir, L.Y. Physical, Chemical, Barrier, and Antioxidant Properties of Pectin/Collagen Hydrogel-Based Films Enriched with Melissa officinalis. Gels 2023, 9, 511. [Google Scholar] [CrossRef] [PubMed]
- Li, J.; Li, C.; Shi, C.; Aliakbarlu, J.; Cui, H.; Lin, L. Antibacterial Mechanisms of Clove Essential Oil against Staphylococcus Aureus and Its Application in Pork. Int. J. Food Microbiol. 2022, 380, 109864. [Google Scholar] [CrossRef] [PubMed]
- Echeverría, I.; López-Caballero, M.E.; Gómez-Guillén, M.C.; Mauri, A.N.; Montero, M.P. Active Nanocomposite Films Based on Soy Proteins-Montmorillonite- Clove Essential Oil for the Preservation of Refrigerated Bluefin Tuna (Thunnus thynnus) Fillets. Int. J. Food Microbiol. 2018, 266, 142–149. [Google Scholar] [CrossRef] [PubMed]
- Nisar, T.; Yang, X.; Alim, A.; Iqbal, M.; Wang, Z.C.; Guo, Y. Physicochemical Responses and Microbiological Changes of Bream (Megalobrama ambycephala) to Pectin Based Coatings Enriched with Clove Essential Oil during Refrigeration. Int. J. Biol. Macromol. 2019, 124, 1156–1166. [Google Scholar] [CrossRef] [PubMed]
- Vieira, B.B.; Mafra, J.F.; Bispo, A.S.d.R.; Ferreira, M.A.; Silva, F.d.L.; Rodrigues, A.V.N.; Evangelista-Barreto, N.S. Combination of Chitosan Coating and Clove Essential Oil Reduces Lipid Oxidation and Microbial Growth in Frozen Stored Tambaqui (Colossoma macropomum) Fillets. LWT 2019, 116, 108546. [Google Scholar] [CrossRef]
- Wang, W.; Zhang, Y.; Yang, Z.; He, Q. Effects of Incorporation with Clove (Eugenia caryophyllata) Essential Oil (CEO) on Overall Performance of Chitosan as Active Coating. Int. J. Biol. Macromol. 2021, 166, 578–586. [Google Scholar] [CrossRef]
- Torrecilhas, J.A.; Ornaghi, M.G.; Passetti, R.A.C.; Mottin, C.; Guerrero, A.; Ramos, T.R.; Vital, A.C.P.; Sañudo, C.; Malheiros, E.B.; Prado, I.N.D. Meat Quality of Young Bulls Finished in a Feedlot and Supplemented with Clove or Cinnamon Essential Oils. Meat Sci. 2021, 174, 108412. [Google Scholar] [CrossRef]
- Mottin, C.; Ornaghi, M.G.; Carvalho, V.M.; Guerrero, A.; Vital, A.C.P.; Ramos, T.R.; Bonin, E.; Lana de Araújo, F.; de Araújo Castilho, R.; do Prado, I.N. Carcass Characteristics and Meat Evaluation of Cattle Finished in Temperate Pasture and Supplemented with Natural Additive Containing Clove, Cashew Oil, Castor Oils, and a Microencapsulated Blend of Eugenol, Thymol, and Vanillin. J. Sci. Food Agric. 2022, 102, 1271–1280. [Google Scholar] [CrossRef] [PubMed]
- Chaichi, M.; Mohammadi, A.; Badii, F.; Hashemi, M. Triple Synergistic Essential Oils Prevent Pathogenic and Spoilage Bacteria Growth in the Refrigerated Chicken Breast Meat. Biocatal. Agric. Biotechnol. 2021, 32, 101926. [Google Scholar] [CrossRef]
- Zhang, L.; Wang, X.; Huang, S.; Huang, Y.; Shi, H.; Bai, X. Effects of Dietary Essential Oil Supplementation on Growth Performance, Carcass Yield, Meat Quality, and Intestinal Tight Junctions of Broilers with or without Eimeria Challenge. Poult. Sci. 2023, 102, 102874. [Google Scholar] [CrossRef] [PubMed]
- Venkatachalam, K.; Lekjing, S. A Chitosan-Based Edible Film with Clove Essential Oil and Nisin for Improving the Quality and Shelf Life of Pork Patties in Cold Storage. RSC Adv. 2020, 10, 17777–17786. [Google Scholar] [CrossRef] [PubMed]
- Ahmed, L.I.; Ibrahim, N.; Abdel-Salam, A.B.; Fahim, K.M. Potential Application of Ginger, Clove and Thyme Essential Oils to Improve Soft Cheese Microbial Safety and Sensory Characteristics. Food Biosci. 2021, 42, 101177. [Google Scholar] [CrossRef]
- Hlebová, M.; Foltinová, D.; Vešelényiová, D.; Medo, J.; Šramková, Z.; Tančinová, D.; Mrkvová, M.; Hleba, L. The Vapor Phase of Selected Essential Oils and Their Antifungal Activity In Vitro and In Situ against Penicillium Commune, a Common Contaminant of Cheese. Foods 2022, 11, 3517. [Google Scholar] [CrossRef] [PubMed]
- Charfi, I.; Moussi, C.; Ghazghazi, H.; Gorrab, A.; Louhichi, R.; Bornaz, S. Using Clove Essential Oil to Increase the Nutritional Potential of Industrial Fresh Double Cream Cheese. Food Nutr. Sci. 2021, 12, 1269–1286. [Google Scholar] [CrossRef]
- Wu, H.; Zhao, F.; Li, Q.; Huang, J.; Ju, J. Antifungal Mechanism of Essential Oil against Foodborne Fungi and Its Application in the Preservation of Baked Food. Crit. Rev. Food Sci. Nutr. 2022, 64, 2695–2707. [Google Scholar] [CrossRef] [PubMed]
- Císarová, M.; Hleba, L.; Medo, J.; Tančinová, D.; Mašková, Z.; Čuboň, J.; Kováčik, A.; Foltinová, D.; Božik, M.; Klouček, P. The In Vitro and In Situ Effect of Selected Essential Oils in Vapour Phase against Bread Spoilage Toxicogenic Aspergilli. Food Control 2020, 110, 107007. [Google Scholar] [CrossRef]
- Li, K.; Zhang, M.; Bhandari, B.; Xu, J.; Yang, C. Improving Storage Quality of Refrigerated Steamed Buns by Mung Bean Starch Composite Coating Enriched with Nano-Emulsified Essential Oils. J. Food Process Eng. 2020, 43, e13475. [Google Scholar] [CrossRef]
- Chen, X.; Ren, L.; Li, M.; Qian, J.; Fan, J.; Du, B. Effects of Clove Essential Oil and Eugenol on Quality and Browning Control of Fresh-Cut Lettuce. Food Chem. 2017, 214, 432–439. [Google Scholar] [CrossRef] [PubMed]
- Boro, U.; Priyadarsini, A.; Moholkar, V.S. Synthesis and Characterization of Poly(Lactic Acid)/Clove Essential Oil/Alkali-Treated Halloysite Nanotubes Composite Films for Food Packaging Applications. Int. J. Biol. Macromol. 2022, 216, 927–939. [Google Scholar] [CrossRef] [PubMed]
- Zhang, C.; Li, C.; Abdel-Samie, M.A.; Cui, H.; Lin, L. Unraveling the Inhibitory Mechanism of Clove Essential Oil against Listeria monocytogenes Biofilm and Applying It to Vegetable Surfaces. LWT 2020, 134, 110210. [Google Scholar] [CrossRef]
- Park, J.B.; Kang, J.H.; Bin Song, K. Clove Bud Essential Oil Emulsion Containing Benzethonium Chloride Inactivates Salmonella Typhimurium and Listeria monocytogenes on Fresh-Cut Pak Choi during Modified Atmosphere Storage. Food Control 2019, 100, 17–23. [Google Scholar] [CrossRef]
- Vurmaz, A.K.; Gündüz, G.T. Inhibition of Mold Growth on the Surface of Dried Persimmons Using Combined Treatments of UV-C Light and Clove Oil. Innov. Food Sci. Emerg. Technol. 2020, 61, 102336. [Google Scholar] [CrossRef]
- Perumal, A.B.; Nambiar, R.B.; Sellamuthu, P.S.; Emmanuel, R.S. Use of Modified Atmosphere Packaging Combined with Essential Oils for Prolonging Post-Harvest Shelf Life of Mango (Cv. Banganapalli and Cv. Totapuri). LWT 2021, 148, 111662. [Google Scholar] [CrossRef]
- Hasheminejad, N.; Khodaiyan, F. The Effect of Clove Essential Oil Loaded Chitosan Nanoparticles on the Shelf Life and Quality of Pomegranate Arils. Food Chem. 2020, 309, 125520. [Google Scholar] [CrossRef]
- Jahani, M.; Pira, M.; Aminifard, M.H. Antifungal Effects of Essential Oils against Aspergillus niger In Vitro and In Vivo on Pomegranate (Punica granatum) Fruits. Sci. Hortic. 2020, 264, 109188. [Google Scholar] [CrossRef]
- Chen, C.; Cai, N.; Chen, J.; Wan, C. Clove Essential Oil as an Alternative Approach to Control Postharvest Blue Mold Caused by Penicillium italicum in Citrus Fruit. Biomolecules 2019, 9, 197. [Google Scholar] [CrossRef]
- Davy, M.; Sameza, M.L.; Tchameni, S.N.; Ntah, M.; Ayong, A.; Ampère Boat Bedine, M.; Youassi, O.Y.; Kamsu, P.N.; Michel, P.; Jazet, D. Antifungal Effects of Clove (Syzygium aromaticum) Essential Oil against Colletotrichum Gloeosporioides, the Fungus Associated with Papaya (Carica papaya L.) Fruit Anthracnose. Int. J. Appl. Microbiol. Biotechnol. Res. 2020, 8, 51–57. [Google Scholar] [CrossRef]
- Wang, Y.; Du, Y.T.; Xue, W.Y.; Wang, L.; Li, R.; Jiang, Z.T.; Tang, S.H.; Tan, J. Enhanced Preservation Effects of Clove (Syzygium aromaticum) Essential Oil on the Processing of Chinese Bacon (Preserved Meat Products) by Beta Cyclodextrin Metal Organic Frameworks (β-CD-MOFs). Meat Sci. 2023, 195, 108998. [Google Scholar] [CrossRef] [PubMed]
- Ju, J.; Xie, Y.; Yu, H.; Guo, Y.; Cheng, Y.; Qian, H.; Yao, W. A Novel Method to Prolong Bread Shelf Life: Sachets Containing Essential Oils Components. LWT 2020, 131, 109744. [Google Scholar] [CrossRef]
- Hadidi, M.; Tan, C.; Assadpour, E.; Kharazmi, M.S.; Jafari, S.M. Emerging plant proteins as nanocarriers of bioactive compounds. J. Control. Release 2023, 355, 327–342. [Google Scholar] [CrossRef] [PubMed]
- Varela, C.; Aghababaei, F.; Cano-Sarabia, M.; Turitich, L.; Trujillo, A.J.; Ferragut, V. Characterization and oxidation stability of spray-dried emulsions with omega-3 oil and buttermilk processed by ultra-high-pressure homogenization (UHPH). LWT Food Sci. Technol. 2022, 162, 113493. [Google Scholar] [CrossRef]
- Zhu, Y.; Li, C.; Cui, H.; Lin, L. Encapsulation Strategies to Enhance the Antibacterial Properties of Essential Oils in Food System. Food Control 2021, 123, 107856. [Google Scholar] [CrossRef]
- Passone, M.A.; Girardi, N.S.; Etcheverry, M. Evaluation of the Control Ability of Five Essential Oils against Aspergillus Section Nigri Growth and Ochratoxin A accumulation in Peanut Meal Extract Agar Conditioned at Different Water Activities Levels. Int. J. Food Microbiol. 2012, 159, 198–206. [Google Scholar] [CrossRef] [PubMed]
- Cimino, C.; Maurel, O.M.; Musumeci, T.; Bonaccorso, A.; Drago, F.; Souto, E.M.B.; Pignatello, R.; Carbone, C. Essential Oils: Pharmaceutical Applications and Encapsulation Strategies into Lipid-Based Delivery Systems. Pharmaceutics 2021, 13, 327. [Google Scholar] [CrossRef] [PubMed]
- Sharma, H.; Ahuja, A.; Sharma, B.; Kulshreshtha, A.; Kadam, A.; Dutt, D. Vapor Phase Antimicrobial Active Packaging Application of Chitosan Capsules Containing Clove Essential Oil for the Preservation of Dry Cakes. Food Bioprocess Technol. 2023, 17, 780–790. [Google Scholar] [CrossRef]
- Fang, Y.; Fu, J.; Liu, P.; Cu, B. Morphology and Characteristics of 3D Nanonetwork Porous Starch-Based Nanomaterial via a Simple Sacrifice Template Approach for Clove Essential Oil Encapsulation. Ind. Crops Prod. 2020, 143, 111939. [Google Scholar] [CrossRef]
- Adjali, A.; Rosaria, A.; Pontillo, N.; Kavetsou, E.; Katopodi, A.; Tzani, A.; Grigorakis, S.; Loupassaki, S.; Detsi, A. Clove Essential Oil–Hydroxypropyl-β-Cyclodextrin Inclusion Complexes: Preparation, Characterization and Incorporation in Biodegradable Chitosan Films. Micro 2022, 2, 212–224. [Google Scholar] [CrossRef]
- Joyce Nirmala, M.; Durai, L.; Gopakumar, V.; Nagarajan, R. Anticancer and Antibacterial Effects of a Clove Bud Essential Oil-Based Nanoscale Emulsion System. Int. J. Nanomed. 2019, 14, 6439–6450. [Google Scholar] [CrossRef] [PubMed]
- Milagres de Almeida, J.; Crippa, B.L.; Martins Alencar de Souza, V.V.; Perez Alonso, V.P.; da Motta Santos Júnior, E.; Siqueira Franco Picone, C.; Prata, A.S.; Cirone Silva, N.C. Antimicrobial Action of Oregano, Thyme, Clove, Cinnamon and Black Pepper Essential Oils Free and Encapsulated against Foodborne Pathogens. Food Control 2023, 144, 109356. [Google Scholar] [CrossRef]
- Milićević, Z.; Krnjajić, S.; Stević, M.; Ćirković, J.; Jelušić, A.; Pucarević, M.; Popović, T. Encapsulated Clove Bud Essential Oil: A New Perspective as an Eco-Friendly Biopesticide. Agriculture 2022, 12, 338. [Google Scholar] [CrossRef]
- Mahdi, A.A.; Al-Maqtari, Q.A.; Mohammed, J.K.; Al-Ansi, W.; Cui, H.; Lin, L. Enhancement of Antioxidant Activity, Antifungal Activity, and Oxidation Stability of Citrus Reticulata Essential Oil Nanocapsules by Clove and Cinnamon Essential Oils. Food Biosci. 2021, 43, 101226. [Google Scholar] [CrossRef]
- Hameed, M.; Rasul, A.; Waqas, M.K.; Saadullah, M.; Aslam, N.; Abbas, G.; Latif, S.; Afzal, H.; Inam, S.; Shah, P.A. Formulation and Evaluation of a Clove Oil-Encapsulated Nanofiber Formulation for Effective Wound-Healing. Molecules 2021, 26, 2491. [Google Scholar] [CrossRef] [PubMed]
- Campelo, M.d.S.; Melo, E.O.; Arrais, S.P.; do Nascimento, F.B.S.A.; Gramosa, N.V.; Soares, S.d.A.; Ribeiro, M.E.N.P.; da Silva, C.R.; Júnior, H.V.N.; Ricardo, N.M.P.S. Clove Essential Oil Encapsulated on Nanocarrier Based on Polysaccharide: A Strategy for the Treatment of Vaginal Candidiasis. Colloids Surf. A Physicochem. Eng. Asp. 2021, 610, 125732. [Google Scholar] [CrossRef]
- Sattary, M.; Amini, J.; Hallaj, R. Antifungal Activity of the Lemongrass and Clove Oil Encapsulated in Mesoporous Silica Nanoparticles against Wheat’s Take-All Disease. Pestic. Biochem. Physiol. 2020, 170, 104696. [Google Scholar] [CrossRef] [PubMed]
- Cetin Babaoglu, H.; Bayrak, A.; Ozdemir, N.; Ozgun, N. Encapsulation of Clove Essential Oil in Hydroxypropyl Beta-Cyclodextrin for Characterization, Controlled Release, and Antioxidant Activity. J. Food Process Preserv. 2017, 41, e13202. [Google Scholar] [CrossRef]
- Rajaei, A.; Hadian, M.; Mohsenifar, A.; Rahmani-Cherati, T.; Tabatabaei, M. A Coating Based on Clove Essential Oils Encapsulated by Chitosan-Myristic Acid Nanogel Efficiently Enhanced the Shelf-Life of Beef Cutlets. Food Packag. Shelf Life 2017, 14, 137–145. [Google Scholar] [CrossRef]
- Zhang, S.; Zhang, M.; Fang, Z.; Liu, Y. Preparation and Characterization of Blended Cloves/Cinnamon Essential Oil Nanoemulsions. LWT 2017, 75, 316–322. [Google Scholar] [CrossRef]
- Cui, H.; Zhao, C.; Lin, L. The Specific Antibacterial Activity of Liposome-Encapsulated Clove Oil and Its Application in Tofu. Food Control 2015, 56, 128–134. [Google Scholar] [CrossRef]
- Sebaaly, C.; Jraij, A.; Fessi, H.; Charcosset, C.; Greige-Gerges, H. Preparation and Characterization of Clove Essential Oil-Loaded Liposomes. Food Chem. 2015, 178, 52–62. [Google Scholar] [CrossRef] [PubMed]
- Chatterjee, D.; Bhattacharjee, P. Comparative Evaluation of the Antioxidant Efficacy of Encapsulated and Un-Encapsulated Eugenol-Rich Clove Extracts in Soybean Oil: Shelf-Life and Frying Stability of Soybean Oil. J. Food Eng. 2013, 117, 545–550. [Google Scholar] [CrossRef]





| References | [25] | [26] | [27] | [28] | |
|---|---|---|---|---|---|
| Geographic location | Shanghai, China | Marrakech, Morocco | São Paulo, Brazil | Nitra, Slovakia | |
| Extraction technique | SFE | HD | HD | SD | |
| Compound | Content (%) | ||||
| 1 | Eugenol | 55.28 | 82.16 | 97.98 | 82.40 |
| 2 | (E)-β-caryophyllene | 20.97 | 0.79 | 0.11 | 14.00 |
| 3 | Eugenol acetate | - | 16.55 | 1.01 | 0.90 |
| 4 | α-humulene | 7.08 | - | - | 1.80 |
| 5 | Caryophyllene oxide | 1.25 | - | - | 0.70 |
| 6 | 4-Hydroxy-2-methoxycinnamaldehyde | 1.08 | - | - | - |
| 7 | 1-thienylcyclohexene | 0.63 | - | - | - |
| 8 | Isoaromadendrene epoxide | 0.40 | - | - | - |
| 9 | α-farnesene | 0.36 | - | - | - |
| 10 | Camphor | - | 0.29 | - | - |
| 11 | Camphene | - | 0.21 | - | - |
| 12 | 4-methyl-1,3-Dioxolane | 0.04 | - | - | - |
| 13 | 4-(2-propenyl)-Phenol | 0.01 | - | - | - |
| Total | 87.1 | 100 | 99.1 | 99.8 | |
| Extraction Technique | Condition | Sample | CEO Yield (%) | Reference |
|---|---|---|---|---|
| SD | Time: 8–10 h Mass: 100 g | Clove buds | 10.10 | [18] |
| HD | Time: 4–6 h Mass: 100 g | Clove buds | 11.50 | [18] |
| SE | Solvent: absolute ethanol Time: 6 h Mass: 30 g | Clove buds | 41.80 | [18] |
| SFE | Temperature: 50 °C Pressure: 10 MPa Mass: 15 g | Clove buds | 19.56 | [18] |
| SE | Solvent: n-hexane Time: 6 h Mass: 10 g | Clove leaves | 1.90 | [64] |
| SFE | Temperature: 40 °C Pressure: 220 bar Time: 80 min Mass: 18 g | Clove leaves | 1.08 | [64] |
| SFE | Time: 210 min Temperature: 44.7 °C Pressure: 24.5 MPa Mass: 30 g | Clove buds | 17.90 | [65] |
| SFE | Time: 20 min Temperature: 40 °C Pressure: 15 MPa Mass: 12 g | Clove buds | 21.30 | [66] |
| SFE-cold pressing | Time: 20 min Temperature: 40 °C Pressure: 15 MPa Torque: 40 N·m Mass: 12 g | Clove buds | 22.20 | [66] |
| UAE-CO2 | Time: 30 min Temperature: 40 °C Pressure: 15 MPa Mass: 5 g | Clove buds | 22.04 | [67] |
| UAE-CO2 | Time: 2 h Temperature: 44 °C Pressure: 28.5 MPa Mass: 20 g | Clove buds | 23.19 | [68] |
| UAE-HD | Power: 750 W Frequency: 20 kHz Amplitude: 40% Time: 50 min Mass: 15 g | Clove buds | 15.23 | [60] |
| MAE | Power: 600 W Time: 30 min Volume of water: 200 mL Mass: 30 g | Clove buds | 13.11 | [21] |
| MAE-HD | Power: 1000 W Time: 80 min Ratio solid/water: 1/10 | Clove buds | 13.94 | [69] |
| MAE-SD | Power: 1000 W Time: 80 min Ratio solid/water: 1/10 | Clove buds | 12.71 | [69] |
| MAE | Time: 90 min Ratio solid/water: 1:40 Mass: 40 g | Clove buds | 16.00 | [63] |
| OAHD | Voltage gradient: 12.5 V/cm Time: 97.967 min Mass: 40 g | Clove buds | 13.18 | [20] |
| HD | Solvent: Distilled water Time: 97.53 min Mass: 40 g | Clove buds | 8.23 | [20] |
Disclaimer/Publisher’s Note: The statements, opinions and data contained in all publications are solely those of the individual author(s) and contributor(s) and not of MDPI and/or the editor(s). MDPI and/or the editor(s) disclaim responsibility for any injury to people or property resulting from any ideas, methods, instructions or products referred to in the content. |
© 2024 by the authors. Licensee MDPI, Basel, Switzerland. This article is an open access article distributed under the terms and conditions of the Creative Commons Attribution (CC BY) license (https://creativecommons.org/licenses/by/4.0/).
Share and Cite
Liñán-Atero, R.; Aghababaei, F.; García, S.R.; Hasiri, Z.; Ziogkas, D.; Moreno, A.; Hadidi, M. Clove Essential Oil: Chemical Profile, Biological Activities, Encapsulation Strategies, and Food Applications. Antioxidants 2024, 13, 488. https://doi.org/10.3390/antiox13040488
Liñán-Atero R, Aghababaei F, García SR, Hasiri Z, Ziogkas D, Moreno A, Hadidi M. Clove Essential Oil: Chemical Profile, Biological Activities, Encapsulation Strategies, and Food Applications. Antioxidants. 2024; 13(4):488. https://doi.org/10.3390/antiox13040488
Chicago/Turabian StyleLiñán-Atero, Rafael, Fatemeh Aghababaei, Samuel Rodríguez García, Zahra Hasiri, Dimitrios Ziogkas, Andres Moreno, and Milad Hadidi. 2024. "Clove Essential Oil: Chemical Profile, Biological Activities, Encapsulation Strategies, and Food Applications" Antioxidants 13, no. 4: 488. https://doi.org/10.3390/antiox13040488
APA StyleLiñán-Atero, R., Aghababaei, F., García, S. R., Hasiri, Z., Ziogkas, D., Moreno, A., & Hadidi, M. (2024). Clove Essential Oil: Chemical Profile, Biological Activities, Encapsulation Strategies, and Food Applications. Antioxidants, 13(4), 488. https://doi.org/10.3390/antiox13040488

