Abstract
This work investigated the effect of a plant-based phenolic supplement on the color, myoglobin forms, lipid oxidation, and antioxidative status of fresh and stored (10 days at 4 °C) meat (Longissimus thoracis et lumborum), as well as the antioxidative status of the blood and liver. The sensory quality of the meat was also evaluated for color, aroma, texture, juiciness, and palatability. Twenty-four finishing pigs, divided into two groups, were fed a basal diet and a diet with a phenolic supplement (0.1%). The supplementation increased the redness of the meat (+36% for a* and +28% for redness index), the myoglobin (Mb) content (+7%), the antioxidant activity, and the juiciness. The treatment increased the antioxidant status of meat, reflected by superoxide dismutase (SOD) activity and total glutathione (GSH + GSSG). The catalase and SOD activities and GSH + GSSG of the blood and liver were also elevated in the supplemented samples when compared to the control group. A significant effect of time was observed for all tested parameters (pH, color attributes, Mb forms, the antioxidant activity, lipid oxidation) except for the Mb content. For the stored samples, only TBARSs (thiobarbituric acid reagent substances) were affected by the diet. The slope of the plot for TBARS changes with time was significantly different between the control and treated groups (p = 0.017), which indicated a significant effect of dietary supplementation. A higher rate of lipid oxidation was observed in the control samples.
    1. Introduction
Nowadays, pork is one of the most widely consumed meat types in the world (35%) after poultry (39%), followed by beef (21%) and lamb (5%), as indicated by the United Nations Food and Agriculture Organization []. According to an OECD-FAO report, worldwide pig meat production reached 117 million tons of carcass weight in 2022 and is projected to increase by 11% to 129 million tons in 2032. Total pork meat consumption is also expected to grow by 11% reaching 93 million tons of retail weight in 2032 and is expected to become the second largest contributor to the total growth in meat consumption []. The constantly increasing demand for animal protein is leading producers to continuously improve feed efficiency, while lowering feed intakes and reducing costs, which is in line with the “Farm to Fork” strategy, pointing at sustainable food production []. However, faster growth of muscle tissues is often associated with the oxidative stress that affects meat quality. Thus, ensuring and maintaining a high quality of meat are key elements for both producers and consumers. The oxidative stress is induced in the living organism by the reactive oxygen species (ROS) and becomes, itself, a source of ROS that initiates the oxidation of muscle components and, thus, meat.
Lipid oxidation is the major cause of the quality decrease and reduced shelf life of meat products []. As an effect of lipid oxidation, primary products like alkyl, alkoxy, or peroxy radicals are produced; they may be ready for further reaction with other molecules. When oxidation proceeds, lipid peroxides could undergo scission to form secondary products, including aldehydes, ketones, and epoxides [,]. This process limits the acceptability of meat and meat products and negatively affects the sensory attributes, such as color, taste, odor, and nutritional value, due to a reduction in the fat-soluble vitamin content, changes in fatty acid composition, and, finally, food safety, such as the formation of toxic compounds [,,,]. Other meat components like pigments or proteins also undergo oxidative changes [,,,,,,,,].
Among meat proteins, myoglobin is a heme pigment in muscle cells that influences mostly the meat sensory quality and, thus, the product consumers’ assessment as the meat discoloration proceeds with the pigment oxidative modification [,,,]. Myoglobin consists of a globin chain and a heme iron center positioned in the hydrophobic pocket []. Generally, the oxidation of myoglobin refers to the oxidation of iron in the heme group []. Myoglobin in meat is present in three major redox forms depending on the iron valent state and the presence of a ligand at the sixth site of the iron atom, which are responsible for meat color. The three forms are a dark purplish-red/pink dexoymyoglobin—DeoMb; a bright-red oxymyoglobin—OxyMb; and a tan to brown metmyoglobin—MetMb [,].
The route of the interconvertion of myoglobin redox forms in fresh meat depends on oxygen availability, pH, and temperature [].
Many factors affect the oxidative stability of meat, including husbandry (breed, diet, muscles, etc.) and peri- and post-mortem factors (animal handling, transport, slaughtering, meat chilling and ageing, technological processes, packaging, and storage) [,].
Muscle tissue contains several endogenous enzymatic and non-enzymatic antioxidants, namely, enzymes, such as catalase, superoxide dismutase, glutathione peroxidase, or low-weight molecules like glutathione, which maintain redox balance in the organism. They also act as a post-mortem in meat to counteract and/or inhibit the oxidative stress induced during biochemical changes in muscles into meat. However, their activity decreases when oxidation proceeds []. To maintain meat quality during shelf-life and to increase its oxidative stability, various strategies have been applied.
An effective method of mitigating the effect of oxidation in fresh raw meat and maintaining its nutritional quality during handling is the use of antioxidants. Antioxidants can be applied in various manners, either directly through the addition to meat or indirectly as the result of nutritional interventions to animals. The active packaging with antioxidant active coatings is also extensively tested [,]. Plants or extracts of various plants are good sources of natural antioxidants [], and, generally, their addition to food meets consumers’ acceptance since they are found to be nontoxic [,]. Many studies and reviews have shown the beneficial effects of natural antioxidants in meat and meat products [,,,,]. However, the exogenous incorporation of some natural antioxidants into meat could affect its color [], which is a key attribute of consumers’ sensory assessment and could affect consumers’ decisions at purchase []. Moreover, the strategy is dedicated mostly to minced meat and not all retail cuts []. The second way to maintain meat quality and/or inhibit oxidation processes during handling is the endogenous application of antioxidants, i.e., the supplementation of animals’ diets with antioxidants. It was previously shown that an animal diet supplemented with bioactive compounds could affect meat quality, like meat color [], lipid and protein oxidation [,,], fatty acid content [,,], or enzymatic and non-enzymatic endogenous antioxidants [,,,]. The phytochemicals in tested extracts are phenolic compounds, namely, proanthocyanidins in grape seeds [,], flavonoids and other polyphenols in citrus by-products [] and mulberry leaves [], or tocopherols, carotene, and lycopene in tomatoes []. Phenolic supplementation could also affect the meat productivity by increasing growth performance []. It has also been reported that dietary supplementation with antioxidants has no effect on growth performance [,], meat quality parameters, including the oxidative stability of lipids [,] and proteins [], color [,,], and myoglobin forms [].
A number of plant-based supplements for animal nutrition are available on the market, designed to increase or maintain the feed efficiency and, at the same time, to counteract the oxidative stress in meat [,]. They are claimed to contain a mixture of the various antioxidant active compounds, including tocopherols, phenolic acids, and polyphenols, and to improve meat quality by inhibiting or reducing oxidative stress [,,]. The transfer of these bioactive compounds into meat tissue is hypothesized to improve the antioxidant properties of meat and increase its oxidative stability [].
Taking the above into account, the aim of this study was to determine the quality parameters of raw fresh meat (Longissimus thoracis et lumborum), namely color, myoglobin forms, lipid oxidation, and the antioxidative status in order to provide evidence for the use of a phenolic-rich supplement to the finishing diet of pigs as the source of the antioxidant active compounds. To this end, the antioxidant activity of the plant-based supplement was also tested. Additionally, to better show the effect of the diet on meat quality changes, parameters such as color, lipid oxidation, and myoglobin forms were determined during refrigerated storage (10 days at 4 °C).
2. Materials and Methods
2.1. Chemicals
2,2′-azinobis-(3-ethylbenzothiazoline-6-sulfonic acid) (ABTS), 1,1′-diphenyl-2-picrylhydrazyl (DPPH), Folin-Ciocalteu phenol reagent, gallic acid (GA), quercetin (Q), 6-hydroxy-2,5,7,8-tetramethylchroman-2-carboxylic acid (Trolox), 2-thiobarbituric acid (TBA), 1,1,3,3-tetramethoxypropane and organic solvents of HPLC grade were supplied from Sigma-Aldrich (Steinheim, Germany). All other chemicals were of analytical grade and collected from POCh (Gliwice, Poland).
2.2. Animal Handling, Experimental Design, Diets and Sampling
The experiment was conducted on a local individual farm in Wielkopolska Voivodeship, Poland. Twenty-four female piglets with an initial body weight of about 31 kg were individually penned indoors and randomly assigned into 2 groups, each of twelve animals (n = 12). Each pig was individually identified with a numbered ear tag. The experiment lasted 100 days and was divided into two stages: grower (48 days) and finisher (52 days). The raw material composition and chemical composition of the basal diet are shown in Table 1.
       
    
    Table 1.
    Composition and nutritional value of the basal diet in two phases (grower and finisher).
  
The control group received no supplementation during the whole experiment, while in the experimental group (P-suppl.), 0.1% wheat cereals were replaced (1 kg per ton) by the composition of the natural phenolic supplement described in patent no WO2020254391A1 []. The supplement is evaluated in the Section 2.5. The complete diets were formulated according to the recommendations of Gesellschaft für Ernährungsphysiologie []. The pigs had unlimited access to feed and water.
The health and welfare of the animals were monitored during the experiment. At the end of the experiment, all (24 females) were stunned by electric shock and killed via exsanguination in a commercial slaughter. The blood samples were taken during exsanguination and directly collected into Vacutainer Serum Separator Tubes (BD SST II Advance, Franklin Lakes, NJ, USA). The samples were incubated for 15 min at room temperature to clot, and then they were centrifuged for 10 min at 3500× g at 4 °C. Serum was transferred into new tubes, immediately frozen, and stored at −80 °C until future analysis. The liver samples were collected on a slaughter line. A fragment of the tissue was cut off from the right upper lobe of the liver, put into an Eppendorf tube (Eppendorf Tubes®, UltraCruz®, Merck, Darmstadt, Germany), immediately frozen (dry ice-Solid Carbon Dioxide), and stored at −80 °C until analysis. The carcass was subjected to a moderate, conventional chilling regime (1–4 °C; air velocity 0.5 m/s), which allowed for rapid chilling (−5 °C) within 2 h, measured in the coolers (160 cm above the floor of the cooler), where the carcass is usually placed. The Longissimus lumborum along the first nine vertebrae of the right carcass side was obtained 24 h after slaughter. The meat samples (about 2 kg) were packed into the polypropylene bags (CRYOVAC® packaging-safe bags, Cryovac Inc., Elmwood Park, NJ, USA, especially for food thickness < 100 µm) and transported within 1.5 h to the laboratory at 4 °C. The samples were stored in an ST 1/11 storage cabinet (Pol-Eko, Wodzisła Śląski, Poland) at 4 °C in the dark until the next day, except for meat intended for the antioxidant status analysis, for which the samples were immediately frozen and stored at −80 °C (dry ice).
2.3. Ethical Statement
Pigs were kept in accordance with the guidelines of the European Union Directive (2010/63/EU). All procedures were reviewed with the guidelines of the Local Ethical Committee for Experiments on Animals in Poznań regarding animal experimentation and the care of animals, but individual approval for this trial was not required because of the commercial production standards used in this study. All biological samples were collected after slaughter.
2.4. Feed Analyses
The feed mixtures used in the experiment were analyzed chemically twice (n = 2). A Retsch Zm 200 ultra-centrifugal mill (Retsch, Haan, Germany) with 1.0 mm sieves was used to grind the feed material. The material was analyzed for crude protein, crude fat, crude fiber, crude ash, dry matter, and total Ca and P. Methods 976.05, 942.05, 97.1, 2003.05, 935.13, and 965.17 were, respectively, used according to [,]. The determination of amino acids (lysine—Lys and methionine—Met) was performed according to the methodology described by Szkudzińska et al. [].
2.5. Antioxidant Activity and Phenolic Compound Content of the Supplement
Next, 0.25 g of the plant-based natural supplement with polyphenols (P-suppl.) was extracted with 40 mL of 25% aqueous methanol for 30 min at ambient temperature on the magnetic stirrer (MS–H–Pro plus, Chemland, Stargard, Poland) with electronic control for constant speed. Then, after filtration through paper filters (type 388 filter, Filtrak, Niederschlag Bärenstein, Germany), the supernatant was collected and used for further analyses. Three separate extractions were performed.
The antioxidant activity of the sample was determined using three different methods, namely the DPPH, TEAC (Trolox equivalent antioxidant capacity), and FRAP (ferric-reducing antioxidant power).
The DPPH method was performed according to the procedure by Sànchez-Moreno et al. []. Briefly, the 0.1 mmol DPPH radical was generated in methanol and mixed with the extract in a ratio of 100:1. After 30 min of incubation in the dark at room temperature, the absorbance readings were collected at 515 nm (spectrophotometer Cary 1E, Varian, Belrose, Australia) using methanol for zero instrument calibration.
The TEAC method is based on the scavenging of ABTS+• cation radicals by the antioxidants [,]. The ABTS+• radical cation was generated with potassium disulphate, as indicated previously []. The absorbance of 100-times-diluted extract in 4% ABTS+• in PBS (phosphate buffer saline, pH 7.4) was measured at 734 nm after 6 min of incubation in the dark. PBS was used for zero calibration of the instrument.
The FRAP assay was provided by Benzie and Strain []. The extract was mixed with the ferric tripyridyltriazine complex, and, after 15 min incubation at 37 °C, the absorbance was read at 593 nm. Acetic buffer was used to zero the spectrophotometer.
All results of the antioxidant activity measurements were expressed as TEAC values in µM Trolox/g supplement.
Total phenolic content (TPC) was determined spectrophotometrically based on the absorbance reading at 765 nm. The procedure of sample preparation was performed according to Singleton and Rossi [] and described in detail by Muzolf-Panek et al. []. The results were expressed as mg gallic acid equivalent (GAE) per g of the supplement.
Total flavonoid content (TFC) was measured at 410 nm using the aluminum chloride method [] described in our previous study []. Results were expressed as mg quercetin equivalent (QE) per g of supplement.
2.6. Meat Quality Determination
The analyses of fresh meat were conducted 48 h post-mortem. They included nutrient composition, water holding capacity, cooking loss, drip loss, cutting force (first three vertebrae), pH, color, myoglobin (Mb) content, myoglobin forms, the antioxidant activity, lipid oxidation, and sensory analysis (six vertebras). The color of meat 48 h post-mortem was measured just after cutting.
Measurements of pH after 45 min of slaughter (pH 45 min) and pH after 24 h of slaughter (pH 24 h) were performed to diagnose, with high probability, meat with the normal course of glycolysis (RFN—red, firm, normal meat) obtaining high-quality characteristics and to separate it from meat showing quality abnormalities of PSE (pale, soft exudative meat) or DFD (dark, firm, dry meat) types.
To monitor the meat quality during storage, the meat samples were divided into five 3 cm thick steaks (48 h after slaughter), each packed into 0.07 mm thick polypropylene bags (CRYOVAC® packaging-safe bags) and stored in a ST 1/11 storage cabinet (Pol-Eko, Wodzisła Śląski, Poland) at 4 °C in the dark for 10 days. The analyses, namely pH, color, the Mb content, proportion of myoglobin forms, the antioxidant activity, and lipid oxidation, were performed on days 1, 4, 7, and 10 of storage, taking 48 h post-mortem as the starting point (coded as day 1 of storage). The same chops were analyzed for color, reflectance spectra, and pH at repetitive times. Other measurements (lipid oxidation, the antioxidant activity, and the Mb content) were made on one of the four prepared chops at given specific time points (days 1, 4, 7, and 10).
2.6.1. Basic Chemical Composition
To determine the water content of meat, the drying method at 105 °C was used to determine the constant weight []. Fat content was determined using the Soxhlet method using petroleum ether extraction, and the results were expressed as a percentage of raw meat []. The Kjeldahl method was used to determine the total protein content [].
2.6.2. Water Holding Capacity
Water holding capacity was determined by the method of Grau-Hamm [], as modified by Pohja and Niinivaara []. A sample of about 1 g of meat was pressed with a 5 kg weight for 5 min; the parameter was determined by the difference in the weight of the sample.
2.6.3. Drip Loss
Drip loss in % was measured by the difference in weight of samples (a slice of fresh meat weighing about 50 g) before and after 48 h of storage at 4 °C in plastic bags.
2.6.4. Cooking Loss
Cooking loss was analyzed according to the Baryłko-Pikielna method []. Samples of fresh meat with an initial weight of about 300 g were placed into plastic bags and then heated in water until the internal temperature of the meat reached 70 °C. After removal from water, the samples were cooled and then weighed again. The result was calculated based on the difference in weight expressed as a percentage to the raw sample.
2.6.5. Cutting Force (Texture)
The cutting force of cooked meat samples (cooking condition in Section 2.6.4) was measured using a Zwick Roell instrument (Zwick Roell, Ulm, Germany). The cutting force measurements were made with the Warner-Bratzler V-shaped blade attached to the TA.XT Plus Texture Analyser (Stable 136 Micro Systems, Godalming, UK; test speed 2 mm/s; distance 20 mm; force 20 g). The muscle samples were cooled (to 4 °C) and stored overnight prior to cutting force determination. The Zwick Roell Z0.5 was used with a load of 500 kN and a measuring speed of 100 mm/min. The cutting force was measured parallel to the muscle fibers on cooked meat samples prepared by cutting cylindrical samples (25.4 mm radius) from the meat.
2.6.6. pH Measurements
The pH was measured using an Elmetron CP- 551 pH-meter with the ERH-12-6N electrode (Elmetron, Zabrze, Poland) after calibration with pH = 4 and pH = 7 buffers. The electrode was embedded in the 3 cm thick cut (Longissimus thoracis et lumborum) at a depth of 1.5 cm. Three measurements were made for each meat cut, each time placing the electrode in a different part of the cross-section of a loin.
2.6.7. Marbling Score
Marbling was assessed according to the standard on a 5-point scale with the following explanations: 1 point—invisible marbling, 2 points—weakly marbling, 3 points—moderate marbling, 4 points—strong marbling, 5 points—very strong marbling.
2.6.8. Color Analysis
Instrumental color measurements were carried out using a CM-5 Konica Minolta spectrophotometer (Konica, Tokyo, Japan) with SCE (Specular Component Included) mode, 30 mm diameter measurement area, D65 illuminant, and 10° standard observer. Three automatic measurements were made on the 3 cm thick chops, and the mean values of the color coordinates in the CIE L*a*b* color space (lightness, L*; redness, a*; yellowness, b*; chroma, C and hue angle, h) were obtained. The redness index was calculated as the ratio of a*/b*, and reflectance spectra (360 nm–740 nm) were monitored. Color measurements on the first day of storage (i.e., 48 h post-mortem) were performed on freshly cut chops to monitor DeoMb, which is easily oxygenated in the presence of oxygen. The samples were then packed into the propylene bags (CRYOVAC® packaging-safe bags) and stored at 4 °C in the dark for color measurements on days 4, 7, and 10 of storage.
2.6.9. Determination of Surface Myoglobins
Determination of surface myoglobin forms was carried out from reflectance spectra using a CM-5 Konica Minolta spectrophotometer in a range of 360–740 nm, as previously described [,]. The reflectance readings were converted to reflex attenuation as log (reflectance) and used in the equations of Krzywicki [] to determine the percentage contribution of MetMb, OxyMb, and DeoMb.
2.6.10. Determination of Total Myoglobin (Mb)
The determination of total myoglobin (Mb) content in the meat was based on the method of Krzywicki [] and Trout []. Briefly, 5 g of meat was mixed with 40 mmol phosphate buffer pH 6.8 in a 1:5 (m/v) ratio. The samples were homogenized using an Ultra-Turrax T25 homogenizer (IKA, Staufen, Germany) (16,000 rpm) for 30 s and centrifuged at 3500 rpm at 4 °C for 30 min. After filtration, absorbance was measured at 525 nm and 700 nm. The Mb concentration was calculated using Equation (1):
      
        
      
      
      
      
    
          where  is the millimolar extinction coefficient for Mb at 525 nm and MMb is the average molecular mass of Mb in kDa.
2.6.11. Thiobarbituric Acid Reagent Substances (TBARS)
Lipid oxidation of meat was evaluated based on the method of Mielnik et al. [], with some modifications [,]. The procedure was described in detail in our previous study []. To avoid TBARS value overestimation resulting from interfering compounds (flavonoids) present in the sample, 5 mL of the samples was mixed with 5 mL of distilled water (no TBA), and the absorbance was measured at 532 nm []. The TBARS values were calculated from the standard curve of MDA (malonodialdehyde) obtained from the oxidation of 1,1,3,3-tetramethoxypropane. When calculating the TBARS values, the final absorbance values were corrected by the absorbance values of the samples without TBA. The final results were expressed in mg of MDA per kg of meat.
2.6.12. Antioxidative Status (DPPH Antioxidant Activity, Enzyme Activity and Total Glutathione)
The antioxidant activity of meat was determined using the DPPH method []. Briefly, 0.05 g of meat was mixed with 5 mL of 0.04% DPPH in methanol and kept at ambient temperature for 30 min. Then, samples were centrifuged at 1400 rpm for 10 min, and the absorbance was measured at 515 nm using methanol as a blank sample.
The content of low-molecular-weight antioxidants such as total glutathione (GSH + GSSG) and the activity of the antioxidant enzymes such as CAT (catalase) and SOD (superoxide dismutase) in meat were measured spectrophotometrically according to the established procedures described in detail in the literature [,,].
2.6.13. Sensory Analysis
The sensory evaluation of cooked meat was performed by a team (panel of judges with proven sensory sensitivity) of 5 selected and trained panelists, consisting of employees of the Prof. Wacław Dąbrowski Institute of Agricultural and Food Biotechnology in Warsaw, using a five-point hedonic scale according to the methodology described in ISO (International Standard Organization) standards [,,]. The assessors participated in three specific one-hour training sessions before the test sessions following ISO standards [,,]. The assessment was carried out in daylight at room temperature, with a maximum of 10 samples per session. Three test sessions were performed. Samples were coded with random numbers and given in randomized duplicates. The panelists used a list of qualitative descriptors established at a special session (based on AMSA guidelines []) for the sensory attributes: color, aroma, tenderness, juiciness, and palatability. The following grading scale was used: the aroma of pork: 1 point absence (not typical for pork meat, strong deviation from the quality), 5 points intense (typical for pork meat, no deviation from the quality descriptors), tenderness: 1 point very tough, 5 points very tender, juiciness: 1 point very dry, 5 points very juicy, color: 1 point not typical for pork meat (strong deviation from quality descriptors), 5 points typical for pork meat (no deviation from quality descriptors), palatability: 1 point very poor (not typical for pork meat, strong deviation from the quality descriptors), 5 points excellent (typical for pork meat, no deviation from the quality descriptors), where 3 points is the threshold for each characteristic.
2.7. Antioxidative Status of Blood and Liver Tissues
2.7.1. Determination of Enzyme Activities and Total Glutathione
The content of GSH + GSSG and the activities of CAT and SOD in blood and liver were measured as described for meat samples in Section 2.6.12. The antioxidant activity of blood expressed as ferric-reducing antioxidant power (FRAP) was determined using Benzie and Strain method [].
2.7.2. Lipid Peroxidation
The lipid peroxidation product (MDA) in blood and liver was determined using the methods described by Esterbauer and Cheeseman [].
2.8. Statistical Analysis
Statistical analyses were performed using Statistica 13.3 software (StatSoft, Tulsa, OK, USA). The Student t-test was used to check the effect of dietary supplementation of pigs with phenolics on tested parameters of fresh meat. Repeated measures ANOVA was performed for color and pH measurements to monitor the effect of time and sample on the parameters tested. The uniformity of variance was tested using the Cochran–Bartley test, and Mauchly’s test was used to test the assumption of sphericity. The Greenhouse–Geiser correction was applied for lack of sphericity. The correlation between the parameters was shown using r Pearson’s correlation coefficients. Principal component analysis (PCA) was used to gain further insight into meat quality.
Multivariate linear regression (MLR) analysis was used to show the effect of time and diet on pH, TBARS values, the Mb content, the antioxidant activity, and surface myoglobins. To compare the rates (slope of the regression equation) of parameter changes with time between the control and treated samples (showing the effect of diet), an equation was used:
      
        
      
      
      
      
    
        where: y—variable value (pH, TBARS, Mb, DPPH, DeoMb, MetMb); β0—intercept for control; β1—regression coefficient for control sample; β2–3—regression coefficient for dummy variables; t—time; D—first dummy variable for diet (0 or 1); Dt—second dummy variable (product of the first dummy variable and time); ε—standard estimation error.
For each parameter, comparisons were made between the regression coefficients of the control and treated sample (P-suppl.), introducing two dummy variables as predictors in the regression analysis. The first dummy variable was coded as 0 for control and 1 for the P-suppl. sample, and the second dummy variable was the product of the first dummy variable and time. Equation (2) was modified as followed:
      
        
      
      
      
      
    
      
        
      
      
      
      
    
Thus, the null hypothesis that the two slopes are equal (no effect of diet) is equivalent to β3 = 0. The t-test was used to evaluate the significance of the regression coefficients for dummy variables. Discrimination coefficients (R2) were used to assess curve fitting and ANOVA to evaluate the significance of linear regression. The level of significance for all analyses was set at α = 0.05.
3. Results
3.1. The Antioxidant Activity and Phenolic Content of the Supplement
The plant-based supplement with phenolics (P-suppl.) for animal nutrition shows a potent antioxidant activity, expressed through different methods, namely 2430.3 ± 308.27 μmol/g for TEAC, 1949.1 ± 90.06 μmol/g for DPPH and 1153.7 ± 52.76 μmol/g for FRAP. The antioxidant activity is the result of the high phenolic content since the TPC value is 150.05 ± 3.5 mg GAE/g, including TFC = 55.67 ± 1.32 mg QE/g. The total phenolic content was about 15% of the P-suppl. mass.
3.2. Fresh Meat Quality Attributes
The quality parameters of fresh meat are shown in Table 2.
       
    
    Table 2.
    Fresh meat quality attributes.
  
There were no statistically significant differences between the groups in the chemical composition of meat and other physicochemical properties (p > 0.05). Although the drip loss was lower in meat of the pigs fed a phenolic-rich diet (5.41%) than in those from the control group (6%), the differences were statistically insignificant due to high variability. The cutting force was higher in the P-suppl.-treated group than in the control group, which is related to higher pH values (pH 5.88 and 5.84 for treated and control group, respectively), but, again, the differences were not significant.
3.3. Color Profile of Fresh Meat
As demonstrated in Table 3, a statistically significant effect of the diet was observed in terms of the a*, h, C, RI, and Mb parameters.
       
    
    Table 3.
    Color parameters of fresh meat.
  
Following the supplementation of the diet with the phenolic-rich additive, a significantly higher redness was observed in the meat muscles than in the control group. Significantly higher a* and RI values and significantly lower h values for the experimental group were observed in comparison to the control sample. The Mb content was observed to be slightly higher in the treated group than in the control. The treated samples are, therefore, slightly darker than the control sample, with the difference reflected in the L* values.
The contribution of meat pigments—various myoglobin forms—in the tested samples is shown in Figure 1. The supplementation of the porcine diet with polyphenols did not result in significant changes in the myoglobin forms. The predominant form was DeoMb, the purplish-red-colored pigment, which is characteristic for the fresh-cut meat. The proportion of bright-red OxyMb was approximately 9% in both samples. Similarly, the proportion of brown MetMb was approximately 10%, with no significant differences between the control and treated samples (p = 0.65).
      
    
    Figure 1.
      Contribution (%) of various myoglobin forms. DeoMb, deoxymyoglobin; OxyMb, oxymyoglo-bin; MetMb, metmyoglobin. Each profile represents the mean values (n = 12).
  
When analyzing the reflectance spectra of the control and treated samples (Figure 2), a slight difference was observed in the shape of the reflectance curve profile.
      
    
    Figure 2.
      Reflectance spectra of fresh meat. Each profile represents the mean values (n = 12).
  
From the reflectance profile of the control sample, the characteristic spectra of DeoMb could be observed, with the minimum reflectance occurring in the 540–580 nm region. In the case of the treated sample, a slight decrease in reflectance values was observed within a range of 410 to 580 nm, accompanied by a shift in the maximum reflectance peak from 480 nm to 490 nm when compared to the control. This finding could indicate OxyMb formation.
Furthermore, the ratio of 630 nm to 580 nm yielded a higher value for the treated sample (2.27) than for the control (2.14). A higher ratio indicated a greater redness, which could be attributed to either OxyMb or DeoMb (it is not specific for OxyMb, since DeoMb is more red than MetMb at 630 nm []). This finding is consistent with the color parameters presented in Table 3.
3.4. Oxidative Stability Parameters of Fresh Meat
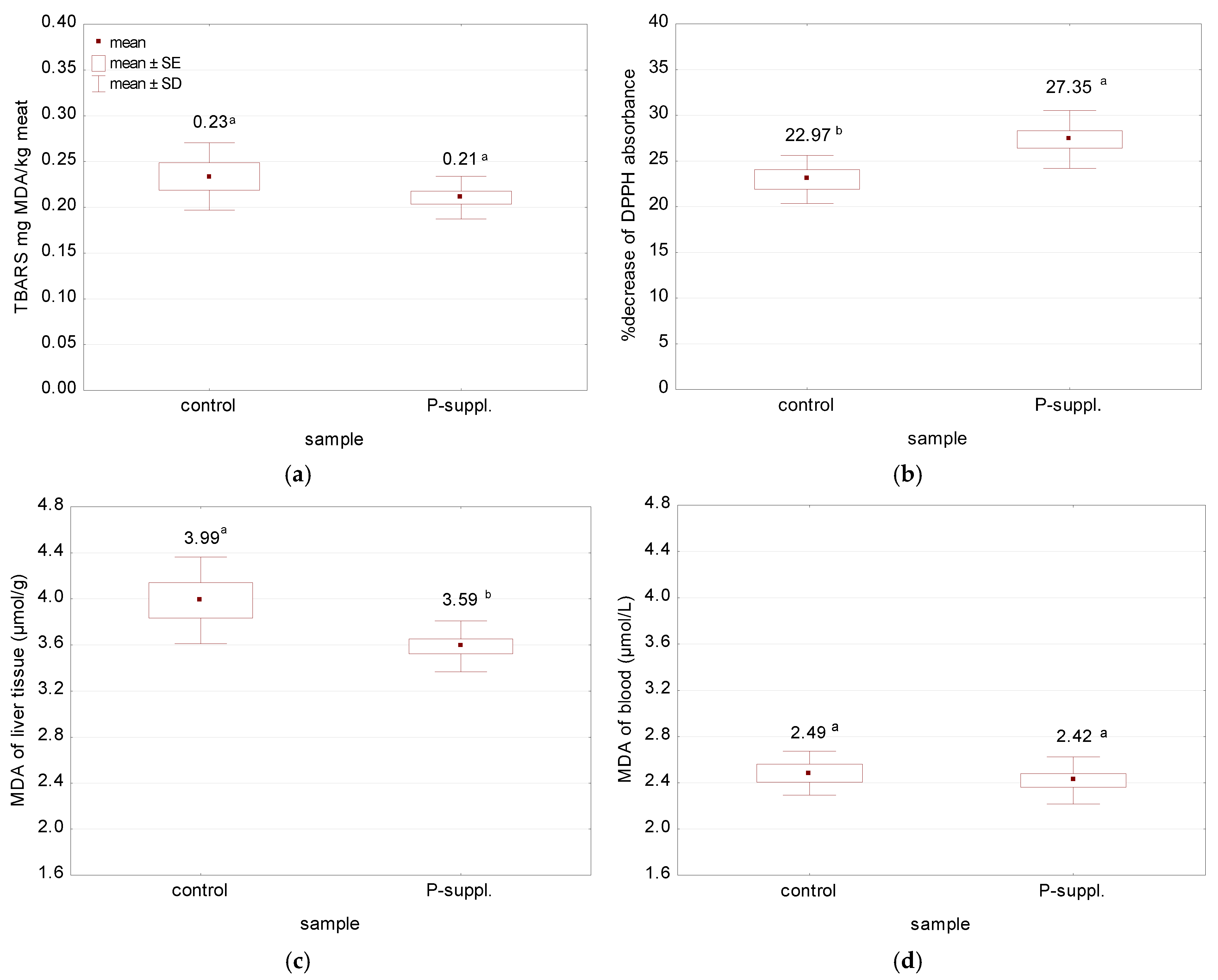
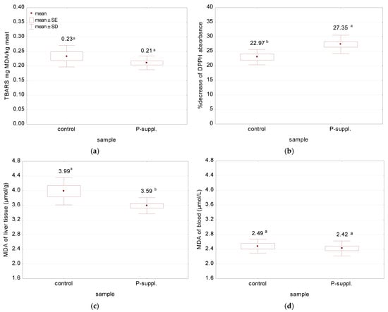
It has been previously reported that the addition of a phenolic-rich supplement to the animal diet may result in an increase in the oxidative stability of meat and other tissues. Consequently, the extent of lipid peroxidation was expressed as MDA content; the activities of antioxidant enzymes (CAT, SOD) and total glutathione (GSH + GSSG) were measured in the blood, liver, and meat samples. Furthermore, the antioxidant activity of the meat was assessed using the DPPH method, while the antioxidant potential of the blood was determined using the FRAP method. The results are illustrated in Figure 3 and Table 4.
      
    
    Figure 3.
      Effect of diet on: (a) lipid oxidation of meat by TBARS; (p = 0.132); (b) the antioxidant activity of meat measured by DPPH method (p = 0.011); (c) lipid peroxidation of the liver tissue (p = 0.011); (d) lipid peroxidation of the blood (p = 0.535), where p ≤ 0.05 indicates a statistically significant effect of the diet. a,b the same lower superscript letters indicate a lack of statistically significant differences between samples (within tested parameters). TBARS, thiobarbituric acid reactive substances; MDA, malonodialdehyde; DPPH, 1,1’-diphenyl-2-picrylhydrazyl; SE, standard error; SD. Standard deviation.
  
       
    
    Table 4.
    Antioxidant status-related parameters of blood, liver and meat of pigs.
  
A detailed analysis of the data presented in Figure 3 revealed a significant effect of dietary supplementation with phenolics on the antioxidant activity of meat (Figure 3b) and the MDA content of the liver (Figure 3c). The antioxidant activity of the meat was higher in the phenolic-supplemented group than in the control group, which was reflected by the higher percentage decrease in DPPH absorbance. However, the diet did not influence the lipid peroxidation of meat, although the TBARS values of the treated sample were lower than for the control one (Figure 3a). Furthermore, no statistically significant correlation was found between TBARS and the antioxidant activity of meat (r = −0.158, p = 0.513). The level of lipid peroxidation in liver tissues was significantly higher in the control sample in comparison to the P-suppl. sample, with MDA contents of 4.46 and 3.89 μmol/g, respectively (Figure 3c). No significant differences in MDA content were observed between the control and treated groups in the blood samples (Figure 3d).
The antioxidative status of samples is presented in Table 4. In blood and liver tissues, CAT, SOD activities, and GSH + GSSG content increased significantly in the phenolic-supplemented groups (p ≤ 0.05). The supplementation was also observed to enhance the antioxidant activity of the blood, as evidenced by an increase in FRAP values in the treated samples. In the meat of P-suppl. pigs, the SOD activity and GSH + GSSG content were significantly higher than in the control group, but the CAT activity was lower. These parameters were highly correlated with the DPPH antioxidant activity (with the correlation coefficients r = 0.529 and p = 0.024 for SOD; r = 0.517 and p = 0.024 for GSH + GSSG; and r = −0.539 and p = 0.021 for CAT).
3.5. Sensory Analysis of Fresh Meat
The meat was characterized by high scores on a five-point scale. The results are illustrated in Figure 4.
      
    
    Figure 4.
      Sensory analysis profile of the control and phenolic-supplemented meat samples.
  
The lowest scores were for juiciness (3.44 and 3.77 for the control and P-suppl. group, respectively), while the highest were for aroma (4.34 and 4.36 for the control and P-suppl. group, respectively). The supplementation of the pigs’ diet with phenolics was found to significantly increase the juiciness of the meat (p = 0.007). No significant effect of the diet was observed for the other sensory attributes.
3.6. Multivariate Analysis of Fresh Meat Quality Parameters
To put more insight into the dataset, PCA was performed. To this end, the selection of variables (according to their importance) for multivariate analysis was performed using the data mining tool in Statistica 13.3 software. The four principal components (PCs) had eigenvalues above 1, with the first two explaining 66% of the total variability. Based on the loaded values, showing the correlations between components and variables, it could be stated that the a* (−0.83), CAT (0.86), SOD (−0.92), and GSH + GSSG content (−0.88) of the meat determined the sample distribution along PC1 (Figure 5).
      
    
    Figure 5.
      PCA results (biplot) of fresh meat for the variables and scores.
  
The L*, Mb content, and MetMb variables distributed the samples along PC2 with correlation coefficients of 0.82, −0.86, and −0.72, respectively. Figure 5 also illustrates the projection of the scores on the factor plane. PC1 enabled us to separate the P-suppl. samples (on the left of PC1 axis, in a green circle), with the highest SOD activity, GSH + GSSG content, and DPPH antioxidant activity, from the control group (with the highest TBARS and CAT activity values).
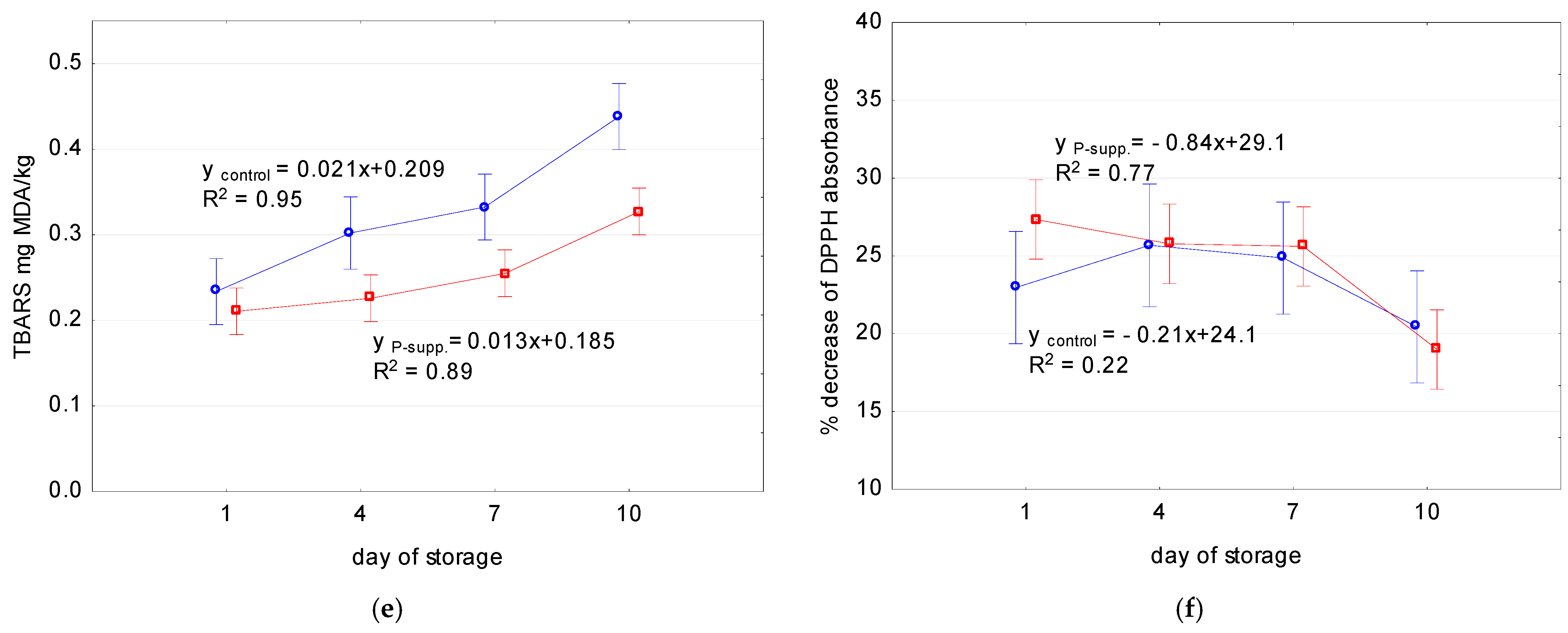
3.7. Effect of Storage Time on Meat Quality
The storage quality of fresh meat is crucial for consumers, and, thus, the pH, color, and pigment content, as well as TBARS values and the DPPH antioxidant activity of meat, were monitored over time. The results are presented in Table 5 and Figure 6.
       
    
    Table 5.
    Effect of storage time on meat color parameters.
  

      
    
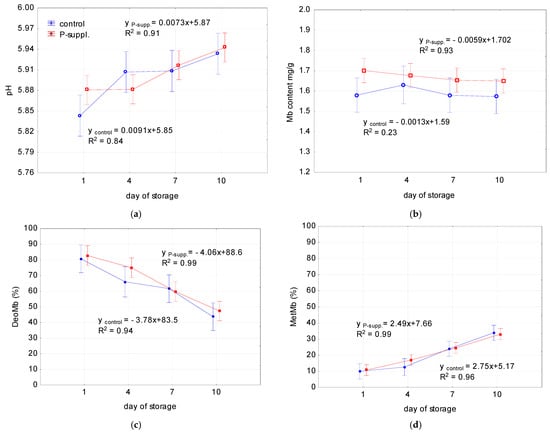
    Figure 6.
      Effect of time on: (a) pH; (b) myoglobin (Mb) content; (c) deoxymyoglobin (DeoMb); (d) metmyoglobin (MetMb) (e) lipid peroxidation (TBARS); (f) DPPH antioxidant activity of control (blue) and treated sample (red). R2, determination coefficient.
  
A statistically significant effect of time was observed for all the parameters tested, with the exception of the Mb content and the antioxidant activity of the control samples (Table 6). The lipid peroxidation of meat, as indicated by the TBARS values, was also influenced by dietary supplementation, which was proved by the significant differences between the control and P-suppl. slopes for the linear regression models (Table 6).
       
    
    Table 6.
    Regression analysis with the fixed effect as diet and random effect as pig ID.
  
A significant increase in L*, a*, b*, C*, and RI was observed during the storage period. The Abs525 nm value (reflecting meat pigmentation) and the h value both demonstrated a significant decline over time.
As illustrated in Figure 6a, the pH values of both samples increased over time, reaching a value of about 5.94 on the 10th day. The Mb content ranged from 1.57 mg/g to 1.70 mg/g, with the phenolic-supplemented group exhibiting a higher level (1.65–1.70 mg/g) than the control group (1.57–1.58 mg/g). However, the parameter remained unaffected by time and sample (Figure 6b). The percentage of DeoMb decreased, while the percentage of MetMb increased with time. No statistically significant differences were observed between the control and supplemented groups (Figure 6c,d). The extent of lipid peroxidation in meat (Figure 6e) increased during storage, reaching the maximum TBARS values on the 10th day (0.44 and 0.33 mg MDA/kg for control and P-suppl. samples, respectively). The slope of the plot for TBARS with time of storage was significantly higher in the control sample than in the P-suppl. group (Table 6) indicating a significant effect of diet on TBARS values. Although the DPPH antioxidant activity was higher in the phenolic-supplemented sample on the first day of storage, the differences between the control and dietary-modified group were no longer observed on other days of storage (Figure 6f). The antioxidant activity of the control and P-suppl. samples decreased with time, and the decrease was most pronounced between the 7th and 10th days of storage.
4. Discussion
Several studies have investigated the effect of natural antioxidant supplementation of finishing pig diets on meat quality [,,,,]. However, the data still give inconclusive results. Plant-based supplements for animal nutrition, which are available on the market, aim at increasing or maintaining feed efficiency and, at the same time, counteracting oxidative stress in meat. They are claimed to contain a mixture of various naturally occurring antioxidant active compounds, including tocopherols, phenolic acids, and polyphenols, and to improve meat quality due to an inhibition or reduction in oxidative stress. Thus, this study investigated the effect of a commercially available phenolic supplement in the finishing diet (0.1%) of pigs on meat quality, expressed as proximate composition, pH, color, myoglobin forms, and the antioxidative status, as well as the oxidative stability during storage.
As reported by others, the proximate composition of meat [,] and marbling scores [,,] were unaffected by the dietary modification with natural extracts. A concentration-dependent effect was previously observed, as high dietary doses of natural antioxidants increased crude protein in pork []. The marbling score is related to the eating quality of meat and is, therefore, often correlated with sensory characteristics, such as tenderness or juiciness []. In our study, there was no correlation between the marbling score and juiciness or tenderness.
The pH of meat indicates its quality, affecting the color, water retention, tenderness, and sensory properties []. In this study, the differences between the pH values of the two groups tested were not statistically significant. Our findings are consistent with those of O’Grady et al. [], who showed that a diet containing grape seed extract and bearberry did not affect the pH values, or with those of Cheng et al. [], who reported no effect of oregano essential oil supplementation on pH. However, others reported a significant effect of animal nutrition with natural antioxidants on the pH of meat []. Dietary grape seed supplementation of finishing pigs resulted in an increase in pH [], which was related to the effect of supplementation on the muscles’ glycolytic potential and lactase content [].
Cooking loss and drip loss are of great importance for the water retention capacity of the muscles, which is closely related to pH and, thus, to meat quality, especially sensory characteristics (tenderness) []. In particular, as indicated by Zeng et al. [], a decrease in pH at 45 min is associated with an increase in drip loss, which negatively affects meat quality. Although the values of cooking loss and drip loss were lower in this study after phenolic supplementation than in the control sample, the differences were not statistically significant. Cooking loss and drip loss did not correlate with water holding capacity (r = −0.31 and r = 0.14 for the correlation with cooking loss and drip loss, respectively), either with the cutting force (r = −0.31 and r = 0.06, respectively) or pH 45 min (r = −0.04 and r = −0.36, respectively). Our results are in agreement with the results of Xu et al. [], who reported no effect of grape seed supplementation on cooking loss and drip loss. Others reported that the addition of mulberry leaves to pigs’ diets tended to significantly decrease cooking loss, drip loss, and shear force [] or the addition of oregano essential oil decreased cooking loss and drip loss []. A significant reduction in shear force after supplementation with natural antioxidants was reported by Xu et al. []. Interestingly, the lower the drip loss, the higher the DPPH antioxidant activity of meat. r-Pearson’s coefficient for the correlation is r = −0.56 and is statistically significant (p = 0.015). The correlation between drip loss and body antioxidative status was also noted after pig diet supplementation with mulberry leaf extract [] or with oregano oil []. This could be an effect of the antioxidant activity of the supplement. The phenolic compounds from the supplement could protect the integrity and, thus, decrease the permeability of cell membranes due to the inhibition of lipid and/or protein oxidation [].
The color of meat is a very important quality attribute that affects consumers’ decision at purchase and consumers’ perception of meat []. In our study, dietary supplementation did not affect the L*, b*, and Abs525 nm of meat, but it increased the a*, C, and RI and decreased the hue angle. This is consistent with the studies of Xu et al. [], who showed no differences in the lightness and yellowness of meat among the control and grape-seed-supplemented groups, whereas dietary modification with a phenolic-rich supplement increased the a* of pork from 5.7 to 6.85. The observed increase in redness after phenolic supplementation could be an effect of the anthocyanins, the dominant group of flavonoids in the tested supplement, as indicated by the producer. Anthocyanins are plant-derived pigments that give a red to purple-blue color, with a maximum absorbance at 520–550 nm and maximum reflectance at around 580–650 nm. They are found as potent antioxidants among flavonoid compounds. These plant pigments could be present in the intact form in the pig tissues after fasting the animals with the anthocyanin-rich diet, which has been previously reported by Kalt et al. []. As well as giving a specific color to the meat samples, they also act as antioxidants and protect myoglobin from oxidation, which affects the color of the meat. Scerra et al. [] reported that feeding pigs with the bergamot by-product did not affect color parameters (lightness, redness, yellowness, chroma, and hue angle). Similarly, the addition of mulberry leaf extract to the pig diet had no effect on the color parameters []. Introducing tomato pomace to the finishing pig diet did not influence the chromatic color attributes of meat (a* and b*) but significantly reduced the L* values from 53.5 to 50.3 [].
Lightness is an achromatic color attribute, and the lightness of meat depends on the total amount of light absorbed (achromatically and chromatically) or reflected from its surface []. Thus, the lightness of meat depends on the content of pigments in tissues and the meat surface and structure []. It was previously observed that lightness is inversely correlated with the content of Mb []. In our study, L* was significantly correlated with redness (a* and RI parameters), hue angle, and Mb content. The higher the Mb content of fresh meat, the higher the redness and the lower the lightness. The correlation coefficients were −0.53 (between L* and a*), −0.69 (L* and RI), 0.69 (L* and h), and −0.99 (L* and Mb content). In this study, the L* of fresh meat was also inversely related to MetMb (r = −0.43, p = 0.075), which is in agreement with the studies of Biondi et al. [], who reported that MetMb formation decreased the lightness of meat. However, others did show that MetMb formation on the meat surface increased lightness, albeit this increase gives the impression of a lightness reduction due to changes in the hue angle from red to dark red/brown [].
The color of meat is determined by the changes in the myoglobin forms. The interconversion of myoglobin from the ferrous forms (DeoMb and OxyMb) to the ferric form (MetMb) is often correlated with lipid peroxidation []. Thus, lipid oxidative changes could cause color alterations, mostly meat discoloration. Significant correlations between the a* and Mb content (r = 0.55) as well as the a* and MetMb (r = 0.58) were observed. Surprisingly, in our study, no other correlations were noticed between the color parameters of fresh meat and surface myoglobins or with TBARS values. Oxidized MetMb contributed to only 10% of total Mb forms in our study. The predominant form of myoglobin in the pork samples was DeoMb (around 80%), indicating a very good quality of meat and reflecting its freshness []. According to the survey on consumers’ expectations at purchase, 29% of them preferred the light-red color of meat [].
The lipid oxidation of fresh pork meat, expressed as TBARS values, was unaffected by dietary supplementation of pigs with phenolics, although a significant increase in the DPPH antioxidant activity of meat was obtained after phenolic addition to the pig diet. The lack of effect of adding natural antioxidants to animal diets on TBARS has already been reported in other studies [,,]. In contrast, a significant decrease in the TBARS values was also noted after dietary modification with antioxidants []. The supplementation of pig feed with antioxidants to improve meat quality is highly dependent on many factors and is not always effective. It depends on the bioavailability and metabolism []. As reported in a review [], only 5% to 10% of ingested phenolic compounds can be absorbed in the intestine and undergo further biotransformation in enterocytes and, in hepatocytes, to form methylated, glucuronidated, or sulphated conjugates. These conjugate metabolites enter the bloodstream and are distributed through the body and, finally, excreted in the urine []. To monitor the uptake and distribution of antioxidants in the animal body, the level of lipid peroxidation was investigated in the liver tissues and blood. The phenolic-rich diet resulted in a significant decrease in the MDA content in the liver, but the effect was no longer observed in the blood. This could be due to the low t1/2 of the flavonoid compounds in the blood plasma, which is less than 2 h, and the accumulation of phenolic compounds, even in their native forms, in the liver tissues []. O’Grady et al. [] showed no effect of dietary modification with natural antioxidants on the MDA content in liver tissues.
Living organisms have several endogenous antioxidant systems, which are the most important defense line to protect the body against oxidative damage. These include antioxidant active enzymes, such as SOD, CAT, and low-molecular-weight antioxidants such as GSH + GSSG. These systems can be activated by various bioactive substances such as phenolics in different ways [,]. The signaling pathway through the Nrf2 is crucial for the expression of genes coding the antioxidant enzymes such as CAT or SOD or phase II biotransformation enzymes []. Interestingly, this can also be mediated by the pro-oxidant activity of polyphenols with the phenolic quinone metabolites as the intermediates in the induction of the gene expression response []. Further studies are required to explain this mechanism. In this study, the dietary administration of antioxidants increased the activities of CAT, SOD, and GSH + GSSG content in blood and liver tissues and the activity of SOD and GSH + GSSG content in meat. The FRAP antioxidant activity of the blood was positively correlated with SOD (r = 0.64), CAT (r = 0.75) activities and GSH + GSSG content (r = 0.48) in blood and SOD activity and GSH + GSSG in meat (r = 0.82 and r = 0.79, respectively) and the liver (r = 0.86 and r = 0.67, respectively). Our studies are consistent with others [,] reporting significant effects of dietary antioxidants on SOD and CAT activities.
The juiciness score for the treated group was significantly higher than for the control group, which is in contrast to the results obtained by others [,]. The sensory attribute is highly correlated with the DPPH antioxidant activity (r = −0.50), CAT activity (r = −0.57), SOD activity (r = 0.59), and total glutathione (r = 0.66). It was previously observed that lower juiciness is caused by protein oxidation in meat muscles []. The antioxidants could protect proteins from oxidation, maintaining their functionality and, thus, affecting juiciness []. Although a significant effect of a phenolic-rich diet was observed on the physicochemical parameters of meat, the sensory analysis did not show any differences between the groups for color, aroma, palatability, and tenderness attributes. This could be an effect of testing the fresh meat (48 h after slaughter). Thus, the meat quality was monitored with storage time at 4 °C for 10 days.
A significant effect of time was observed for pH, color, myoglobin form contribution, lipid peroxidation, and the DPPH antioxidant activity. This is in agreement with previously reported results [,]. A significant effect of dietary modification was only noted for TBARS values, indicating that the addition of natural antioxidants to the animal diet increased the oxidative stability of the meat during storage. It is also worth mentioning that the TBARS values are below the threshold proposed for the rancidity (from 0.5 to 1 mg MDA/kg of meat), indicating high meat quality [,].
5. Conclusions
In conclusion, dietary supplementation with a plant-based phenolic supplement (0.1%) improved the color and antioxidant status of meat. The separate distribution of the treated samples on the principal component plane indicated a significant effect of the diet. Based on the PCA results, it could be concluded that the color, oxidative changes (lipids and pigments), and antioxidant status of meat were interrelated and made a complex process. Although the TBARS values of 48 h post-mortem meat samples were not affected by the diet, the antioxidant effect of phenolics was observed during storage. These findings provide a new nutritional approach for the production of high-quality pork for human consumption and indicate a significant effect of phenolic supplementation on the color and antioxidant status of fresh meat, as well as an improvement in the oxidative stability of lipids during meat storage. However, further studies are required to explain the mechanism of antioxidant enzyme activation (CAT, SOD activity) and increase in GSH + GSSG content by the phenolic compounds of the tested supplement.
Author Contributions
Conceptualization, A.Z.-Z. and M.M.-P.; methodology, A.Z.-Z., M.M.-P. and A.C.; software, M.M.-P.; formal analysis, M.M.-P., A.Z.-Z., M.K.-P., D.L. and A.C.; investigation, M.M.-P., A.C., A.Z.-Z., M.K.-P. and D.L.; resources, A.Z.-Z. and M.M.-P.; data curation, M.M.-P.; writing—original draft preparation, M.M.-P. and A.Z.-Z.; writing—review and editing, M.M.-P., A.C., M.K.-P., D.L. and A.Z.-Z.; visualization, M.M.-P.; supervision, A.Z.-Z. and M.M.-P.; project administration, A.Z.-Z.; funding acquisition, A.Z.-Z. All authors have read and agreed to the published version of the manuscript.
Funding
This publication was financed by the Polish Minister of Science and Higher Education as part of the Strategy of the Poznan University of Life Sciences for 2024–2026 in the field of improving scientific research and development work in priority research areas and also partially supported by Poznań University of Life Sciences (Poland) as the research programme ‘First Grant’, No 1/2022, from the Ministry of Science and Higher Education of Poland.
Institutional Review Board Statement
Pigs were kept in accordance with the guidelines of the European Union Directive (2010/63/EU). All procedures were reviewed with the guidelines of the Local Ethical Committee for Experiments on Animals in Poznań regarding animal experimentation and the care of animals. All biological samples were collected after slaughter.
Informed Consent Statement
Not applicable.
Data Availability Statement
Data are available from the corresponding authors upon reasonable request.
Acknowledgments
We would like to thank Paweł Surosz for the donation in kind of the supplement, which was used for experiments (preparation of animal diet).
Conflicts of Interest
The authors declare no conflicts of interest.
References
- OECD-FAO. OECD-FAO Agricultural Outlook 2023–2032; OECD: Paris, France; FAO: Rome, Italy, 2023; ISBN 9789264619333. [Google Scholar]
 - Muzolf-Panek, M.; Kaczmarek, A.; Tomaszewska-Gras, J.; Cegielska-Radziejewska, R.; Majcher, M. Oxidative and microbiological stability of raw ground pork during chilled storage as affected by Plant extracts. Int. J. Food Prop. 2019, 22, 111–129. [Google Scholar] [CrossRef]
 - Faustman, C.; Sun, Q.; Mancini, R.; Suman, S.P. Myoglobin and lipid oxidation interactions: Mechanistic bases and control. Meat Sci. 2010, 86, 86–94. [Google Scholar] [CrossRef] [PubMed]
 - Muzolf-Panek, M.; Waśkiewicz, A.; Kowalski, R.; Konieczny, P. The effect of blueberries on the oxidative stability of pork meatloaf during chilled storage. J. Food Process. Preserv. 2016, 40, 899–909. [Google Scholar] [CrossRef]
 - Zhang, H.; Wu, J.; Guo, X. Effects of antimicrobial and antioxidant activities of spice extracts on raw chicken meat quality. Food Sci. Hum. Wellness 2016, 5, 39–48. [Google Scholar] [CrossRef]
 - Kaczmarek, A.M.; Muzolf-Panek, M. Predictive modelling of TBARS changes in the intramuscular lipid fraction of raw ground pork enriched with plant extracts. J. Food Sci. Technol. 2022, 59, 1756–1768. [Google Scholar] [CrossRef]
 - Muzolf-Panek, M.; Kaczmarek, A. Chemometric analysis of fatty acid composition of raw chicken, beef, and pork meat with plant extract addition during refrigerated storage. Molecules 2021, 26, 4952. [Google Scholar] [CrossRef]
 - Estévez, M.; Geraert, P.A.; Liu, R.; Delgado, J.; Mercier, Y.; Zhang, W. Sulphur amino acids, muscle redox status and meat quality: More than building blocks—Invited review. Meat Sci. 2020, 163, 108087. [Google Scholar] [CrossRef]
 - Carvalho, R.H.; Ida, E.I.; Madruga, M.S.; Martínez, S.L.; Shimokomaki, M.; Estévez, M. Underlying connections between the redox system imbalance, protein oxidation and impaired quality traits in pale, soft and exudative (PSE) poultry meat. Food Chem. 2017, 215, 129–137. [Google Scholar] [CrossRef]
 - Estévez, M. Protein carbonyls in meat systems: A review. Meat Sci. 2011, 89, 259–279. [Google Scholar] [CrossRef]
 - Zhang, T.; Fan, L.; Yu, Y. The influence of myoglobin on the color of beef during the storage. Acad. J. Agric. Life Sci. 2020, 1, 9–19. [Google Scholar] [CrossRef]
 - Zhang, W.; Xiao, S.; Ahn, D.U. Protein oxidation: Basic principles and implications for meat quality. Crit. Rev. Food Sci. Nutr. 2013, 53, 1191–1201. [Google Scholar] [CrossRef] [PubMed]
 - Lund, M.N.; Heinonen, M.; Baron, C.P.; Estévez, M. Protein oxidation in muscle foods: A review. Mol. Nutr. Food Res. 2011, 55, 83–95. [Google Scholar] [CrossRef] [PubMed]
 - Bao, Y.; Ertbjerg, P. Effects of protein oxidation on the texture and water-holding of meat: A review. Crit. Rev. Food Sci. Nutr. 2019, 59, 3564–3578. [Google Scholar] [CrossRef] [PubMed]
 - Hellwig, M. The Chemistry of Protein Oxidation in Food. Angew. Chemie Int. Ed. 2019, 58, 16742–16763. [Google Scholar] [CrossRef]
 - Ge, Y.; Lin, S.; Li, B.; Yang, Y.; Tang, X.; Shi, Y.; Sun, J.; Le, G. Oxidized pork induces oxidative stress and inflammation by altering gut microbiota in mice. Mol. Nutr. Food Res. 2020, 64, e1901012. [Google Scholar] [CrossRef]
 - Wang, Z.; He, Z.; Gan, X.; Li, H. Interrelationship among ferrous myoglobin, lipid and protein oxidations in rabbit meat during refrigerated and superchilled storage. Meat Sci. 2018, 146, 131–139. [Google Scholar] [CrossRef]
 - Gagaoua, M.; Suman, S.P.; Purslow, P.P.; Lebret, B. The color of fresh pork: Consumers expectations, underlying farm-to-fork factors, myoglobin chemistry and contribution of proteomics to decipher the biochemical mechanisms. Meat Sci. 2023, 206, 109340. [Google Scholar] [CrossRef]
 - King, D.A.; Hunt, M.C.; Barbut, S.; Claus, J.R.; Cornforth, D.P.; Joseph, P.; Kim, Y.H.; Lindahl, G.; Mancini, R.A.; Nair, M.N.; et al. AMSA guidlines for meat color measurement. Meat Muscle Biol. 2023, 6, 1–81. [Google Scholar] [CrossRef]
 - Mancini, R.A.; Hunt, M.C. Current research in meat color. Meat Sci. 2005, 71, 100–121. [Google Scholar] [CrossRef]
 - Domínguez, R.; Pateiro, M.; Gagaoua, M.; Barba, F.J.; Zhang, W.; Lorenzo, J.M. A comprehensive review on lipid oxidation in meat and meat products. Antioxidants 2019, 8, 429. [Google Scholar] [CrossRef]
 - Ribeiro, J.S.; Santos, M.J.M.C.; Silva, L.K.R.; Pereira, L.C.L.; Santos, I.A.; da Silva Lannes, S.C.; da Silva, M.V. Natural antioxidants used in meat products: A brief review. Meat Sci. 2019, 148, 181–188. [Google Scholar] [CrossRef] [PubMed]
 - Yu, H.H.; Kim, Y.J.; Park, Y.J.; Shin, D.M.; Choi, Y.S.; Lee, N.K.; Paik, H.D. Application of mixed natural preservatives to improve the quality of vacuum skin packaged beef during refrigerated storage. Meat Sci. 2020, 169, 108219. [Google Scholar] [CrossRef] [PubMed]
 - Muzolf-Panek, M.; Stuper-Szablewska, K. Comprehensive study on the antioxidant capacity and phenolic profiles of black seed and other spices and herbs: Effect of solvent and time of extraction. J. Food Meas. Charact. 2021, 15, 4561–4574. [Google Scholar] [CrossRef]
 - Oswell, N.J.; Thippareddi, H.; Pegg, R.B. Practical use of natural antioxidants in meat products in the U.S.: A review. Meat Sci. 2018, 145, 469–479. [Google Scholar] [CrossRef]
 - Haugaard, P.; Hansen, F.; Jensen, M.; Grunert, K.G. Consumer attitudes toward new technique for preserving organic meat using herbs and berries. Meat Sci. 2014, 96, 126–135. [Google Scholar] [CrossRef]
 - Martínez, L.; Ros, G.; Nieto, G. Effect of natural extracts obtained from food industry by-products on nutritional quality and shelf life of chicken nuggets enriched with organic Zn and Se provided in broiler diet. Poult. Sci. 2020, 99, 1491–1501. [Google Scholar] [CrossRef]
 - Zahid, M.A.; Choi, J.Y.; Seo, J.K.; Parvin, R.; Ko, J.; Yang, H.S. Effects of clove extract on oxidative stability and sensory attributes in cooked beef patties at refrigerated storage. Meat Sci. 2020, 161, 107972. [Google Scholar] [CrossRef]
 - Yang, X.Y.; Xu, B.C.; Lei, H.M.; Xin, L.U.O.; Zhu, L.X.; Zhang, Y.M.; Mao, Y.W.; Liang, R.R. Effects of grape seed extract on meat color and premature browning of meat patties in high-oxygen packaging. J. Integr. Agric. 2022, 21, 2445–2455. [Google Scholar] [CrossRef]
 - Scerra, M.; Foti, F.; Caparra, P.; Cilione, C.; Rao, R.; Priolo, A.; Natalello, A.; Luciano, G.; Chies, L. Effect of feeding pigs with bergamot by-product on fatty acid composition and oxidative stability of meat and salami. Meat Sci. 2022, 183, 108662. [Google Scholar] [CrossRef]
 - Xu, M.; Chen, X.; Huang, Z.; Chen, D.; Li, M.; He, J.; Chen, H.; Zheng, P.; Yu, J.; Luo, Y.; et al. Effects of dietary grape seed proanthocyanidin extract supplementation on meat quality, muscle fiber characteristics and antioxidant capacity of finishing pigs. Food Chem. 2022, 367, 130781. [Google Scholar] [CrossRef]
 - Kafantaris, I.; Stagos, D.; Kotsampasi, B.; Hatzis, A.; Kypriotakis, A.; Gerasopoulos, K.; Makri, S.; Goutzourelas, N.; Mitsagga, C.; Giavasis, I.; et al. Grape pomace improves performance, antioxidant status, fecal microbiota and meat quality of piglets. Animal 2018, 12, 246–255. [Google Scholar] [CrossRef] [PubMed]
 - Biondi, L.; Luciano, G.; Cutello, D.; Natalello, A.; Mattioli, S.; Priolo, A.; Lanza, M.; Morbidini, L.; Gallo, A.; Valenti, B. Meat quality from pigs fed tomato processing waste. Meat Sci. 2020, 159, 107940. [Google Scholar] [CrossRef] [PubMed]
 - Zeng, Z.; Jiang, J.; Yu, J.; Mao, X.; Yu, B.; Chen, D. Effect of dietary supplementation with mulberry (Morus alba L.) leaves on the growth performance, meat quality and antioxidative capacity of finishing pigs. J. Integr. Agric. 2019, 18, 143–151. [Google Scholar] [CrossRef]
 - Cheng, C.; Liu, Z.; Zhou, Y.; Wei, H.; Zhang, X.; Xia, M.; Deng, Z.; Zou, Y.; Jiang, S.; Peng, J. Effect of oregano essential oil supplementation to a reduced-protein, amino acid-supplemented diet on meat quality, fatty acid composition, and oxidative stability of Longissimus thoracis muscle in growing-finishing pigs. Meat Sci. 2017, 133, 103–109. [Google Scholar] [CrossRef] [PubMed]
 - Bešlo, D.; Golubić, N.; Rastija, V.; Agić, D.; Karnaš, M.; Šubarić, D.; Lučić, B. Antioxidant Activity, Metabolism, and Bioavailability of Polyphenols in the Diet of Animals. Antioxidants 2023, 12, 1141. [Google Scholar] [CrossRef]
 - O’Grady, M.N.; Carpenter, R.; Lynch, P.B.; O’Brien, N.M.; Kerry, J.P. Addition of grape seed extract and bearberry to porcine diets: Influence on quality attributes of raw and cooked pork. Meat Sci. 2008, 78, 438–446. [Google Scholar] [CrossRef]
 - Menci, R.; Biondi, L.; Natalello, A.; Lanza, M.; Priolo, A.; Valenti, B.; Bertino, A.; Scerra, M.; Luciano, G. Feeding hazelnut skin to lambs delays lipid oxidation in meat. Meat Sci. 2023, 202, 109218. [Google Scholar] [CrossRef]
 - Ponnampalam, E.N.; Kiani, A.; Santhiravel, S.; Holman, B.W.B.; Lauridsen, C.; Dunshea, F.R. The importance of dietary antioxidants on oxidative stress, meat and milk production, and their preservative aspects in farm animals: Antioxidant action, animal health, and product quality—Invited review. Animals 2022, 12, 3279. [Google Scholar] [CrossRef]
 - Ghosh, N.; Chatterjee, S.; Sil, P.C. Chapter1.1—Evolution of antioxidants over times (including current global market and trend). In Antioxidants Effects in Health; Nabavi, S.M., Silva, A.S., Eds.; Elsevier: Amsterdam, The Netherlands, 2022; pp. 3–32. ISBN 978-0-12-819096-8. [Google Scholar]
 - Dal Bosco, A.; Mourvaki, E.; Cardinali, R.; Servili, M.; Sebastiani, B.; Ruggeri, S.; Mattioli, S.; Taticchi, A.; Esposto, S.; Castellini, C. Effect of dietary supplementation with olive pomaces on the performance and meat quality of growing rabbits. Meat Sci. 2012, 92, 783–788. [Google Scholar] [CrossRef]
 - Deschepper, K.; Carles, G.M. Use of a Composition for Improving Slaughtering and/or Meat Quality Parameters. Patent No. WO2020254391A1, 24 December 2020. [Google Scholar]
 - Flachowsky, G.; Gesellschaft für Ernährungsphysiologie Ausschuss für Bedarfsnormen. Recommendations for the Supply of Energy and Nutrients to Pigs; Staudacher, W., Ed.; Energy and Nutrient Requirements of Livestock; DLG-Verlag: Frankfurt am Main, Germany, 2008; ISBN 9783769007077. [Google Scholar]
 - Animal Feed. Official Methods of Analysis of Association of Official Analytical Chemists; AOAC International: Gaithersburg, MD, USA, 2007. [Google Scholar]
 - PN ISO 6449:1999; Animal Feeding Stuffs—Determination of Moisture and Other Volatile Matter Content. Polish Committee for Standarization: Warsaw, Poland, 1999.
 - Szkudzińska, K.; Smutniak, I.; Rubaj, J.; Korol, W.; Bielecka, G. Method validation for determination of amino acids in feed by UPLC. Accredit. Qual. Assur. 2017, 22, 247–252. [Google Scholar] [CrossRef]
 - Sánchez-Moreno, C.; Larrauri, J.A.; Saura-Calixto, F. A procedure to measure the antiradical efficiency of polyphenols. J. Sci. Food Agric. 1998, 270, 270–276. [Google Scholar] [CrossRef]
 - Miller, N.J.; Rice-Evans, C.; Davies, M.; Gopinathan, V.; Milner, A. A novel method for measuring antioxidant capacity and its application to monitoring the antioxidant status in premature neonates. Clin. Sci. 1993, 84, 407. [Google Scholar] [CrossRef] [PubMed]
 - Re, R.; Pellegrini, N.; Proteggente, A.; Pannala, A.; Yang, M.; Rice-Evans, C. Antioxidant activity applying an improved ABTS radical cation decolorization assay. Free Radic. Biol. Med. 1999, 26, 1231–1237. [Google Scholar] [CrossRef] [PubMed]
 - Benzie, I.F.F.; Strain, J.J. The ferric reducing ability of plasma (FRAP) as a measure of “‘antioxidant power’”: The FRAP assay. Anal. Biochem. 1996, 239, 70–76. [Google Scholar] [CrossRef]
 - Singleton, V.L.; Rossi, J.A. Colorimetry of total phenolics with phosphomolybdic-phosphotungstic acid reagents. Am. J. Enol. Vitic. 1965, 16, 144–158. [Google Scholar] [CrossRef]
 - Meda, A.; Lamien, C.E.; Romito, M.; Millogo, J.; Nacoulma, O.G. Determination of the total phenolic, flavonoid and proline contents in Burkina Fasan honey, as well as their radical scavenging activity. Food Chem. 2005, 91, 571–577. [Google Scholar] [CrossRef]
 - PN ISO 1442:2000; Meat and Meat Products—Determination of Moisture Content (Reference Method). Polish Committee for Standarization: Warsaw, Poland, 2000.
 - PN ISO 1444:2000; Meat and Meat Products—Determinationof Free Fat Content. Polish committee for Standarization: Warsaw, Poland, 2000.
 - PN 75/A-04018; Agricultural and Food Products: Determination of Nitrogen by the Kjeldalh Method and Conversion to Protein. Polish Committee for Standarization: Warsaw, Poland, 1975.
 - Grau, R.; Hamm, R. Determination of water binding in meats by the pressing method. Fleischwirtschaft 1956, 8, 733–736. [Google Scholar]
 - Pohja, N.; Niinivaara, F. Die Bestimmung der Wasserbindung des Fleisches mittels des Konstantdruck Methode. Fleischwirtschaft 1957, 9, 193–195. [Google Scholar]
 - Baryłko-Pikielna, N.; Kossakowska, T.; Baldwin, Z. Wybór optymalnej metody przygotowania mięsa wołowego i wieprzowego do oceny sensorycznej [Choosing the right method to prepare beef and pork for sensory analysis]. Rocz. Inst. Przem. Mięsnago 1964, 1, 111–132. [Google Scholar]
 - Krzywicki, K. Assessment of relative content of myoglobin, oxymyoglobin and metmyoglobin at the surface of beef. Meat Sci. 1979, 3, 1–10. [Google Scholar] [CrossRef] [PubMed]
 - Trout, G.R. Variation in myoglobin denaturation and color of cooked beef, pork, and turkey meat as influenced by pH, sodium chloride, sodium tripolyphosphate, and cooking temperature. J. Food Sci. 1989, 54, 536–540. [Google Scholar] [CrossRef]
 - Mielnik, M.B.; Olsen, E.; Vogt, G.; Adeline, D.; Skrede, G. Grape seed extract as antioxidant in cooked, cold stored turkey meat. LWT Food Sci. Technol. 2006, 39, 191–198. [Google Scholar] [CrossRef]
 - Muzolf-Panek, M.; Kaczmarek, A.; Tomaszewska-Gras, J.; Cegielska-Radziejewska, R.; Szablewski, T.; Majcher, M.; Stuper-Szablewska, K. A chemometric approach to oxidative stability and physicochemical quality of raw ground chicken meat affected by black seed and other spice extracts. Antioxidants 2020, 9, 903. [Google Scholar] [CrossRef] [PubMed]
 - Hodges, D.M.; DeLong, J.M.; Forney, C.F.; Prange, R.K. Improving the thiobarbituric acid-reactive-substances assay for estimating lipid peroxidation in plant tissues containing anthocyanin and other interfering compounds. Planta 1999, 207, 604–611. [Google Scholar] [CrossRef]
 - Fasseas, M.K.; Mountzouris, K.C.; Tarantilis, P.A.; Polissiou, M.; Zervas, G. Antioxidant activity in meat treated with oregano and sage essential oils. Food Chem. 2008, 106, 1188–1194. [Google Scholar] [CrossRef]
 - Beauchamp, C.; Fridovich, I. Superoxide dismutase: Improved assays and an assay applicable to acrylamide gels. Anal. Biochem. 1971, 44, 276–287. [Google Scholar] [CrossRef]
 - Aebi, H. Oxygen Radicals in Biological Systems—Catalase In Vitro. Methods Enzymol. 1984, 105, 121–126. [Google Scholar]
 - Jollow, D.J.; Mitchell, J.R.; Zampaglione, N.; Gillette, J.R. Bromobenzene-induced liver necrosis. Protective role of glutathione and evidence for 3,4-bromobenzene oxide as the hepatotoxic metabolite. Pharmacology 1974, 11, 151–169. [Google Scholar] [CrossRef]
 - PN ISO 4121:2013; Sensory Analysis—Methodology—Evaluation of Food Products by Methods Using Scales. Polish Committee for Standarization: Warsaw, Poland, 2013.
 - ISO 6658:2017; Sensory Analysis—Methodology—Method of Investigating Sensitivity of Taste. International Organization for Standardization: Geneva, Switzerland, 2017.
 - ISO 8586:2023; Sensory Analysis-Selection and Training of Sensory Assessors. International Organization for Standardization: Geneva, Switzerland, 2023.
 - American Meat Science Association (AMSA). Research Guidelines for Cookery, Sensory Evaluation, and Instrumental Tenderness Measurements of Meat, 2nd ed.; American Meat Science Association: Champaign, IL, USA, 2015; ISBN 8005172672. [Google Scholar]
 - Esterbauer, H.; Cheeseman, K.H. Determination of aldehydic lipid peroxidation products malonaldehyde and 4-hydroxynonenal. Methods Enzymol. 1990, 186, 407–421. [Google Scholar]
 - Kim, H.; Kim, J.; Yan, F.; Cheng, H.; Brad Kim, Y.H. Effects of heat stress and probiotic supplementation on protein functionality and oxidative stability of ground chicken leg meat during display storage. J. Sci. Food Agric. 2017, 97, 5343–5351. [Google Scholar] [CrossRef] [PubMed]
 - Cannata, S.; Engle, T.E.; Moeller, S.J.; Zerby, H.N.; Radunz, A.E.; Green, M.D.; Bass, P.D.; Belk, K.E. Effect of visual marbling on sensory properties and quality traits of pork loin. Meat Sci. 2010, 85, 428–434. [Google Scholar] [CrossRef] [PubMed]
 - Kalt, W.; Blumberg, J.B.; McDonald, J.E.; Vinqvist-Tymchuk, M.R.; Fillmore, S.A.E.; Graf, B.A.; O’leary, J.M.; Milbury, P.E. Identification of anthocyanins in the liver, eye, and brain of blueberry-fed pigs. J. Agric. Food Chem. 2008, 56, 705–712. [Google Scholar] [CrossRef] [PubMed]
 - Karamucki, T.; Jakubowska, M.; Rybarczyk, A.; Gardzielewska, J. The influence of myoglobin on the colour of minced pork loin. Meat Sci. 2013, 94, 234–238. [Google Scholar] [CrossRef]
 - Fernández-López, J.; Pérez-Alvarez, J.A.; Sayas-Barberá, E.; Aranda-Catalá, V. Characterization of different states of myoglobin in pork using color parameters and reflectance ratios. J. Muscle Foods 2000, 11, 157–167. [Google Scholar] [CrossRef]
 - Zareian, M.; Tybussek, T.; Silcock, P.; Bremer, P.; Beauchamp, J.; Böhner, N. Interrelationship among myoglobin forms, lipid oxidation and protein carbonyls in minced pork packaged under modified atmosphere. Food Packag. Shelf Life 2019, 20, 100311. [Google Scholar] [CrossRef]
 - Muzolf-Panek, M.; Gliszczyńska-Świgło, A.; De Haan, L.; Aarts, J.M.M.J.G.; Szymusiak, H.; Vervoort, J.M.; Tyrakowska, B.; Rietjens, I.M.C.M. Role of catechin quinones in the induction of EpRE-mediated gene expression. Chem. Res. Toxicol. 2008, 21, 2352–2360. [Google Scholar] [CrossRef]
 
Disclaimer/Publisher’s Note: The statements, opinions and data contained in all publications are solely those of the individual author(s) and contributor(s) and not of MDPI and/or the editor(s). MDPI and/or the editor(s) disclaim responsibility for any injury to people or property resulting from any ideas, methods, instructions or products referred to in the content.  | 
© 2024 by the authors. Licensee MDPI, Basel, Switzerland. This article is an open access article distributed under the terms and conditions of the Creative Commons Attribution (CC BY) license (https://creativecommons.org/licenses/by/4.0/).