Abstract
This research examined the impact of chlorogenic acid (CGA) on laying performance, antioxidant capacity, egg quality, hepatic inflammation, mitochondrial function, and lipid metabolism in hens subjected to hydrogen peroxide (H2O2)-induced oxidative stress (OS). Three hundred sixty healthy 43-wk-old Hy-Line brown hens were randomly assigned to six treatments: a basal diet + 0 (control and H2O2), 600 (600 mg/kg CGA and 600 mg/kg CGA + H2O2), and 800 (800 mg/kg CGA and 800 mg/kg CGA + H2O2) mg/kg CGA for 84 d. On the 64th and 78th days of the trial, hens in groups H2O2, 600 mg/kg CGA + H2O2, and 800 mg/kg CGA + H2O2 were injected intraperitoneally with 10% H2O2. The results demonstrated that 600 and 800 mg/kg CGA significantly improved the egg production rate (EPR) and egg quality and reduced lipid peroxidation compared to the control group. The 800 mg/kg CGA showed greater improvements in the EPR and average egg weight (AEW) compared to the 600 mg/kg dose. Conversely, H2O2 exposure significantly decreased the EPR, AEW, and egg quality and increased feed conversion rate and average daily feed intake. H2O2 exposure significantly decreased serum T-AOC and increased serum MDA levels while reducing hepatic T-SOD, GSH-Px, and CAT activities. Meanwhile, H2O2 exposure significantly elevated liver reactive oxygen species levels, pathological damage, and NF-κB, TNFα, and IL-1β gene expression. Additionally, H2O2 treatment disrupted hepatocyte mitochondrial structure and significantly increased the expression of VDAC1 protein, and IP3R, GRP75, MCU, Fis1, and MFF genes, while downregulating the expression of MFN2 protein and PGC1α gene. Oil Red O staining demonstrated that H2O2 induced significant lipid accumulation in hepatocytes. Concurrently, H2O2 significantly increased serum triglycerides, total cholesterol, and liver triglycerides levels while decreasing serum hepatic lipase activity. This was primarily attributed to the significant upregulation of liver SREBP1, FASN, and ACC genes and the downregulation of the liver CPT1 gene induced by H2O2. Furthermore, CGA pretreatment effectively prevented the degeneration in laying performance and egg quality, as well as OS, liver inflammation, pathological damage, and mitochondrial dysfunction induced by H2O2. CGA inhibited H2O2-induced hepatic lipid accumulation by upregulating fatty acid oxidation-related gene expression and downregulating fatty acid synthesis-related gene expression. These findings indicate that the dietary addition of 800 mg/kg of CGA is the optimum supplementation dose. CGA can enhance laying performance and egg quality while alleviating OS, hepatic inflammation, mitochondrial dysfunction, and lipid accumulation in H2O2-challenged laying hens.
Keywords:
chlorogenic acid; hydrogen peroxide; oxidative stress; liver; lipid metabolism; laying hen 1. Introduction
In the practical setting of production, intensively raised hens are frequently subjected to a range of oxidative triggers, including increased ambient temperatures, toxic metals, fungal toxins, pathogens, and other detrimental agents, resulting in the onset of oxidative stress (OS) and consequent harm [1,2,3,4]. The impact of oxidative damage as a universal mechanism in poultry and livestock has been recognized as a crucial element leading to the detrimental effects of multiple stressors [5,6]. Prior investigations have consistently demonstrated that OS arising from diverse origins can have adverse effects on laying performance, deteriorate egg quality, overpower antioxidant mechanisms, undermine the structure of the intestinal mucosa, trigger systemic or localized inflammation, and disrupt the equilibrium of the gut microbiota in laying hens [7,8].
OS exerts a critical role in liver disease [9]. The increase in OS resulting from different factors causes hepatic lipid accumulation, whereas a decrease in OS exerts a lipid-lowering action on hepatocytes [10,11,12]. Abnormal accumulation of saturated fats such as triglycerides in the liver is linked to the onset and progression of non-alcoholic fatty liver disease [13]. This abnormal accumulation can further result in mitochondrial dysfunction and overproduction of reactive oxygen species (ROS) [14]. In laying hens, the liver is responsible for most lipid synthesis, including cholesterol and triglycerides (TGs). These lipids are subsequently transported via lipoproteins to the ovarian follicles, where they are integral to the production of egg yolk [15]. When the synthesis of fat surpasses the production of lipoproteins responsible for its transport, an accumulation of TGs occurs, leading to hepatic steatosis development [16]. Under modern intensive, large-scale farming models, this elevates the risk of fatty liver development in layers due to long-term positive energy state and insufficient physical exercise [17]. Meanwhile, OS caused by different environmental stress (heat stress, heavy metal, etc.) also significantly contributes to hepatic lipid accumulation in layers [18,19]. It has been proven that supplementation of substances with antioxidant activity in the diet can regulate lipid metabolism by improving the body’s redox state [18,20].
Chlorogenic acid (CGA), a naturally occurring polyphenolic compound also known as coffee tannic acid and coffee ellagic acid, is found primarily in coffee, tea, vegetables, and fruits [21]. It has been shown to safeguard cell survival by reducing excessive production of NO and ROS and inhibiting pro-apoptotic signaling, thereby preventing toxicity caused by different classes of substances, including toxins, drugs, metals, pesticides, etc. [22,23,24]. Zha et al. showed that adding chlorogenic acid to broiler diets alleviated diquat-induced OS and hepatic inflammation [25]. Bi et al. demonstrated that dietary supplementation of CGA improved egg quality and enhanced antioxidant capacity in aged hens [26]. Additionally, CGA has proven effective in inhibiting weight gain and has exhibited beneficial lipid-lowering properties. In particular, CGA treatment reduces cholesterol and TG concentrations in both the serum and liver of mice fed a high-fat diet [27,28]. Hence, we hypothesized that CGA exerts beneficial effects to resist the hydrogen peroxide (H2O2)-induced OS and liver damage in hens by maintaining redox status and mitochondrial function, inhibiting inflammation, and promoting hepatic lipid metabolism. This research was conducted to assess the safeguarding effects of CGA on laying hens exposed to OS induced by an H2O2 challenge. The results will offer a reference and theoretical foundation for alleviating OS and the appropriate use of CGA in hens’ diets.
2. Materials and Methods
2.1. Animals and Experimental Design
Three hundred sixty healthy 43-week-old Hyline brown hens with similar body weight and laying rates were sourced from a Zhenjiang farm and randomly assigned into six groups with six replicates of 10 hens in each (two hens per cage). The hens were fed a basal diet + 0 (control and H2O2 groups), 600 (600 mg/kg CGA and 600 mg/kg CGA + H2O2 groups), and 800 (800 mg/kg CGA and 800 mg/kg CGA + H2O2 groups) mg/kg CGA (powder, 98% CGA, Lvyouran Biotechnology (Xi’an) Co., Ltd., Xi’an, China). The different doses of CGA powder were thoroughly mixed with the basal diet. The experiment lasted 14 weeks, consisting of a 2-week pre-feeding phase (in which the basal diet was provided), followed by a 12-week experimental period. Hens in groups H2O2, 600 mg/kg CGA + H2O2, and 800 mg/kg CGA + H2O2 received intraperitoneal injections of 10% H2O2 (2.96 mmol H2O2/kg body weight) on the first day of weeks 10 and 12, respectively. Hens are housed in advanced three-tiered steeped egg cages used in the experiment (individual cage size: 47 cm × 35 cm × 37 cm), equipped with a fully automatic belt-type manure removal system. The flooring of the chicken house is flat, and the temperature is controlled between 23 and 26 °C, with humidity maintained at 65–75%. The lighting period was set at 16 h per day. The basal diets were prepared in the laboratory, and the formulation is listed in Table 1.
Table 1.
Components and nutritional composition of the basal diet for hens (as-fed basis).
2.2. Sample Collection and Measurement
Daily measurements of egg production and egg weight were documented for every replicate, while feed intake was evaluated for each replicate every two weeks. These measurements were used to calculate the egg production rate (EPR), average daily feed intake (ADFI), average egg weight (AEW), and feed conversion ratio (FCR). Thirty eggs from every treatment were obtained in the 12th week for egg quality assessment using a digital egg tester (DET-6000, Nabel Co., Ltd., Kyoto, Japan).
Following the completion of the trial, 12 hens (2 hens per replicate) from each treatment were chosen to undergo twelve hours of fasting (free access to water). Blood samples were then collected via venipuncture of the wing vein and centrifuged at 3000 rpm for 10 min to isolate serum for subsequent antioxidant and lipid metabolism analysis. Finally, the chickens were euthanized by CO2 inhalation, and the liver tissue was immediately removed and divided into six portions. Four parts of the liver were promptly cryopreserved at −80 °C for antioxidant and molecular analysis, as well as Oil Red O and ROS staining. The other two portions of the liver were sampled in 4% paraformaldehyde and glutaraldehyde, respectively, for histopathological and mitochondrial structure analysis.
2.3. Serum and Liver Antioxidant Enzyme Detection
Each 0.1 g liver sample was homogenized in 900 µL of cold PBS to formulate a ten percent tissue homogenate. After centrifugation at 2500× g for 10 min at 4 °C, the supernatant was gathered for antioxidant ability assessment. The concentrations of H2O2 and malondialdehyde (MDA), along with the activities of total antioxidant capacity (T-AOC), total superoxide dismutase (T-SOD), glutathione peroxidase (GSH-Px), and catalase (CAT) were measured utilizing assay kits procured from Nanjing Jiancheng Bioengineering Institute (Nanjing, China). We quantified the homogenate protein concentration utilizing a BCA protein assay kit from Beyotime (Shanghai, China).
2.4. Serum and Liver Lipid Assay
The lipoprotein lipase (LPL) and hepatic lipase (HL) activities, and the TGs, total cholesterol (T-CHO), and low-density lipoprotein cholesterol (LDL-C) levels in the serum and/or liver were quantified utilizing assay kits procured from Nanjing Jiancheng Bioengineering Institute.
2.5. Hematoxylin and Eosin Staining
As previously outlined [19], liver samples were immersed in 4% paraformaldehyde for a minimum duration of 24 h and subsequently embedded in paraffin. The embedded samples were sectioned into 5-μm thick slices using a Leica RM2016 paraffin microtome (Leica, Germany). The tissue sections underwent dewaxing with xylene and were dehydrated through a graded series of ethanol solutions. Following staining with hematoxylin and eosin, the sections were imaged utilizing an OLYMPUS optical microscope (Tokyo, Japan).
2.6. Oil Red O Staining
As previously outlined [19], frozen liver sections (approximately 8 μm thick) were fixed in 4% paraformaldehyde for 15 min and then washed three times. After being air-dried, the slides were stained with Oil Red O reagent (G1015, Servicebio, Wuhan, China) for 10 min. They were subsequently washed with 60% isopropanol and counterstained with hematoxylin. The sections were imaged using an OLYMPUS optical microscope (Tokyo, Japan) after being sealed with glycerin gelatin (G1402, Servicebio, Wuhan, China).
2.7. ROS Staining
The frozen liver sections were defrosted at ambient temperature. Tissue boundaries were delineated using a histochemical pen, and a self-fluorescence quencher (G1221, Servicebio, Wuhan, China) was used for 5 min, followed by a 10 min rinse under running water. ROS dye solution (D7008, Sigma, Saint Louis, MO, USA) was then applied to the marked areas and maintained at 37 °C away from light for thirty minutes. Following rinsing, the DAPI dye solution (G1012, Servicebio, Wuhan, China) was applied and maintained at ambient temperature in the dark for ten minutes. Finally, an anti-fade mounting medium (G1401, Servicebio, Wuhan, China) was applied, and the samples were examined using a fluorescence microscope (Nikon, Tokyo, Japan).
2.8. Transmission Electron Microscope (TEM) Assay
Liver tissues were prefixed with 2.5% glutaraldehyde at 4 °C for 24 h and postfixed in 1% osmium tetroxide for two hours. Subsequently, the tissues underwent dehydration through graded ethanol and were embedded in epoxy resin. The embedding blocks were polymerized in a 60 °C oven for 48 h. Following staining with toluidine blue for localization, the blocks were sectioned into ultrathin slices with an ultramicrotome (Leica UC7, Germany). The sections were then sequentially stained in the dark with a 2% uranium acetate-saturated alcohol solution for eight minutes, followed by 2.6% lead citrate in the absence of carbon dioxide for 8 min before being dried overnight. Finally, a Hitachi-7800 TEM (Tokyo, Japan) was used for image capture.
2.9. Quantitative Real-Time PCR (qRT-PCR)
Total RNA was isolated from liver tissues with Trizol, and complementary DNA (cDNA) was synthesized using a reverse transcription kit (Takara RR047A, Dalian, China). QRT-PCR was run on the CFX96 Touch RT-PCR detection system (Bio-Rad, Hercules, CA, USA) using TB Green reagent (Takara RR420A, Dalian, China). The mRNA expression levels of inflammation-related genes (nuclear factor kappa B (NF-κB), tumor necrosis factor-alpha (TNFα), and interleukin-1 beta (IL-1β)), inositol 1,4,5-trisphosphate receptor (IP3R)/glucose-regulated protein 75 (GRP75)/volt-age-dependent-anion channel 1 (VDAC1)/mitochondrial calcium uniporter (MCU) calcium signal axis related genes (IP3R, GRP75, and MCU), mitochondrial function-related genes (peroxisome pro-liferator-activated receptor gamma coactivator 1 alpha (PGC1α), mitochondria fission factor (MFF), and fission protein 1 (Fis1)), fatty acid synthesis (FAS)-related genes (fatty acid synthase (FASN), sterol regulatory element binding protein 1 (SREBP1), and acetyl-CoA carboxylase (ACC)), and fatty acid oxidation (FAO)-related genes (acyl-CoA oxidase 1 (ACOX1), carnitine palmitoyltransferase 1 (CPT1), and peroxi-some proliferator-activated receptor alpha (PPARα)) were measured. Relative gene expression was calculated using the 2−ΔΔCt method [29] and normalized to β-actin levels. The primer sequences are in Table 2.
Table 2.
Genes and primers for qRT-PCR.
2.10. Western Blot Analysis
Liver tissue was lysed to extract total cellular protein. The 4–20% SDS-PAGE was used to separate proteins. The PVDF membrane was sealed with five percent skim milk and subsequently treated with rabbit anti-Mitofusin 2 (MFN2) antibody (12186-1-AP, Proteintech, Wuhan, China, dilution 1:5000), rabbit anti-VDAC1 antibody (55259-1-AP, Proteintech, Wuhan, China, dilution 1:2000), and rabbit anti-Tubulin β antibody (AP0064, Bioworld, Nanjing, China, dilution 1:5000). The membranes were then treated with anti-rabbit IgG (SA00001-1, Proteintech, Wuhan, China, dilution 1:5000) at ambient temperature for one hour. Blot bands were imaged utilizing the electrochemiluminescence (ECL, Yeasen, Shanghai, China) assay reagent and ChemiScope 6100 (Clinx, Shanghai, China).
2.11. Statistical Analysis
The data were presented as mean ± SEM. The SPSS 19.0 software package (SPSS Inc., Chicago, IL, USA) was used for statistical significance analysis. Group comparisons were conducted utilizing the Student’s t-test or one-way ANOVA followed by Tukey’s post hoc test. When p < 0.05, it was considered statistically significant.
3. Results
3.1. Effects of CGA on the Performance of Hens Subjected to H2O2
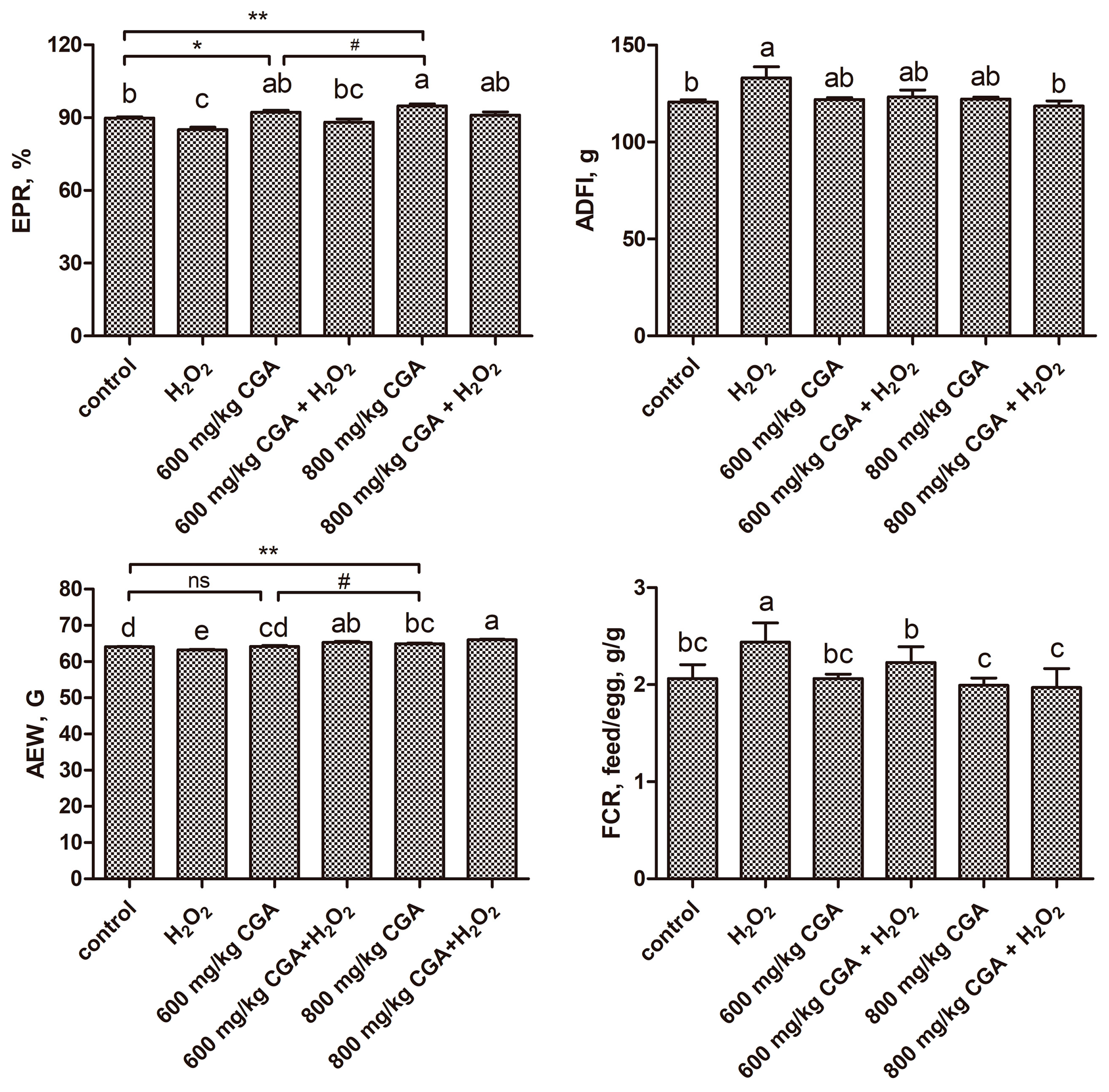
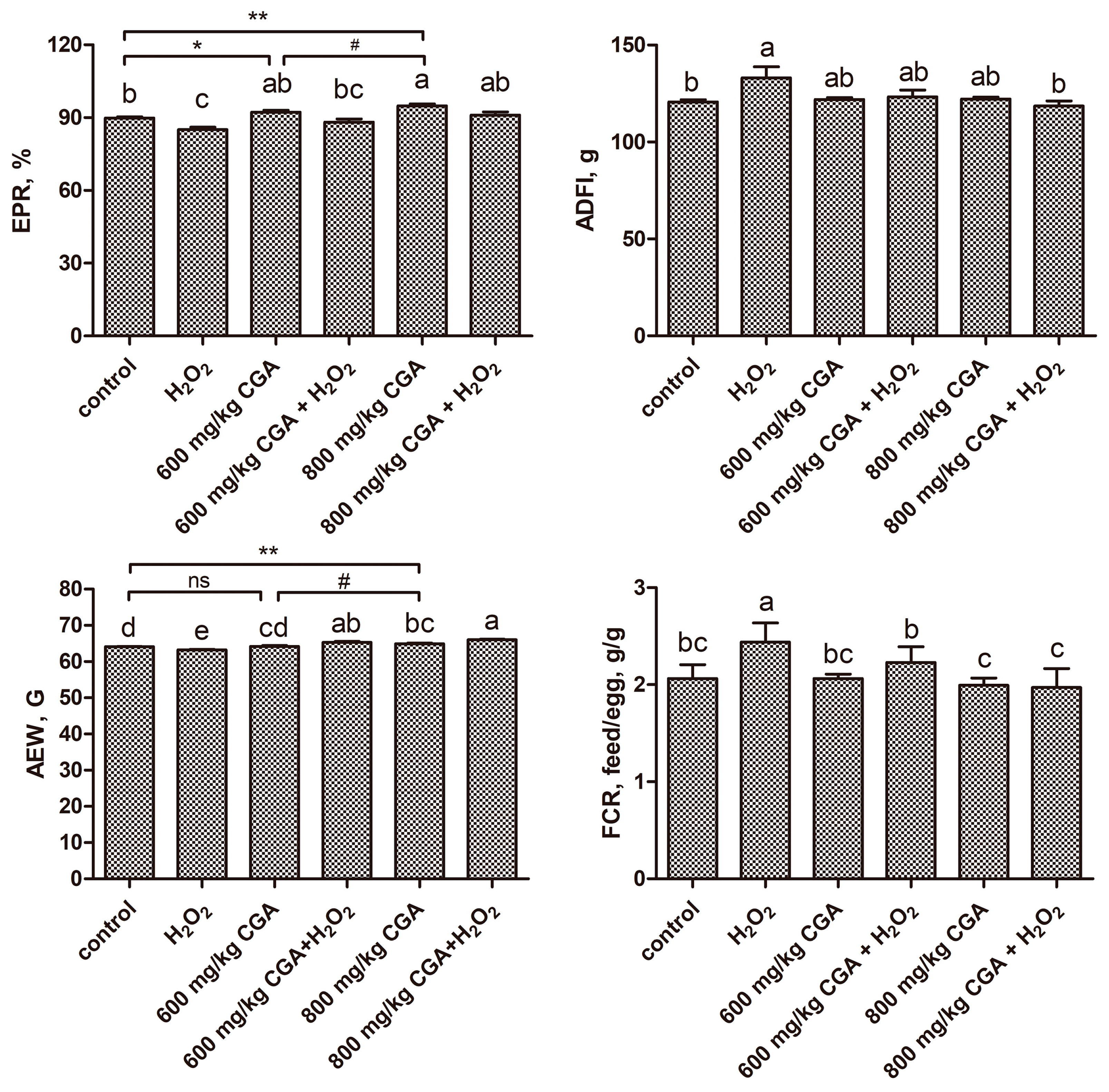
As presented in Figure 1, when compared to control, 600 and 800 mg/kg CGA treatment significantly enhanced the EPR (89.81 ± 1.66% (control), 92.29 ± 3.54% (600 mg/kg CGA), 94.43 ± 4.13% (800 mg/kg CGA)) (p < 0.05). The 800 mg/kg CGA significantly increased AEW (p < 0.05). Additionally, when contrasted with the 600 mg/kg CGA group, the 800 mg/kg CGA treatment significantly enhanced both ERP and AEW (p < 0.05). Conversely, H2O2 treatment markedly decreased the EPR and AEW and increased FCR and ADFI versus the control (p < 0.05). CGA pretreatment mitigated the adverse impacts of H2O2 treatment on the EPR, ADFI, AEW, and FCR versus the H2O2 group.
Figure 1.
Effects of CGA on the laying performance of hens exposed to H2O2 (n = 6 replicates per treatment and n = 60 hens per treatment). a–e Distinct superscript characters differ significantly (p < 0.05). * p < 0.05 and ** p < 0.01 vs. control (Student’s t-test). # p < 0.05 vs. 600 mg/kg CGA group (Student’s t-test). ns, nonsignificant (p > 0.05). Abbreviation: H2O2, hydrogen peroxide; CGA, chlorogenic acid; EPR, egg production rate; ADFI, average daily feed intake; AEW, average egg weight; FCR, feed conversation rate.
3.2. Effects of CGA on the Egg Quality of Hens Subjected to H2O2
As shown in Table 3, when contrasted with the control, 600 and 800 mg/kg CGA significantly improved the Haugh unit (HU), albumen height (AH), and yolk color (YC) (p < 0.05). Conversely, H2O2 treatment markedly reduced the HU and AH (p < 0.05). When compared with the H2O2 treatment group, CGA pretreatment significantly improved the HU and AH in laying hens under H2O2 stress (p < 0.05).
Table 3.
Effects of CGA on the egg quality of hens exposed to H2O2.
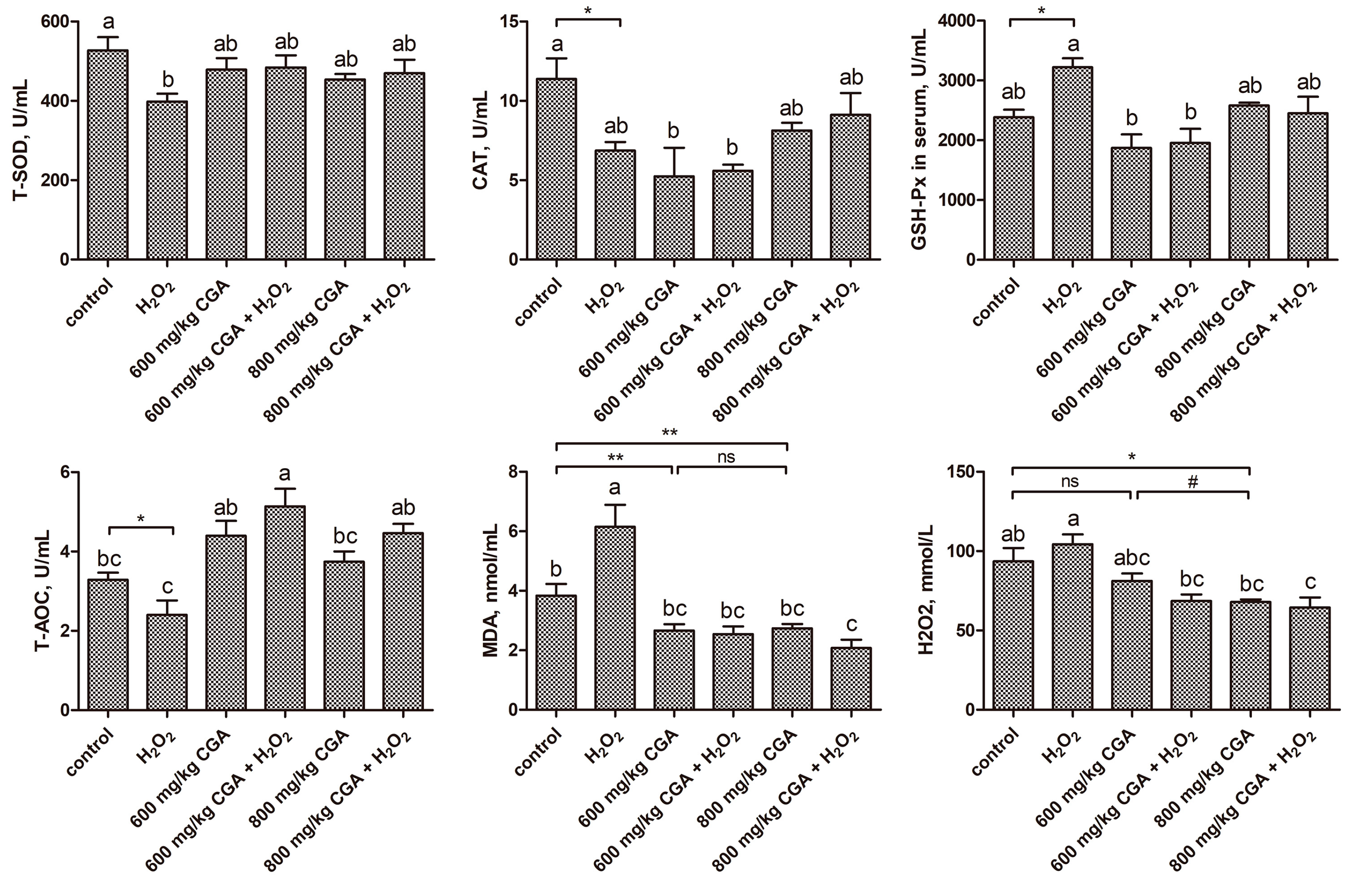
3.3. Effects of CGA on the Serum Redox Status of Hens Subjected to H2O2
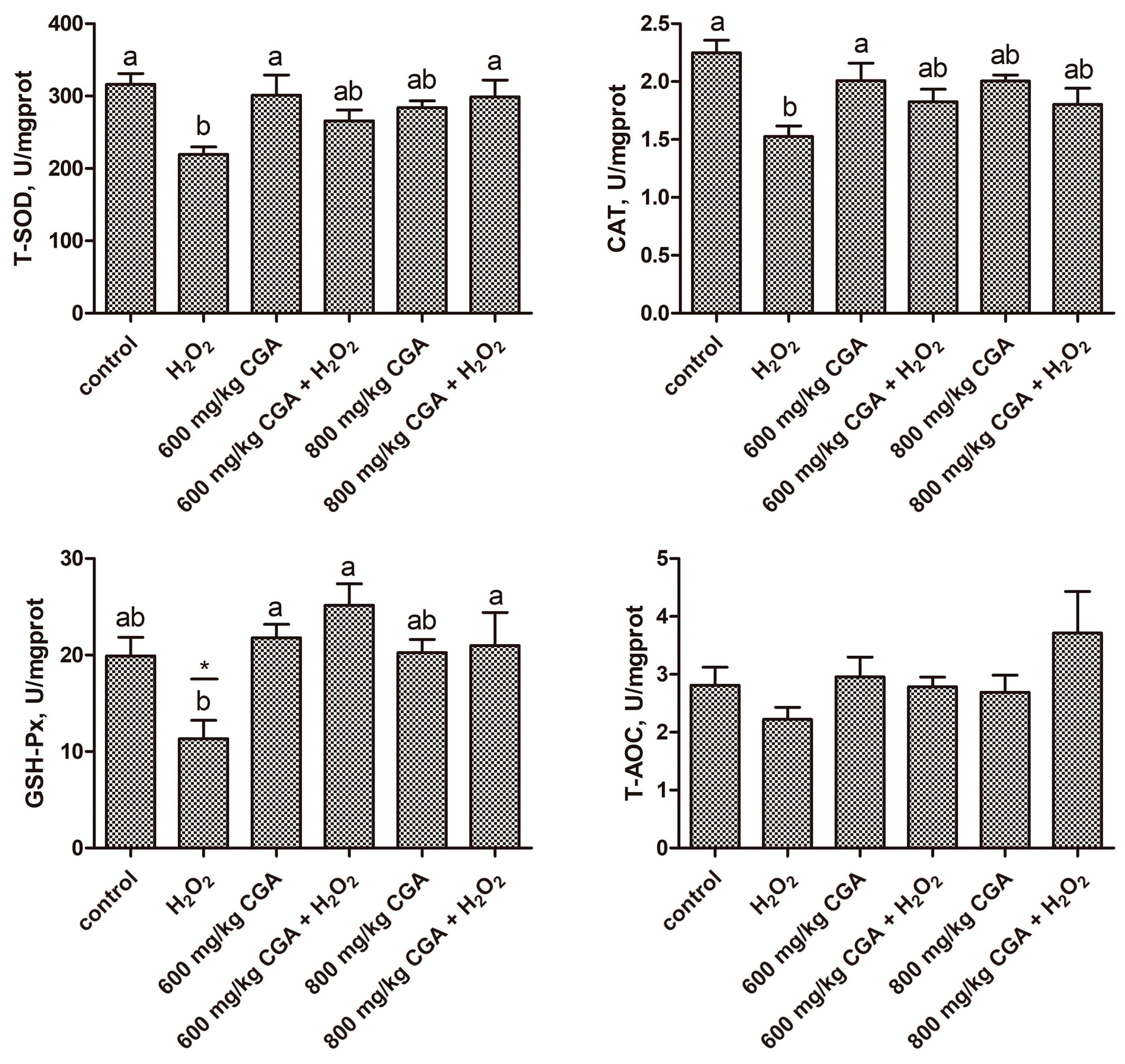
As shown in Figure 2, the 600 mg/kg CGA treatment notably reduced MDA levels, while the 800 mg/kg CGA treatment significantly lowered both MDA and H2O2 levels compared to the control (p < 0.05). Additionally, the 800 mg/kg CGA treatment exhibited a more pronounced inhibition of H2O2 levels than the 600 mg/kg group. H2O2 treatment significantly enhanced the GSH-Px activities and MDA levels while concurrently decreasing the T-SOD, CAT, and T-AOC activities versus the control (p < 0.05). The 600 and 800 mg/kg CGA pretreatment significantly reduced serum MDA and H2O2 levels under H2O2 stress while normalizing T-SOD, GSH-Px, and T-AOC to control values versus the H2O2 group.
Figure 2.
Effects of CGA on the serum redox status of hens exposed to H2O2 (n = 12). a–c There is a significant difference in the columns with different superscript letters (p < 0.05). * p < 0.05 and ** p < 0.01 vs. control (Student’s t-test). # p < 0.05 vs. 600 mg/kg CGA group (Student’s t-test). ns, nonsignificant (p > 0.05). Abbreviation: H2O2, hydrogen peroxide; CGA, chlorogenic acid; CAT, catalase; T-SOD, total superoxide dismutase; GSH-Px, glutathione peroxidase; T-AOC, total antioxidant capacity; H2O2, hydrogen peroxide.
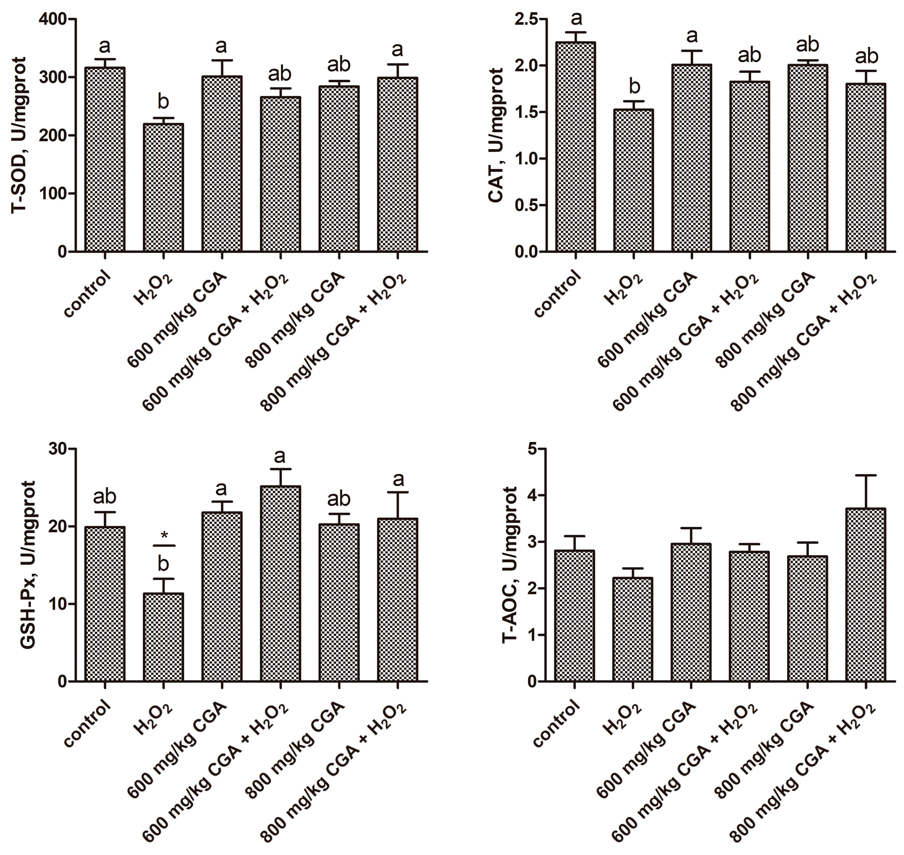
3.4. Effects of CGA on the Liver Redox Status of Hens Subjected to H2O2
As shown in Figure 3, exposure to H2O2 significantly reduced the CAT, T-SOD, and GSH-Px activities in the liver of hens compared to the control (p < 0.05). Conversely, CGA pretreatment normalized hepatic CAT, T-SOD, and GSH-Px levels to control values under H2O2 stress versus the H2O2 group.
Figure 3.
Effects of CGA on liver redox status of hens subjected to H2O2 (n = 12). a,b There is a significant difference in the columns with different superscript letters (p < 0.05). * p < 0.05 vs. control (Student’s t-test). Abbreviation: H2O2, hydrogen peroxide; CGA, chlorogenic acid; CAT, catalase; T-SOD, total superoxide dismutase; GSH-Px, glutathione peroxidase; T-AOC, total antioxidant capacity; MDA, malondialdehyde.
The results presented above demonstrate that pretreatment with CGA at dosages of both 600 and 800 mg/kg significantly mitigated the reduction in production performance, the deterioration of egg quality, and the antioxidant imbalance induced by H2O2. Notably, the administration of 800 mg/kg CGA exhibited a superior effect on the laying performance compared to the 600 mg/kg dosage. Consequently, we have opted to utilize the 800 mg/kg CGA for subsequent experimental investigations.
3.5. Effects of CGA on Liver Histopathology and Inflammation in Hens Subjected to H2O2
As shown in Figure 4, liver tissues from these H2O2 treatment groups exhibited periportal fibrosis and periportal inflammatory cell infiltration. Meanwhile, 800 mg/kg CGA treatment significantly alleviated the pathological phenomena of the liver induced by H2O2 (Figure 4A). In addition, the ROS levels in hepatocytes were detected by immunofluorescence assay, and the findings revealed that H2O2 treatment significantly elevated the ROS levels versus the control (p < 0.05) (Figure 4B,C). The 800 mg/kg CGA pretreatment significantly mitigated H2O2-induced enhancement in ROS generation versus the H2O2 group (p < 0.05). Further, we evaluated CGA’s effect on the expression of hepatic inflammatory factors under OS. The findings indicated that H2O2 treatment significantly upregulated NF-κB, TNFα, and IL-1β gene expression compared to the control (p < 0.05) (Figure 4D). Pretreatment with 800 mg/kg CGA significantly downregulated the inflammation-related gene expression that was upregulated by H2O2 exposure versus the H2O2 group (p < 0.05). These data confirmed that OS induced by H2O2 results in liver injury and inflammation, while pretreatment with CGA can mitigate the OS caused by H2O2 and alleviate the associated liver injury.
Figure 4.
Effects of CGA on liver histopathology and inflammation in hens exposed to H2O2 (n = 12). (A) Hematoxylin and eosin stain (H & E, bar = 50 μm). (B) ROS staining. (C) Quantification of ROS levels in (B). (D) Real-time PCR detection of NF-κB, TNFα, and IL-1β. a,b Distinct superscript characters differ significantly (p < 0.05). Abbreviations: H2O2, hydrogen peroxide; BD, bile duct; PV, portal vein; PF, periportal fibrosis; ROS, reactive oxygen species; NF-κB, nuclear factor kappa B; TNFα, tumor necrosis factor-alpha; IL-1β, interleukin-1 beta.
3.6. Effects of CGA on Hepatocyte Mitochondrial Function in Hens Subjected to H2O2
The TEM results demonstrated that the mitochondrial structure of hepatocytes was damaged by H2O2, and this damage under H2O2 stress was significantly alleviated in the CGA pretreatment group (Figure 5A). Further, we evaluated changes in the markers associated with mitochondrial function. The data indicated that H2O2 exposure significantly upregulated the expression of IP3R, GRP75, MCU, and MFF genes and VDAC1 protein, and downregulated the expression of PGC1α and Fis1 genes and MFN2 protein compared to the controls (p < 0.05). Pretreatment with 800 mg/kg CGA inhibited the downregulation of MFN2 protein, PGC1α and Fis1 genes, and the upregulation of VDAC1 protein, and IP3R, GRP75, MCU, and MFF genes by H2O2 (Figure 5B,C). This suggests that H2O2 disrupts hepatocyte mitochondrial function by activating the IP3R/GRP75/VDAC1/MCU signaling pathway. CGA provides a protective effect by inhibiting the activation of this pathway under H2O2-induced stress.
Figure 5.
Effects of CGA on the hepatic mitochondrial function of laying hens subjected to H2O2. (A) Mitochondrial structure (imaged by TEM, scale bar: 500 nm, red arrowheads depict mitochondria). (B) Western blot detection and quantification of MFN2 and VDAC1 (n = 3, equal portions of 4 liver tissues were mixed into one sample). (C) Real-time PCR detection of IP3R, GRP75, MCU, PGC1α, Fis1, and MFF (n = 12). a–c There is a significant difference in the columns with different superscript letters (p < 0.05). * p < 0.05 vs. control (Student’s t-test). # p < 0.05 vs. H2O2 group (Student’s t-test). Abbreviations: TEM, transmission electron microscopy; H2O2, hydrogen peroxide; MFN2, mitofusin 2; IP3R, inositol 1,4,5-trisphosphate receptor; GRP75, glucose-regulated protein 75; VDAC1, voltage-dependent-anion channel 1; MCU, mitochondrial calcium uniporter; PGC1α, Peroxisome proliferator-activated receptor gamma coactivator 1 alpha; MFF, mitochondria fission factor; Fis-1, fission protein 1.
3.7. Effects of CGA on Lipid Droplet Levels in Hepatocytes of Hens Subjected to H2O2
Meanwhile, we evaluated the influence of CGA on lipid droplet levels in hepatocytes of hens subjected to H2O2, with the finding presented in Figure 6. When contrasted with the control, H2O2 treatment significantly enhanced the liver lipid droplet levels, while 800 mg/kg CGA treatment decreased the liver lipid droplet levels. CGA treatment can alleviate lipid accumulation in hepatocytes caused by H2O2.
Figure 6.
Effects of chlorogenic acid (CGA) on hepatocyte lipid droplet levels in hens subjected to hydrogen peroxide (H2O2). Oil Red O-stained liver sections (Bar = 2000 μm, n = 12) (A) control. (B) H2O2. (C) 800 mg/kg CGA. (D) 800 mg/kg CGA + H2O2.
3.8. Effects of CGA on Lipid Levels and Lipase Activity in the Serum and Liver of Hens Subjected to H2O2
As shown in Table 4, the treatment with H2O2 led to a notable elevation in serum TG and T-CHO levels, as well as an enhancement in the LPL activity compared to the control. Conversely, a significant enhancement in serum HL activity was observed (p < 0.05). In the liver, the H2O2 challenge significantly elevated the TG levels while reducing the T-CHO levels versus the control (p < 0.05). The 800 mg/kg CGA treatment notably lowered serum TG, T-CHO, and LDL-C levels while concurrently enhancing LPL activity compared to the control (p < 0.05). Furthermore, 800 mg/kg CGA significantly suppressed the elevation of serum TGs, T-CHO, LDL-C, and liver TG contents caused by H2O2 (p < 0.05).
Table 4.
Effects of CGA on serum and hepatic lipid contents and lipase activity in hens.
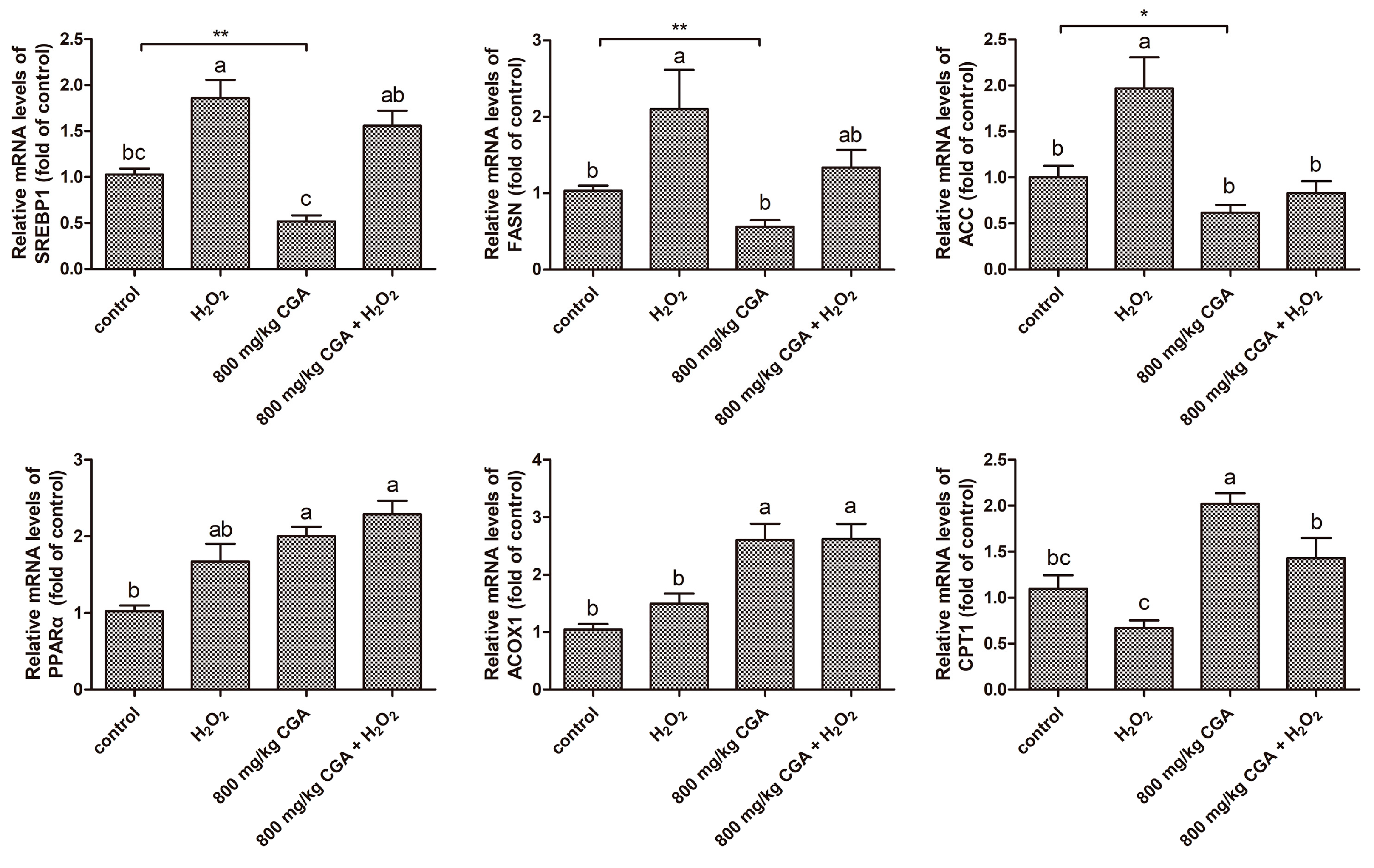
3.9. Effects of CGA on Lipid Metabolism-Related Gene Expression in Hens Subjected to H2O2
As illustrated in Figure 7, when compared to the control, H2O2 treatment significantly upregulated FASN, SREBP1, and ACC gene expression (p < 0.05). The 800 mg/kg CGA significantly downregulated SREBP1, FASN, and ACC gene expression (p < 0.05). Furthermore, the 800 mg/kg CGA pretreatment inhibited SREBP1, FASN, and ACC gene expression induced by H2O2, bringing their levels closer to those of the control group. Additionally, ACOX1, CPT1, and PPARα gene expression levels in the H2O2 treatment group did not exhibit notable differences compared to the control. However, 800 mg/kg CGA significantly upregulated the expression of these genes under both normal and H2O2 stress conditions (p < 0.05). Together, these data demonstrated that H2O2 induces lipid accumulation by promoting fatty acid synthesis. In contrast, CGA alleviates liver fat accumulation caused by H2O2 stress by inhibiting FAS and enhancing FAO.
Figure 7.
Effects of CGA on liver lipid metabolism gene expression in hens exposed to H2O2 (n = 12). a–c Distinct superscript characters differ significantly (p < 0.05). * p < 0.05, ** p < 0.01 vs. control (Student’s t-test). Abbreviation: H2O2, hydrogen peroxide; CGA, chlorogenic acid; FASN, fatty acid synthase; SREBP1, sterol regulatory element binding protein 1; ACC, acetyl-CoA carboxylase; ACOX1, acyl-CoA oxidase 1; CPT1, carnitine palmitoyltransferase 1; PPARα, peroxisome proliferator-activated receptor alpha.
4. Discussion
H2O2 administration can result in free radical overproduction and acute OS, damaging organ structure and function, inducing a systemic inflammatory response, and ultimately leading to decreased growth performance in animals [30,31,32]. This research indicated that intraperitoneal injection of 10% H2O2 can significantly reduce the EPR and EW and increase the FCR and ADFI of laying hens. CGA has been widely used in animal production because of its various physiological functions [33,34]. Wen et al. showed that treatment with CGA (stevia extract, isochlorogenic acid content > 50%) significantly increased the EPR of layers [35]. However, some studies have shown that CGA supplementation (250 and 500 mg/kg) has no noticeable effect on the EPR and reproductive performance of aged hens [26]. In this study, 600 and 800 mg/kg CGA supplementation markedly elevated the EPR and/or AEW of laying hens and protected laying hens from the negative effects of H2O2 on the EPR, EW, FCR, and ADFI. In addition, in this study, H2O2 treatment reduced egg quality, including HU and albumen height. Pretreatment with 600 and 800 mg/kg CGA significantly improved HU, albumen height, and yolk color while simultaneously protecting them from the toxic effects of H2O2. Similar results were found upon the incorporation of CGA into the diet of aged hens [26]. Overall, dietary CGA supplementation can improve laying performance and egg quality and enhance the resistance to environmental stress of laying hens.
The continuous ovulation of laying hens during peak periods can easily cause OS. The liver is the primary target of OS, which can be largely attributed to its various biological functions, particularly its role in detoxification [36]. OS is usually the result of overproduction of ROS, impaired antioxidant systems, mitochondrial dysfunction, or a combination of these factors [37]. Research has indicated that OS is a critical element at every stage of liver injury development and has emerged as one of the suitable molecular biomarkers for the in situ identification of liver damage [38]. In this research, H2O2 treatment significantly decreased serum total antioxidant capacity, increased serum MDA levels, and notably decreased liver CAT, T-SOD, and GSH-Px activities. The results showed that H2O2 treatment destroyed the antioxidant balance in both the body and liver tissue of layers. Further, we found a noticeable enhancement in ROS accumulation in the liver following exposure to H2O2. At the same time, pathological liver slides revealed several significant pathological alterations and inflammatory reactions, including periportal vein fibrosis, biliary duct hyperplasia, and inflammatory cell infiltration around the portal veins. Previous research has demonstrated that ROS are crucial in facilitating inflammation and apoptosis [39]. Excessive ROS can initiate proinflammatory signaling, leading to the release of various inflammatory mediators [40]. Thus, we detected the expression status of inflammatory factors in liver tissue and found that intraperitoneal injection of H2O2 significantly upregulated NF-κB, TNFα, and IL-1β gene expression, which was consistent with pathological observations. Additionally, we observed that CGA pretreatment augmented antioxidant capacity, reduced hepatic ROS levels and expression of inflammatory factors, and significantly alleviated pathological alterations in hepatic tissue. This supports the view that CGA possesses good antioxidant and anti-inflammatory characteristics [25,26]. In summary, CGA pretreatment can effectively preserve the antioxidant balance in both the body and liver, inhibit ROS accumulation and inflammation, and ultimately protect hepatic tissue from OS-induced damage in laying hens subjected to H2O2.
Mitochondria serve as one of the primary contributors to ROS. Since ROS directly damages mitochondrial enzymes, causes mitochondrial DNA mutation, and alters mitochondrial membrane permeability, mitochondria are especially susceptible to oxidative damage [41]. In this research, H2O2 treatment induced significant injury to the mitochondrial structure of hepatocytes, notably reducing MFN2 protein and PGC1α gene expression while increasing Fis1 and MFF gene expression. PGC1α, a major controller of mitochondrial biogenesis, has been shown to alleviate TNF-α-induced liver ischemia-reperfusion injury by regulating MFN2 [42]. MFN2 is responsible for maintaining MAMS coupling structure and mitochondria fusion. The absence or downregulation of MFN2 can disrupt mitochondria fusion and lead to abnormalities in energy metabolism [43]. Mitochondrial division is mainly controlled by DRP1, Fis1, and MFF, and excessive mitochondrial division leads to reduced mitochondrial quality and dysfunction [44]. The findings demonstrated that H2O2 exposure damaged mitochondrial dynamics and disrupted normal mitochondrial function in hens’ hepatocytes. Further, we found that H2O2 exposure significantly enhanced IP3R, GRP75, MCU mRNA, and VDAC1 protein levels in hepatocytes. Research has demonstrated that VDAC, situated in the outer mitochondrial membrane, interacts with IP3R to promote the transfer of Ca2+ from the endoplasmic reticulum to the mitochondrial intermembrane space [45]. MCU is an essential channel protein that mediates the entry of Ca2+ into the mitochondrial matrix [46]. It is consistent with our previous results, which indicated that H2O2 treatment can cause mitochondrial Ca2+ overload by disrupting the coupling structure of mitochondria and endoplasmic reticulum and activating the IP3R/GRP75/VDAC1/MCU signaling axis, thereby inducing cellular OS [30]. In liver cells exposed to OS, CGA preconditioning upregulated the expressions of PGC1α and Mfn2 while downregulating the expression of Fis-1 and MFF. This indicates that CGA is pivotal in regulating mitochondrial homeostasis under OS, which is crucial for maintaining normal mitochondrial morphology and function. Meanwhile, CGA pretreatment significantly inhibited the H2O2-induced upregulation of IP3R, GRP75, and MCU genes, as well as VDAC1 protein in hepatocytes. These findings indicate that CGA prevents H2O2-induced mitochondrial ROS generation via the IP3R/GRP75/VDAC1/MCU signaling axis.
The liver lipid metabolism function of layers is often strongly related to production performance, including laying rate, egg weight, yolk color, and HU [19]. Therefore, normal hepatic lipid metabolism is particularly important in peak-laying hens. Studies have confirmed that OS caused by multiple elements can result in increased hepatic lipid accumulation [11,12]. This aligns with our results, which demonstrated that H2O2 treatment significantly increased hepatic lipid droplet accumulation and elevated TG contents in the liver and both TG and T-CHO contents in the blood. Fatty liver hemorrhagic syndrome (FLHS) is one of the most prevalent metabolic liver disorders in layers, and a prominent characteristic of FLHS is the accumulation of TGs [47]. In liver tissues with FLHS, a high level of oxidative damage was observed [48]. Therefore, reducing cellular ROS levels can help mitigate oxidative damage, which is beneficial for preventing the onset of liver metabolic diseases. In fact, the reduction of OS has been shown to have a lipid-lowering action on liver cells [10]. In this investigation, 800 mg/kg CGA pretreatment notably diminished the increase of liver lipid droplets and TG contents of hens under H2O2 stress. These results indicate that CGA can maintain the balance of hepatic lipid metabolism in hens by decreasing the occurrence of OS.
Further, we investigated the possible molecular mechanism of CGA alleviating H2O2-induced hepatic lipid accumulation in hens. This study demonstrated that H2O2 treatment significantly upregulated liver SREBP1, ACC, and FASN gene expression while downregulated CPT1 gene expression. In liver cells, FAS is regulated through SREBP-1, which promotes the expression of specific lipogenic factors such as FASN, ACC, and SCD1 [49]. Lipid oxidation is the primary pathway of energy metabolism, which mainly occurs in mitochondria. Research has demonstrated that mitochondrial dysfunction and damage are important contributors to metabolic dysfunction-associated fatty liver disease [50]. CPT1 is a critical gene involved in the process of FAO, functioning as a rate-limiting enzyme in the mitochondrial β-oxidation pathway [51]. These findings imply that H2O2 treatment facilitates lipid synthesis and inhibits fatty acid oxidative decomposition by inducing mitochondrial dysfunction, thus stimulating lipid accumulation in hepatocytes. In this experiment, 800 mg/kg CGA pretreatment significantly inhibited the increase of FAS-related genes, specifically SREBP1, ACC, and FASN, induced by H2O2, while promoting the expression of FAO-related genes ACOX1, CPT1, and PPARα. PPARα is prominently expressed in the hepatic tissue and is involved in modulating the expression of CPT1 and ACOX1 (involved in peroxisomal FAO) [52]. These findings indicate that CGA can attenuate OS-induced lipid accumulation in hepatocytes by suppressing FAS and stimulating FAO.
5. Conclusions
Dietary supplementation of 600–800 mg/kg CGA can improve laying performance, enhance egg quality, and reduce lipid peroxidation of laying hens. The improvement in laying performance with 800 mg/kg of CGA is superior to that with 600 mg/kg of CGA. This study provides evidence that dietary CGA supplementation can successfully safeguard hens from H2O2-induced OS by preserving laying performance, egg quality, REDOX status, and liver health. CGA can maintain normal hepatic mitochondrial function through the PGC1α/MFN2 and IP3R/GRP75/VDAC1/MCU signaling axis under OS conditions. CGA alleviates H2O2-induced liver lipid accumulation by suppressing FAS and activating FAO.
Author Contributions
Conceptualization, M.Z. and H.Z.; methodology, H.Z.; software, Z.L.; validation, Y.S. and M.Y.; formal analysis, H.Z. and Z.L.; investigation, H.Z., Z.L., Y.S. and M.Y.; data curation, Z.L.; writing—original draft preparation, M.Z. and H.Z.; writing—review and editing, Y.W.; visualization, Y.L.; project administration, Y.Z.; funding acquisition, M.Z. All authors have read and agreed to the published version of the manuscript.
Funding
This study was funded by the National Natural Science Foundation of China (Grant No. 32202702), the Natural Science Research of Jiangsu Higher Education Institutions of China (Grant No. 22KJB230004), and the College Students’ Innovation and Entrepreneurship Training Program (202410289050Z).
Institutional Review Board Statement
All experimental procedures were conducted with the approval of the Ethics Committee of Jiangsu University of Science and Technology (G2022SJ20) (Zhenjiang, China).
Informed Consent Statement
Not applicable.
Data Availability Statement
The data that support the findings of this study are available from the corresponding author upon reasonable request.
Conflicts of Interest
The authors declare no conflicts of interest.
References
- Abbas, A.O.; Alaqil, A.A.; El-Beltagi, H.S.; Abd El-Atty, H.K.; Kamel, N.N. Modulating laying hens productivity and immune performance in response to oxidative stress induced by E. coli challenge using dietary propolis supplementation. Antioxidants 2020, 9, 893. [Google Scholar] [CrossRef] [PubMed]
- Guo, H.; Wan, H.; Lou, W.; Khan, R.U.; You, J.; Huang, B.; Hao, S.; Li, G.; Dai, S. Deoxynivalenol and t-2 toxin cause liver damage and egg quality degradation through endoplasmic reticulum stress in summer laying hens. Int. J. Biometeorol. 2024, 68, 1387–1396. [Google Scholar] [CrossRef] [PubMed]
- Hu, J.; Xiong, Y.; Gates, R.S.; Cheng, H.W. Perches as cooling devices for reducing heat stress in caged laying hens: A review. Animals 2021, 11, 3026. [Google Scholar] [CrossRef] [PubMed]
- Li, G.; Chen, Y.; Wu, M.; Chen, K.; Zhang, D.; Zhang, R.; Yang, G.; Huang, X. Di (2-ethyl) hexyl phthalate induces liver injury in chickens by regulating pten/pi3k/akt signaling pathway via reactive oxygen species. Comp. Biochem. Physiol. C Toxicol. Pharmacol. 2023, 270, 109639. [Google Scholar] [CrossRef]
- Estevez, M. Oxidative damage to poultry: From farm to fork. Poult. Sci. 2015, 94, 1368–1378. [Google Scholar] [CrossRef]
- Lykkesfeldt, J.; Svendsen, O. Oxidants and antioxidants in disease: Oxidative stress in farm animals. Vet. J. 2007, 173, 502–511. [Google Scholar] [CrossRef]
- Ding, X.; Cai, C.; Jia, R.; Bai, S.; Zeng, Q.; Mao, X.; Xu, S.; Zhang, K.; Wang, J. Dietary resveratrol improved production performance, egg quality, and intestinal health of laying hens under oxidative stress. Poult. Sci. 2022, 101, 101886. [Google Scholar] [CrossRef]
- Wang, J.; Jia, R.; Gong, H.; Celi, P.; Zhuo, Y.; Ding, X.; Bai, S.; Zeng, Q.; Yin, H.; Xu, S.; et al. The effect of oxidative stress on the chicken ovary: Involvement of microbiota and melatonin interventions. Antioxidants 2021, 10, 1422. [Google Scholar] [CrossRef]
- Li, S.; Tan, H.Y.; Wang, N.; Zhang, Z.J.; Lao, L.; Wong, C.W.; Feng, Y. The role of oxidative stress and antioxidants in liver diseases. Int. J. Mol. Sci. 2015, 16, 26087–26124. [Google Scholar] [CrossRef]
- Hassan, W.; Rongyin, G.; Daoud, A.; Ding, L.; Wang, L.; Liu, J.; Shang, J. Reduced oxidative stress contributes to the lipid lowering effects of isoquercitrin in free fatty acids induced hepatocytes. Oxid. Med. Cell Longev. 2014, 2014, 313602. [Google Scholar] [CrossRef]
- Jing, J.; Zeng, H.; Shao, Q.; Tang, J.; Wang, L.; Jia, G.; Liu, G.; Chen, X.; Tian, G.; Cai, J.; et al. Selenomethionine alleviates environmental heat stress induced hepatic lipid accumulation and glycogen infiltration of broilers via maintaining mitochondrial and endoplasmic reticulum homeostasis. Redox Biol. 2023, 67, 102912. [Google Scholar] [CrossRef] [PubMed]
- Sun, J.; Bian, Y.; Ma, Y.; Ali, W.; Wang, T.; Yuan, Y.; Gu, J.; Bian, J.; Liu, Z.; Zou, H. Melatonin alleviates cadmium-induced nonalcoholic fatty liver disease in ducks by alleviating autophagic flow arrest via PPAR-α and reducing oxidative stress. Poult. Sci. 2023, 102, 102835. [Google Scholar] [CrossRef] [PubMed]
- Mato, J.M.; Alonso, C.; Noureddin, M.; Lu, S.C. Biomarkers and subtypes of deranged lipid metabolism in non-alcoholic fatty liver disease. World J. Gastroenterol. 2019, 25, 3009–3020. [Google Scholar] [CrossRef] [PubMed]
- Chen, Z.; Tian, R.; She, Z.; Cai, J.; Li, H. Role of oxidative stress in the pathogenesis of nonalcoholic fatty liver disease. Free Radic. Biol. Med. 2020, 152, 116–141. [Google Scholar] [CrossRef] [PubMed]
- Shen, X.; Steyrer, E.; Retzek, H.; Sanders, E.J.; Schneider, W.J. Chicken oocyte growth: Receptor-mediated yolk deposition. Cell Tissue Res. 1993, 272, 459–471. [Google Scholar] [CrossRef]
- Alves-Bezerra, M.; Cohen, D.E. Triglyceride metabolism in the liver. Compr. Physiol. 2017, 8, 1–8. [Google Scholar]
- Shini, A.; Shini, S.; Bryden, W.L. Fatty liver haemorrhagic syndrome occurrence in laying hens: Impact of production system. Avian Pathol. 2019, 48, 25–34. [Google Scholar] [CrossRef]
- Emami, N.K.; Jung, U.; Voy, B.; Dridi, S. Radical response: Effects of heat stress-induced oxidative stress on lipid metabolism in the avian liver. Antioxidants 2020, 10, 35. [Google Scholar] [CrossRef]
- Zhu, M.K.; Li, H.Y.; Bai, L.H.; Wang, L.S.; Zou, X.T. Histological changes, lipid metabolism, and oxidative and endoplasmic reticulum stress in the liver of laying hens exposed to cadmium concentrations. Poult. Sci. 2020, 99, 3215–3228. [Google Scholar] [CrossRef]
- Wan, X.M.; Chen, J.; Wang, M.; Zheng, C.; Zhou, X.L. Puerarin attenuates cadmium-induced hepatic lipid metabolism disorder by inhibiting oxidative stress and inflammation in mice. J. Inorg. Biochem. 2021, 222, 111521. [Google Scholar] [CrossRef]
- Rashidi, R.; Rezaee, R.; Shakeri, A.; Hayes, A.W.; Karimi, G. A review of the protective effects of chlorogenic acid against different chemicals. J. Food Biochem. 2022, 46, e14254. [Google Scholar] [CrossRef] [PubMed]
- Dkhil, M.A.; Abdel Moneim, A.E.; Bauomy, A.A.; Khalil, M.; Al-Shaebi, E.M.; Al-Quraishy, S. Chlorogenic acid prevents hepatotoxicity in arsenic-treated mice: Role of oxidative stress and apoptosis. Mol. Biol. Rep. 2020, 47, 1161–1171. [Google Scholar] [CrossRef] [PubMed]
- Kim, H.; Pan, J.H.; Kim, S.H.; Lee, J.H.; Park, J.W. Chlorogenic acid ameliorates alcohol-induced liver injuries through scavenging reactive oxygen species. Biochimie 2018, 150, 131–138. [Google Scholar] [CrossRef] [PubMed]
- Wang, Q.; Liu, T.; Koci, M.; Wang, Y.; Fu, Y.; Ma, M.; Ma, Q.; Zhao, L. Chlorogenic acid alleviated afb1-induced hepatotoxicity by regulating mitochondrial function, activating Nrf2/HO-1, and inhibiting noncanonical NF-κB signaling pathway. Antioxidants 2023, 12, 2027. [Google Scholar] [CrossRef] [PubMed]
- Zha, P.; Wei, L.; Liu, W.; Chen, Y.; Zhou, Y. Effects of dietary supplementation with chlorogenic acid on growth performance, antioxidant capacity, and hepatic inflammation in broiler chickens subjected to diquat-induced oxidative stress. Poult. Sci. 2023, 102, 102479. [Google Scholar] [CrossRef]
- Bi, R.; Yang, M.; Liu, X.; Guo, F.; Hu, Z.; Huang, J.; Abbas, W.; Xu, T.; Liu, W.; Wang, Z. Effects of chlorogenic acid on productive and reproductive performances, egg quality, antioxidant functions, and intestinal microenvironment in aged breeder laying hens. Poult. Sci. 2024, 103, 104060. [Google Scholar] [CrossRef]
- Shimoda, H.; Seki, E.; Aitani, M. Inhibitory effect of green coffee bean extract on fat accumulation and body weight gain in mice. BMC Complement. Altern. Med. 2006, 6, 9. [Google Scholar] [CrossRef]
- Wang, J.H.; Liu, Y.L.; Li, C.L.; Yu, J.; Li, X.H.; Wang, F.X.; Li, Y. Effect of chlorogenic acid extracted from eucommia ulmoides oliv on hyperlipemia of mice induced by high fat diet. Sci. Technol. Food Ind. 2012, 15, 360–375. [Google Scholar]
- Livak, K.J.; Schmittgen, T.D. Analysis of relative gene expression data using real-time quantitative PCR and the 2−ΔΔCT Method. Methods 2001, 25, 402–408. [Google Scholar] [CrossRef]
- Zhu, M.; Yan, M.; Chen, J.; Li, H.; Zhang, Y. MicroRNA-129-1-3p attenuates autophagy-dependent cell death by targeting MCU in granulosa cells of laying hens under H2O2-induced oxidative stress. Poult. Sci. 2023, 102, 103006. [Google Scholar] [CrossRef]
- Gunawardena, D.; Raju, R.; Munch, G. Hydrogen peroxide mediates pro-inflammatory cell-to-cell signaling: A new therapeutic target for inflammation? Neural Regen. Res. 2019, 14, 1430–1437. [Google Scholar] [PubMed]
- Xing, T.; Chen, X.; Li, J.; Zhang, L.; Gao, F. Dietary taurine attenuates hydrogen peroxide-impaired growth performance and meat quality of broilers via modulating redox status and cell death signaling. J. Anim. Sci. 2021, 99, skab089. [Google Scholar] [CrossRef] [PubMed]
- Ding, Y.; Cao, Z.; Cao, L.; Ding, G.; Wang, Z.; Xiao, W. Antiviral activity of chlorogenic acid against influenza A (H1N1/H3N2) virus and its inhibition of neuraminidase. Sci. Rep. 2017, 7, 45723. [Google Scholar] [CrossRef] [PubMed]
- La Rosa, G.; Sozio, C.; Pipicelli, L.; Raia, M.; Palmiero, A.; Santillo, M.; Damiano, S. Antioxidant, anti-inflammatory and pro-differentiative effects of chlorogenic acid on M03-13 human oligodendrocyte-like cells. Int. J. Mol. Sci. 2023, 24, 16731. [Google Scholar] [CrossRef]
- Wen, K.; Zhang, K.; Gao, W.; Bai, S.; Wang, J.; Song, W.; Zeng, Q.; Peng, H.; Lv, L.; Xuan, Y.; et al. Effects of stevia extract on production performance, serum biochemistry, antioxidant capacity, and gut health of laying hens. Poult. Sci. 2024, 103, 103188. [Google Scholar] [CrossRef]
- Cichoz-Lach, H.; Michalak, A. Oxidative stress as a crucial factor in liver diseases. World J. Gastroenterol. 2014, 20, 8082–8091. [Google Scholar] [CrossRef]
- Nita, M.; Grzybowski, A. Smoking and eye pathologies. A systemic review. Part I. Anterior eye segment pathologies. Curr. Pharm. Des. 2017, 23, 629–638. [Google Scholar]
- Wang, Y.; Li, Z.; Guo, G.; Xia, Y. Liver injury traceability: Spatiotemporally monitoring oxidative stress processes by unit-emitting carbon dots. Anal. Chem. 2023, 95, 2765–2773. [Google Scholar] [CrossRef]
- Li, L.; Chu, X.; Yao, Y.; Cao, J.; Li, Q.; Ma, H. (−)-Hydroxycitric acid alleviates oleic acid-induced steatosis, oxidative stress, and inflammation in primary chicken hepatocytes by regulating AMP-activated protein kinase-mediated reactive oxygen species levels. J. Agric. Food Chem. 2020, 68, 11229–11241. [Google Scholar] [CrossRef]
- Forrester, S.J.; Kikuchi, D.S.; Hernandes, M.S.; Xu, Q.; Griendling, K.K. Reactive oxygen species in metabolic and inflammatory signaling. Circ. Res. 2018, 122, 877–902. [Google Scholar] [CrossRef]
- Slimen, I.B.; Najar, T.; Ghram, A.; Dabbebi, H.; Ben Mrad, M.; Abdrabbah, M. Reactive oxygen species, heat stress and oxidative-induced mitochondrial damage. A review. Int. J. Hyperthermia 2014, 30, 513–523. [Google Scholar] [CrossRef] [PubMed]
- Li, J.; Ke, W.; Zhou, Q.; Wu, Y.; Luo, H.; Zhou, H.; Yang, B.; Guo, Y.; Zheng, Q.; Zhang, Y. Tumour necrosis factor-alpha promotes liver ischaemia-reperfusion injury through the PGC-1alpha/Mfn2 pathway. J. Cell Mol. Med. 2014, 18, 1863–1873. [Google Scholar] [CrossRef] [PubMed]
- Zorzano, A.; Liesa, M.; Sebastian, D.; Segales, J.; Palacin, M. Mitochondrial fusion proteins: Dual regulators of morphology and metabolism. Semin. Cell Dev. Biol. 2010, 21, 566–574. [Google Scholar] [CrossRef] [PubMed]
- Bi, J.; Zhang, J.; Ren, Y.; Du, Z.; Li, Q.; Wang, Y.; Wei, S.; Yang, L.; Zhang, J.; Liu, C.; et al. Irisin alleviates liver ischemia-reperfusion injury by inhibiting excessive mitochondrial fission, promoting mitochondrial biogenesis and decreasing oxidative stress. Redox Biol. 2019, 20, 296–306. [Google Scholar] [CrossRef] [PubMed]
- Rosencrans, W.M.; Rajendran, M.; Bezrukov, S.M.; Rostovtseva, T.K. VDAC regulation of mitochondrial calcium flux: From channel biophysics to disease. Cell Calcium 2021, 94, 102356. [Google Scholar] [CrossRef]
- D’Angelo, D.; Rizzuto, R. The Mitochondrial Calcium Uniporter (MCU): Molecular identity and role in human diseases. Biomolecules 2023, 13, 1304. [Google Scholar] [CrossRef]
- Squires, E.J.; Leeson, S. Aetiology of fatty liver syndrome in laying hens. Br. Vet. J. 1988, 144, 602–609. [Google Scholar] [CrossRef]
- San, J.; Hu, J.; Pang, H.; Zuo, W.; Su, N.; Guo, Z.; Wu, G.; Yang, J. Taurine protects against the fatty liver hemorrhagic syndrome in laying hens through the regulation of mitochondrial homeostasis. Int. J. Mol. Sci. 2023, 24, 10360. [Google Scholar] [CrossRef]
- Linden, A.G.; Li, S.; Choi, H.Y.; Fang, F.; Fukasawa, M.; Uyeda, K.; Hammer, R.E.; Horton, J.D.; Engelking, L.J.; Liang, G. Interplay between ChREBP and SREBP-1c coordinates postprandial glycolysis and lipogenesis in livers of mice. J. Lipid Res. 2018, 59, 475–487. [Google Scholar] [CrossRef]
- Pessayre, D.; Fromenty, B. NASH: A mitochondrial disease. J. Hepatol. 2005, 42, 928–940. [Google Scholar] [CrossRef]
- Mandard, S.; Muller, M.; Kersten, S. Peroxisome proliferator-activated receptor alpha target genes. Cell Mol. Life Sci. 2004, 61, 393–416. [Google Scholar] [CrossRef] [PubMed]
- Bougarne, N.; Weyers, B.; Desmet, S.J.; Deckers, J.; Ray, D.W.; Staels, B.; De Bosscher, K. Molecular actions of PPARα in lipid metabolism and inflammation. Endocr. Rev. 2018, 39, 760–802. [Google Scholar] [CrossRef] [PubMed]
Disclaimer/Publisher’s Note: The statements, opinions and data contained in all publications are solely those of the individual author(s) and contributor(s) and not of MDPI and/or the editor(s). MDPI and/or the editor(s) disclaim responsibility for any injury to people or property resulting from any ideas, methods, instructions or products referred to in the content. |
© 2024 by the authors. Licensee MDPI, Basel, Switzerland. This article is an open access article distributed under the terms and conditions of the Creative Commons Attribution (CC BY) license (https://creativecommons.org/licenses/by/4.0/).






