Bioactivities of Quinic Acids from Vitex rotundifolia Obtained by Supercritical Fluid Extraction
Abstract
1. Introduction
2. Materials and Methods
2.1. Plant Materials
2.2. Fractionation and Separation of Marker Compounds 1–7
2.3. LC-MS/MS Conditions and Molecular Network Experiments
2.4. Feature-Based Molecular Networking (MN)
2.5. Modified Mosher Method

2.6. Preparation of (S)- and (R)-Phenylglycine Methyl Ester (PGME) Amides of 5
2.7. Antioxidative Assay
2.8. Cell Culture and Cell Viability of Human Colon Epithelial (HT-29) and Mouse Macrophage (RAW264.7) Cells
2.9. Determination NO Production
2.10. ELISA Assay
2.11. Western Blot Assay
2.12. In Silico Studies
2.13. Statistical Analysis
3. Results
3.1. Molecular Network-Guided Isolation of AQA Compounds
3.2. Structural Elucidation
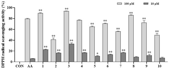
3.3. Antioxidative Effect of AQAs
3.4. AQAs Downstream Cytokine Production
3.5. Molecular Docking Guide AQAs Suppress iNOS and COX-2 Expression
3.6. Compounds 2–5, 7, and 8 Inhibited LPS-Induced p38 MAPK Phosphorylation in RAW264.7 Macrophages
4. Discussion
5. Conclusions
Supplementary Materials
Author Contributions
Funding
Institutional Review Board Statement
Informed Consent Statement
Data Availability Statement
Acknowledgments
Conflicts of Interest
References
- Zhao, H.; Wu, L.; Yan, G.; Chen, Y.; Zhou, M.; Wu, Y.; Li, Y. Inflammation and tumor progression: Signaling pathways and targeted intervention. Signal Transduct. Target. Ther. 2021, 6, 263. [Google Scholar] [CrossRef] [PubMed]
- Chen, L.; Deng, H.; Cui, H.; Fang, J.; Zuo, Z.; Deng, J.; Li, Y.; Wang, X.; Zhao, L. Inflammatory responses and inflammation-associated diseases in organs. Oncotarget 2017, 9, 7204–7218. [Google Scholar] [CrossRef] [PubMed]
- Zhang, Q.-W.; Lin, L.-G.; Ye, W.-C. Techniques for extraction and isolation of natural products: A comprehensive review. Chin. Med. 2018, 13, 20. [Google Scholar] [CrossRef] [PubMed]
- Ahari, H.; Anvar, S.A.; Beik, S.A.; Moradi, S. Chapter Four-Supercritical fluid extraction in the food industry. In Extraction Processes in the Food Industry; Jafari, S.M., Akhavan-Mahdavi, S., Eds.; Woodhead Publishing: Sawston, UK, 2024; pp. 77–96. [Google Scholar]
- Singh, S.; Verma, D.K.; Thakur, M.; Tripathy, S.; Patel, A.R.; Shah, N.; Utama, G.L.; Srivastav, P.P.; Benavente-Valdés, J.R.; Chávez-González, M.L.; et al. Supercritical fluid extraction (SCFE) as green extraction technology for high-value metabolites of algae, its potential trends in food and human health. Food Res. Int. 2021, 150, 110746. [Google Scholar] [CrossRef] [PubMed]
- Hu, Y.; Zhang, Q.; Xin, H.; Qin, L.-P.; Lu, B.-R.; Rahman, K.; Zheng, H. Association between chemical and genetic variation of Vitex rotundifolia populations from different locations in China: Its implication for quality control of medicinal plants. Biomed. Chromatogr. 2007, 21, 967–975. [Google Scholar] [CrossRef]
- Xiao, B.D. Lingnan Herbs Recorded, Guangzhou; Guangdong science and Technology Press: Guangzhou, China, 2009. [Google Scholar]
- Kimura, T.; But, P.P.H.; Sung, C.K.; Han, B.H. International Collation of Traditional and Folk Medicine; World Scientific: Singapore, 1996; Volume 1. [Google Scholar]
- Ong, H.G.; Kim, Y.-D. Quantitative ethnobotanical study of the medicinal plants used by the Ati Negrito indigenous group in Guimaras island, Philippines. J. Ethnopharmacol. 2014, 157, 228–242. [Google Scholar] [CrossRef]
- Yan, C.-X.; Wei, Y.-W.; Li, H.; Xu, K.; Zhai, R.-X.; Meng, D.-C.; Fu, X.-J.; Ren, X. Vitex rotundifolia L. f. and Vitex trifolia L.: A review on their traditional medicine, phytochemistry, pharmacology. J. Ethnopharmacol. 2023, 308, 116273. [Google Scholar] [CrossRef]
- Husna, N.; Amir, W.; Laili, N.; Aniq, M.; En, C.; Wini, N.; Assaw, S. The coastal medicinal plant Vitex rotundifolia: A mini-review on its bioactive compounds and pharmacological activity. Tradit. Med. Res. 2021, 6, 11–20. [Google Scholar] [CrossRef]
- Cimmino, A.; Masi, M.; Evidente, M.; Superchi, S.; Evidente, A. Application of Mosher’s method for absolute configuration assignment to bioactive plants and fungi metabolites. J. Pharm. Biomed. Anal. 2017, 144, 59–89. [Google Scholar] [CrossRef] [PubMed]
- Kim, C.-K.; Yu, J.; Le, D.; Han, S.; Yu, S.; Lee, M. Anti-inflammatory activity of caffeic acid derivatives from Ilex rotunda. Int. Immunopharmacol. 2023, 115, 109610. [Google Scholar] [CrossRef]
- Le, D.; Han, S.; Ahn, J.; Yu, J.; Kim, C.-K.; Lee, M. Analysis of Antioxidant Phytochemicals and Anti-Inflammatory Effect from Vitex rotundifolia L.f. Antioxidants 2022, 11, 454. [Google Scholar] [CrossRef] [PubMed]
- Le, D.D.; Min, K.H.; Lee, M. Antioxidant and anti-Inflammatory capacities of fractions and constituents from Vicia tetrasperma. Antioxidants 2023, 12, 1044. [Google Scholar] [CrossRef] [PubMed]
- Mullen, W.; Nemzer, B.; Stalmach, A.; Ali, S.; Combet, E. Polyphenolic and Hydroxycinnamate Contents of Whole Coffee Fruits from China, India, and Mexico. J. Agric. Food Chem. 2013, 61, 5298–5309. [Google Scholar] [CrossRef] [PubMed]
- Tatefuji, T.; Izumi, N.; Ohta, T.; Arai, S.; Ikeda, M.; Kurimoto, M. Isolation and Identification of Compounds from Brazilian Propolis which Enhance Macrophage Spreading and Mobility. Biol. Pharm. Bull. 1996, 19, 966–970. [Google Scholar] [CrossRef] [PubMed][Green Version]
- Wang, F.; Kong, B.L.-H.; Tang, Y.-S.; Lee, H.-K.; Shaw, P.-C. Bioassay guided isolation of caffeoylquinic acids from the leaves of Ilex pubescens Hook. et Arn. and investigation of their anti-influenza mechanism. J. Ethnopharmacol. 2023, 309, 116322. [Google Scholar] [CrossRef]
- Lee, E.J.; Kim, J.S.; Kim, H.P.; Lee, J.-H.; Kang, S.S. Phenolic constituents from the flower buds of Lonicera japonica and their 5-lipoxygenase inhibitory activities. Food Chem. 2010, 120, 134–139. [Google Scholar] [CrossRef]
- Lin, L.-C.; Kuo, Y.-C.; Chou, C.-J. Immunomodulatory Principles of Dichrocephala bicolor. J. Nat. Prod. 1999, 62, 405–408. [Google Scholar] [CrossRef]
- Basnet, P.; Matsushige, K.; Hase, K.; Kadota, S.; Namba, T. Four Di-O-caffeoyl Quinic Acid Derivatives from Propolis. Potent Hepatoprotective Activity in Experimental Liver Injury Models. Biol. Pharm. Bull. 1996, 19, 1479–1484. [Google Scholar] [CrossRef]
- Netea, M.G.; Balkwill, F.; Chonchol, M.; Cominelli, F.; Donath, M.Y.; Giamarellos-Bourboulis, E.J.; Golenbock, D.; Gresnigt, M.S.; Heneka, M.T.; Hoffman, H.M.; et al. A guiding map for inflammation. Nat. Immunol. 2017, 18, 826–831. [Google Scholar] [CrossRef]
- Hunter, P. The inflammation theory of disease. EMBO Rep. 2012, 13, 968–970. [Google Scholar] [CrossRef]
- Li, L.; Su, C.; Chen, X.; Wang, Q.; Jiao, W.; Luo, H.; Tang, J.; Wang, W.; Li, S.; Guo, S. Chlorogenic Acids in Cardiovascular Disease: A Review of Dietary Consumption, Pharmacology, and Pharmacokinetics. J. Agric. Food Chem. 2020, 68, 6464–6484. [Google Scholar] [CrossRef] [PubMed]
- Liang, N.; Kitts, D.D. Role of chlorogenic acids in controlling oxidative and inflammatory stress conditions. Nutrients 2016, 8, 16. [Google Scholar] [CrossRef] [PubMed]
- Di Pede, G.; Mena, P.; Bresciani, L.; Achour, M.; Lamuela-Raventós, R.M.; Estruch, R.; Landberg, R.; Kulling, S.E.; Wishart, D.; Rodriguez-Mateos, A.; et al. A systematic review and comprehensive evaluation of human intervention studies to unravel the bioavailability of hydroxycinnamic acids. Antioxid. Redox Signal. 2023, 40, 510–541. [Google Scholar] [CrossRef] [PubMed]
- Weinberg, J.B. Nitric oxide synthase 2 and cyclooxygenase 2 interactions in inflammation. Immunol. Res. 2000, 22, 319–341. [Google Scholar] [CrossRef] [PubMed]
- Kaur, J.; Preethi, M.; Srivastava, R.; Borse, V. Role of IL-6 and IL-8 biomarkers for optical and electrochemical based point-of-care detection of oral cancer. Biosens. Bioelectron. X 2022, 11, 100212. [Google Scholar] [CrossRef]
- Matsushima, K.; Yang, D.; Oppenheim, J.J. Interleukin-8: An evolving chemokine. Cytokine 2022, 153, 155828. [Google Scholar] [CrossRef]
- Kyriakis, J.M.; Avruch, J. Mammalian Mitogen-Activated Protein Kinase Signal Transduction Pathways Activated by Stress and Inflammation. Physiol. Rev. 2001, 81, 807–869. [Google Scholar] [CrossRef]
- Zarubin, T.; Han, J. Activation and signaling of the p38 MAP kinase pathway. Cell Res. 2005, 15, 11–18. [Google Scholar] [CrossRef]
- Clifford, M.N.; Jaganath, I.B.; Ludwig, I.A.; Crozier, A. Chlorogenic acids and the acyl-quinic acids: Discovery, biosynthesis, bioavailability and bioactivity. Nat. Prod. Rep. 2017, 34, 1391–1421. [Google Scholar] [CrossRef]







| No. | 5 | 7 | ||
|---|---|---|---|---|
| δC | δH | δC | δH | |
| 1 | 74.8 | – | 75.8 | - |
| 2 | 37.0 | 2.18 (1H, dd, 7.6, 13.7) 2.35 (1H, dd, 4.1, 13.7) | 38.6 | 2.09 (1H, dd, 6.9, 14.1) 2.37 (1H, dd, 3.7, 14.1) |
| 3 | 72.3 | 5.48 (1H, dt, 3.7, 7.3) | 68.5 | 4.41 (1H, m) |
| 4 | 70.1 | 4.00 (1H, dd, 3.2, 6.9) | 75.2 | 5.18 (1H, dd, 3.1, 8.0) |
| 5 | 72.1 | 5.35 (1H, ddd, 4.2, 7.1, 11.1) | 69.0 | 5.60 (1H, m) |
| 6 | 35.8 | 2.20 (2H, m) | 38.5 | 2.23 (1H, dd, 4.6, 13.7) 2.30 (1H, d, 8.4, 4.9) |
| 7 | 175.8 | – | 175.2 | - |
| 7-OCH3 | 53.0 | 3.68 (3H, s) | 53.1 | 3.71 (3H, s) |
| BA | ||||
| 1′ | 122.6 | – | 123.1 | - |
| 2′ | 133.2 | 7.96 (2H, d, 8.7) | 133.1 | 7.92 (2H, d, 8.8) |
| 3′ | 116.0 | 6.82 (2H, d, 8.7) | 116.3 | 6.81 (2H, d, 8.8) |
| 4′ | 163.5 | – | 164.1 | - |
| 5′ | 116.0 | 6.82 (2H, d, 8.7) | 116.3 | 6.81 (2H, d, 8.8) |
| 6′ | 133.2 | 7.96 (2H, d, 8.7) | 133.1 | 7.92 (2H, d, 8.8) |
| 7′ | 167.7 | – | 167.5 | |
| CFA | ||||
| 1″ | 127.6 | 127.3 | - | |
| 2″ | 115.1 | 7.04 (1H, d, 2.3) | 115.0 | 6.99 (1H, d, 1.0) |
| 3″ | 146.9 | – | 146.9 | - |
| 4″ | 149.8 | – | 150.1 | - |
| 5″ | 116.6 | 6.77 (1H, d, 8.2) | 116.5 | 6.76 (1H, d, 8.2) |
| 6″ | 123.1 | 6.96 (1H, dd, 2.3, 8.2) | 121.7 | 6.91 (1H, dd, 1.0, 8.2) |
| 7″ | 114.9 | 7.54 (1H, d, 16.0) | 114.3 | 7.48 (1H, d, 16.0) |
| 8″ | 147.4 | 6.22 (1H, d, 16.0) | 147.7 | 6.14 (1H, d, 16.0) |
| 9″ | 168.1 | – | 167.9 | - |
Disclaimer/Publisher’s Note: The statements, opinions and data contained in all publications are solely those of the individual author(s) and contributor(s) and not of MDPI and/or the editor(s). MDPI and/or the editor(s) disclaim responsibility for any injury to people or property resulting from any ideas, methods, instructions or products referred to in the content. |
© 2024 by the authors. Licensee MDPI, Basel, Switzerland. This article is an open access article distributed under the terms and conditions of the Creative Commons Attribution (CC BY) license (https://creativecommons.org/licenses/by/4.0/).
Share and Cite
Le, D.D.; Jang, Y.S.; Truong, V.; Yu, S.; Dinh, T.; Lee, M. Bioactivities of Quinic Acids from Vitex rotundifolia Obtained by Supercritical Fluid Extraction. Antioxidants 2024, 13, 1235. https://doi.org/10.3390/antiox13101235
Le DD, Jang YS, Truong V, Yu S, Dinh T, Lee M. Bioactivities of Quinic Acids from Vitex rotundifolia Obtained by Supercritical Fluid Extraction. Antioxidants. 2024; 13(10):1235. https://doi.org/10.3390/antiox13101235
Chicago/Turabian StyleLe, Duc Dat, Young Su Jang, Vinhquang Truong, Soojung Yu, Thientam Dinh, and Mina Lee. 2024. "Bioactivities of Quinic Acids from Vitex rotundifolia Obtained by Supercritical Fluid Extraction" Antioxidants 13, no. 10: 1235. https://doi.org/10.3390/antiox13101235
APA StyleLe, D. D., Jang, Y. S., Truong, V., Yu, S., Dinh, T., & Lee, M. (2024). Bioactivities of Quinic Acids from Vitex rotundifolia Obtained by Supercritical Fluid Extraction. Antioxidants, 13(10), 1235. https://doi.org/10.3390/antiox13101235

