Chemical Composition and Antioxidant Activity of Six Allium Extracts Using Protein-Based Biomimetic Methods
Abstract
1. Introduction
2. Materials and Methods
2.1. Extract Preparation
2.2. Phytochemical Analysis
2.3. Free Radical Scavenging Activity of Allium Extracts
2.3.1. DPPH (2,2-Diphenyl-1-picrylhydrazyl) Assay
2.3.2. ABTS [2,2′-Azinobis-(3-ethylbenzothiazoline-6-sulfonic acid)] Method
2.4. Peroxide Scavenging Activity of the Allium Extracts
2.5. Interaction of Allium Extracts with Cytochrome c and Hemoglobin
2.6. Hydroxyl Radical Scavenging of Allium Extracts
2.7. Interaction with Bovine Serum Albumin (BSA) of Allium Extracts
2.8. Statistical Analysis
3. Results
3.1. Free Radical Scavenging Activity of Extracts
3.2. Hydroxyl Radical Scavenging
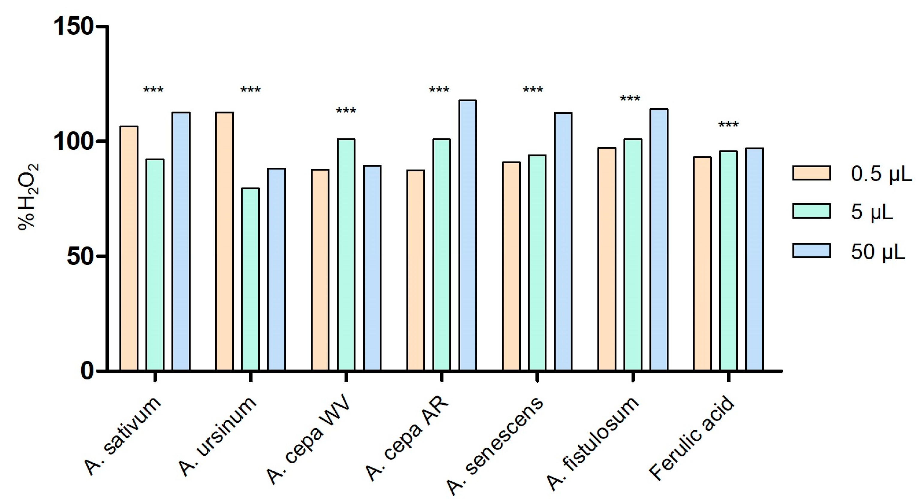
3.3. Peroxide Scavenging Activity
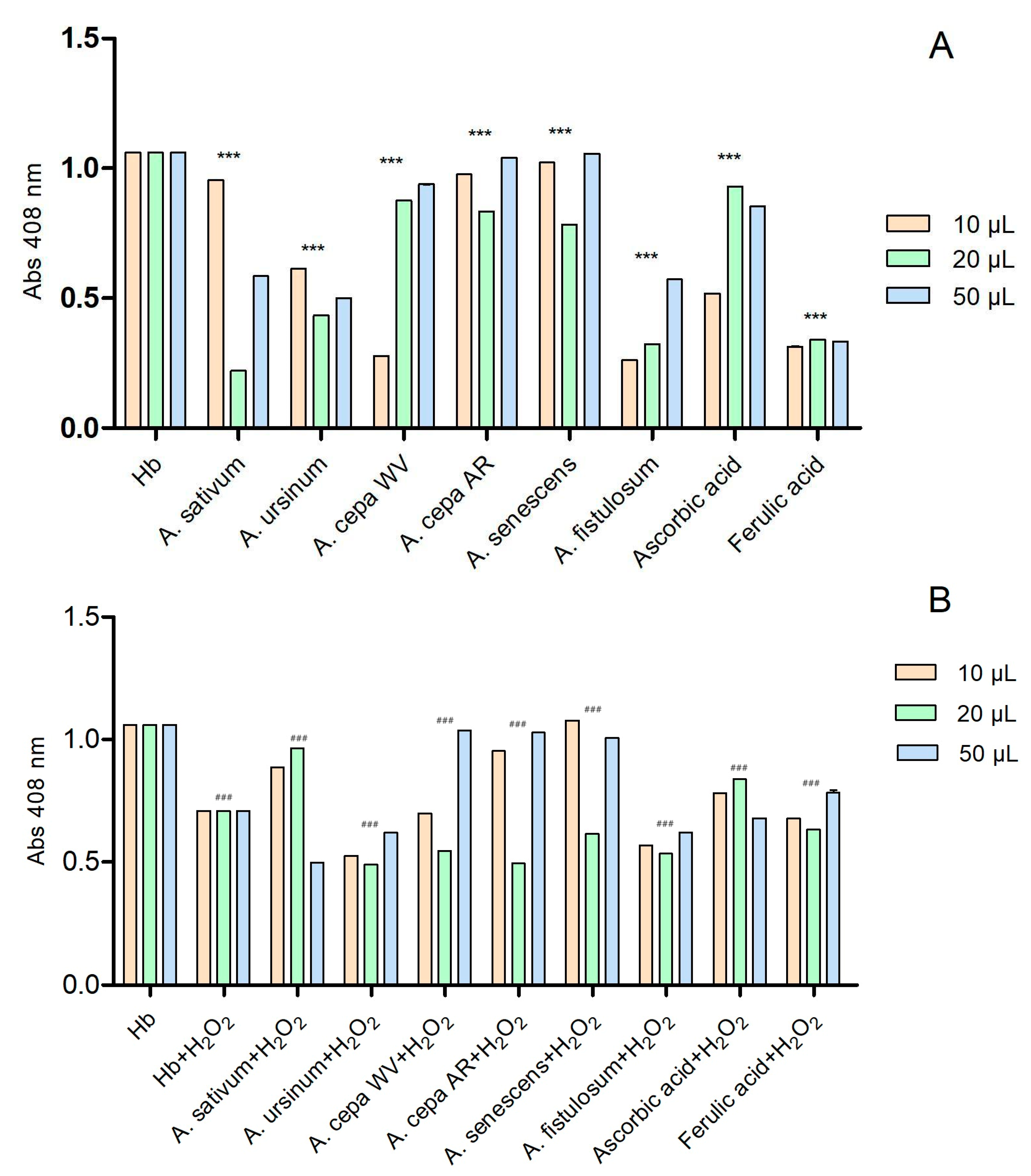
3.4. Interaction with Hemoglobin and Cytochrome c of Allium Extracts
3.5. Measurement of the Affinity of Allium Extracts for Plasma Proteins
3.6. Phytochemical Analysis of the Extracts
4. Discussion
5. Conclusions
Author Contributions
Funding
Institutional Review Board Statement
Informed Consent Statement
Data Availability Statement
Acknowledgments
Conflicts of Interest
References
- El-Saber Batiha, G.; Magdy Beshbishy, A.; Wasef, L.G.; Elewa, Y.H.A.; Al-Sagan, A.A.; Abd El-Hack, M.E.; Taha, A.E.; Abd-Elhakim, Y.M.; Prasad Devkota, H. Chemical Constituents and Pharmacological Activities of Garlic (Allium sativum L.): A Review. Nutrients 2020, 12, 872. [Google Scholar] [CrossRef] [PubMed]
- Chidike Ezeorba, T.P.; Ezugwu, A.L.; Chukwuma, I.F.; Anaduaka, E.G.; Udenigwe, C.C. Health-Promoting Properties of Bioactive Proteins and Peptides of Garlic (Allium sativum). Food Chem. 2024, 435, 137632. [Google Scholar] [CrossRef] [PubMed]
- Brainina, K.; Stozhko, N.; Vidrevich, M. Antioxidants: Terminology, Methods, and Future Considerations. Antioxidants 2019, 8, 297. [Google Scholar] [CrossRef] [PubMed]
- Kurnia, D.; Ajiati, D.; Heliawati, L.; Sumiarsa, D. Antioxidant Properties and Structure-Antioxidant Activity Relationship of Allium Species Leaves. Molecules 2021, 26, 7175. [Google Scholar] [CrossRef] [PubMed]
- Cheng, H.; Huang, G.; Huang, H. The Antioxidant Activities of Garlic Polysaccharide and Its Derivatives. Int. J. Biol. Macromol. 2020, 145, 819–826. [Google Scholar] [CrossRef]
- Krivokapic, M.; Bradic, J.; Petkovic, A.; Popovic, M. Phytochemical and Pharmacological Properties of Allium ursinum. Serbian J. Exp. Clin. Res. 2018; ahead-of-print. [Google Scholar] [CrossRef]
- Taşcı, B.; Kütük, H.; Koca, İ. Antioxidant Activity of Allium scorodoprasum L. Subsp. Rotundum (L.) STEARN Plant Grown in Turkey. Turk. J. Agric.-Food Sci. Technol. 2019, 7, 1561–1567. [Google Scholar] [CrossRef]
- Cory, H.; Passarelli, S.; Szeto, J.; Tamez, M.; Mattei, J. The Role of Polyphenols in Human Health and Food Systems: A Mini-Review. Front. Nutr. 2018, 5, 370438. [Google Scholar] [CrossRef]
- Lidiková, J.; Čeryová, N.; Tóth, T.; Musilová, J.; Vollmannová, A.; Mammadova, K.; Ivanišová, E.; Lidiková, J.; Čeryová, N.; Tóth, T.; et al. Garlic (Allium sativum L.): Characterization of Bioactive Compounds and Related Health Benefits. In Herbs and Spices—New Advances; IntechOpen: London, UK, 2022; ISBN 978-1-83768-475-5. [Google Scholar]
- Metrani, R.; Singh, J.; Acharya, P.; Jayaprakasha, G.K.; Patil, B.S. Comparative Metabolomics Profiling of Polyphenols, Nutrients and Antioxidant Activities of Two Red Onion (Allium cepa L.) Cultivars. Plants 2020, 9, 1077. [Google Scholar] [CrossRef]
- Jan, R.; Khan, M.; Asaf, S.; Lubna; Asif, S.; Kim, K.-M. Bioactivity and Therapeutic Potential of Kaempferol and Quercetin: New Insights for Plant and Human Health. Plants 2022, 11, 2623. [Google Scholar] [CrossRef]
- Alvarez-Paggi, D.; Hannibal, L.; Castro, M.A.; Oviedo-Rouco, S.; Demicheli, V.; Tórtora, V.; Tomasina, F.; Radi, R.; Murgida, D.H. Multifunctional Cytochrome c: Learning New Tricks from an Old Dog. Chem. Rev. 2017, 117, 13382–13460. [Google Scholar] [CrossRef]
- Chen, L.; Hao, J.; Xu, L.; Meng, X.; Li, X.; Nie, C.; Xie, F.; Liu, K.; Peng, X.; Xie, J.; et al. Spectroscopic Approach for the Interaction of Carbon Nanoparticles with Cytochrome c and BY-2 Cells: Protein Structure and Mitochondrial Function. Int. J. Biol. Macromol. 2019, 138, 29–36. [Google Scholar] [CrossRef] [PubMed]
- Faggiano, S.; Ronda, L.; Bruno, S.; Abbruzzetti, S.; Viappiani, C.; Bettati, S.; Mozzarelli, A. From Hemoglobin Allostery to Hemoglobin-Based Oxygen Carriers. Mol. Asp. Med. 2022, 84, 101050. [Google Scholar] [CrossRef]
- Ahmed, M.H.; Ghatge, M.S.; Safo, M.K. Hemoglobin: Structure, Function and Allostery. In Vertebrate and Invertebrate Respiratory Proteins, Lipoproteins and other Body Fluid Proteins; Hoeger, U., Harris, J.R., Eds.; Springer International Publishing: Cham, Switzerland, 2020; pp. 345–382. ISBN 978-3-030-41769-7. [Google Scholar]
- Rifkind, J.M.; Mohanty, J.G.; Nagababu, E. The Pathophysiology of Extracellular Hemoglobin Associated with Enhanced Oxidative Reactions. Front. Physiol. 2015, 5, 500. [Google Scholar] [CrossRef] [PubMed]
- Dutra, F.F.; Bozza, M.T. Heme on Innate Immunity and Inflammation. Front. Pharmacol. 2014, 5, 115. [Google Scholar] [CrossRef]
- Barbu, I.A.; Ciorîță, A.; Carpa, R.; Moț, A.C.; Butiuc-Keul, A.; Pârvu, M. Phytochemical Characterization and Antimicrobial Activity of Several Allium Extracts. Molecules 2023, 28, 3980. [Google Scholar] [CrossRef] [PubMed]
- Toiu, A.; Vlase, L.; Gheldiu, A.-M.; Vodnar, D.; Oniga, I. Evaluation of the Antioxidant and Antibacterial Potential of Bioactive Compounds from Ajuga Reptans Extracts. Farmacia 2017, 65, 351–355. [Google Scholar] [CrossRef]
- Vlase, A.-M.; Toiu, A.; Tomuță, I.; Vlase, L.; Muntean, D.; Casian, T.; Fizeșan, I.; Nadăș, G.C.; Novac, C.Ș.; Tămaș, M.; et al. Epilobium Species: From Optimization of the Extraction Process to Evaluation of Biological Properties. Antioxidants 2023, 12, 91. [Google Scholar] [CrossRef]
- Gligor, O.; Clichici, S.; Moldovan, R.; Muntean, D.; Vlase, A.-M.; Nadăș, G.C.; Matei, I.A.; Filip, G.A.; Vlase, L.; Crișan, G. The Effect of Extraction Methods on Phytochemicals and Biological Activities of Green Coffee Beans Extracts. Plants 2023, 12, 712. [Google Scholar] [CrossRef] [PubMed]
- Gligor, O.; Clichici, S.; Moldovan, R.; Muntean, D.; Vlase, A.-M.; Nadăș, G.C.; Filip, G.A.; Vlase, L.; Crișan, G. Influences of Different Extraction Techniques and Their Respective Parameters on the Phytochemical Profile and Biological Activities of Xanthium spinosum L. Extracts. Plants 2023, 12, 96. [Google Scholar] [CrossRef]
- Vlase, L.; Parvu, M.; Parvu, E.A.; Toiu, A. Chemical Constituents of Three Allium Species from Romania. Molecules 2013, 18, 114–127. [Google Scholar] [CrossRef]
- Mot, A.C.; Bischin, C.; Muresan, B.; Parvu, M.; Damian, G.; Vlase, L.; Silaghi-Dumitrescu, R. Antioxidant Activity Evaluation by Physiologically Relevant Assays Based on Haemoglobin Peroxidase Activity and Cytochrome C-Induced Oxidation of Liposomes. Nat. Prod. Res. 2016, 30, 1315–1319. [Google Scholar] [CrossRef] [PubMed]
- Bozin, B.; Mimica-Dukic, N.; Samojlik, I.; Goran, A.; Igic, R. Phenolics as Antioxidants in Garlic (Allium sativum L., Alliaceae). Food Chem. 2008, 111, 925–929. [Google Scholar] [CrossRef]
- Pavithra, K.; Sasikumar, V. Evaluation of Free Radical Scavenging Activity of Various Leaf Extracts from Kedrostis Foetidissima (Jacq.) Cogn. Food Sci. Hum. Wellness 2015, 4, 42–46. [Google Scholar] [CrossRef]
- Goncagul, G.; Ayaz, E. Antimicrobial Effect of Garlic (Allium sativum). Recent Patents Anti-Infect. Drug Disc. 2010, 5, 91–93. [Google Scholar] [CrossRef] [PubMed]
- Diba, A.; Alizadeh, F. In Vitro and in Vivo Antifungal Activity of Allium hirtifolium and Allium sativum. Avicenna J. Phytomed. 2018, 8, 465–474. [Google Scholar] [PubMed]
- Bouhennı, H.; Doukanı, K.; Hanganu, D.; Olah, N.; Şekeroğlu, N.; Gezici, S. Analysis of Bioactive Compounds and Antioxidant Activities of Cultivated Garlic (Allium sativum L.) and Red Onion (Allium cepa L.) in Algeria. Int. J. Agric. Environ. Food Sci. 2021, 5, 550–560. [Google Scholar] [CrossRef]
- Stupar, A.; Šarić, L.; Vidović, S.; Bajić, A.; Kolarov, V.; Šarić, B. Antibacterial Potential of Allium ursinum Extract Prepared by the Green Extraction Method. Microorganisms 2022, 10, 1358. [Google Scholar] [CrossRef]
- Lachowicz, S.; Kolniak-Ostek, J.; Oszmiański, J.; Wiśniewski, R. Comparison of Phenolic Content and Antioxidant Capacity of Bear Garlic (Allium ursinum L.) in Different Maturity Stages. J. Food Process. Preserv. 2017, 41, e12921. [Google Scholar] [CrossRef]
- Khalili, S.; Saeidi Asl, M.R.; Khavarpour, M.; Vahdat, S.M.; Mohammadi, M. Comparative Study on the Effect of Extraction Solvent on Total Phenol, Flavonoid Content, Antioxidant and Antimicrobial Properties of Red Onion (Allium cepa). J. Food Meas. Charact. 2022, 16, 3578–3588. [Google Scholar] [CrossRef]
- Ye, C.-L.; Dai, D.-H.; Hu, W.-L. Antimicrobial and Antioxidant Activities of the Essential Oil from Onion (Allium cepa L.). Food Control 2013, 30, 48–53. [Google Scholar] [CrossRef]
- Lee, J.Y.; Seo, K.H.; Lee, E.Y.; Ji, Y.-J.; Lee, Y.J.; Kang, M.H.; Seong, H.-A.; Kim, H.D. Antioxidant and Anti-Obesity Potentials of Korean-Native Wild Vegetables (Allium Species). Horticulturae 2021, 7, 541. [Google Scholar] [CrossRef]
- Fidrianny, I.; Permatasari, L.; Wirasutisna, K.R. Antioxidant Activities from Various Bulbs Extracts of Three Kinds Allium Using DPPH, ABTS Assays and Correlation with Total Phenolic, Flavonoid, Carotenoid Content. Int. J. Res. Pharm. Sci. 2013, 4, 438–444. [Google Scholar]
- Singh, K.B.; Singh, N.M. Antioxidant and Free Radical Scavenging Potential of Allium hookeri Thwaites Roots Extract Studied Using In Vitro Models. J. Adv. Biol. 2014, 4, 276–285. [Google Scholar]
- Zhang, Z.; Lei, M.; Liu, R.; Gao, Y.; Xu, M.; Zhang, M. Evaluation of Alliin, Saccharide Contents and Antioxidant Activities of Black Garlic during Thermal Processing. J. Food Biochem. 2015, 39, 39–47. [Google Scholar] [CrossRef]
- Dandare, S.U.; Ezeonwumelu, I.J.; Ezeh, C.P.; Auta, H. Determination of in Vitro Antioxidant and Radical Scavenging Activities of Different Extracts of Allium sativum (Garlic). IOSR J. Pharm. Biol. Sci. 2014, 9, 69–73. [Google Scholar] [CrossRef]
- Basova, L.V.; Kurnikov, I.V.; Wang, L.; Ritov, V.B.; Belikova, N.A.; Vlasova, I.I.; Pacheco, A.A.; Winnica, D.E.; Peterson, J.; Bayir, H.; et al. Cardiolipin Switch in Mitochondria: Shutting off the Reduction of Cytochrome c and Turning on the Peroxidase Activity. Biochemistry 2007, 46, 3423–3434. [Google Scholar] [CrossRef]
- Yurkova, I.; Kisel, M.; Arnhold, J.; Shadyro, O. Iron-Mediated Free-Radical Formation of Signaling Lipids in a Model System. Chem. Phys. Lipids 2005, 137, 29–37. [Google Scholar] [CrossRef]
- Kim, N.H.; Kang, J.H. Oxidative Damage of DNA Induced by the Cytochrome C and Hydrogen Peroxide System. J. Biochem. Mol. Biol. 2006, 39, 452–456. [Google Scholar] [CrossRef]
- Yang, F.; Zhou, B.-R.; Zhang, P.; Zhao, Y.-F.; Chen, J.; Liang, Y. Binding of Ferulic Acid to Cytochrome c Enhances Stability of the Protein at Physiological pH and Inhibits Cytochrome C-Induced Apoptosis. Chem. Biol. Interact. 2007, 170, 231–243. [Google Scholar] [CrossRef]
- Lagoa, R.; Samhan-Arias, A.K.; Gutierrez-Merino, C. Correlation between the Potency of Flavonoids for Cytochrome c Reduction and Inhibition of Cardiolipin-Induced Peroxidase Activity. BioFactors 2017, 43, 451–468. [Google Scholar] [CrossRef]
- Rice, M.; Wong, B.; Oja, M.; Samuels, K.; Williams, A.K.; Fong, J.; Sapse, A.-M.; Maran, U.; Korobkova, E.A. A Role of Flavonoids in Cytochrome c-Cardiolipin Interactions. Bioorg. Med. Chem. 2021, 33, 116043. [Google Scholar] [CrossRef] [PubMed]
- Lagoa, R.; Graziani, I.; Lopez-Sanchez, C.; Garcia-Martinez, V.; Gutierrez-Merino, C. Complex I and Cytochrome c Are Molecular Targets of Flavonoids That Inhibit Hydrogen Peroxide Production by Mitochondria. Biochim. Biophys. Acta 2011, 1807, 1562–1572. [Google Scholar] [CrossRef] [PubMed]
- Yin, X.; Chen, K.; Cheng, H.; Chen, X.; Feng, S.; Song, Y.; Liang, L. Chemical Stability of Ascorbic Acid Integrated into Commercial Products: A Review on Bioactivity and Delivery Technology. Antioxidants 2022, 11, 153. [Google Scholar] [CrossRef] [PubMed]
- Henneberg, R.; Otuki, M.F.; Furman, A.E.F.; Hermann, P.; do Nascimento, A.J.; Leonart, M.S.S. Protective Effect of Flavonoids against Reactive Oxygen Species Production in Sickle Cell Anemia Patients Treated with Hydroxyurea. Rev. Bras. Hematol. E Hemoter. 2013, 35, 52–55. [Google Scholar] [CrossRef] [PubMed]
- Barreca, D.; Lagana, G.; Ester, T.; Ficarra, S.; Leuzzi, U.; Galtieri, A.; Bellocco, E. Influences of Flavonoids on Erythrocyte Membrane and Metabolic Implication Through Anionic Exchange Modulation. J. Membr. Biol. 2009, 230, 163–171. [Google Scholar] [CrossRef] [PubMed]
- Anni, H.; Israel, Y. Characterization of Adducts of Ethanol Metabolites with Cytochrome c. Alcohol. Clin. Exp. Res. 1999, 23, 26–37. [Google Scholar] [CrossRef] [PubMed]
- Contreras-Zentella, M.L.; Villalobos-García, D.; Hernández-Muñoz, R. Ethanol Metabolism in the Liver, the Induction of Oxidant Stress, and the Antioxidant Defense System. Antioxidants 2022, 11, 1258. [Google Scholar] [CrossRef]
- Poddar, S.; Woolfork, A.G.; Iftekhar, S.; Ovbude, S.T.; Hage, D.S. Characterization of Binding by Sulfonylureas with Normal or Modified Human Serum Albumin Using Affinity Microcolumns Prepared by Entrapment. J. Chromatogr. B 2023, 1226, 123798. [Google Scholar] [CrossRef]
- Jahanban-Esfahlan, A.; Ostadrahimi, A.; Jahanban-Esfahlan, R.; Roufegarinejad, L.; Tabibiazar, M.; Amarowicz, R. Recent Developments in the Detection of Bovine Serum Albumin. Int. J. Biol. Macromol. 2019, 138, 602–617. [Google Scholar] [CrossRef]
- Mohanasundaram, P.; Sankaran, S.; Mathivanan, D.; Kamaraj, C.; Mary Saral, A. Hydroalcoholic Extract: A Potential Source from Azadirachta Indica a Juss Flower for DNA and BSA Binding, Scavenging, Fungicidal, and Larvicidal Activities. J. Phytopathol. 2024, 172, e13269. [Google Scholar] [CrossRef]
- Liu, S.; Guo, C.; Guo, Y.; Yu, H.; Greenaway, F.; Sun, M.-Z. Comparative Binding Affinities of Flavonoid Phytochemicals with Bovine Serum Albumin. Iran. J. Pharm. Res. IJPR 2014, 13, 1019–1028. [Google Scholar]




| Extracts | ABTS (μg TE/g) | DPPH (μg QE/g) |
|---|---|---|
| A. sativum | 43.4 ± 8.0 | 15.1 ± 1.3 |
| A. senescens subsp. montanum | 81.8 ± 5.8 | 40.0 ± 2.3 |
| A. fistulosum | 34.8 ± 2.0 | 20.7 ± 0.5 |
| Arieș red cultivar of A. cepa | 124.7 ± 4.2 | 49.7 ± 1.6 |
| white variety of A. cepa | 40.6 ± 1.6 | 11.3 ± 1.0 |
| A. ursinum | 36.9 ± 0.3 | 11.0 ± 1.2 |
| A. sativum | A. ursinum | White Variety of A. cepa | Arieș Red Cultivar of A. cepa | A. senescens subsp. montanum | A. fistulosum | Ascorbic Acid | Chloramphenicol |
|---|---|---|---|---|---|---|---|
| 1.0508 | 1.0577 | 0.8954 | 1.6123 | 1.0146 | 0.9608 | 0.3315 | 0.6585 |
| Class | Compounds | A. sativum | A. ursinum | White Variety of A. cepa | Arieș Red Cultivar of A. cepa | A. senescens subsp. montanum | A. fistulosum |
|---|---|---|---|---|---|---|---|
| Polyphenols (µg/mL) | Gentisic acid | - | - | - | <LOQ | - | - |
| p-cumaric acid | - | 1.965 ± 0.176 | - | - | - | - | |
| Isoquercetin | - | - | 1.317 ± 0.158 | 3.475 ± 0.104 | 1.317 ± 0.065 | - | |
| Rutozid | - | - | - | - | - | <LOQ | |
| Quercetin | - | 3.347 ± 0.133 | <LOQ | - | <LOQ | 8.582 ± 1.115 | |
| Luteolin | <LOQ | <LOQ | <LOQ | <LOQ | <LOQ | <LOQ | |
| Kaempferol | <LOQ | <LOQ | <LOQ | <LOQ | <LOQ | <LOQ | |
| Protocatechuic acid | 38.065 ± 5.329 | 4.774 ± 0.238 | 0.168 ± 0.023 | 9.211 ± 0.460 | 1.481 ± 0.088 | - | |
| Alliin (ng/mL) | 11,680.282 ± 487.213 | 88.601 ± 6.128 | 796.048 ± 92.792 | 3565.178 ± 187.975 | 94.769 ± 12.856 | 200.345 ± 18.573 | |
Disclaimer/Publisher’s Note: The statements, opinions and data contained in all publications are solely those of the individual author(s) and contributor(s) and not of MDPI and/or the editor(s). MDPI and/or the editor(s) disclaim responsibility for any injury to people or property resulting from any ideas, methods, instructions or products referred to in the content. |
© 2024 by the authors. Licensee MDPI, Basel, Switzerland. This article is an open access article distributed under the terms and conditions of the Creative Commons Attribution (CC BY) license (https://creativecommons.org/licenses/by/4.0/).
Share and Cite
Barbu, I.A.; Toma, V.A.; Moț, A.C.; Vlase, A.-M.; Butiuc-Keul, A.; Pârvu, M. Chemical Composition and Antioxidant Activity of Six Allium Extracts Using Protein-Based Biomimetic Methods. Antioxidants 2024, 13, 1182. https://doi.org/10.3390/antiox13101182
Barbu IA, Toma VA, Moț AC, Vlase A-M, Butiuc-Keul A, Pârvu M. Chemical Composition and Antioxidant Activity of Six Allium Extracts Using Protein-Based Biomimetic Methods. Antioxidants. 2024; 13(10):1182. https://doi.org/10.3390/antiox13101182
Chicago/Turabian StyleBarbu, Ioana Andreea, Vlad Alexandru Toma, Augustin Cătălin Moț, Ana-Maria Vlase, Anca Butiuc-Keul, and Marcel Pârvu. 2024. "Chemical Composition and Antioxidant Activity of Six Allium Extracts Using Protein-Based Biomimetic Methods" Antioxidants 13, no. 10: 1182. https://doi.org/10.3390/antiox13101182
APA StyleBarbu, I. A., Toma, V. A., Moț, A. C., Vlase, A.-M., Butiuc-Keul, A., & Pârvu, M. (2024). Chemical Composition and Antioxidant Activity of Six Allium Extracts Using Protein-Based Biomimetic Methods. Antioxidants, 13(10), 1182. https://doi.org/10.3390/antiox13101182

