Ascophyllum nodosum Extract and Glycine Betaine Preharvest Application in Grapevine: Enhancement of Berry Quality, Phytochemical Content and Antioxidant Properties
Abstract
1. Introduction
2. Materials and Methods
2.1. Plant Material and Sampling
2.2. Quality Assessment of Fruits
2.3. Determination of Bioactive Compounds
2.3.1. Total Phenolics
2.3.2. Flavonoids
2.3.3. Ortho-Diphenols
2.3.4. Total Anthocyanins
2.4. Antioxidant Activity Assays
2.4.1. ABTS•+ Radical-Scavenging Activity
2.4.2. DPPH Radical-Scavenging Activity
2.4.3. FRAP Assay
2.5. Statistical Analysis
3. Results
3.1. Effect of Biostimulants on Berries Quality
3.2. Effects of Biostimulants on Berries Bioactive Compounds
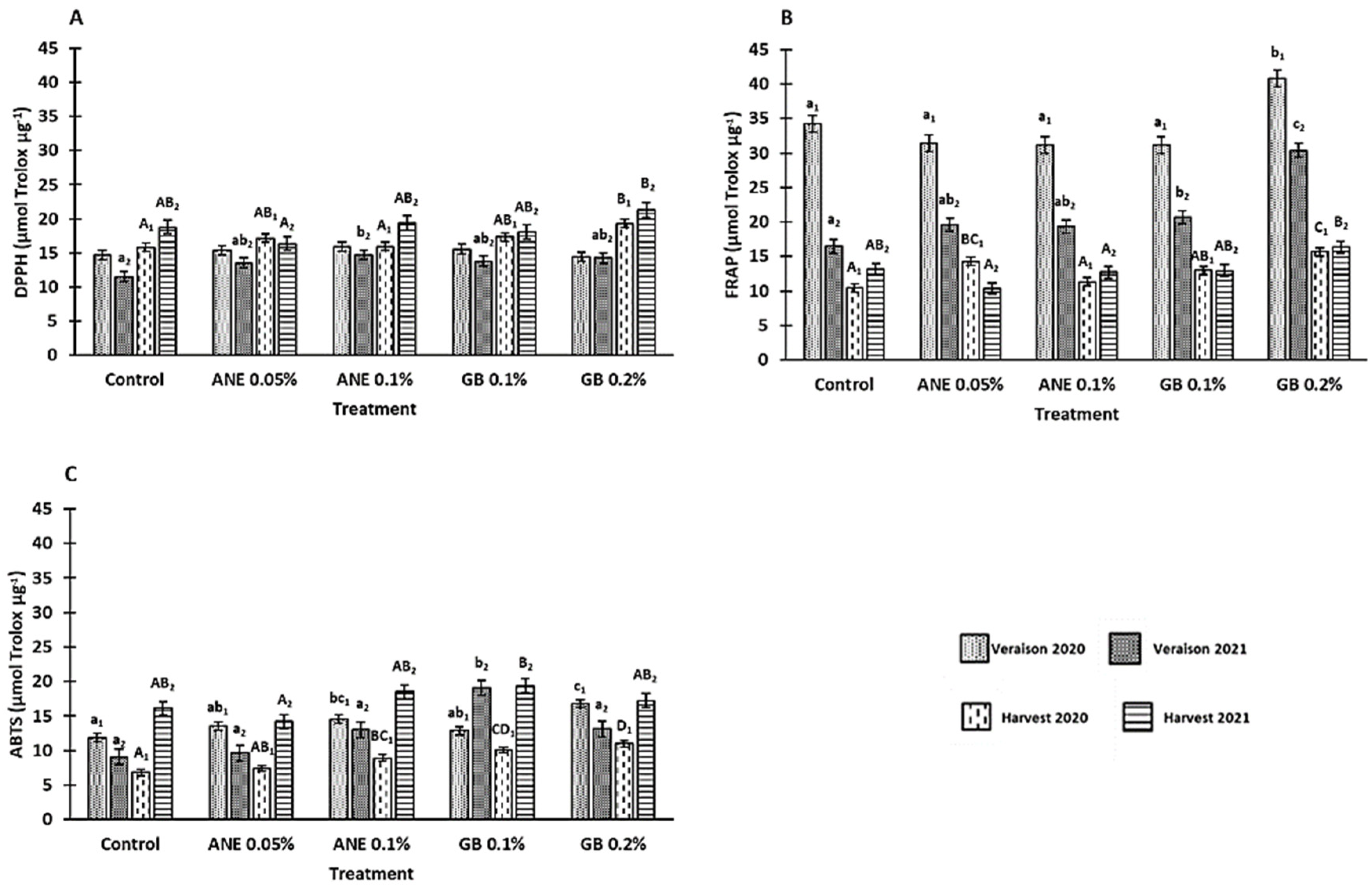
3.3. Influence of Biostimulants on Antioxidant Potential
4. Discussion
4.1. Application of Biostimulants Positively Affected Berry Quality
4.2. Application of Biostimulants Positively Affected Berry Bioactive Compounds and Antioxidant Activity
5. Conclusions
Author Contributions
Funding
Institutional Review Board Statement
Informed Consent Statement
Data Availability Statement
Acknowledgments
Conflicts of Interest
Correction Statement
Appendix A
| Parameter | P (T) | P (Y) | P (PS) | P (T*Y) | P (T*PS) | P (Y*PS) | P (T*Y*PS) |
|---|---|---|---|---|---|---|---|
| Weight | <0.001 | <0.001 | <0.001 | <0.001 | <0.01 | <0.001 | >0.05 |
| Height | <0.001 | <0.001 | <0.001 | <0.05 | <0.05 | <0.001 | >0.05 |
| Width | <0.001 | <0.001 | <0.001 | <0.001 | <0.001 | <0.001 | <0.05 |
| Thickness | <0.001 | <0.001 | <0.001 | <0.001 | <0.01 | <0.001 | >0.05 |
| Chroma | >0.05 | <0.001 | <0.001 | <0.001 | <0.001 | <0.05 | <0.01 |
| Maturity index | >0.05 | <0.01 | <0.001 | >0.05 | >0.05 | <0.001 | >0.05 |
| Titratable acidity | >0.05 | <0.05 | <0.001 | >0.05 | >0.05 | >0.05 | >0.05 |
| Total Phenolics | <0.001 | <0.001 | <0.001 | <0.05 | >0.05 | <0.001 | <0.05 |
| Flavonoids | <0.05 | >0.05 | >0.05 | >0.05 | >0.05 | >0.05 | >0.05 |
| Ortho-diphenols | <0.001 | <0.001 | <0.001 | >0.05 | >0.05 | <0.001 | <0.01 |
| Total Anthocyanins | <0.05 | <0.001 | <0.001 | >0.05 | >0.05 | <0.01 | >0.05 |
| DPPH | <0.001 | >0.05 | <0.001 | >0.05 | <0.05 | <0.001 | >0.05 |
| FRAP | <0.001 | <0.001 | <0.001 | >0.05 | <0.001 | <0.001 | >0.05 |
| ABTS•+ | <0.001 | <0.001 | <0.01 | >0.05 | >0.05 | <0.001 | >0.05 |
Appendix B
| Total Phenolics | Flavonoids | Ortho-Diphenols | Total Anthocyanins | |||
|---|---|---|---|---|---|---|
| Veraison 2020 | DPPH | R2 | 0.630 ** | 0.334 * | 0.221 | 0.113 |
| P | 0.000 | 0.025 | 0.145 | 0.461 | ||
| FRAP | R2 | 0.646 ** | 0.374 * | 0.650 ** | −0.111 | |
| P | 0.000 | 0.011 | 0.000 | 0.467 | ||
| ABTS•+ | R2 | 0.198 | 0.166 | −0.083 | 0.395 ** | |
| P | 0.192 | 0.276 | 0.588 | 0.007 | ||
| Veraison 2021 | DPPH | R2 | 0.575 ** | −0.079 | 0.215 | 0.094 |
| P | 0.000 | 0.608 | 0.156 | 0.538 | ||
| FRAP | R2 | 0.749 ** | −0.004 | 0.475 ** | 0.152 | |
| P | 0.000 | 0.977 | 0.001 | 0.318 | ||
| ABTS•+ | R2 | 0.045 | −0.030 | −0.218 | 0.076 | |
| P | 0.771 | 0.843 | 0.150 | 0.619 | ||
| Harvest 2020 | DPPH | R2 | 0.063 | 0.109 | 0.414 ** | 0.412 ** |
| P | 0.679 | 0.476 | 0.005 | 0.005 | ||
| FRAP | R2 | 0.134 | 0.047 | 0.488 ** | 0.467 ** | |
| P | 0.381 | 0.757 | 0.001 | 0.001 | ||
| DPPH | R2 | 0.070 | −0.021 | 0.020 | −0.001 | |
| P | 0.647 | 0.890 | 0.897 | 0.997 | ||
| Harvest 2021 | FRAP | R2 | 0.525 ** | 0.023 | 0.332 * | −0.038 |
| P | 0.000 | 0.880 | 0.026 | 0.806 | ||
| ABTS•+ | R2 | 0.785 ** | 0.017 | 0.677 ** | −0.132 | |
| P | 0.000 | 0.912 | 0.000 | 0.387 | ||
| FRAP | R2 | 0.321 * | 0.085 | 0.151 | 0.162 | |
| P | 0.032 | 0.578 | 0.322 | 0.288 | ||
References
- OIV. State of the World Vine and Wine Sector 2021; International Organisation of Vine and Wine: Dijon, France, 2022; pp. 1–19. [Google Scholar]
- Fraga, H.; Malheiro, A.C.; Moutinho-Pereira, J.; Santos, J.A. An overview of climate change impacts on European viticulture. Food Energy Secur. 2012, 1, 94–110. [Google Scholar] [CrossRef]
- Jones, G. Uma Avaliação do Clima Para a Região Demarcada do Douro: Uma Análise das Condições Climáticas do Passado, Presente e Futuro Para a Produção de Vinho; ADVID: Vila Real, Portugal, 2013; pp. 5–80. [Google Scholar]
- Gutiérrez-Gamboa, G.; Zheng, W.; de Toda, F.M. Current viticultural techniques to mitigate the effects of global warming on grape and wine quality: A comprehensive review. Food Res. Int. 2021, 139, 109946. [Google Scholar] [CrossRef] [PubMed]
- Monteiro, E.; Gonçalves, B.; Cortez, I.; Castro, I. The role of biostimulants as alleviators of biotic and abiotic stresses in grapevine: A review. Plants 2022, 11, 396. [Google Scholar] [CrossRef] [PubMed]
- Jalil, O.T.J.; Sabir, A. Changes in leaf and shoot water statutes of grapevines in response to contrasting water availability and glycine betaine pulverization. Int. J. Agric. Environ. Food Sci. 2017, 1, 20–26. [Google Scholar] [CrossRef]
- Telesinski, A.; Mikiciuk, G.; Mikiciuk, M.; Strek, M.; Platkowski, M.; Statkiewicz, M. Effect of preharvest use of anti-cracking preparations on changes in selected parameters of sweet cherry fruits during frozen storage. Folia Pomeranae Univ. Technol. Stetin. Agric. Aliment. Piscaria Zootech. 2017, 330, 179–186. [Google Scholar] [CrossRef]
- Frioni, T.; Sabbatini, P.; Tombesi, S.; Norrie, J.; Poni, S.; Gatti, M.; Palliotti, A. Effects of a biostimulant derived from the brown seaweed Ascophyllum nodosum on ripening dynamics and fruit quality of grapevines. Sci. Hortic. 2018, 232, 97–106. [Google Scholar] [CrossRef]
- Adak, N. Effects of glycine betaine concentrations on the agronomic characteristics of strawberry grown under deficit irrigation conditions. Appl. Ecol. Environ. Res. 2019, 17, 3753–3767. [Google Scholar] [CrossRef]
- Correia, S.; Queirós, F.; Ribeiro, C.; Vilela, A.; Aires, A.; Barros, A.I.; Schouten, R.; Silva, A.P.; Gonçalves, B. Effects of calcium and growth regulators on sweet cherry (Prunus avium L.) quality and sensory attributes at harvest. Sci. Hortic. 2019, 248, 231–240. [Google Scholar] [CrossRef]
- Salvi, L.; Brunetti, C.; Cataldo, E.; Niccolai, A.; Centritto, M.; Ferrini, F.; Mattii, G.B. Effects of Ascophyllum nodosum extract on Vitis vinifera: Consequences on plant physiology, grape quality and secondary metabolism. Plant Physiol. Biochem. 2019, 139, 21–32. [Google Scholar] [CrossRef]
- Taskos, D.; Stamatiadis, S.; Yvin, J.-C.; Jamois, F. Effects of an Ascophyllum nodosum (L.) Le Jol. extract on grapevine yield and berry composition of a Merlot vineyard. Sci. Hortic. 2019, 250, 27–32. [Google Scholar] [CrossRef]
- Cabo, S.; Aires, A.; Carvalho, R.; Vilela, A.; Pascual-Seva, N.; Silva, A.P.; Gonçalves, B. Kaolin, Ascophyllum nodosum and salicylic acid mitigate effects of summer stress improving hazelnut quality. J. Sci. Food Agric. 2020, 101, 459–475. [Google Scholar] [CrossRef] [PubMed]
- Khadouri, H.K.; Kandhan, K.; Salem, M.A. Effects of glycine betaine on plant growth and performance of Medicago sativa and Vigna unguiculata under water deficit conditions. J. Phytol. 2020, 12, 1–8. [Google Scholar] [CrossRef][Green Version]
- Tisarum, R.; Theerawitaya, C.; Samphumphuang, T.; Singh, H.P.; Cha-Um, S. Foliar application of glycine betaine regulates soluble sugars and modulates physiological adaptations in sweet potato (Ipomoea batatas) under water deficit. Protoplasma 2020, 257, 197–211. [Google Scholar] [CrossRef] [PubMed]
- Frioni, T.; Tombesi, S.; Quaglia, M.; Calderini, O.; Moretti, C.; Poni, S.; Gatti, M.; Moncalvo, A.; Sabbatini, P.; Berrìos, J.G.; et al. Metabolic and transcriptional changes associated with the use of Ascophyllum nodosum extracts as tools to improve the quality of wine grapes (Vitis vinifera cv. Sangiovese) and their tolerance to biotic stress. J. Sci. Food Agric. 2019, 99, 6350–6363. [Google Scholar] [CrossRef]
- Baltazar, M.; Correia, S.; Guinan, K.J.; Sujeeth, N.; Bragança, R.; Gonçalves, B. Recent advances in the molecular effects of biostimulants in plants: An overview. Biomolecules 2021, 11, 1096. [Google Scholar] [CrossRef]
- Dutta, T.; Neelapu, N.R.R.; Wani, S.H.; Challa, S. Compatible solute engineering of crop plants for improved tolerance toward abiotic stresses. In Biochemical, Physiological and Molecular Avenues for Combating Abiotic Stress Tolerance in Plants; Wani, S.H., Ed.; Elsevier Inc.: Amsterdam, The Netherlands, 2018; pp. 221–254. [Google Scholar] [CrossRef]
- Hussain Wani, S.; Brajendra Singh, N.; Haribhushan, A.; Iqbal Mir, J. Compatible solute engineering in plants for abiotic stress tolerance—role of glycine betaine. Curr. Genom. 2013, 14, 157–165. [Google Scholar] [CrossRef]
- IVV. Vinhos e Aguardentes de Portugal—Anuário; Instituto da Vinha e do Vinho, I.P.: Lisboa, Portugal, 2021. [Google Scholar]
- Lorenz, D.; Eichhorn, K.; Bleiholder, H.; Klose, R.; Meier, U.; Weber, E. Growth stages of the grapevine: Phenological growth stages of the grapevine (Vitis vinifera L. ssp. vinifera)—Codes and descriptions according to the extended BBCH scale. Aust. J. Grape Wine Res. 1995, 1, 100–103. [Google Scholar] [CrossRef]
- Coombe, B.G.; Dundon, R.J.; Short, A.W.S. Indices of sugar—Acidity as ripeness criteria for winegrapes. J. Sci. Food Agric. 1980, 31, 495–502. [Google Scholar] [CrossRef]
- Singleton, V.L.; Rossi, J.A. Colorometry of total phenolics with phosphomolybdic-phosphotungstic acid reagents. Am. J. Enol. Vitic. 1965, 16, 144–158. [Google Scholar] [CrossRef]
- Dewanto, V.; Wu, X.; Adom, K.K.; Liu, R.H. Thermal processing enhances the nutritional value of tomatoes by increasing total antioxidant activity. J. Agric. Food Chem. 2002, 50, 3010–3014. [Google Scholar] [CrossRef]
- Leal, C.; Costa, C.M.; Barros, A.I.R.N.A.; Gouvinhas, I. Assessing the relationship between the phenolic content and elemental composition of grape (Vitis vinifera L.). Stems. Waste Biomass Valorization 2021, 12, 1313–1325. [Google Scholar] [CrossRef]
- Gouvinhas, I.; de Almeida, J.M.; Carvalho, T.; Machado, N.; Barros, A.I. Discrimination and characterisation of extra virgin olive oils from three cultivars in different maturation stages using Fourier transform infrared spectroscopy in tandem with chemometrics. Food Chem. 2015, 174, 226–232. [Google Scholar] [CrossRef] [PubMed]
- Lee, J.; Durst, R.W.; Wrolstad, R.E.; Eisele, T.; Giusti, M.M.; Haché, J.; Hofsommer, H.; Koswig, S.; Krueger, D.A.; Kupina, S.; et al. Determination of total monomeric anthocyanin pigment content of fruit juices, beverages, natural colorants, and wines by the pH differential method: Collaborative study. J. AOAC Int. 2005, 88, 1269–1278. [Google Scholar] [CrossRef] [PubMed]
- Meng, J.-F.; Fang, Y.-L.; Qin, M.-Y.; Zhuang, X.-F.; Zhang, Z.-W. Varietal differences among the phenolic profiles and antioxidant properties of four cultivars of spine grape (Vitis davidii Foex) in Chongyi County (China). Food Chem. 2012, 134, 2049–2056. [Google Scholar] [CrossRef] [PubMed]
- Akh, S.; Shehat, W.A.; Alam, T. Extraction and estimation of anthocyanin content and antioxidant activity of some common fruits. Trends Appl. Sci. Res. 2020, 15, 179–186. [Google Scholar] [CrossRef]
- Re, R.; Pellegrini, N.; Proteggente, A.; Pannala, A.; Yang, M.; Rice-Evans, C. Antioxidant activity applying an improved ABTS radical cation decolorization assay. Free Radic. Biol. Med. 1999, 26, 1231–1237. [Google Scholar] [CrossRef]
- Stratil, P.; Klejdus, B.; Kubáň, V. Determination of total content of phenolic compounds and their antioxidant activity in vegetables evaluation of spectrophotometric methods. J. Agric. Food Chem. 2006, 54, 607–616. [Google Scholar] [CrossRef]
- Brand-Williams, W.; Cuvelier, M.E.; Berset, C. Use of a free radical method to evaluate antioxidant activity. LWT-Food Sci. Technol. 1995, 28, 25–30. [Google Scholar] [CrossRef]
- Sánchez-Moreno, C.; Larrauri, J.A.; Saura-Calixto, F. A procedure to measure the antiradical efficiency of polyphenols. J. Sci. Food Agric. 1998, 76, 270–276. [Google Scholar] [CrossRef]
- Siddhuraju, P.; Becker, K. Antioxidant properties of various solvents extracts of total phenolic constituents from three different agroclimatic origins of drumstick tree (Moringa oleifera Lam) leaves. J. Agric. Food Chem. 2003, 51, 2144–2155. [Google Scholar] [CrossRef]
- Benzie, I.F.F.; Strain, J.J. The Ferric Reducing Ability of Plasma (FRAP) as a measure of “antioxidant power”: The FRAP assay. Anal. Biochem. 1996, 239, 70–76. [Google Scholar] [CrossRef]
- Iqbal, N.; Ashraf, M.Y.; Ashraf, M. Influence of water stress and exogenous glycine betaine on sunflower achene weight and oil percentage. Int. J. Environ. Sci. Technol. 2005, 2, 155–160. [Google Scholar] [CrossRef]
- Metwaly, E.-S.E.; Al-Yasi, H.M.; Ali, E.F.; Farouk, H.A.; Farouk, S. Deteriorating harmful effects of drought in cucumber by spraying glycinebetaine. Agriculture 2022, 12, 2166. [Google Scholar] [CrossRef]
- Taskin, S.; Ertan, E. Exogenous applications of kaolin and glycine betaine increased the yield and quality of olive fruit and olive oil. Erwerbs-Obstbau 2022, 65, 337–346. [Google Scholar] [CrossRef]
- Gonçalves, B.; Morais, M.C.; Sequeira, A.; Ribeiro, C.; Guedes, F.; Silva, A.P.; Aires, A. Quality preservation of sweet cherry cv. ’Staccato’ by using glycine-betaine or Ascophyllum nodosum. Food Chem. 2020, 322, 126713. [Google Scholar] [CrossRef]
- Campbell, J.; Sarkhosh, A.; Habibi, F.; Gajjar, P.; Ismail, A.; Tsolova, V.; El-Sharkawy, I. Evaluation of biochemical juice attributes and color-related traits in muscadine grape population. Foods 2021, 10, 1101. [Google Scholar] [CrossRef]
- Rätsep, R.; Karp, K.; Vool, E. Yield maturity parameters of hybrid grapevine (Vitis sp.) cultivar “Zilga”. Res. Rural. Dev. 2014, 1, 44–50. [Google Scholar]
- ADVID. Boletim Ano Vitícola 2020; ADVID: Vila Real, Portugal, 2020; Available online: https://www.advid.pt/uploads/DOCUMENTOS/Subcategorias/ano-vitico/Ano-viti%CC%81cola%202019-2020.pdf (accessed on 14 June 2023).
- ADVID. Boletim Final do Ano Vitícola 2021; ADVID: Vila Real, Portugal, 2021; Available online: https://www.advid.pt/uploads/DOCUMENTOS/Subcategorias/ano-vitico/Boletim_Balanco_ano_viticola_2021_VFact.pdf (accessed on 14 June 2023).
- Borghezan, M. Formation and ripening of grape and effects on the wines: Review. Ciência Téc. Vitiv. 2017, 32, 126–141. [Google Scholar] [CrossRef]
- Jones, G.V.; White, M.A.; Cooper, O.R.; Storchmann, K. Climate change and global wine quality. Clim. Change 2005, 73, 319–343. [Google Scholar] [CrossRef]
- van Leeuwen, C.; Darriet, P. The impact of climate change on viticulture and wine quality. J. Wine Econ. 2016, 11, 150–167. [Google Scholar] [CrossRef]
- Awad, M.A.; Al-Qurashi, A.D.; Mohamed, S.A. Postharvest trans-resveratrol and glycine betaine treatments affect quality, antioxidant capacity, antioxidant compounds and enzymes activities of ‘El-Bayadi’ table grapes after storage and shelf life. Sci. Hortic. 2015, 197, 350–356. [Google Scholar] [CrossRef]
- Shafiq, S.; Akram, N.A.; Ashraf, M.; García-Caparrós, P.; Ali, O.M.; Latef, A.A.H.A. Influence of glycine betaine (natural and synthetic) on growth, metabolism and yield production of drought-stressed maize (Zea mays L.) plants. Plants 2021, 10, 2540. [Google Scholar] [CrossRef] [PubMed]
- Safwat, G.; Abdel Salam, H.S. The effect of exogenous proline and glycine betaine on phyto-biochemical responses of salt-stressed basil plants. Egypt. J. Bot. 2022, 62, 537–547. [Google Scholar] [CrossRef]
- Rouphael, Y.; Giordano, M.; Cardarelli, M.; Cozzolino, E.; Mori, M.; Kyriacou, M.C.; Bonini, P.; Colla, G. Plant- and Seaweed-Based Extracts Increase Yield but Differentially Modulate Nutritional Quality of Greenhouse Spinach through Biostimulant Action. Agronomy 2018, 8, 126. [Google Scholar] [CrossRef]
- Cabo, S.; Morais, M.C.; Aires, A.; Carvalho, R.; Pascual-Seva, N.; Silva, A.P.; Gonçalves, B. Kaolin and seaweed-based extracts can be used as middle and long-term strategy to mitigate negative effects of climate change in physiological performance of hazelnut tree. J. Agron. Crop. Sci. 2020, 206, 28–42. [Google Scholar] [CrossRef]






| Biometric Parameters | Growth Stage/Year | C | ANE 0.05% | ANE 0.1% | GB 0.1% | GB 0.2% |
|---|---|---|---|---|---|---|
| Weight (g) | Veraison 2020 | 1.92 ± 0.05 b1 | 1.90 ± 0.05 b1 | 1.86 ± 0.05 ab1 | 1.71 ± 0.04 a1 | 2.02 ± 0.04 b1 |
| Veraison 2021 | 2.11 ± 0.04 | 1.99 ± 0.05 | 2.10 ± 0.04 | 2.13 ± 0.04 | 2.14 ± 0.04 | |
| Harvest 2020 | 2.09 ± 0.04 A1 | 2.09 ± 0.04 A1 | 2.04 ± 0.05 A1 | 2.09 ± 0.05 A1 | 2.28 ± 0.05 B1 | |
| Harvest 2021 | 2.14 ± 0.04 BC2 | 1.83 ± 0.06 A2 | 2.08 ± 0.05 B2 | 2.27 ± 0.04 C2 | 2.23 ± 0.04 BC2 | |
| Height (mm) | Veraison 2020 | 14.15 ± 0.14 a1 | 14.21 ± 0.13 a1 | 14.63 ± 0.17 ab1 | 14.18 ± 0.12 a1 | 15.07 ± 0.11 b1 |
| Veraison 2021 | 15.41 ± 0.10 c2 | 14.78 ± 0.13 a2 | 15.36 ± 0.15 bc2 | 14.94 ± 0.08 ab2 | 15.70 ± 0.14 c2 | |
| Harvest 2020 | 14.83 ± 0.13 A1 | 14.71 ± 0.13 A1 | 15.00 ± 0.16 AB1 | 15.03 ± 0.15 AB1 | 15.39 ± 0.12 B1 | |
| Harvest 2021 | 16.51 ± 0.13 B2 | 15.47 ± 0.20 A2 | 16.44 ± 0.17 B2 | 16.62 ± 0.14 B2 | 16.91 ± 0.12 B2 | |
| Width (mm) | Veraison 2020 | 13.91 ± 0.12 a1 | 14.06 ± 0.12 ab1 | 14.11 ± 0.13 ab1 | 13.72 ± 0.12 a1 | 14.43 ± 0.10 b1 |
| Veraison 2021 | 14.73 ± 0.10 | 14.58 ± 0.12 | 14.88 ± 0.11 | 14.90 ± 0.10 | 14.83 ± 0.11 | |
| Harvest 2020 | 14.20 ± 0.11 AB1 | 14.12 ± 0.11 AB1 | 13.81 ± 0.14 A1 | 13.86 ± 0.12 A1 | 14.33 ± 0.12 B1 | |
| Harvest 2021 | 14.13 ± 0.12 B2 | 13.29 ± 0.18 A2 | 13.87 ± 0.13 B2 | 14.73 ± 0.12 C2 | 14.36 ± 0.11 BC2 | |
| Thickness (mm) | Veraison 2020 | 13.45 ± 0.12 a1 | 13.58 ± 0.12 ab1 | 13.61 ± 0.13 ab1 | 13.25 ± 0.12 a1 | 13.99 ± 0.10 b1 |
| Veraison 2021 | 14.20 ± 0.09 | 14.22 ± 0.12 | 14.47 ± 0.11 | 14.43 ± 0.10 | 14.32 ± 0.12 | |
| Harvest 2020 | 13.71 ± 0.10 AB1 | 13.59 ± 0.10 AB1 | 13.28 ± 0.14 A1 | 13.45 ± 0.13 AB1 | 13.84 ± 0.13 B1 | |
| Harvest 2021 | 13.49 ± 0.14 BC2 | 12.82 ± 0.17 A2 | 13.26 ± 0.14 AB2 | 13.92 ± 0.11 C2 | 13.60 ± 0.12 BC2 |
Disclaimer/Publisher’s Note: The statements, opinions and data contained in all publications are solely those of the individual author(s) and contributor(s) and not of MDPI and/or the editor(s). MDPI and/or the editor(s) disclaim responsibility for any injury to people or property resulting from any ideas, methods, instructions or products referred to in the content. |
© 2023 by the authors. Licensee MDPI, Basel, Switzerland. This article is an open access article distributed under the terms and conditions of the Creative Commons Attribution (CC BY) license (https://creativecommons.org/licenses/by/4.0/).
Share and Cite
Monteiro, E.; Baltazar, M.; Pereira, S.; Correia, S.; Ferreira, H.; Alves, F.; Cortez, I.; Castro, I.; Gonçalves, B. Ascophyllum nodosum Extract and Glycine Betaine Preharvest Application in Grapevine: Enhancement of Berry Quality, Phytochemical Content and Antioxidant Properties. Antioxidants 2023, 12, 1835. https://doi.org/10.3390/antiox12101835
Monteiro E, Baltazar M, Pereira S, Correia S, Ferreira H, Alves F, Cortez I, Castro I, Gonçalves B. Ascophyllum nodosum Extract and Glycine Betaine Preharvest Application in Grapevine: Enhancement of Berry Quality, Phytochemical Content and Antioxidant Properties. Antioxidants. 2023; 12(10):1835. https://doi.org/10.3390/antiox12101835
Chicago/Turabian StyleMonteiro, Eliana, Miguel Baltazar, Sandra Pereira, Sofia Correia, Helena Ferreira, Fernando Alves, Isabel Cortez, Isaura Castro, and Berta Gonçalves. 2023. "Ascophyllum nodosum Extract and Glycine Betaine Preharvest Application in Grapevine: Enhancement of Berry Quality, Phytochemical Content and Antioxidant Properties" Antioxidants 12, no. 10: 1835. https://doi.org/10.3390/antiox12101835
APA StyleMonteiro, E., Baltazar, M., Pereira, S., Correia, S., Ferreira, H., Alves, F., Cortez, I., Castro, I., & Gonçalves, B. (2023). Ascophyllum nodosum Extract and Glycine Betaine Preharvest Application in Grapevine: Enhancement of Berry Quality, Phytochemical Content and Antioxidant Properties. Antioxidants, 12(10), 1835. https://doi.org/10.3390/antiox12101835

