Abstract
Herein, we report the synthesis and antioxidant capacity of twelve novel 1,2,3-triazole-containing nitrones such as N-(2-(4-aryl-1H-1,2,3-triazol-1-yl)ethylidene)methanamine oxides 8a–f and N-(2-(4-aryl)-1H-1,2,3-triazol-1-yl)ethylidene)-2-methylpropan-2-amine oxides 9a–f, bearing an N-methyl, and an N-t-butyl substituent, respectively, at the nitrogen of the nitrone motif. Nitrones 8 and 9 were studied with regard to their antioxidant ability, as well as their ability to inhibit soybean lypoxygenase (LOX), and their in vitro antioxidant activity. For this, we used three different antioxidant assays, such as that featuring the interaction with the water-soluble azo compound AAPH for the inhibition of lipid peroxidation (LP), the competition with the DMSO for scavenging hydroxyl radicals, and the ABTS•+–decolorization assay. t-Butyl nitrone 9e, bearing the 2,4-difluorophenyl motif, showed a strong LP inhibitory effect (100%), close to the reference compound Trolox (93%), being the most potent LP inhibitor (LPi) of the whole series of tested nitrones. Nitrones 9d, 9e and 9f, bearing the 4-fluorophenyl, 2,4-difluorophenyl, and 4-fluoro-3-methylphenyl motif, respectively, were almost equipotent, and the most potent hydroxyl radical scavengers (~100%), more potent than Trolox (88%), were used as a reference compound. Regarding the LOX inhibition, the most potent inhibitor was the t-butyl substituted nitrone 9f (27 μM), bearing the 4-fluoro-3-methylphenyl motif, being 60-fold less potent than NDGA (0.45 μM), which was used as the standard in this test. The results from the antioxidant determination in the ABTS radical cation (ABTS•+) decolorization assay were not significant. N-Methyl nitrone 8f, bearing the 4-fluoro-3-methylphenyl motif, was the only promising representative, with a value of 34.3%, followed by nitrone 9f (16%). From the antioxidant analyses, we have identified N-(2-(4-(4-fluoro-3-methylphenyl)-1H-1,2,3-triazol-1-yl)ethylidene)-2-methylpropan-2-amine oxide (9f), bearing t-butyl and 4-fluoro-3-methylphenyl motifs in its structure, as the most balanced and potent antioxidant agent among the tested nitrones, as it was the most potent LOX inhibitor (27 μM), an extremely efficient and potent hydroxyl radical scavenger (99.9%), as well as one of the most potent LPi (87%) and ABTS•+ scavengers (16%).
1. Introduction
During oxidative stress (OS), an overproduction and accumulation of reactive oxygen species (ROS) or reactive nitrogen species (RNS) occur. As a consequence, the correct functioning of cells and tissues is altered [1]. OS is involved in the pathological mechanisms of some diseases, including arteriosclerosis, heart attacks, and strokes, as well as neurodegenerative disorders such as Parkinson’s and Alzheimer’s diseases. For this reason, the search for new and efficient protective agents against oxidative stress is urgent and of great importance.
The role of both natural and synthetic antioxidants has received considerable attention during the past decades. Since nitrones are able to reduce oxidative stress by trapping ROS and RNS, they have been tested as potent antioxidants in various models of human diseases (Figure 1) [2]. For example, nitrone NXY-059 has been recognized as an efficient neuroprotective agent in experimental studies [3] and reached clinical trials for the treatment of acute ischemic stroke [4]. While the antioxidant and neuroprotective properties of QN23 have been proved [5], 4-OHPBN was found to be an effective agent in the treatment of noise-induced hearing loss [6].
Figure 1.
Examples of biologically active nitrones.
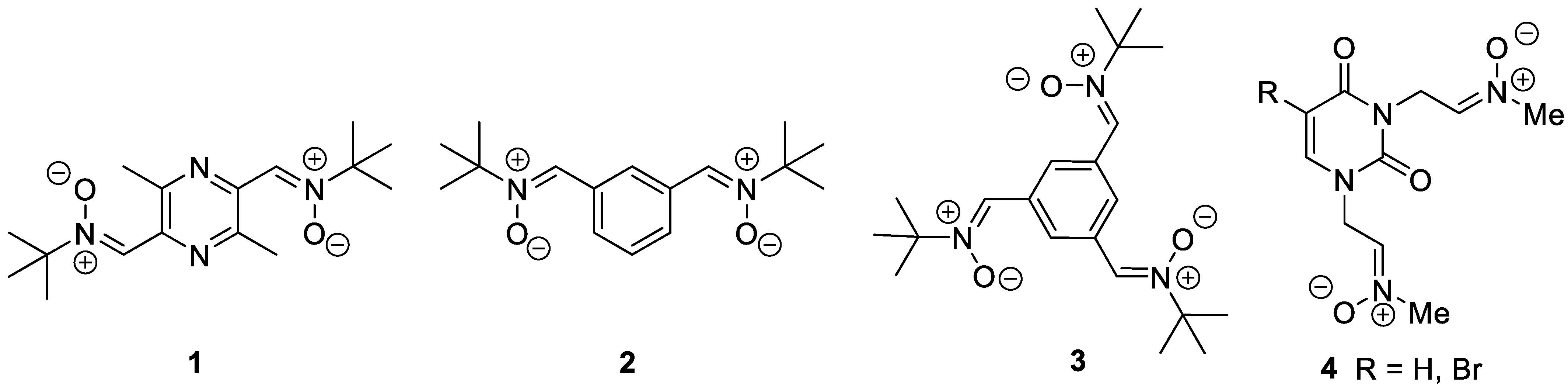
In the search for more active free radical scavengers, the idea of modifying the structure of known nitrones by incorporating additional nitrone functions or other structural units responsible for antioxidant potency has also been tested. Several bis- and tris-nitrones have been successfully designed (Figure 2). For example, bis-nitrones 1 [7] and 2 [8], and tris-nitrone 3 showed promising neuroprotective properties [9]. On the other hand, in the case of active nucleobase-containing nitrones, introducing an additional nitrone group did not result in a higher neuroprotective effect from the obtained bis-nitrones 4 compared to the respective mono-functionalized ones [10].
Figure 2.
Examples of active bis- and tris-nitrones.
Increasing the potency of the antioxidant agent may also be achieved by combining two or even more structural and functional motifs with proven antioxidant activity. Having this general idea in mind, triazole moiety has attracted our attention, since several examples of antioxidants have been found in this class of compounds (Figure 3). And thus, 1,2,3-triazoles 5 exhibited moderate antioxidant activity (EC50 values above 75.5 µg/mL), and good log P values were determined for these compounds [11]. The antioxidant activity in the DPPH assay was noticed for compounds 6 [12] and 7 [13].
Figure 3.
Examples of triazoles with antioxidant properties.
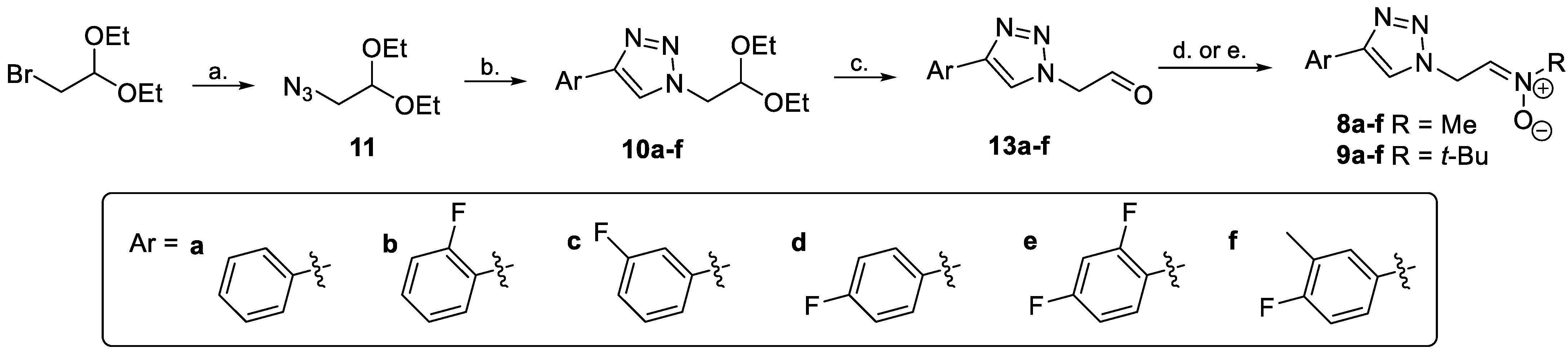
The above-mentioned observations prompted us to design, synthesize and test the antioxidant properties of a series of 1,2,3-triazole-containing nitrones with general formulae 8 and 9 (Scheme 1). We reasoned that the synthesis of compounds 8 and 9 can be achieved by the application of, as a key step, Hüisgen cycloaddition of 2-azidoacetaldehyde diethyl acetate 11 with the respective alkynes 12. The obtained Hüisgen cycloadducts 10 could be then easily hydrolyzed to the corresponding (1,2,3-triazole)aldehydes and subjected to the reaction with suitable and appropriate N-alkylhydroxylamines. From the antioxidant analyses, we have identified N-(2-(4-(4-fluoro-3-methylphenyl)-1H-1,2,3-triazol-1-yl)ethylidene)-2-methylpropan-2-amine oxide (9f), bearing t-butyl and 4-fluoro-3-methylphenyl motifs in its structure, as the most balanced and potent antioxidant agent among the tested nitrones.
Scheme 1.
Retrosynthesis of 1,2,3-triazole-containing nitrones 8 and 9.
2. Materials and Methods
2.1. Chemistry
2.1.1. General Information
1H NMR spectra were taken in chloroform-d (CDCl3) or deuterium oxide (D2O) on a Bruker Avance III (600 MHz); 13C NMR spectra were recorded for CDCl3 solutions on the Bruker Avance III (600 MHz) spectrometer at 151 MHz. IR spectroscopic data were measured on a Bruker Alpha-T FT-IR spectrometer. Melting points were determined on a Boetius apparatus and were uncorrected. Elemental analyses were performed by the Microanalytical Laboratory of the Faculty of Pharmacy (Medical University of Lodz) on a Perkin Elmer PE 2400 CHNS analyzer and their results were found to be in good agreement (±0.3%) with the calculated values. All solvents were purified by the methods described in the literature.
2.1.2. Synthesis of 2-Azidoacetaldehyde Diethyl Acetal 11
A solution of 2-bromoethylacetaldehyde diethyl acetal in DMSO, NaN3 and KI were combined and the reaction mixture was stirred at rt for 15 min, and then at 90 °C for 5 d. After cooling down, water (15 mL) and diethyl ether (10 mL) were added, and the organic layer was separated. The aqueous phase was extracted with diethyl ether (4 × 15 mL). The combined organic extracts were dried over MgSO4, and then filtered and concentrated in vacuo to give pure azide 11 as colourless oil, in full agreement with literature data [14].
2.1.3. General Procedure for the Synthesis of (1,2,3-Triazole)Acetaldehyde Diethyl Acetals 10a–f
To a solution of azide 11 (1 mmol) in ethanol (1 mL) and water (1 mL), CuSO4 × H2O (0.1 mmol) and sodium ascorbate (0.05 mmol) were added, and these were followed by the respective alkyne 12a–f (1 mmol). The suspension was microwave-irradiated in the Plazmatronika RM microwave reactor (30 W) at 40–45 °C for 1 h. After cooling, the solvent was removed in vacuo and the residue was suspended in chloroform (5 mL) and filtered through a layer of Celite. The obtained solution was concentrated in vacuo, and the crude product was chromatographed on a silica gel with a methylene chloride–methanol mixture (200:1, 100:1 and 50:1, v/v) to give the respective pure 1,2,3-triazole 10a–f.
1-(2,2-Diethoxyethyl)-4-Phenyl-1H-1,2,3-Triazole (10a)
Yield 94%; colourless oil; IR (film, cm−1) νmax 3135, 3099, 3033, 2977, 2930, 2896, 1611, 1484, 1467, 1442, 1375, 1229, 1158, 1126, 1067; 1H NMR (200 MHz, CDCl3) δ 7.87–7.81 (m, 3H), 7.48–7.36 (m, 3H), 4.81 (t, J = 5.5 Hz, 1H), 4.50 (d, J = 5.4 Hz, 2H), 3.84–3.80 (m, 2H), 3.59–3.54 (m, 2H), 1.19 (t, J = 7.0 Hz, 6H); 13C NMR (151 MHz, CDCl3) δ 147.67, 130.69, 128.87, 128.13, 157.73, 121.06, 101.02, 63.94, 53.98, 15.24. Anal. Calcd. for C14H19N3O2: C, 64.35; H, 7.33; N, 16.08. Found: C, 64.53; H, 7.67; N, 15.95.
1-(2,2-Diethoxyethyl)-4-(2-Fluorophenyl)-1H-1,2,3-Triazole (10b)
Yield 89%; colourless oil; IR (film, cm−1) νmax 3154, 3072, 2978, 2931, 2897, 1804, 1746, 1583, 1557, 1487, 1376, 1234, 1220, 1126, 1072; 1H NMR (600 MHz, CDCl3) δ 8.31–8.27 (m, 1H), 8.05 (d, J = 3.8 Hz, 1H), 7.32–7.28 (m, 1H), 7.27–7.23 (m, 2H), 7.16–7.12 (m, 1H), 4.81 (t, J = 5.5 Hz, 1H), 4.51 (d, J = 5.5 Hz, 2H), 3.79–3.73 (m, 2H), 3.53–3.47 (m, 2H), 1.19 (t, J = 7.1 Hz, 6H); 13C NMR (151 MHz, CDCl3) δ 159.25 (d, J = 247.5 Hz), 141.07 (d, J = 2.1 Hz), 129.25 (d, J = 7.8 Hz), 127.80 (d, J = 3.3 Hz), 124.59 (d, J = 3.3 Hz), 124.21 (d, J = 13.1 Hz), 118.68 (d, J = 12.1 Hz), 115.69 (d, J = 22.1 Hz), 100.97, 63.88, 52.92, 15.19. Anal. Calcd. for C14H18N3O2F: C, 60.20; H, 6.50; N, 15.04. Found: C, 60.53; H, 6.72; N, 14.82.
1-(2,2-Diethoxyethyl)-4-(3-Fluorophenyl)-1H-1,2,3-Triazole (10c)
Yield 80%; colourless oil; IR (film, cm−1) νmax 3405, 3138, 2978, 2932, 2897, 1788, 1750, 1620, 1590, 1485, 1468, 1447, 1376, 1153, 1127, 1069; 1H NMR (600 MHz, CDCl3) δ 7.88 (s, 1H), 7.61–7.58 (m, 1H), 7.57–7.54 (m, 1H), 7.41–7.37 (m, 1H), 7.05–7.02 (m, 1H), 4.80 (t, J = 5.4 Hz, 1H), 4.50 (d, J = 5.3 Hz, 2H), 3.79–3.73 (m, 2H), 3.54–3.49 (m, 2H), 1.19 (t, J = 7.0 Hz, 6H); 13C NMR (151 MHz, CDCl3) δ 163.20 (d, J = 245.4 Hz), 146.58, 132.85 (d, J = 8.9 Hz), 130.44 (d, J = 7.7 Hz), 121.45, 121.30 (d, J = 2.1 Hz), 114.91 (d, J = 21.4 Hz), 112.64 (d, J = 23.1 Hz), 100.87, 63.92, 52.97, 15.23. Anal. Calcd. For C14H18N3O2F: C, 60.20; H, 6.50; N, 15.04. Found: C, 60.14; H, 6.67; N, 15.00.
1-(2,2-Diethoxyethyl)-4-(4-Fluorophenyl)-1H-1,2,3-Triazole (10d)
Yield 90%; colourless oil; IR (film, cm−1) νmax 3140, 2979, 2897, 1801, 1612, 1561, 1498, 1459, 1228, 1157, 1127, 1069; 1H NMR (200 MHz, CDCl3) δ 7.84–7.76 (m, 3H), 7.16–7.07 (m, 2H), 4.80 (t, J = 5.4 Hz, 1H), 4.49 (d, J = 5.3 Hz, 2H), 3.80–3.69 (m, 2H), 3.59–3.47 (m, 2H), 1.19 (t, J = 7.0 Hz, 6H); 13C NMR (151 MHz, CDCl3) δ 162.66 (d, J = 246.6 Hz), 146.80, 127.44 (d, J = 8.5 Hz), 126.95 (d, J = 3.3 Hz), 120.78, 115.81 (d, J = 21.9 Hz), 100.92, 63.85, 52.95, 15.21. Anal. Calcd. For C14H18N3O2F: C, 60.20; H, 6.50; N, 15.04. Found: C, 60.33; H, 6.62; N, 15.17.
1-(2,2-Diethoxyethyl)-4-(2,4-Difluorophenyl)-1H-1,2,3-Triazole (10e)
Yield 91%; colourless oil; IR (film, cm−1) νmax 3424, 3157, 2976, 2928, 1800, 1625, 1601, 1494, 1418, 1145, 1130, 1053; 1H NMR (600 MHz, CDCl3) δ 8.29–8.24 (m, 1H), 8.00 (d, J = 3.8 Hz, 1H), 7.00–6.99 (m, 1H), 6.92–6.88 (m, 1H), 4.80 (t, J = 5.4 Hz, 1H), 4.51 (d, J = 5.4 Hz, 2H), 3.79–3.73 (m, 2H), 3.54–3.48 (m, 2H), 1.19 (t, J = 7.0 Hz, 6H); 13C NMR (151 MHz, CDCl3) δ 162.53 (dd, J = 250.2 Hz, J = 12.2 Hz), 159.29 (dd, J = 250.9 Hz, J = 12.1 Hz), 140.43, 128.86 (dd, J = 9.8 Hz, J = 5.4 Hz), 123.68 (d, J = 12.6 Hz), 115.19 (dd, J = 13.3 Hz, J = 4.3 Hz), 111.96 (dd, J = 21.0 Hz, J = 3.4 Hz), 104.08 (dd, J = 25.3 Hz, J = 26.4 Hz), 100.90, 63.28, 52.94, 15.16. Anal. Calcd. for C14H17N3O2F2: C, 56.56; H, 5.76; N, 14.03. Found: C, 56.65; H, 5.48; N, 13.92.
1-(2,2-Diethoxyethyl)-4-(4-Fluoro-3-Methylphenyl)-1H-1,2,3-Triazole (10f)
Yield 80%; colourless oil; IR (film, cm−1) νmax 3355, 3136, 2978, 2930, 2896, 1804, 1557, 1495, 1459, 1120, 1061; 1H NMR (200 MHz, CDCl3) δ 7.80 (s, 1H), 7.72–7.66 (m, 1H), 7.62–7.53 (m, 1H), 7.10–7.00 (m, 1H), 7.72–7.66 (m, 1H), 4.80 (t, J = 5.4 Hz, 1H), 4.48 (d, J = 5.3 Hz, 2H), 3.84–3.68 (m, 2H), 3.56–3.43 (m, 2H), 2.32 (d, J = 1.9 Hz, 3H), 1.19 (t, J = 7.0 Hz, 6H); 13C NMR (151 MHz, CDCl3) δ 161.24 (d, J = 245.5 Hz), 146.98, 128.87 (d, J = 5.5 Hz), 126.52 (d, J = 3.2 Hz), 125.39 (d, J = 17.6 Hz), 124.72 (d, J = 15.2 Hz), 120.74, 115.42 (d, J = 23.1 Hz), 100.96, 63.91, 52.95, 15.23, 14.61 (d, J = 3.3 Hz). Anal. Calcd. for C15H20N3O2F: C, 61.42; H, 6.87; N, 14.32. Found: C, 61.35; H, 7.01; N, 14.09.
2.1.4. General Procedure for the Synthesis of Nitrones 8a–f and 9a–f
A solution of the respective diethyl acetal 10a–f (0.1 mmol) in 1M HCl (1 mL) was stirred at reflux for 1 h. After that, the solvent was removed and the residue re-evaporated with water until a neutral pH was obtained. The obtained aldehyde 13a–f was immediately used in the next step without further purification. To a solution of the obtained aldehyde 13a–f in ethanol (2 mL), CH3CO2Na (1.3 mmol) and N-alkyhydoxylamine hydrochloride (1.1 mmol) were added. The reaction mixture was stirred until the disappearance of the starting aldehyde was noticed on TLC. After that 10% NaHCO3 was added (5 mL) and the product was extracted with methylene chloride (3 × 5 mL). Organic extracts were combined, dried (MgSO4), concentrated, and crystallized to give the respective pure nitrone 8a–f or 9a–f.
N-(2-(4-Phenyl-1H-1,2,3-Triazol-1-yl)Ethylidene)Methanamine Oxide (8a)
Yield 69%; white amorphous solid; mp 97–8 °C (recrystallized from methylene chloride—ethyl ether); IR (KBr, cm−1) νmax 3406, 3115, 3084, 3060, 2964, 1614, 1484, 1462, 1437, 1225, 1204, 1148, 1077, 1048; 1H NMR (600 MHz, CDCl3) δ 8.00 (s, 1H), 7.84–7.81 (m, 2H), 7.44–7.41 (m, 2H), 7.36–7.33 (m, 1H), 7.18–7.17 (m, 1H), 5.39–5.36 (m, 2H), 3.79 (d, J = 0.7 Hz, 3H); 13C NMR (151 MHz, CDCl3) δ 148.16, 131.93, 130.29, 128.88, 128.34, 125.80, 121.01, 52.76, 45.71. Anal. Calcd. for C11H12N4O: C, 61.10; H, 5.59; N, 25.92. Found: C, 60.91; H, 5.51; N, 25.70.
N-(2-(4-(2-Fluorophenyl)-1H-1,2,3-Triazol-1-yl)Ethylidene)Methanamine Oxide (8b)
Yield 63%; white amorphous solid; mp 125–6 °C (recrystallized from methylene chloride—ethyl ether); IR (KBr, cm−1) νmax 3425, 3176, 3094, 3060, 3006, 1617, 1583, 1556, 1488, 1469, 1425, 1393, 1318, 1239, 1213, 1073; 1H NMR (600 MHz, CDCl3) δ 8.29–8.25 (m, 1H), 8.11 (d, J = 3.6 Hz, 1H), 7.33–7.30 (m, 1H), 7.27–7.23 (m, 1H), 7.18–7.12 (m, 2H), 5.42–5.40 (m, 2H), 3.79 (d, J = 0.8 Hz, 3H); 13C NMR (151 MHz, CDCl3) δ 159.29 (d, J = 248.6 Hz), 141.60 (d, J = 2.1 Hz), 132.04, 129.53 (d, J = 8.6 Hz), 127.84 (d, J = 3.5 Hz), 124.61 (d, J = 3.3 Hz), 123.93 (d, J = 12.5 Hz), 118.30 (d, J = 12.9 Hz), 115.73 (d, J = 21.8 Hz), 52.70, 46.02. Anal. Calcd. for C11H11N4OF: C, 56.41; H, 4.73; N, 23.92. Found: C, 56.73; H, 4.56; N, 24.11.
N-(2-(4-(3-Fluorophenyl)-1H-1,2,3-Triazol-1-yl)Ethylidene)Methanamine Oxide (8c)
Yield 61%; white amorphous solid; mp 158–160 °C (recrystallized from methylene chloride—ethyl ether); IR (KBr, cm−1) νmax 3424, 3133, 3095, 2871, 1621, 1589, 1561, 1484, 1229, 1181; 1H NMR (600 MHz, D2O) δ 8.31 (s, 1H), 7.55–7.50 (m, 2H), 7.47–7.44 (m, 1H), 7.43–7.39 (m, 1H), 7.10–7.07 (m, 1H), 5.38–5.34 (d, J = 4.2 Hz, 2H), 3.69 (d, J = 0.7 Hz, 3H); 13C NMR (151 MHz, CDCl3) δ 163.22 (d, J = 246.2 Hz), 147.05, 132.48 (d, J = 9.2 Hz), 131.54, 130.46 (d, J = 8.1 Hz), 121.45, 121.40 (d, J = 2.9 Hz), 115.15 (d, J = 21.0 Hz), 112.75 (d, J = 23.0 Hz), 52.83, 45.63. Anal. Calcd. For C11H11N4OF: C, 56.41; H, 4.73; N, 23.92. Found: C, 56.26; H, 4.43; N, 23.96.
N-(2-(4-(4-Fluorophenyl)-1H-1,2,3-Triazol-1-yl)Ethylidene)Methanamine Oxide (8d)
Yield 78%; white amorphous solid; mp 165–7 °C (recrystallized from methylene chloride—ethyl ether); IR (KBr, cm−1) νmax 3363, 3203, 3134, 2877, 2382, 1614, 1562, 1499, 1458, 1238, 1158, 1093; 1H NMR (600 MHz, D2O) δ 8.33 (s, 1H), 7.81–7.78 (m, 2H), 7.63–7.61 (m, 1H), 7.26–7.22 (m, 2H), 5,47–5.42 (m, 2H), 3.78 (s, 3H); 13C NMR (151 MHz, CDCl3) δ 162.80 (d, J = 247.6 Hz), 147.27, 131.68, 127.54 (d, J = 7.8 Hz), 126.54 (d, J = 3.3 Hz), 120.81, 115.87 (d, J = 21.8 Hz), 52.81, 45.61. Anal. Calcd. for C11H11N4OF: C, 56.41; H, 4.73; N, 23.92. Found: C, 56.52; H, 4.82; N, 23.83.
N-(2-(4-(2,4-Difluorophenyl)-1H-1,2,3-Triazol-1-yl)Ethylidene)Methanamine Oxide (8e)
Yield 56%; white amorphous solid; mp 122–3 °C (recrystallized from methylene chloride—ethyl ether); IR (KBr, cm−1) νmax 3424, 3179, 3094, 3058, 1619, 1599, 1459, 1412, 1397, 1268, 1126, 1067; 1H NMR (600 MHz, D2O) δ 8.36 (d, J = 2.9 Hz, 1H), 7.99–7.94 (m, 1H), 7.63 (t, J = 5.0 Hz, 1H), 7.13–7.08 (m, 2H), 5.47 (d, J = 4.8 Hz, 2H), 3.78 (s, 3H); 13C NMR (151 MHz, CDCl3) δ 162.69 (dd, J = 250.8 Hz, J = 13.1 Hz), 159.33 (dd, J = 250.9 Hz, J = 12.2 Hz), 140.92 (d, J = 2.8 Hz), 131.73, 128.82 (dd, J = 9.8 Hz, J = 5.4 Hz), 123.48 (d, J = 11.9 Hz), 114.79 (dd, J = 13.1 Hz, J = 3.2 Hz), 112.03 (dd, J = 22.0 Hz, J = 3.5 Hz), 104.16 (dd, J = 26.4 Hz, J = 25.2 Hz), 52.76, 45.93. Anal. Calcd. for C11H10N4OF2 × 0.25H2O: C, 51.46; H, 4.12; N, 21.83. Found: C, 51.60; H, 3.85; N, 21.74.
N-(2-(4-(4-Fluoro-3-Methylphenyl)-1H-1,2,3-Triazol-1-yl)Ethylidene)Methanamine Oxide (8f)
Yield 61%; white amorphous solid; mp 171–3 °C (recrystallized from methylene chloride—ethyl ether); IR (KBr, cm−1) νmax 3171, 3130, 2882, 159, 1448, 1461, 1237, 1211, 1168, 1121; 1H NMR (600 MHz, D2O) δ 8.20 (s, 1H), 7.57–7.48 (m, 3H), 7.08–7.05 (m, 1H), 5,35–5.33 (d, J = 5.2 Hz, 2H), 3.69 (s, 3H), 2.20 (s, 3H); 13C NMR (151 MHz, CDCl3) δ 161.36 (d, J = 246.5 Hz), 147.46, 131.87, 128.95 (d, J = 5.6 Hz), 126.11 (d, J = 4.3 Hz), 125.47 (d, J = 17.6 Hz), 124.78 (d, J = 7.8 Hz), 120.77, 115.48 (d, J = 23.05 Hz), 52.82, 45.64, 14.58 (d, J = 3.3 Hz). Anal. Calcd. for C12H13N4OF: C, 58.06; H, 5.28; N, 22.57. Found: C, 57.78; H, 4.99; N, 22.61.
2-Methyl-N-(2-(4-Phenyl-1H-1,2,3-Triazol-1-yl)Ethylidene)Propan-2-Amine Oxide (9a)
Yield 85%; white amorphous solid; mp 91–3 °C (recrystallized from methylene chloride—ethyl ether); IR (KBr, cm−1) νmax 3375, 3328, 3134, 2973, 2872, 1611, 1470, 1442, 1363, 1118, 1085, 1052, 1001; 1H NMR (600 MHz, CDCl3) δ 7.98 (s, 1H), 7.86–7.81 (m, 2H), 7.48–7.29 (m, 4H), 5.39 (d, 2H, J = 5.4 Hz), 1.53 (s, 9H); 13C NMR (151 MHz, CDCl3): 148.12, 130.39, 128.86, 128.29, 127.21, 125.80, 120.94, 70.68, 46.73, 27.87. Anal. Calcd. for C14H18N4O: C, 65.09; H, 7.02; N, 21.69. Found: C, 64.93; H, 6.87; N, 21.96.
N-(2-(4-(2-Fluorophenyl)-1H-1,2,3-Triazol-1-yl)Ethylidene)-2-Methylpropan-2-Amine Oxide (9b)
Yield 39%; white amorphous solid; mp 72–3 °C (recrystallized from ethyl ether—petroleum ether); IR (KBr, cm−1) νmax 3417, 3137, 2974, 1625, 1583, 1488, 1390, 1220, 1109, 1076; 1H NMR (600 MHz, CDCl3) δ 8.28–8.25 (m, 1H), 8.09 (d, J = 3.6 Hz, 1H), 7.33–7.20 (m, 3H), 7.15–7.11 (m, 1H), 5.40 (d, J = 4.9 Hz, 2H), 1.52 (s, 9H); 13C NMR (151 MHz, CDCl3) δ 159.29 (d, J = 247.5 Hz), 141.55 (d, J = 3.3 Hz), 129.48 (d, J = 7.8 Hz), 127.83 (d, J = 4.0 Hz), 127.43, 124.60 (d, J = 3.3 Hz), 123.90 (d, J = 12.8 Hz), 118.37 (d, J = 12.5 Hz), 115.70 (d, J = 22.0 Hz), 70.62, 47.05, 27.85. Anal. Calcd. For C14H17N4OF×0.5H2O: C, 58.93; H, 6.36; N, 19.64. Found: C, 58.99; H, 6.49; N, 19.51.
N-(2-(4-(3-Fluorophenyl)-1H-1,2,3-Triazol-1-yl)Ethylidene)-2-Methylpropan-2-Amine Oxide (9c)
Yield 30%; white amorphous solid; mp 94–5 °C (recrystallized from methylene chloride—ethyl ether); IR (KBr, cm−1) νmax 3417, 3127, 2975, 1620, 1589, 1485, 1460, 1392, 1364, 1227; 1H NMR (600 MHz, CDCl3) δ 8.00 (s, 1H), 7.60–7.55 (m, 2H), 7.41–7.37 (m, 1H), 7.30–7.28 (m, 1H), 7.05–7.02 (m, 1H), 5.38 (d, J = 5.2 Hz, 2H), 1.53 (s, 9H); 13C NMR (151 MHz, CDCl3) δ 163.21 (d, J = 245.6 Hz), 146.99 (d, J = 2.7 Hz), 132.58 (d, J = 8.4 Hz), 130.44 (d, J = 8.6 Hz), 126.86, 121.38, 121.38, 115.08 (d, J = 21.3 Hz), 112.73 (d, J = 23.1 Hz), 70.76, 46.64, 27.87. Anal. Calcd. For C14H17N4OF×1.5H2O: C, 55.43; H, 6.65; N, 18.48. Found: C, 55.16; H, 6.63; N, 18.36.
N-(2-(4-(4-Fluorophenyl)-1H-1,2,3-Triazol-1-yl)Ethylidene)-2-Methylpropan-2-Amine Oxide (9d)
Yield 37%; white amorphous solid; mp 128–131 °C (recrystallized from ethyl ether); IR (KBr, cm−1) νmax 3425, 2975, 2533, 1613, 1562, 1499, 1227, 1158; 1H NMR (600 MHz, CDCl3) δ 7.95 (s, 1H), 7.82–7.79 (m, 2H), 7.30–7.27 (m, 1H), 7.14–7.11 (m, 2H), 5.38 (d, J = 5.2 Hz, 2H), 1.53 (s, 9H); 13C NMR (151 MHz, CDCl3) δ 162.78 (d, J = 247.6 Hz), 147.23, 127.53 (d, J = 7.6 Hz), 126.98, 126.63 (d, J = 3.6 Hz), 120.73, 115.86 (d, J = 22.1 Hz), 70.73, 46.64, 27.88. Anal. Calcd. for C14H17N4OF×0.5H2O: C, 58.93; H, 6.36; N, 19.64. Found: C, 58.94; H, 6.17; N, 19.85.
N-(2-(4-(2,4-Difluorophenyl)-1H-1,2,3-Triazol-1-yl)Ethylidene)-2-Methylpropan-2-Amine Oxide (9e)
Yield 43%; white amorphous solid; mp 122–3 °C (recrystallized from ethyl ether); IR (KBr, cm−1) νmax 3425, 3167, 2923, 1629, 1599, 1562, 1396, 1211, 1131, 1073; 1H NMR (600 MHz, CDCl3) δ 8.29–8.24 (m, 1H), 8.06 (d, J = 3.6 Hz, 1H), 7.28–7.26 (m, 1H), 7.02–6.98 (m, 1H), 6.93–6.88 (m, 1H), 5.40 (d, J = 5.0 Hz, 2H), 1.53 (s, 9H); 13C NMR (151 MHz, CDCl3) δ 162.67 (dd, J = 249.8 Hz, J = 12.1 Hz), 159.32 (dd, J = 251.3 Hz, J = 10.9 Hz), 140.88 (d, J = 2.7 Hz), 128.84 (dd, J = 9.2 Hz, J = 4.7 Hz), 127.13, 123.44 (d, J = 12.2 Hz), 114.86 (d, J = 13.2 Hz), 112.03 (dd, J = 21.1 Hz, J = 3.2 Hz), 104.16 (dd, J = 25.3 Hz, J = 25.4 Hz), 70.66, 46.99, 27.86. Anal. Calcd. for C14H16N4OF2×0.25H2O: C, 56.27; H, 5.57; N, 18.76. Found: C, 56.56; H, 5.41; N, 18.68.
N-(2-(4-(4-Fluoro-3-Methylphenyl)-1H-1,2,3-Triazol-1-yl)Ethylidene)-2-Methylpropan-2-Amine Oxide (9f)
Yield 78%; white amorphous solid; mp 104–7 °C (recrystallized from ethyl ether); IR (KBr, cm−1) νmax 3406, 3128, 3100, 2978, 1495, 1468, 1393, 1309, 1281, 1209, 1082; 1H NMR (600 MHz, D2O) δ 7.92 (s, 1H), 7.70–7.68 (m, 1H), 7.59–7.57 (m, 1H), 7.29–7.27 (m, 1H), 7.07–7.03 (m, 1H), 5.37 (d, J = 5.2 Hz, 2H), 2.32 (d, J = 1.8 Hz, 3H), 1.53 (s, 9H); 13C NMR (151 MHz, CDCl3) δ 161.35 (d, J = 246.5 Hz), 147.42, 128.95 (d, J = 5.6 Hz), 127.16, 126.23 (d, J = 3.3 Hz), 125.44 (d, J = 18.1 Hz), 124.79 (d, J = 7.7 Hz), 120.67, 115.45 (d, J = 23.2 Hz), 70.70, 46.67, 27.87, 14.55 (d, J = 3.3 Hz). Anal. Calcd. for C15H19N4OF×0.25H2O: C, 61.10; H, 6.67; N, 19.01. Found: C, 60.80; H, 6.70; N, 19.29.
2.2. Estimation of Lipophilicity as Clog P
We used Bioloom of Biobyte Corp for the theoretical calculation of lipophilicity as Clog P values (BioByte Home Page. Available online: http://www.biobyte.com, accessed on 22 November 2022).
2.3. Antioxidant Assays
The in vitro antioxidant assays for nitrones 8 and 9 were performed concentrations of 100 µM (from a stock solution 10 mM in 0.1% DMSO in deionized water). Several dilutions were made when the determination of IC50 values was needed. All the determinations were made, at least in triplicate, and the standard deviation of absorbance was less than 10% of the mean. The nitrones were diluted under sonification in the appropriate buffer in several dilutions (Table 1).
Table 1.
In vitro antioxidant activities of nitrones 8a–f and 9a–f.
The following assays were used: (i) the ILP induced by AAPH, (ii) the competition of the tested nitrones with DMSO for hydroxyl radicals, (iii) the ABTS+·–decolorization assay, and (iv) the in vitro inhibition of soybean LOX.
2.3.1. Materials and Methods
NDGA, Trolox, AAPH, soybean LOX, and linoleic acid sodium salt were purchased from Aldrich Chemical Co. (Milwaukee, WI, USA). Phosphate buffer (0.1 M, pH 7.4) was prepared by mixing an aqueous KH2PO4 solution (50 mL, 0.2 M), and an aqueous NaOH solution (78 mL, 0.1 M); 2-Amino-2-hydroxymethyl-propane-1,3-diol (Tris) was used as a buffer pH 9. A lambda 20 (Perkin–Elmer-PharmaSpec 1700, Perkin-Elmer Corporation Ltd., Lane Beaconsfield, Bucks, UK) UV–Vis double beam spectrophotometer was used for the assays.
To measure in vitro antioxidant activity of the nitrones 8 and 9, the following assays were used: The inhibition of lipid peroxidation (LP) induced by AAPH, the DMSO method for hydroxyl radical scavenging activity, the ABTS+·–decolorization assay and the in vitro inhibition of soybean lipoxygenase (LOX).
2.3.2. Inhibition of Linoleic Acid Peroxidation
The production of conjugated diene hydroperoxide by the oxidation of linoleate sodium 16 mM linoleate sodium (10 µL) in an aqueous solution is monitored at 234 nm. AAPH 40 mM (50 µL) is used as a free radical initiator at 37 °C under air conditions, followed by the tested nitrones. This assay can be used to follow oxidative changes by recording the absorbance values at 234 nm, using Trolox as a reference compound. The experimental procedure follows our previously reported protocol [15].
2.3.3. In Vitro Inhibition of Soybean Lipoxygenase (LOX)
The in vitro study was evaluated as reported previously [15,16]. Compounds 8a–f or 9a–f (10 μL) were incubated at rt with sodium linoleate (0.1 mM) and 200 μL of enzyme solution (1/9 × 10–4 w/v in saline). Tris buffer pH 9 was inserted. The conversion of sodium linoleate to 13-hydroperoxylinoleic acid was recorded at 234 nm. NDGA was used as a positive control (IC50 = 0.45 µM or 87% at 100 µM). Several dilutions of compounds were used for the determination of IC50 values. Blank determination served as the negative control.
2.3.4. Competition of Nitrones 8 and 9 with DMSO for Hydroxyl Radicals
The hydroxyl radicals, produced by the Fe3+/ascorbic acid system, were detected by the determination of formaldehyde produced from the oxidation of DMSO [8]. Solutions of EDTA (0.1 mM), Fe3+ (167 μM), DMSO (33 mM) in phosphate buffer (50 mM, pH 7.4), as well as the tested compounds (10 μL final concentration 100 μM) and ascorbic acid (10 mM) were mixed in test tubes and incubated at 37 °C for 30 min. The reaction was stopped by adding CCl3COOH (17% w/v), and the % competition activity of the nitrones 8 and 9 with DMSO for hydroxyl radicals was calculated. Trolox was used as a positive control.
2.3.5. ABTS∙+–Decolorization Assay in Ethanolic Solution for Antioxidant Activity
ABTS stock solution in water (7 mM) was mixed with potassium persulfate (2.45 mM) and left in the dark at rt for 12–16 h before use, followed by the production of the ABTS radical cation (ABTS+·). The assay was performed as described previously [8]. The results were recorded after 1 min of the mixing solutions at 734 nm. Trolox was used as a positive control.
3. Results and Discussion
3.1. Chemistry
The respective nitrones 8 and 9 were obtained, starting from commercially available 2-bromoacetaldehyde diethyl acetal, which was transformed into 2-azidoacetaldehyde diethyl acetal 11, following the literature protocol [14]. Hüisgen dipolar cycloaddition of azide 11 with the selected aryl alkynes 12a–f produced the respective 1,2,3-triazole cycloadducts 10a–f in strong yields (80–94%), which were then efficiently hydrolyzed to the corresponding (1,2,3-triazole)aldehydes 13a–f by treatment with 1M hydrochloric acid. The subsequent reactions with respective N-alkylhydroxylamine led to the formation of nitrones 8a–f or 9a–f in moderate-to-good yields (30–85%) (Scheme 2). While the full conversion of the aldehydes 13a–f into N-methyl nitrones 8a–f was achieved within 15 min at room temperature (rt), and the extension of the reaction time led to the formation of decomposition products, the synthesis of the N-tert-butyl nitrones 9a–f required the stirring of aldehydes 13a–f with N-tert-butylhydroxylamine for 1 h. All designed compounds were characterized by taking IR and 1H and 13C NMR spectra which, together with the correct elemental analyses, proved their structures (see Section 2.1. and Supplementary Material).
Scheme 2.
Synthesis of 8a–f and 9a–f. Reagents and conditions: a. NaN3, KI, DMSO, rt, and then 5 d at 90 °C; b. aryl alkyne 12a–f, CuSO4 × 5H2O, sodium ascorbate, EtOH–H2O, 40–50 °C, 1 h, microwave (MW, 30 W); c. 1M HCl, 1 h, 120 °C; d. MeNHOH × HCl, CH3CO2Na, rt, 15 min; e. t-BuNHOH×HCl, CH3CO2Na, rt, 1 h.
3.2. Antioxidant Activity of Nitrones 8a–f and 9a–f
In the present investigation, nitrones 8 and 9 were studied with regard to their antioxidant ability, as well as their ability to inhibit soybean LOX. In addition, standards nordihydroguaiaretic acid (NDGA), Trolox, and (Z)-N-tert-butyl-1-phenylmethanimine oxide (PBN) were included in the study for comparison. We decided to evaluate the in vitro antioxidant activity of the synthesized nitrones using three different antioxidant assays: (a) interaction with the water-soluble azo compound AAPH [2,2′-azobis(2-amidinopropane) dihydrochloride], (b) competition with the DMSO for hydroxyl radicals, and (c) ABTS∙+–decolorization assay in ethanolic solution for antioxidant activity, considering the role of ROS in OS and in inflammation disorders. Solubility or steric hindrance can vary among the different assays. Thus, the antioxidant ability of the compounds should be evaluated in a variety of media. The nitrones were also tested for their anti-inflammatory activity, as were lipoxygenase (LOX) inhibitors (LOXis).
The water-soluble azo compound AAPH has been extensively used as a clean and controllable source for the production of alkylperoxyl free radicals with the aid of temperature. The % inhibition of lipid peroxidation (ILP), using the APPH assay, by the examined compounds is shown in Table 1. Nitrones 8b, 9c and 9d were found to be weak lipid peroxidation inhibitors (LPis) (2–29%). On the contrary, t-butyl nitrone 9e, bearing the 2,4-difluorophenyl motif, showed a much higher inhibitory effect (100%), close to that of the reference compound Trolox (93%), being the most potent LPi in the whole series of tested nitrones. Furthermore, 8e and 9f present equipotent high ILP values (87%), followed by 9a and 9b, which are also equipotent. Lower antioxidant activities are recorded for 8c, 8b and 8f.
Free hydroxyl radicals (•OH) are very harmful to the well-being of the human body, as they react with a number of biological important molecules such as DNA, lipids, or carbohydrates. Polyunsaturated fatty acids are found in high concentrations in the brain and are particularly vulnerable to free radicals. Thus, we found it of potential importance to test the ability of our nitrones to scavenge hydroxyl radicals. We used the competition of the synthesized nitrones with DMSO for HO•, generated by the Fe3+/ascorbic acid system and expressed as a percentage inhibition of formaldehyde production, to evaluate their hydroxyl radical scavenging activity. As shown in Table 1, the majority of the tested nitrones exhibited high activity at 100 µM. Among the representatives of group 8, nitrones 8a and 8f compete strongly with DMSO for the hydroxyl radicals stronger than the standard compound Trolox. The scavenging activity for nitrones 8b, 8c, 8d, 8e ranged from 59–80%. For nitrones of group 9, the scavenging activities were found to be higher than that of group 8, especially for 9c, 9d, 9e and 9f (89–100%). In addition, they were higher than those of Trolox (88%), used as a reference compound. Nitrones 9d, 9e and 9f, bearing the 4-fluorophenyl, 2,4-difluorophenyl, and 4-fluoro-3-methylphenyl motifs, respectively, were almost equipotent and represented the most potent hydroxyl radical scavengers (~100%). We noticed that the presence of fluorine as a substituent in the phenyl ring, as well as its specific position, respectively, influences the scavenging activity, and that lipophilicity is not correlated with these results.
LOX is one of the enzymes implicated in the first two steps in the metabolism of arachidonic acid to leukotrienes. The generation of LTB4 is important in the pathogenesis of neutrophil-mediated inflammatory diseases related to the severity of cardiovascular diseases, asthma, and cancer. Published researches suggest the relationship between LOX inhibition and the ability of the inhibitors to reduce Fe3+ at the active site to the catalytically inactive Fe2+. However, alternative mechanisms suggest that most of the LOXis are antioxidants or free radical scavengers. A perusal of the IC50′s inhibition values (Table 1) showed that between the two groups 8 and 9, the t-butyl analogues were found to be more potent. Thus, the most potent inhibitor was the t-butyl substituted nitrone 9f (27 μM), bearing the 4-fluoro-3-methylphenyl motif, 60-fold less potent than NDGA (0.45 μM), used as standard in this test, followed by 9b, 9d ⋍ 9e. Among the members of group 8, the most potent 8a presents a low log p value and is followed by 8e. We noticed that the presence of fluorine as a substituent in the phenyl ring, as well as its specific position, respectively, influences the inhibitory activity. The IC50 value of the simplest nitrone 8a is 37.5 μM, whereas the 4-fluorophenyl nitrone (8d) loses its activity. The observed activity is very low when fluorine is inserted at the 2- or 3-position of phenyl residue (24 and 40% for 8b and 8c, respectively), as well as when a methyl group is inserted next to the fluorine substituent (44%) (8f). Fluorine substitution at both 2- and 4-positions of phenyl group lowers the inhibition (8e) in comparison to 8a. Although lipophilicity is referred to as an important physicochemical property for LOXis, herein the theoretically calculated log P values do not always support this observation. Of course, the most potent LOXi 9f presents the highest log P value (2.12) within both groups. The presence of fluorine as a substituent on the phenyl ring, as well as its specific position, respectively, influences the inhibitory activity. Thus, the substitution with fluorine at the 2-position of phenyl group gives an IC50 response of 40 μM (9b), whereas the substation at 3-position (9c) is related to no inhibition under the reported experimental conditions. The 4-fluorophenyl nitrone points to the inhibition of 100µM (9d). The 2,4-diflurophenyl nitrone (9e) is equipotent to the 9d. The replacement of the methyl group by hydrogen diminishes inhibition (9d).
The results from the antioxidant determination in the ABTS radical cation (ABTS•+) decolorization assay were not significant. N-Methyl nitrone 8f, bearing the 4-fluoro-3-methylphenyl motif, was the only promising representative with a value of 34.3%, followed by nitrone 9f (16%), whereas 8a, 8b, 8d, and 9a showed very limited antioxidant activity (4–14%).
4. Conclusions
In this work, we have described the design, synthesis, and antioxidant capacity of six novel N-(2-(4-aryl-1H-1,2,3-triazol-1-yl)ethylidene)methanamine oxides 8a–f and six novel N-(2-(4-aryl)-1H-1,2,3-triazol-1-yl)ethylidene)-2-methylpropan-2-amine oxides 9a–f, bearing an N-methyl, and an N-t-butyl, respectively, at the nitrogen of the nitrone motif (Scheme 1).
Based on the hypothesis that increasing the potency of an antioxidant agent may be achieved by combining two or even more structural and functional motifs with proven antioxidant activity, the triazole heterocyclic ring system has been selected for designing new nitrones, since several examples of antioxidants bearing the triazole core are known (Figure 3). Consequently, nitrones 8a–f and 9a–f were prepared by simple methods and in a short synthetic scheme from commercial and easily available precursors (Scheme 2).
Next, nitrones 8 and 9 have been investigated for their antioxidant ability, as well as for their capacity to inhibit soybean LOX, and the in vitro antioxidant activity. This was carried out using three different antioxidant assays, such as the interaction with the water-soluble azo compound AAPH for the ILP test, the competition with the DMSO for hydroxyl radicals, and the ABTS•+–decolorization assay.
t-Butyl nitrone 9e, bearing the 2,4-difluorophenyl motif, showed a strong inhibitory effect (100%), close to the reference compound Trolox (93%), being the most potent LPi of the whole series of tested nitrones. Nitrones 9d, 9e and 9f, bearing the 4-fluorophenyl, 2,4-difluorophenyl, and 4-fluoro-3-methylphenyl motifs, respectively, were almost equipotent, and constituted the most potent hydroxyl radical scavengers (~100%), more potent than Trolox (88%), used as a reference compound. Regarding the LOX inhibition, the most potent inhibitor was the t-butyl-substituted nitrone 9f (27 μM), bearing the 4-fluoro-3-methylphenyl motif, being 60-fold less potent than NDGA (0.45 μM), used as the standard in this test. The results from the antioxidant determination in the ABTS radical cation (ABTS•+) decolorization assay were not significant. N-Methyl nitrone 8f, bearing the 4-fluoro-3-methylphenyl motif, was the only promising representative, with a value of 34.3%, followed by nitrone 9f (16%). Conversely, 8a, 8b, 8d, and 9a showed very limited antioxidant activity (4–14%).
Overall, we have identified N-(2-(4-(4-fluoro-3-methylphenyl)-1H-1,2,3-triazol-1-yl)ethylidene)-2-methylpropan-2-amine oxide (9f), bearing t-butyl and 4-fluoro-3-methylphenyl motifs in its structure, as the most balanced and potent antioxidant agent among the tested nitrones. As shown in Table 1, nitrone 9f was the most potent LOXi (27 μM), an extremely efficient and potent hydroxyl radical scavenger (99.9%), and one of the most potent LPis (87%) and ABTS•+ scavengers (16%) of the whole series of tested nitrones. Finally, nitrone 9f compared satisfactorily with standards Trolox, and NDGA, and particularly very well with standard PBN, as shown in Table 1.
To sum up, we think that compound 9f is a very promising hit nitrone that, based on the present results, deserves further investigation on biological targets involved in pathologies, such as stroke or Alzheimer’s disease, where OS is at the origin of their progress and development.
Supplementary Materials
The following supporting information can be downloaded at: https://www.mdpi.com/article/10.3390/antiox12010036/s1, Figure S1: 1H NMR Spectrum for 8a in CDCl3; Figure S2: 13C NMR Spectrum for 8a in CDCl3; Figure S3: 1H NMR Spectrum for 8b in CDCl3; Figure S4: 13C NMR Spectrum for 8b in CDCl3; Figure S5: 1H NMR Spectrum for 8c in D2O; Figure S6: 13C NMR Spectrum for 8c in CDCl3; Figure S7: 1H NMR Spectrum for 8d in D2O; Figure S8: 13C NMR Spectrum for 8d in CDCl3; Figure S9: 1H NMR Spectrum for 8e in D2O; Figure S10: 13C NMR Spectrum for 8e in CDCl3; Figure S11: 1H NMR Spectrum for 8f in D2O; Figure S12: 13C NMR Spectrum for 8f in CDCl3; Figure S13: 1H NMR Spectrum for 9a in CDCl3; Figure S14: 13C NMR Spectrum for 9a in CDCl3; Figure S15: 1H NMR Spectrum for 9b in CDCl3; Figure S16: 13C NMR Spectrum for 9b in CDCl3; Figure S17: 1H NMR Spectrum for 9c in CDCl3; Figure S18: 13C NMR Spectrum for 9c in CDCl3; Figure S19: 1H NMR Spectrum for 9d in CDCl3; Figure S20: 13C NMR Spectrum for 9d in CDCl3; Figure S21: 1H NMR Spectrum for 9e in CDCl3; Figure S22: 13C NMR Spectrum for 9e in CDCl3; Figure S23: 1H NMR Spectrum for 9f in D2O; Figure S24: 13C NMR Spectrum for 9f in CDCl3.
Author Contributions
Conceptualization, D.H.-L., J.M.-C., D.G.P.; methodology and investigation, D.H.-L., I.E.G., D.G.P. (I.E.G. and D.G.P. designed and carried out the synthesis of the nitrones, interpreted the results and characterized all the obtained compounds; D.H.-L. conducted the antioxidant tests, interpreted the results); writing—original draft preparation, D.H.-L., J.M.-C., D.G.P.; funding acquisition, D.H.-L., D.G.P. All authors have read and agreed to the published version of the manuscript.
Funding
The synthetic part of the project was supported by the Medical University of Lodz internal funds (503/3-014-01/503-31-001).
Institutional Review Board Statement
Not applicable.
Informed Consent Statement
Not applicable.
Data Availability Statement
Data is contained within the article and supplementary material.
Conflicts of Interest
The authors declare no conflict of interest.
Abbreviations
AAPH, 2,2′-Azobis(2-amidinopropane) dihydrochloride; ILP, Inhibition of lipid peroxydation; LOX, Lipoxygenase; LP, Lipid peroxidation; NDGA, Nordihydroguaretic acid; OS, Oxidative stress; PNB, α-phenyl-N-tert-butylnitrone; ROS, Reactive Oxygen Species; RNS, Reactive Nitrogen Species; NXY-059, Disodium 2,4-sulphophenyl-N-tert-butylnitrone; QN23, (Z)-N-tert-butyl-1-(2-chloro-6-methoxyquinolin-3-yl)methanimine oxide; 4-OHPBN, α-4-hydroxyphenyl-N-tert-butylnitrone.
References
- Lutskii, M.A.; Zemskov, A.M.; Razuvaeva, V.V.; Lushnikova, Y.P.; Karpova, O.Y. Oxidative stress as an indicator of metabolic impairments in the pathogenesis of cerebral stroke. Neurosci. Behav. Physiol. 2018, 48, 64–68. [Google Scholar] [CrossRef]
- Halliwell, B.; Gutteridge, J.M.C. Free Radicals in Biology and Medicine; Oxford University Press: Oxford, UK, 2015; ISBN 9780198717478. [Google Scholar]
- Floyd, R.A.; Kopke, R.D.; Choi, C.H.; Foster, S.B.; Doblas, S.; Towner, R.A. Nitrones as therapeutics. Free Radical Biol. Med. 2008, 45, 1361–1374. [Google Scholar] [CrossRef] [PubMed]
- Edenius, C.; Strid, S.; Borgå, O.; Breitholtz-Emanuelsson, A.; Vallén, K.L.; Fransson, B. Pharmacokinetics of NXY-059, a nitrone-based free radical trapping agent, in healthy young and elderly subjects. J. Stroke Cerebrovasc. Dis. 2002, 11, 34–42. [Google Scholar] [CrossRef] [PubMed]
- Chioua, M.; Gonzalo-Gobernado, R.; Ayuso, M.I.; Escobar-Peso, A.; Infantes, L.; Hadjipavlou-Litina, D.; Montoya, J.J.; Montaner, J.; Alcázar, A.; Marco-Contelles, J. New quinolylnitrones for stroke therapy: Antioxidant and neuroprotective (Z)-N-tert-butyl-1-(2-chloro-6-methoxyquinolin-3-yl)methanimine oxide (as a new lead-compound for ischemic stroke treatment. J. Med. Chem. 2019, 62, 2184–2201. [Google Scholar] [CrossRef] [PubMed]
- Choi, S.H.; Choi, C.H. Noise-induced neural degeneration and therapeutic effect of antioxidant drugs. J. Audiol. Otol. 2015, 19, 111–119. [Google Scholar] [CrossRef] [PubMed]
- Sun, Y.; Zhang, G.; Zhang, Z.; Yu, P.; Zhong, H.; Du, J.; Wang, Y. Novel multi-functional nitrones for treatment of ischemic stroke. Bioorg. Med. Chem. 2012, 20, 3939–3945. [Google Scholar] [CrossRef] [PubMed]
- Chamorro, B.; Diez-Iriepa, D.; Merás-Sáiz, B.; Chioua, M.; García-Vieira, D.; Iriepa, I.; Hadjipavlou-Litina, D.; López-Muñoz, F.; Martínez-Murillo, R.; González-Nieto, D.; et al. Synthesis, antioxidant properties and neuroprotection of alpha-phenyl-tertbutylnitrone derived homobisnitrones in in vitro and in vivo ischemia models. Sci. Rep. 2020, 10, 14150. [Google Scholar] [CrossRef] [PubMed]
- Diez-Iriepa, D.; Chamorro, B.; Talaván, M.; Chioua, M.; Iriepa, I.; Hadjipavlou-Litina, D.; López-Muñoz, F.; Marco-Contelles, J.; Oset-Gasque, M.J. Homo-tris-nitrones derived from α-phenyl-N-tert-butylnitrone: Synthesis, neuroprotection and antioxidant properties. Int. J. Mol. Sci. 2020, 21, 7949. [Google Scholar] [CrossRef] [PubMed]
- Chamorro, B.; Głowacka, I.E.; Gotkowska, J.; Gulej, R.; Hadjipavlou-Litina, D.; López-Muñoz, F.; Marco-Contelles, J.; Piotrowska, D.G.; Oset-Gasque, M.J. Nucleobase-Derived Nitrones: Synthesis and Antioxidant and Neuroprotective Activities in an In Vitro Model of Ischemia–Reperfusion. Int. J. Mol. Sci. 2022, 23, 3411. [Google Scholar] [CrossRef] [PubMed]
- Da Cunha Lima, J.A.; De Farias Silva, J.; Santos, C.S.; Caiana, R.R.A.; De Moraes, M.M.; Da Camara, C.A.G.; Freitas, J.C.R. Synthesis of new 1,4-disubstituted 1,2,3-triazoles using the CuAAC reaction and determination of their antioxidant activities. An. Acad. Bras. Cienc. 2021, 93, e20201672. [Google Scholar] [CrossRef] [PubMed]
- Mohammed, J.H.; Kadhim, H.Y.; Al_Gahaith Makki, K.; Ali, B.A. Review on Antioxidant evaluation of 1,2,3-triazole derivatives synthesized by click chemistry. Ann. Rom. Soc. Cell Biol. 2021, 25, 2765–2796. [Google Scholar]
- Sahin, I.; Özgeri¸, F.B.; Köse, M.; Bakan, E.; Tümer, F. Synthesis, Characterization, and antioxidant and anticancer activity of 1,4-disubstituted 1,2,3-triazoles. J. Mol. Struct. 2021, 1232, 130042. [Google Scholar] [CrossRef]
- Bellur, E.; Langer, P. Synthesis of functionalized pyrroles and 6,7-dihydro-1H-indol-4(5H)-ones by reaction of 1,3-dicarbonyl compounds with 2-azido-1,1-diethoxyethane. Tetrahedron Lett. 2006, 47, 2151–2154. [Google Scholar] [CrossRef]
- Soriano, E.; Hadjipavlou-Litina, D.; Alcázar, A.; Ayuso, L.I.; Oset-Gasque, M.J.; González, M.P.; Monjas, L.; Rodríguez-Franco, M.I.; Marco-Contelles, J.; Samadi, A. α-Aryl-N-alkyl nitrones, as potential agents for stroke treatment: Synthesis, theoretical calculations, antioxidant, anti-inflammatory, neuroprotective and brain-blood barrier permeability properties. J. Med. Chem. 2012, 55, 153–168. [Google Scholar]
- Liegois, C.; Lermusieau, G.; Colin, S. Measuring antioxidant efficiency of wort, malt, and hops against the 2,2‘-azobis(2-amidinopropane) dihydrochloride-induced oxidation of an aqueous dispersion of linoleic acid. J. Agric. Food Chem. 2000, 48, 1129–1134. [Google Scholar] [CrossRef] [PubMed]
Disclaimer/Publisher’s Note: The statements, opinions and data contained in all publications are solely those of the individual author(s) and contributor(s) and not of MDPI and/or the editor(s). MDPI and/or the editor(s) disclaim responsibility for any injury to people or property resulting from any ideas, methods, instructions or products referred to in the content. |
© 2022 by the authors. Licensee MDPI, Basel, Switzerland. This article is an open access article distributed under the terms and conditions of the Creative Commons Attribution (CC BY) license (https://creativecommons.org/licenses/by/4.0/).





