Seleno-Analogs of Scaffolds Resembling Natural Products a Novel Warhead toward Dual Compounds
Abstract
1. Introduction
2. Materials and Methods
2.1. Chemistry
2.1.1. General Remarks
2.1.2. General Procedure for the Synthesis of the Compounds (1a–19a and 1b–19b)
2.2. Biology
2.2.1. DPPH Free Radical-Scavenging Assay
2.2.2. Cell Culture Conditions
2.2.3. Cell Viability Assay
2.2.4. NCI-60 Analysis
2.2.5. AChE Inhibition
2.2.6. In Vitro Brain–Blood Barrier Permeation Study
2.2.7. Statistical Analysis
2.3. Molecular Dynamics Simulations
3. Results and Discussion
3.1. Synthesis of Target Compounds
3.2. In Vitro Biological Evaluation
3.2.1. Antioxidant Activity
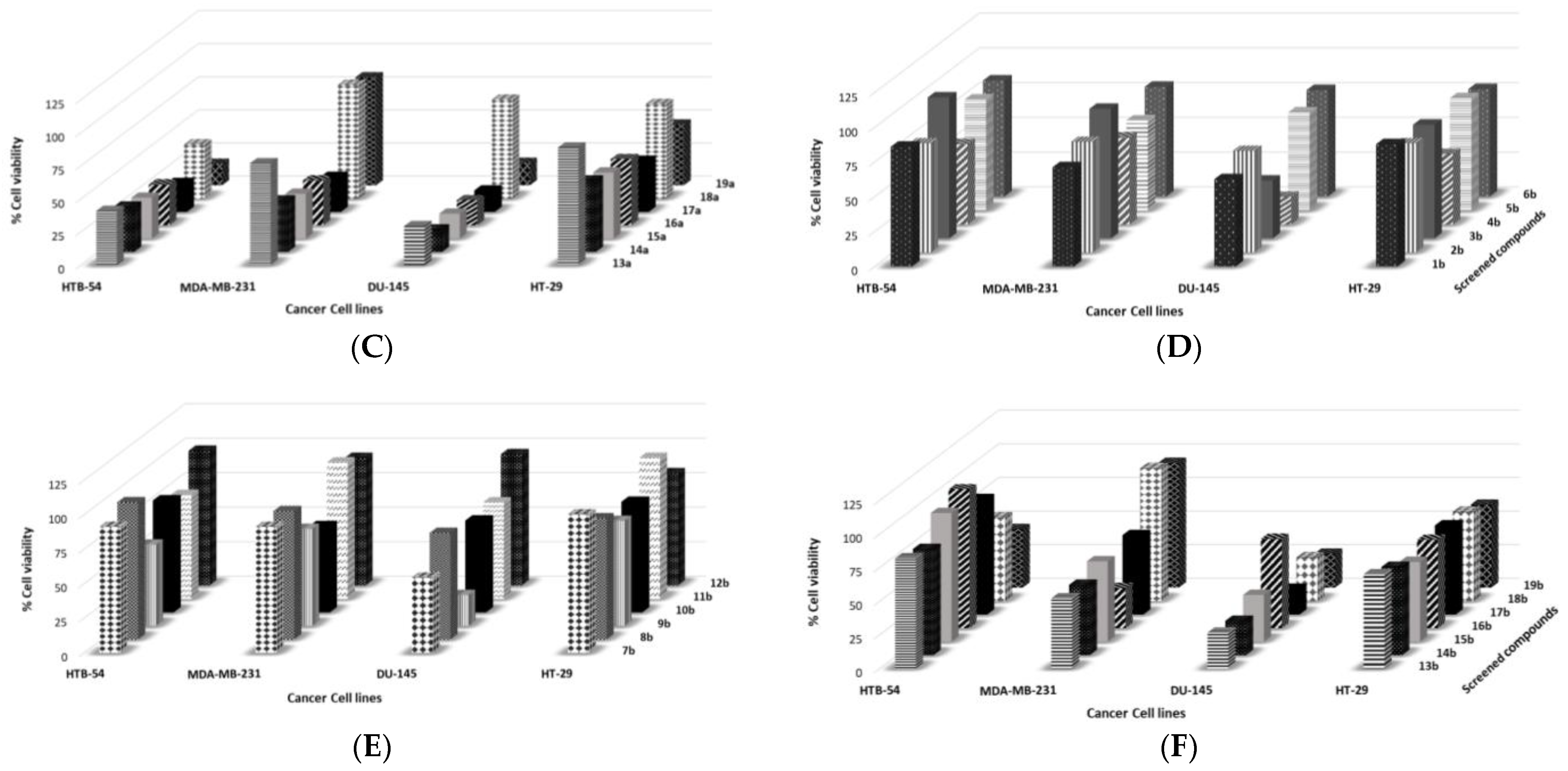
3.2.2. Antiproliferative Activity
- The presence of the propargyl group leads to a lower antiproliferative effect (series b) compared to compounds of series a, that showed more activity against the four cancer cell lines.
- Among the compounds of series a:
- The presence of the adamantyl ring (compound 1a) instead of a benzene ring (compound 2a) failed to increase the antiproliferative activity.
- Among the different substituents of the phenyl ring, the incorporation of the chlorine atom in the “2” position of the ring (compound 3a) seems to not be important for the inhibition of cell viability, as no significant differences were observed with the unsubstituted phenyl ring compound (compound 2a). Nevertheless, the presence of the benzodioxol ring (compound 4a), which is a benzene derivative containing the methylenedioxyl functional group, appears to lose cytotoxic effect in HTB-54, DU-145, and MDA-MD-231 cancer cell lines, whereas it seems to be active in the HT-29 cancer cell line compared to the unsubstituted phenyl ring compound (compound 2a).
- The unsaturation of the 2-carbon linker (compound 5a) between the phenyl ring and the carbonyl group seems to lose the cell inhibitory effect, since the saturated linker leads to a higher antiproliferative activity (compound 6a). Moreover, no significant differences were observed with the phenyl ring compound directly bonded to the carbonyl group (compound 2a).
- The incorporation of a chlorine atom in position “2” of the pyridyl ring seems not to be important for the inhibition of the cell viability, since no significant differences were observed between the chlorine-substituted derivative and the unsubstituted derivative (compounds 8a and 7a, respectively).
- Nevertheless, the incorporation of a chlorine atom in position “3” of the thiophenyl ring (compound 10a) does appear to increase the inhibition of cell viability compared to the unsubstituted ring (compound 9a).
- The presence of a furyl ring instead of a thiophenyl ring leads to increased cytotoxic activity (compounds 9a and 11a, respectively). In contrast, the incorporation of the isoxazolyl ring in place of the furyl ring results in less inhibition of cell viability (compounds 11a and 12a, respectively).
- NSAIDs derivatives appear to exert greater anti-proliferative activity than carbo- and hetero-cycle derivatives (compounds 13a–19a). Aspirin, ibuprofen, naproxen, and indomethacin derivatives (compounds 14a, 15a, 16a, and 17a, respectively) stand out by demonstrating cell viability of less than 55% at 10 µM against the panel of the four cancer cell lines. The mefenamic acid derivative (compound 18a) showed selectivity against the lung cancer HTB-54 cell line. The flumenamic acid derivative (compound 19a), however, showed potent anti-proliferative activity against three tumor lines (HTB-54, DU-145, and HT-29) with no activity against the MDA-MD-231 tumor line.
3.2.3. NCI-60 Analysis of the Compounds 14a and 17a
3.2.4. AChE Inhibition
3.2.5. In Vitro Blood–Brain Barrier Permeation Assay
3.3. Molecular Dynamics Simulations
4. Conclusions
Supplementary Materials
Author Contributions
Funding
Institutional Review Board Statement
Informed Consent Statement
Data Availability Statement
Acknowledgments
Conflicts of Interest
Abbreviations
| AChEI | Acetylcholinesterase inhibition |
| AD | Alzheimer’s disease |
| BBB | Blood–brain barrier |
| CAS | Catalytic anionic site |
| CNS | Central nervous system |
| COX | Cyclooxygenase enzyme |
| DTP | Developmental therapeutics program |
| DMSO | Dimethyl sulfoxide |
| DDTs | Drug discover toolkits |
| Fs | Femtosecond |
| Hz | Hertz |
| IBD | Inflammatory bowel disease |
| LD50 | Lethal dose 50 |
| MHz | Megahertz |
| MD | Molecular dynamics simulations |
| MAO | Monoamine oxidase enzyme |
| MTT | 3-(4,5-dimethylthiazol-2-yl)-2,5-diphenyltetrazolium bromide |
| N,N-DMF | N,N-dimethylformamide |
| Ns | Nanosecond |
| NCI | National Cancer Institute |
| NFT | Neurofibrillary tangle |
| NSAIDs | Non-steroidal anti-inflammatory drugs |
| ntp | Normal temperature and pressure |
| NMR | Nuclear magnetic resonance |
| PAMPA | Parallel artificial membrane permeability assay |
| PAS | Peripheral anionic site |
| PBS | Phosphate-buffered saline |
| Pe | Permeability |
| ps | Picosecond |
| PBL | Porcine brain lipid |
| PDB | Protein data bank |
| ROS | Reactive oxygen species |
| Se | Selenium |
| TLC | Thin layer chromatography |
| TME | Tumor microenvironment |
References
- Sung, H.; Ferlay, J.; Siegel, R.L.; Laversanne, M.; Soerjomataram, I.; Jemal, A.; Bray, F. Global Cancer Statistics 2020: GLOBOCAN Estimates of Incidence and Mortality Worldwide for 36 Cancers in 185 Countries. CA Cancer J. Clin. 2021, 71, 209–249. [Google Scholar] [CrossRef] [PubMed]
- 2022 Alzheimer’s disease facts and figures. Alzheimers Dement. 2022, 18, 700–789. [CrossRef] [PubMed]
- Battaglia, C.; Venturin, M.; Sojic, A.; Jesuthasan, N.; Orro, A.; Spinelli, R.; Musicco, M.; De Bellis, G.; Adorni, F. Candidate Genes and MiRNAs Linked to the Inverse Relationship Between Cancer and Alzheimer’s Disease: Insights From Data Mining and Enrichment Analysis. Front. Genet. 2019, 10, 846. [Google Scholar] [CrossRef] [PubMed]
- Roldán-Peña, J.M.; Alejandre-Ramos, D.; López, Ó.; Maya, I.; Lagunes, I.; Padrón, J.M.; Peña-Altamira, L.E.; Bartolini, M.; Monti, B.; Bolognesi, M.L.; et al. New tacrine dimers with antioxidant linkers as dual drugs: Anti-Alzheimer’s and antiproliferative agents. Eur. J. Med. Chem. 2017, 138, 761–773. [Google Scholar] [CrossRef] [PubMed]
- Murár, M.; Dobiaš, J.; Šramel, P.; Addová, G.; Hanquet, G.; Boháč, A. Novel CLK1 inhibitors based on N-aryloxazol-2-amine skeleton—A possible way to dual VEGFR2 TK/CLK ligands. Eur. J. Med. Chem. 2017, 126, 754–761. [Google Scholar] [CrossRef]
- Oumata, N.; Bettayeb, K.; Ferandin, Y.; Demange, L.; Lopez-Giral, A.; Goddard, M.L.; Myrianthopoulos, V.; Mikros, E.; Flajolet, M.; Greengard, P.; et al. Roscovitine-derived, dual-specificity inhibitors of cyclin-dependent kinases and casein kinases 1. J. Med. Chem. 2008, 51, 5229–5242. [Google Scholar] [CrossRef]
- Gao, C.Z.; Dong, W.; Cui, Z.W.; Yuan, Q.; Hu, X.M.; Wu, Q.M.; Han, X.; Xu, Y.; Min, Z.L. Synthesis, preliminarily biological evaluation and molecular docking study of new Olaparib analogues as multifunctional PARP-1 and cholinesterase inhibitors. J. Enzym. Inhib. Med. Chem. 2019, 34, 150–162. [Google Scholar] [CrossRef]
- Fortin, S.; Bérubé, G. Advances in the development of hybrid anticancer drugs. Expert Opin. Drug Discov. 2013, 8, 1029–1047. [Google Scholar] [CrossRef]
- Bhattarai, D.; Singh, S.; Jang, Y.; Hyeon Han, S.; Lee, K.; Choi, Y. An Insight into Drug Repositioning for the Development of Novel Anti-Cancer Drugs. Curr. Top. Med. Chem. 2016, 16, 2156–2168. [Google Scholar] [CrossRef]
- Parvathaneni, V.; Kulkarni, N.S.; Muth, A.; Gupta, V. Drug repurposing: A promising tool to accelerate the drug discovery process. Drug Discov. Today 2019, 24, 2076–2085. [Google Scholar] [CrossRef]
- Dutta, D.; Ke, W.; Xi, L.; Yin, W.; Zhou, M.; Ge, Z. Block copolymer prodrugs: Synthesis, self-assembly, and applications for cancer therapy. Wiley Interdiscip. Rev. Nanomed. Nanobiotechnol. 2020, 12, e1585. [Google Scholar] [CrossRef] [PubMed]
- Pillaiyar, T.; Meenakshisundaram, S.; Manickam, M.; Sankaranarayanan, M. A medicinal chemistry perspective of drug repositioning: Recent advances and challenges in drug discovery. Eur. J. Med. Chem. 2020, 195, 112275. [Google Scholar] [CrossRef] [PubMed]
- Hitora, Y.; Takada, K.; Okada, S.; Ise, Y.; Matsunaga, S. (-)-Duryne and its homologues, cytotoxic acetylenes from a marine Sponge Petrosia sp. J. Nat. Prod. 2011, 74, 1262–1267. [Google Scholar] [CrossRef] [PubMed]
- Simmons, T.L.; Engene, N.; Ureña, L.D.; Romero, L.I.; Ortega-Barría, E.; Gerwick, L.; Gerwick, W.H. Viridamides A and B, lipodepsipeptides with antiprotozoal activity from the marine cyanobacterium Oscillatoria nigro-viridis. J. Nat. Prod. 2008, 71, 1544–1550. [Google Scholar] [CrossRef] [PubMed]
- Astrain-Redin, N.; Sanmartin, C.; Sharma, A.; Plano, D. From Natural Sources to Synthetic Derivatives: Allyl Motif as a Powerful Tool for Fragment-based Design in Cancer. J. Med. Chem. 2022; Submitted for publication. [Google Scholar]
- Chai, Q.Y.; Yang, Z.; Lin, H.W.; Han, B.N. Alkynyl-Containing Peptides of Marine Origin: A Review. Mar. Drugs 2016, 14, 216. [Google Scholar] [CrossRef]
- Maruca, A.; Catalano, R.; Bagetta, D.; Mesiti, F.; Ambrosio, F.A.; Romeo, I.; Moraca, F.; Rocca, R.; Ortuso, F.; Artese, A.; et al. The Mediterranean Diet as source of bioactive compounds with multi-targeting anti-cancer profile. Eur. J. Med. Chem. 2019, 181, 111579. [Google Scholar] [CrossRef]
- Rose, P.; Moore, P.K.; Whiteman, M.; Zhu, Y.Z. An Appraisal of Developments in Allium Sulfur Chemistry: Expanding the Pharmacopeia of Garlic. Molecules 2019, 24, 4006. [Google Scholar] [CrossRef]
- Salehi, B.; Zucca, P.; Orhan, I.E.; Azzini, E.; Adetunji, C.O.; Mohammed, S.A.; Banerjee, S.K.; Sharopov, F.; Rigano, D.; Sharifi-Rad, J.; et al. Allicin and health: A comprehensive review. Trends Food Sci. Technol. 2019, 86, 502–516. [Google Scholar] [CrossRef]
- Anand, A.; Patience, A.A.; Sharma, N.; Khurana, N. The present and future of pharmacotherapy of Alzheimer’s disease: A comprehensive review. Eur. J. Pharmacol. 2017, 815, 364–375. [Google Scholar] [CrossRef]
- Ferrucci, V.; Boffa, I.; De Masi, G.; Zollo, M. Natural compounds for pediatric cancer treatment. Naunyn-Schmiedeberg’s Arch. Pharmacol. 2016, 389, 131–149. [Google Scholar] [CrossRef]
- Yagdi, E.; Cerella, C.; Dicato, M.; Diederich, M. Garlic-derived natural polysulfanes as hydrogen sulfide donors: Friend or foe? Food Chem. Toxicol. 2016, 95, 219–233. [Google Scholar] [CrossRef]
- Yun, H.M.; Ban, J.O.; Park, K.R.; Lee, C.K.; Jeong, H.S.; Han, S.B.; Hong, J.T. Potential therapeutic effects of functionally active compounds isolated from garlic. Pharmacol. Ther. 2014, 142, 183–195. [Google Scholar] [CrossRef]
- Li, X.; Ni, J.; Tang, Y.; Wang, X.; Tang, H.; Li, H.; Zhang, S.; Shen, X. Allicin inhibits mouse colorectal tumorigenesis through suppressing the activation of STAT3 signaling pathway. Nat. Prod. Res. 2019, 33, 2722–2725. [Google Scholar] [CrossRef]
- Chen, H.; Zhu, B.; Zhao, L.; Liu, Y.; Zhao, F.; Feng, J.; Jin, Y.; Sun, J.; Geng, R.; Wei, Y. Allicin Inhibits Proliferation and Invasion in Vitro and in Vivo via SHP-1-Mediated STAT3 Signaling in Cholangiocarcinoma. Cell Physiol. Biochem. 2018, 47, 641–653. [Google Scholar] [CrossRef]
- Zhang, H.; Wang, P.; Xue, Y.; Liu, L.; Li, Z.; Liu, Y. Allicin ameliorates cognitive impairment in APP/PS1 mice via Suppressing oxidative stress by Blocking JNK Signaling Pathways. Tissue Cell 2018, 50, 89–95. [Google Scholar] [CrossRef]
- Kumar, S.; Kumar, S.; Ram, H. Anti-Aggregation Property of Allicin by In Vitro and Molecular Docking Studies. J. Exp. Neurosci. 2019, 13, 1179069519866185. [Google Scholar] [CrossRef]
- Xu, Y.; Su, D.; Zhu, L.; Zhang, S.; Ma, S.; Wu, K.; Yuan, Q.; Lin, N. S-allylcysteine suppresses ovarian cancer cell proliferation by DNA methylation through DNMT1. J. Ovarian Res. 2018, 11, 39. [Google Scholar] [CrossRef]
- Tai, N.V.; Quan, P.M.; Ha, V.T.; Luyen, N.D.; Chi, H.K.; Cuong, L.H.; Phong, L.; Chinh, L.V. Synthesis of Propargyl Compounds and Their Cytotoxic Activity. Russ. J. Org. Chem. 2021, 57, 462–468. [Google Scholar] [CrossRef]
- Bolea, I.; Gella, A.; Unzeta, M. Propargylamine-derived multitarget-directed ligands: Fighting Alzheimer’s disease with monoamine oxidase inhibitors. J. Neural Transm. 2013, 120, 893–902. [Google Scholar] [CrossRef]
- Wu, W.; Karelia, D.; Pramanik, K.; Amin, S.G.; Sharma, A.K.; Jiang, C.; Lu, J. Phenylbutyl isoselenocyanate induces reactive oxygen species to inhibit androgen receptor and to initiate p53-mediated apoptosis in LNCaP prostate cancer cells. Mol. Carcinog. 2018, 57, 1055–1066. [Google Scholar] [CrossRef] [PubMed]
- Santofimia-Castaño, P.; Izquierdo-Alvarez, A.; Plaza-Davila, M.; Martinez-Ruiz, A.; Fernandez-Bermejo, M.; Mateos-Rodriguez, J.M.; Salido, G.M.; Gonzalez, A. Ebselen impairs cellular oxidative state and induces endoplasmic reticulum stress and activation of crucial mitogen-activated protein kinases in pancreatic tumour AR42J cells. J. Cell. Biochem. 2018, 119, 1122–1133. [Google Scholar] [CrossRef] [PubMed]
- Fernandes, A.P.; Gandin, V. Selenium compounds as therapeutic agents in cancer. Biochim. Biophys. Acta 2015, 1850, 1642–1660. [Google Scholar] [CrossRef] [PubMed]
- Díaz, M.; González, R.; Plano, D.; Palop, J.A.; Sanmartín, C.; Encío, I. A diphenyldiselenide derivative induces autophagy via JNK in HTB-54 lung cancer cells. J. Cell. Mol. Med. 2018, 22, 289–301. [Google Scholar] [CrossRef] [PubMed]
- Garnica, P.; Encío, I.; Plano, D.; Palop, J.A.; Sanmartín, C. Combined Acylselenourea-Diselenide Structures: New Potent and Selective Antitumoral Agents as Autophagy Activators. ACS Med. Chem. Lett. 2018, 9, 306–311. [Google Scholar] [CrossRef]
- Ruberte, A.C.; Ramos-Inza, S.; Aydillo, C.; Talavera, I.; Encío, I.; Plano, D.; Sanmartín, C. Novel N,N’-Disubstituted Acylselenoureas as Potential Antioxidant and Cytotoxic Agents. Antioxidants 2020, 9, 55. [Google Scholar] [CrossRef]
- Li, C.; Wang, N.; Zheng, G.; Yang, L. Oral Administration of Resveratrol-Selenium-Peptide Nanocomposites Alleviates Alzheimer’s Disease-like Pathogenesis by Inhibiting Aβ Aggregation and Regulating Gut Microbiota. ACS Appl. Mater. Interfaces 2021, 13, 46406–46420. [Google Scholar] [CrossRef]
- Kumawat, A.; Raheem, S.; Ali, F.; Dar, T.A.; Chakrabarty, S.; Rizvi, M.A. Organoselenium Compounds as Acetylcholinesterase Inhibitors: Evidence and Mechanism of Mixed Inhibition. J. Phys. Chem. B 2021, 125, 1531–1541. [Google Scholar] [CrossRef]
- Klann, I.P.; Martini, F.; Rosa, S.G.; Nogueira, C.W. Ebselen reversed peripheral oxidative stress induced by a mouse model of sporadic Alzheimer’s disease. Mol. Biol. Rep. 2020, 47, 2205–2215. [Google Scholar] [CrossRef]
- Bartolini, D.; Sancineto, L.; Fabro de Bem, A.; Tew, K.D.; Santi, C.; Radi, R.; Toquato, P.; Galli, F. Selenocompounds in Cancer Therapy: An Overview. Adv. Cancer Res. 2017, 136, 259–302. [Google Scholar] [CrossRef]
- Pritam, P.; Deka, R.; Bhardwaj, A.; Srivastava, R.; Kumar, D.; Jha, A.K.; Jha, N.K.; Villa, C.; Jha, S.K. Antioxidants in Alzheimer’s Disease: Current Therapeutic Significance and Future Prospects. Biology 2022, 11, 212. [Google Scholar] [CrossRef]
- Hayes, J.D.; Dinkova-Kostova, A.T.; Tew, K.D. Oxidative Stress in Cancer. Cancer Cell 2020, 38, 167–197. [Google Scholar] [CrossRef]
- Azad, G.K.; Tomar, R.S. Ebselen, a promising antioxidant drug: Mechanisms of action and targets of biological pathways. Mol. Biol. Rep. 2014, 41, 4865–4879. [Google Scholar] [CrossRef]
- Zuazo, A.; Plano, D.; Ansó, E.; Lizarraga, E.; Font, M.; Martínez Irujo, J.J. Cytotoxic and proapototic activities of imidoselenocarbamate derivatives are dependent on the release of methylselenol. Chem. Res. Toxicol. 2012, 25, 2479–2489. [Google Scholar] [CrossRef]
- Font, M.; Lizarraga, E.; Ibáñez, E.; Plano, D.; Sanmartín, C.; Palop, J.A. Structural variations on antitumour agents derived from bisacylimidoselenocarbamate. A proposal for structure-activity relationships based on the analysis of conformational behaviour. Eur. J. Med. Chem. 2013, 66, 489–498. [Google Scholar] [CrossRef]
- Weekley, C.M.; Harris, H.H. Which form is that? The importance of selenium speciation and metabolism in the prevention and treatment of disease. Chem. Soc. Rev. 2013, 42, 8870–8894. [Google Scholar] [CrossRef]
- Burk, R.F.; Hill, K.E. Selenoprotein P-expression, functions, and roles in mammals. Biochim. Biophys. Acta 2009, 1790, 1441–1447. [Google Scholar] [CrossRef]
- Zhang, Z.H.; Song, G.L. Roles of Selenoproteins in Brain Function and the Potential Mechanism of Selenium in Alzheimer’s Disease. Front. Neurosci. 2021, 15, 646518. [Google Scholar] [CrossRef]
- Aaseth, J.; Alexander, J.; Bjørklund, G.; Hestad, K.; Dusek, P.; Roos, P.M.; Alehagen, U. Treatment strategies in Alzheimer’s disease: A review with focus on selenium supplementation. Biometals 2016, 29, 827–839. [Google Scholar] [CrossRef]
- Du, X.; Wang, Z.; Zheng, Y.; Li, H.; Ni, J.; Liu, Q. Inhibitory effect of selenoprotein P on Cu(+)/Cu(2+)-induced Aβ42 aggregation and toxicity. Inorg. Chem. 2014, 53, 1672–1678. [Google Scholar] [CrossRef]
- Yim, S.Y.; Chae, K.R.; Shim, S.B.; Hong, J.T.; Park, J.Y.; Lee, C.Y.; Son, H.J.; Sheen, Y.Y.; Hwang, D.Y. ERK activation induced by selenium treatment significantly downregulates beta/gamma-secretase activity and Tau phosphorylation in the transgenic rat overexpressing human selenoprotein M. Int. J. Mol. Med. 2009, 24, 91–96. [Google Scholar] [CrossRef] [PubMed]
- Zamberlan, D.C.; Arantes, L.P.; Machado, M.L.; Golombieski, R.; Soares, F.A. Diphenyl-diselenide suppresses amyloid-β peptide in Caenorhabditis elegans model of Alzheimer’s disease. Neuroscience 2014, 278, 40–50. [Google Scholar] [CrossRef]
- Corcoran, N.M.; Martin, D.; Hutter-Paier, B.; Windisch, M.; Nguyen, T.; Nheu, L.; Sundstrom, L.E.; Costello, A.J.; Hovens, C.M. Sodium selenate specifically activates PP2A phosphatase, dephosphorylates tau and reverses memory deficits in an Alzheimer’s disease model. J. Clin. Neurosci. 2010, 17, 1025–1033. [Google Scholar] [CrossRef]
- Scheide, M.R.; Schneider, A.R.; Jardim, G.A.M.; Martins, G.M.; Durigon, D.C.; Saba, S.; Rafique, J.; Braga, A.L. Electrochemical synthesis of selenyl-dihydrofurans via anodic selenofunctionalization of allyl-naphthol/phenol derivatives and their anti-Alzheimer activity. Org. Biomol. Chem. 2020, 18, 4916–4921. [Google Scholar] [CrossRef] [PubMed]
- Qu, L.; Ji, L.; Wang, C.; Luo, H.; Li, S.; Peng, W.; Yin, F.; Lu, D.; Liu, X.; Kong, L.; et al. Synthesis and evaluation of multi-target-directed ligands with BACE-1 inhibitory and Nrf2 agonist activities as potential agents against Alzheimer’s disease. Eur. J. Med. Chem. 2021, 219, 113441. [Google Scholar] [CrossRef] [PubMed]
- Plano, D.; Karelia, D.N.; Pandey, M.K.; Spallholz, J.E.; Amin, S.; Sharma, A.K. Design, Synthesis, and Biological Evaluation of Novel Selenium (Se-NSAID) Molecules as Anticancer Agents. J. Med. Chem. 2016, 59, 1946–1959. [Google Scholar] [CrossRef]
- Cheng, Y.; Sk, U.H.; Zhang, Y.; Ren, X.; Zhang, L.; Huber-Keener, K.J.; Sun, Y.W.; Liao, J.; Amin, S.; Sharma, A.K.; et al. Rational incorporation of selenium into temozolomide elicits superior antitumor activity associated with both apoptotic and autophagic cell death. PLoS ONE 2012, 7, e35104. [Google Scholar] [CrossRef]
- Ertilav, K.; Nazıroğlu, M.; Ataizi, Z.S.; Braidy, N. Selenium Enhances the Apoptotic Efficacy of Docetaxel Through Activation of TRPM2 Channel in DBTRG Glioblastoma Cells. Neurotox. Res. 2019, 35, 797–808. [Google Scholar] [CrossRef]
- Raposo, T.P.; Beirão, B.C.; Pang, L.Y.; Queiroga, F.L.; Argyle, D.J. Inflammation and cancer: Till death tears them apart. Vet. J. 2015, 205, 161–174. [Google Scholar] [CrossRef]
- Khandia, R.; Munjal, A. Interplay between inflammation and cancer. Adv. Protein Chem. Struct. Biol. 2020, 119, 199–245. [Google Scholar] [CrossRef]
- Greten, F.R.; Grivennikov, S.I. Inflammation and Cancer: Triggers, Mechanisms, and Consequences. Immunity 2019, 51, 27–41. [Google Scholar] [CrossRef]
- Miglietta, A.; Toselli, M.; Ravarino, N.; Vencia, W.; Chiecchio, A.; Bozzo, F.; Motta, M.; Torchio, B.; Bocca, C. COX-2 expression in human breast carcinomas: Correlation with clinicopathological features and prognostic molecular markers. Expert Opin. Ther. Targets 2010, 14, 655–664. [Google Scholar] [CrossRef]
- Cooper, K.; Squires, H.; Carroll, C.; Papaioannou, D.; Booth, A.; Logan, R.F.; Maguire, C.; Hind, D.; Tappenden, P. Chemoprevention of colorectal cancer: Systematic review and economic evaluation. Health Technol. Assess. 2010, 14, 1–206. [Google Scholar] [CrossRef]
- Huang, X.Z.; Gao, P.; Sun, J.X.; Song, Y.X.; Tsai, C.C.; Liu, J.; Chen, X.W.; Chen, P.; Xu, H.M.; Wang, Z.N. Aspirin and nonsteroidal anti-inflammatory drugs after but not before diagnosis are associated with improved breast cancer survival: A meta-analysis. Cancer Causes Control 2015, 26, 589–600. [Google Scholar] [CrossRef]
- Zhao, T.Y.; Tu, J.; Wang, Y.; Cheng, D.W.; Gao, X.K.; Luo, H.; Yan, B.C.; Xu, X.L.; Zhang, H.L.; Lu, X.J.; et al. The Efficacy of Aspirin in Preventing the Recurrence of Colorectal Adenoma: A Renewed Meta-Analysis of Randomized Trials. Asian Pac. J. Cancer Prev. 2016, 17, 2711–2717. [Google Scholar]
- Veettil, S.K.; Lim, K.G.; Ching, S.M.; Saokaew, S.; Phisalprapa, P.; Chaiyakunapruk, N. Effects of aspirin and non-aspirin nonsteroidal anti-inflammatory drugs on the incidence of recurrent colorectal adenomas: A systematic review with meta-analysis and trial sequential analysis of randomized clinical trials. BMC Cancer 2017, 17, 763. [Google Scholar] [CrossRef]
- Guan, P.P.; Yu, X.; Zou, Y.H.; Wang, P. Cyclooxygenase-2 is critical for the propagation of β-amyloid protein and reducing the glycosylation of tau in Alzheimer’s disease. Cell. Mol. Immunol. 2019, 16, 892–894. [Google Scholar] [CrossRef]
- Guan, P.P.; Liang, Y.Y.; Cao, L.L.; Yu, X.; Wang, P. Cyclooxygenase-2 Induced the β-Amyloid Protein Deposition and Neuronal Apoptosis Via Upregulating the Synthesis of Prostaglandin E(2) and 15-Deoxy-Δ(12,14)-prostaglandin J(2). Neurotherapeutics 2019, 16, 1255–1268. [Google Scholar] [CrossRef]
- Morihara, T.; Chu, T.; Ubeda, O.; Beech, W.; Cole, G.M. Selective inhibition of Abeta42 production by NSAID R-enantiomers. J. Neurochem. 2002, 83, 1009–1012. [Google Scholar] [CrossRef]
- Eriksen, J.L.; Sagi, S.A.; Smith, T.E.; Weggen, S.; Das, P.; McLendon, D.C.; Ozols, V.V.; Jessing, K.W.; Zavitz, K.H.; Koo, E.H.; et al. NSAIDs and enantiomers of flurbiprofen target gamma-secretase and lower Abeta 42 in vivo. J. Clin. Investig. 2003, 112, 440–449. [Google Scholar] [CrossRef]
- Guan, P.P.; Yang, L.Q.; Xu, G.B.; Wang, P. Indomethacin Disrupts the Formation of β-Amyloid Plaques via an α2-Macroglobulin-Activating lrp1-Dependent Mechanism. Int. J. Mol. Sci 2021, 22, 8185. [Google Scholar] [CrossRef] [PubMed]
- Chuai, H.; Zhang, S.Q.; Bai, H.; Li, J.; Wang, Y.; Sun, J.; Wen, E.; Zhang, J.; Xin, M. Small molecule selenium-containing compounds: Recent development and therapeutic applications. Eur. J. Med. Chem. 2021, 223, 113621. [Google Scholar] [CrossRef] [PubMed]
- Calvo-Martín, G.; Plano, D.; Encío, I.; Sanmartín, C. Novel N,N’-Disubstituted Selenoureas as Potential Antioxidant and Cytotoxic Agents. Antioxidants 2021, 10, 777. [Google Scholar] [CrossRef] [PubMed]
- Csonka, A.; Kincses, A.; Nové, M.; Vadas, Z.; Sanmartín, C.; Domínguez-Álvarez, E.; Spengler, G. Selenoesters and Selenoanhydrides as Novel Agents Against Resistant Breast Cancer. Anticancer Res. 2019, 39, 3777–3783. [Google Scholar] [CrossRef] [PubMed]
- Domínguez-Álvarez, E.; Plano, D.; Font, M.; Calvo, A.; Prior, C.; Jacob, C.; Palop, J.A.; Sanmartín, C. Synthesis and antiproliferative activity of novel selenoester derivatives. Eur. J. Med. Chem. 2014, 73, 153–166. [Google Scholar] [CrossRef] [PubMed]
- Narayanaswami, V.; Sies, H. Oxidative damage to mitochondria and protection by ebselen and other antioxidants. Biochem. Pharmacol. 1990, 40, 1623–1629. [Google Scholar] [CrossRef]
- Noguchi, N. Ebselen, a useful tool for understanding cellular redox biology and a promising drug candidate for use in human diseases. Arch. Biochem. Biophys. 2016, 595, 109–112. [Google Scholar] [CrossRef]
- Wang, J.; Wang, P.; Dong, C.; Zhao, Y.; Zhou, J.; Yuan, C.; Zou, L. Mechanisms of ebselen as a therapeutic and its pharmacology applications. Future Med. Chem. 2020, 12, 2141–2160. [Google Scholar] [CrossRef]
- Svinyarov, I.; Bogdanov, M.G. One-pot synthesis and radical scavenging activity of novel polyhydroxylated 3-arylcoumarins. Eur. J. Med. Chem. 2014, 78, 198–206. [Google Scholar] [CrossRef]
- Stockert, J.C.; Horobin, R.W.; Colombo, L.L.; Blázquez-Castro, A. Tetrazolium salts and formazan products in Cell Biology: Viability assessment, fluorescence imaging, and labeling perspectives. Acta Histochem. 2018, 120, 159–167. [Google Scholar] [CrossRef]
- Ellman, G.L.; Courtney, K.D.; Andres, V., Jr.; Feather-Stone, R.M. A new and rapid colorimetric determination of acetylcholinesterase activity. Biochem. Pharmacol. 1961, 7, 88–95. [Google Scholar] [CrossRef]
- Wang, H.; Carlier, P.R.; Ho, W.L.; Wu, D.C.; Lee, N.T.; Li, C.P.; Pang, Y.P.; Han, Y.F. Effects of bis(7)-tacrine, a novel anti-Alzheimer’s agent, on rat brain AChE. Neuroreport 1999, 10, 789–793. [Google Scholar] [CrossRef]
- Di, L.; Kerns, E.H.; Fan, K.; McConnell, O.J.; Carter, G.T. High throughput artificial membrane permeability assay for blood-brain barrier. Eur. J. Med. Chem. 2003, 38, 223–232. [Google Scholar] [CrossRef]
- Zengin Kurt, B. Synthesis and anticholinesterase activity of novel non-hepatotoxic naphthyridine-11-amine derivatives. Mol. Divers. 2019, 23, 625–638. [Google Scholar] [CrossRef]
- Trovaslet, M.; Trapp, M.; Weik, M.; Nachon, F.; Masson, P.; Tehei, M.; Peters, J. Relation between dynamics, activity and thermal stability within the cholinesterase family. Chem. Biol. Interact. 2013, 203, 14–18. [Google Scholar] [CrossRef]
- Cheung, J.; Rudolph, M.J.; Burshteyn, F.; Cassidy, M.S.; Gary, E.N.; Love, J.; Franklin, M.C.; Height, J.J. Structures of human acetylcholinesterase in complex with pharmacologically important ligands. J. Med. Chem. 2012, 55, 10282–10286. [Google Scholar] [CrossRef]
- Maier, J.A.; Martinez, C.; Kasavajhala, K.; Wickstrom, L.; Hauser, K.E.; Simmerling, C. ff14SB: Improving the Accuracy of Protein Side Chain and Backbone Parameters from ff99SB. J. Chem. Theory Comput. 2015, 11, 3696–3713. [Google Scholar] [CrossRef]
- Wang, J.; Wolf, R.M.; Caldwell, J.W.; Kollman, P.A.; Case, D.A. Development and testing of a general amber force field. J. Comput. Chem. 2004, 25, 1157–1174. [Google Scholar] [CrossRef]
- Berendsen, H.J.C.; Postma, J.P.M.; van Gunsteren, W.F.; DiNola, A.; Haak, J.R. Molecular dynamics with coupling to an external bath. J. Chem. Phys. 1984, 81, 3684–3690. [Google Scholar] [CrossRef]
- Darden, T.; York, D.; Pedersen, L. Particle mesh Ewald: An Nlog(N) method for Ewald sums in large systems. J. Chem. Phys. 1993, 98, 10089–10092. [Google Scholar] [CrossRef]
- Jakalian, A.; Jack, D.B.; Bayly, C.I. Fast, efficient generation of high-quality atomic charges. AM1-BCC model: II. Parameterization and validation. J. Comput. Chem. 2002, 23, 1623–1641. [Google Scholar] [CrossRef] [PubMed]
- Sanmartín, C.; Plano, D.; Domínguez, E.; Font, M.; Calvo, A.; Prior, C.; Encío, I.; Palop, J.A. Synthesis and pharmacological screening of several aroyl and heteroaroyl selenylacetic acid derivatives as cytotoxic and antiproliferative agents. Molecules 2009, 14, 3313–3338. [Google Scholar] [CrossRef] [PubMed]
- Ramos-Inza, S.; Encío, I.; Raza, A.; Sharma, A.K.; Sanmartín, C.; Plano, D. Design, synthesis and anticancer evaluation of novel Se-NSAID hybrid molecules: Identification of a Se-indomethacin analog as a potential therapeutic for breast cancer. Eur. J. Med. Chem. 2022, 244, 114839. [Google Scholar] [CrossRef] [PubMed]
- Shankavaram, U.T.; Varma, S.; Kane, D.; Sunshine, M.; Chary, K.K.; Reinhold, W.C.; Pommier, Y.; Weinstein, J.N. CellMiner: A relational database and query tool for the NCI-60 cancer cell lines. BMC Genom. 2009, 10, 277. [Google Scholar] [CrossRef] [PubMed]
- Reinhold, W.C.; Varma, S.; Sousa, F.; Sunshine, M.; Abaan, O.D.; Davis, S.R.; Reinhold, S.W.; Kohn, K.W.; Morris, J.; Meltzer, P.S.; et al. NCI-60 whole exome sequencing and pharmacological CellMiner analyses. PLoS ONE 2014, 9, e101670. [Google Scholar] [CrossRef]
- Lee, S.; Lee, I.; Kim, H.; Chang, G.; Chung, J.; No, K. The PreADME Approach: Web-based program for rapid prediction of physico-chemical, drug absorption and drug-like properties. EuroQSAR 2002 Des. Drugs Crop Prot. Process. Probl. Solut. 2003, 2003, 418–420. [Google Scholar]
- Sussman, J.L.; Harel, M.; Frolow, F.; Oefner, C.; Goldman, A.; Toker, L.; Silman, I. Atomic structure of acetylcholinesterase from Torpedo californica: A prototypic acetylcholine-binding protein. Science 1991, 253, 872–879. [Google Scholar] [CrossRef]
- Berg, L.; Andersson, C.D.; Artursson, E.; Hörnberg, A.; Tunemalm, A.K.; Linusson, A.; Ekström, F. Targeting acetylcholinesterase: Identification of chemical leads by high throughput screening, structure determination and molecular modeling. PLoS ONE 2011, 6, e26039. [Google Scholar] [CrossRef]
- Rosenberry, T.L.; Brazzolotto, X.; Macdonald, I.R.; Wandhammer, M.; Trovaslet-Leroy, M.; Darvesh, S.; Nachon, F. Comparison of the Binding of Reversible Inhibitors to Human Butyrylcholinesterase and Acetylcholinesterase: A Crystallographic, Kinetic and Calorimetric Study. Molecules 2017, 22, 2098. [Google Scholar] [CrossRef]
- Martini, F.; Bruning, C.A.; Soares, S.M.; Nogueira, C.W.; Zeni, G. Inhibitory effect of ebselen on cerebral acetylcholinesterase activity in vitro: Kinetics and reversibility of inhibition. Curr. Pharm. Des. 2015, 21, 920–924. [Google Scholar] [CrossRef]










| Compound | Chemical Name | Starting Reagent | Yield (%) | Appearance | 1H, 13C, and 77Se NMR Spectra | Purity (%) (1H q-NMR) |
|---|---|---|---|---|---|---|
| 1a | Se-allyl adamantane-1-carboselenoate | 1-adamantanecarboxylic acid | 10 | Yellow liquid | 1H NMR (400 MHz, CDCl3) δ (ppm): 5.87 (ddt, 1H, J = 17.4 Hz, J = 9.9 Hz, J = 7.5 Hz, Halkene), 5.17 (dd, 1H, J = 17.4 Hz, J = 1.5 Hz, Halkene), 4.98 (dd, 1H, J = 9.9 Hz, J = 1.5 Hz, Halkene), 3.49 (d, 2H, J = 7.3 Hz, CH2), 2.06 (s, 3H, CH-adamantane), 1.90 (d, 6H, J = 3.0 Hz, CH2-adamantane), 1.71 (m, 6H, CH2-adamantane). 13C NMR (100 MHz, CDCl3) δ (ppm): 209.3 (C=O), 135.1 (Calkene), 117.0 (Calkene), 51.6 (Cadamantane), 39.3 (Cadamantane), 36.6 (Cadamantane), 28.3 (Cadamantane), 26.6 (CH2). 77Se NMR (76 MHz, CDCl3) δ (ppm): 539 | 97.6 |
| 2a | Se-allyl benzoselenoate | Benzoyl chloride | 25 | Yellow liquid | 1H NMR (400 MHz, CDCl3) δ (ppm): 7.90 (dd, 2H, J = 8.3 Hz, J = 1.4 Hz, Haryl), 7.57 (td, 1H, J = 7.4 Hz, J = 1.4 Hz, Haryl), 7.43 (t, 2H, J = 7.4 Hz, Haryl), 5.98 (ddt, 1H, J = 17.3 Hz, J = 9.9 Hz, J = 7.5 Hz, Halkene), 5.28 (dq, 1H, J = 17.3 Hz, J = 1.4 Hz, Halkene), 5.06 (dd, 1H, J = 9.9 Hz, J = 1.5 Hz, Halkene), 3.75 (d, 2H, J = 7.5 Hz, CH2). 13C NMR (100 MHz, CDCl3) δ (ppm): 194.1 (C=O), 138.9 (Caryl), 134.5 (Calkene), 133.7 (Caryl), 128.8 (Caryl), 127.2 (Caryl), 117.5 (Calkene), 27.9 (CH2). 77Se NMR (76 MHz, CDCl3) δ (ppm): 559 | 97.5 |
| 3a | Se-allyl 2-chlorobenzoselenoate | 2-chlorobenzoyl chloride | 29 | Yellow liquid | 1H NMR (400 MHz, CDCl3) δ (ppm): 7.68 (dd, 1H, J = 7.5 Hz, J = 1.3 Hz, Haryl), 7.41 (m, 2H, Haryl), 7.33 (ddd, 1H, J = 7.5 Hz, J = 6.6 Hz, J = 2.0 Hz, Haryl), 5.99 (ddt, 1H, J = 17.4 Hz, J = 9.9 Hz, J = 7.5 Hz, Halkene), 5.28 (dd, 1H, J = 17.4 Hz, J =1.4 Hz, Halkene), 5.08 (dd, 1H, J = 9.9 Hz, J =1.4 Hz, Halkene), 3.75 (d, 2H. J = 7.5 Hz, CH2). 13C NMR (100 MHz, CDCl3) δ (ppm): 194.0 (C=O), 139.0 (Caryl), 134.1 (Calkene), 132.6 (Caryl), 131.2 (Caryl), 130.0 (Caryl), 129.3 (Caryl), 127.0 (Caryl), 118.0 (Calkene), 29.4 (CH2). 77Se NMR (76 MHz, CDCl3) δ (ppm): 607 | 97.7 |
| 4a | Se-allyl benzodioxole-5-carboselenoate | Piperonylic acid | 15 | Yellow liquid | 1H NMR (400 MHz, CDCl3) δ (ppm) 7.53 (dd, 1H, J = 8.2 Hz, J = 1.8 Hz, Haryl), 7.34 (d, 1H, J = 1.8 Hz, Haryl), 6.84 (d, 1H, J = 8.2 Hz, Haryl), 6.05 (s, 2H, CH2-benzodioxol), 5.96 (ddt, 1H, J = 17.1 Hz, J = 9.9 Hz, J = 7.5 Hz, Halkene), 5.26 (dq, 1H, J = 17.1 Hz, J = 1.5 Hz, Halkene), 5.05 (ddd, 1H, J = 9.9 Hz, J = 1.5 Hz, J = 0.9 Hz, Halkene), 3.72 (dt, 2H, J = 7.5 Hz, J = 1.0 Hz, CH2). 13C NMR (100 MHz, CDCl3) δ (ppm) 192.2 (C=O), 152.4 (Caryl), 148.4 (Caryl), 134.7 (Calkene), 133.6 (Caryl), 123.9 (Caryl), 117.5 (Calkene), 108.3 (Caryl), 107.1 (Caryl), 102.2 (Cbenzodioxol), 28.1 (CH2). 77Se NMR (76 MHz, CDCl3) δ (ppm) 549 | 99.1 |
| 5a | Se-allyl 3-phenylprop-2E-eneselenoate | Cinnamoyl chloride | 20 | Yellow liquid | 1H NMR (400 MHz, CDCl3) δ (ppm): 7.55 (d, 1H, J = 12.5 Hz, Halkene), 7.55–7.50 (m, 2H, Haryl), 7.42–7.36 (m, 2H, Haryl), 7.39–7.33 (m, 1H, Haryl), 6.70 (d, 1H, J = 12.5 Hz, Halkene), 5.93 (ddt, 1H, J = 17.3, 10.0, 7.5 Hz, Halkene), 5.23 (dd, 1H, J = 17.3, 1.4 Hz, Halkene), 5.03 (dd, 1H, J = 10.0, 1.4 Hz, Halkene), 3.68 (d, 2H, J = 7.5 Hz, CH2). 13C NMR (100 MHz, CDCl3) δ (ppm): 191.6 (C=O), 140.6 (Calkene), 134.6 (Calkene), 134.1 (Caryl), 130.8 (Caryl), 129.1 (Caryl), 128.6 (Caryl), 127.3 (Calkene), 117.5 (Calkene), 31.0 (acetone), 28.0 (CH2). 77Se NMR (76 MHz, CDCl3) δ (ppm): 585 | 95.0 |
| 6a | Se-allyl 3-phenylpropaneselenoate | 3-phenylpropanoyl chloride | 10 | Yellow liquid | 1H NMR (400 MHz, CDCl3) δ (ppm): 7.17 (m, 2H, Haryl), 7.08 (m, 3H, Haryl), 5.77 (ddt, 1H, J = 17.3 Hz, J = 9.9 Hz, J = 7.5 Hz, Halkene), 5.07 (dd, 1H, J = 16.9 Hz, J =1.4 Hz, Halkene), 4.90 (dd, 1H, J = 10.0 Hz, J = 1.5 Hz, Halkene), 3.45 (d, 2H, J = 7.4 Hz, CH2), 2.85 (td, 4H, J = 4.9 Hz, J = 3.8 Hz, CH2). 13C NMR (100 MHz, CDCl3) δ (ppm): 200.4 (C=O), 139.9 (Caryl), 134.6 (Calkene), 128.7 (Caryl), 128.4 (Caryl), 126.55 (Caryl), 117.5 (Calkene), 49.6 (CH2), 31.3 (CH2), 28.0 (CH2). 77Se NMR (76 MHz, CDCl3) δ (ppm): 580 | 95.1 |
| 7a | Se-allyl pyridine-3-carboselenoate | Nicotinic acid | 50 | Yellow liquid | 1H NMR (400 MHz, CDCl3) δ (ppm): 9.03–9.01 (m, 1H, Hpyridine), 8.72 (dd, 1H, J = 4.8 Hz, J = 1.6 Hz, Hpyridine), 8.05 (dt, 1H, J = 8.0 Hz, J = 2.0 Hz, Hpyridine), 7.32 (ddd, 1H, J = 8.0 Hz, J = 4.8 Hz, J = 1.0 Hz, Hpyridine), 5.89 (ddt, 1H, J = 17.3 Hz, J = 9.8 Hz, J = 7.5 Hz, Halkene), 5.22 (dd, 1H, J = 17.3 Hz, J = 1.0 Hz, Halkene), 5.00 (d, 1H, J = 9.8 Hz, Halkene), 3.71 (d, 2H, J = 7.5 Hz, CH2). 13C NMR (100 MHz, CDCl3) δ (ppm): 192.8 (C=O), 154.0 (Cpyridine), 148.3 (Cpyridine), 134.4 (Calkene), 134.3 (Cpyridine), 133.9 (Cpyridine), 123.7 (Cpyridine), 118.0 (Calkene), 28.1 (CH2). 77Se NMR (76 MHz, CDCl3) δ (ppm): 571 | 95.9 |
| 8a | Se-allyl 2-chloropyridine-3-carboselenoate | 2-chloronicotinic acid | 10 | Yellow liquid | 1H NMR (400 MHz, CDCl3) δ (ppm): 8.51 (dd, 1H, J = 4.8 Hz, J = 1.9 Hz, Hpyridine), 7.97 (dd, 1H, J = 7.7 Hz, J = 1.9 Hz, Hpyridine), 7.34 (dd, 1H, J = 7.7 Hz, J = 4.8 Hz, Hpyridine), 5.97 (ddt, 1H, J = 16.8 Hz, J = 9.9 Hz, J = 7.5 Hz, Halkene), 5.30 (dd, 1H, J = 16.8 Hz, J = 1.4 Hz, Halkene), 5.10 (d, 1H, J = 10.0 Hz, Halkene), 3.78 (dt, 2H, J = 7.5 Hz, J = 1.0 Hz, CH2). 13C NMR (100 MHz, CDCl3) δ (ppm): 193.1 (C=O), 151.9 (Cpyridine), 146.6 (Cpyridine), 137.7 (Cpyridine), 135.5 (Calkene), 133.6 (Cpyridine), 122.4 (Cpyridine), 118.5 (Calkene), 29.8 (CH2). 77Se NMR (76 MHz, CDCl3) δ (ppm): 617 | 97.7 |
| 9a | Se-allyl thiophene-2-carboselenoate | Thiophen-2-carbonyl chloride | 18 | Yellow liquid | 1H NMR (400 MHz, CDCl3) δ (ppm): 7.79 (dd, 1H, J = 3.9 Hz, J = 1.2 Hz, Hthiophene), 7.67 (dd, 1H, J = 5.0 Hz, J = 1.2 Hz, Hthiophene), 7.13 (dd, 1H, J = 5.0 Hz, J = 3.9 Hz, Hthiophene), 5.97 (ddt, 1H, J = 17.3 Hz, J = 9.9 Hz, J = 7.5 Hz, Halkene), 5.27 (dd, 1H, J =17.3 Hz, J = 1.4 Hz, Halkene), 5.06 (dd, 1H, J = 9.9 Hz, J = 1.4 Hz, Halkene), 3.76 (d, 2H, J = 7.5 Hz, CH2). 13C NMR (100 MHz, CDCl3) δ (ppm): 184.5 (C=O), 144.0 (Cthiophene), 134.5 (Calkene), 133.3 (Cthiophene), 131.8 (Cthiophene), 128.0 (Cthiophene), 117.8 (Calkene), 28.2 (CH2). 77Se NMR (76 MHz, CDCl3) δ (ppm): 557 | 96.3 |
| 10a | Se-allyl 3-chlorothiophene-2-carboselenoate | 3-chlorothiophene-2-carboxylic acid | 19 | Yellow liquid | 1H NMR (400 MHz, CDCl3) δ (ppm): 7.53 (d, 1H, J = 5.3 Hz, Hthiophene), 7.03 (d, 1H, J = 5.3 Hz, Hthiophene), 5.96 (ddt, 1H, J = 17.3 Hz, J =10.0 Hz, J =7.5 Hz, Halkene), 5.27 (dd, 1H, J = 17.3 Hz, J =1.4 Hz, Halkene), 5.07 (dd, 1H, J = 10.0 Hz, J =1.4 Hz, Halkene), 3.74 (d, 2H, J = 7.5 Hz, CH2). 13C NMR (100 MHz, CDCl3) δ (ppm): 183.5 (C=O), 137.4 (Cthiophene), 134.1 (Calkene), 131.3 (Cthiophene), 130.6 (Cthiophene), 128.3 (Cthiophene), 118.0 (Calkene), 28.7 (CH2). 77Se NMR (76 MHz, CDCl3) δ (ppm): 602. | 95.4 |
| 11a | Se-allyl 4- furan-2-carboselenoate | Furan-2-carbonyl chloride | 46 | Yellow liquid | 1H NMR (400 MHz, CDCl3) δ (ppm): 7.52 (s, 1H, Hfuran), 7.10 (d, 1H, J = 3.6 Hz, Hfuran), 6.49–6.45 (m, 1H, Hfuran), 5.96–5.81 (m, 1H, Halkene), 5.18 (d, 1H, J = 16.9 Hz, Halkene), 4.97 (d, 1H, J = 9.9 Hz, Halkene), 3.64 (d, 2H, J = 7.4 Hz, CH2). 13C NMR (100 MHz, CDCl3) δ (ppm): 181.7 (C=O), 152.4 (Cfuran), 146.5 (Cfuran), 134.4 (Calkene), 117.7 (Calkene), 114.9 (Cfuran), 112.7 (Cfuran), 26.8 (CH2). 77Se NMR (76 MHz, CDCl3) δ (ppm): 561. | 95.9 |
| 12a | Se-allyl isoxazole-5-carboselenoate | Isoxazole-5-carbonyl chloride | 10 | Yellow liquid | 1H NMR (400 MHz, CDCl3) δ (ppm): 8.38 (d, 1H, J = 1.8 Hz, Hisoxazole), 6.89 (d, 1H, J = 1.8 Hz, Hisoxazole), 5.94 (ddt, 1H, J = 17.3 Hz, J = 10.0 Hz, J = 7.5 Hz, Halkene), 5.30 (dd, 1H, J = 17.0 Hz, J = 1.2 Hz, Halkene), 5.10 (d, 1H, J = 10.0 Hz, Halkene), 3.78 (d, 2H, J = 7.5 Hz, CH2). 13C NMR (100 MHz, CDCl3) δ (ppm): 182.0 (C=O), 166.1 (Cisoxazole), 151.1 (Cisoxazole), 133.3 (Calkene), 118.8 (Calkene), 104.7 (Cisoxazole), 27.9 (CH2). 77Se NMR (76 MHz, CDCl3) δ (ppm): 606. | 96.4 |
| 13a | Se-allyl 2-hydroxybenzoselenoate | O-acetylsalicyloyl chloride | 43 | Orange oily liquid | 1H NMR: (400 MHz, CDCl3) δ (ppm): 10.7 (s, 1H, OH), 7.8 (dd, 1H, J = 8.2 Hz, J = 1.5 Hz, Haryl), 7.5 (ddd, 1H, J = 8.5, J = 7.2 Hz, J = 1.5 Hz, Haryl), 6.97 (dd, 1H, J = 8.5 Hz, J = 1.2 Hz, Haryl), 6.9 (ddd, 1H, J = 8.2 Hz, J = 7.2, J = 1.2 Hz, Haryl), 5.97 (ddt, 1H, J = 16.9 Hz, J = 9.9 Hz, J = 7.5 Hz, Halkene), 5.3 (dq, 1H, J = 16.9 Hz, J = 1.4 Hz, Halkene), 5.1 (ddt, 1H, J = 9.9 Hz, J = 1.4 Hz, J = 0.9 Hz, Halkene), 3.8 (dt, 2H, J = 7.5 Hz, J = 0.9 Hz, CH2). 13C NMR: (100 MHz, CDCl3) δ (ppm): 200.2 (C=O), 158.4 (Caryl), 136.3 (Caryl), 134.0 (Calkene), 130.1 (Caryl), 122.4 (Caryl), 119.8 (Caryl), 118.3 (Caryl), 118.2 (Calkene), 28.0 (CH2). 77Se NMR (76 MHz, CDCl3) δ (ppm): 522 | 98.6 |
| 14a | 2-(allylselanylcarbonyl)phenylacetate | O-acetylsalicyloyl chloride | 27 | Orange oily liquid | 1H-NMR: (400 MHz, CDCl3) δ (ppm): 7.9 (dd, 1H, J = 7.8 Hz, J = 1.7 Hz, Haryl), 7.6 (ddd, 1H, J = 8.2 Hz, J = 7.7 Hz, J = 1.7 Hz, Haryl), 7.3 (td, 1H, J = 7.7 Hz, J = 1.2 Hz, Haryl), 7.1 (dd, 1H, J = 8.2 Hz, J = 1.2 Hz, Haryl), 5.95 (ddt, 1H, J = 17.2 Hz, J = 9.9 Hz, J = 7.5 Hz, Halkene), 5.3 (dq, 1H, J = 17.2 Hz, J = 1.5 Hz, Halkene), 5.1 (ddt, 1H, J = 9.9 Hz, J = 1.5 Hz, J = 0.9 Hz, Halkene), 3.7 (dt, 2H, J = 7.5 Hz, J = 0.9 Hz, CH2), 2.4 (s, 3H, CH3). 13C NMR: (100 MHz, CDCl3) δ (ppm): 191.9 (C=O), 169.4 (-COO-), 147.3 (Caryl), 134.3 (Calkene), 133.9 (Caryl), 131.9 (Caryl), 129.9 (Caryl), 126.4 (Caryl), 124.2 (Caryl), 117.8 (Calkene), 28.6 (CH2), 21.3 (CH3). 77Se NMR (76 MHz, CDCl3) δ (ppm): 599 | 97.4 |
| 15a | Se-(prop-2-in-1-yl)-2-hydroxybenzoselenoate | 2-(4-isobutylphenyl) propanoic acid (ibuprofen) | 17 | Orange oily liquid | 1H NMR: (400 MHz, CDCl3) δ (ppm): 7.2 (d, 2H, J = 8.1 Hz, Haryl), 7.1 (d, 2H, J = 8.1 Hz, Haryl), 5.8 (ddt, 1H, J = 17.2 Hz, J = 9.9 Hz, J = 7.2 Hz, Halkene), 5.1 (dq, 1H, J = 17.2 Hz, J = 1.5 Hz, Halkene), 4.97 (ddt, 1H, J = 9.9 Hz, J = 1.5 Hz, J = 0.8 Hz, Halkene), 3.9 (q, 1H, J = 7.2 Hz, CH), 3.6–3.4 (m, 2H, CH2), 2.5 (d, 2H, J = 7.2 Hz, CH2), 1.9 (septet, 1H, J = 6.7 Hz, CH), 1.5 (d, 3H, J = 7.2 Hz, CH3), 0.9 (d, 6H, J = 6.7 Hz, CH3). 13C NMR: (100 MHz, CDCl3) δ (ppm) 204.1 (C=O), 141.5 (Caryl), 136.3 (Caryl), 134.6 (Calkene), 129.6 (Caryl), 128.3 (Caryl), 117.3 (Calkene), 57.6 (CH), 45.2 (CH2), 30.3 (CH), 28.1 (CH2), 22.5 (CH2), 18.0 (CH3). 77Se NMR (76 MHz, CDCl3) δ (ppm): 573 | 99.6 |
| 16a | Se-allyl (S)-2-(6-methoxynaphtalen-2-yl)propaneselenoate | (2S)-2-(6-methoxynaphtalen-2-yl) propanoic acid (naproxen) | 48 | Orange solid (mp: 40–41 °C) | 1H NMR: (400 MHz, CDCl3) δ (ppm): 7.8–7.7 (m, 3H, Haryl), 7.37 (dd, 1H, J = 8.6 Hz, J = 1.9 Hz, Haryl), 7.16 (dd, 1H, J = 8.6 Hz, J = 2.6 Hz, Haryl), 7.13 (d, 1H, J = 2.6 Hz, Haryl), 5.83 (ddt, 1H, J = 16.8 Hz, J = 9.9, J = 7.6 Hz, Halkene), 5.13 (dq, 1H, J = 16.8, J = 1.4 Hz, Halkene), 4.96 (ddt, 1H, J = 9.9, J = 1.4, J = 0.8 Hz, Halkene), 4.02 (q, 1H, J = 7.1 Hz, CH), 3.92 (s, 3H, CH3), 3.55–3.43 (m, 2H, CH2), 1.62 (d, 3H, J = 7.1 Hz, CH3). 13C NMR: (100 MHz, CDCl3) δ (ppm): 204.0 (C=O), 158.0 (Caryl), 134.6 (Calkene), 134.2 (Caryl), 134.2 (Caryl), 129.5 (Caryl), 129.0 (Caryl), 127.5 (Caryl), 127.4 (Caryl), 126.8 (Caryl), 119.3 (Caryl), 117.3 (Calkene), 105.8 (Caryl), 57.9 (CH), 55.5 (CH3), 28.2 (CH2), 18.1 (CH3). 77Se NMR (76 MHz, CDCl3) δ (ppm): 576 | 98.2 |
| 17a | Se-allyl 2-[1-(4-chlorobenzoyl)-5-methoxy-2-methyl-1H-indol-3-yl]ethaneselenoate | 2-[1-(4-chlorobenzoyl)-5-methoxy-2-methylindol-3-yl] acetic acid (indomethacin) | 27 | Pale pink solid (mp: 73–74 °C) | 1H NMR: (400 MHz, CDCl3) δ (ppm): 7.69–7.64 (m, 2H, Haryl), 7.50–7.45 (m, 2H, Haryl), 6.91 (d, 1H, J = 9.1 Hz, Haryl), 6.90 (d, 1H, J = 2.5 Hz, Haryl), 6.69 (dd, 1H, J = 9.1 Hz, J =2.5 Hz, Haryl), 5.85 (ddt, 1H, J = 17.1 Hz, J = 9.9 Hz, J = 7.5 Hz, Halkene), 5.16 (dq, 1H, J = 17.1 Hz, J = 1.5 Hz, Halkene), 4.99 (ddt, 1H, J = 9.9 Hz, J = 1.5, J = 0.9 Hz, Halkene), 3.87 (s, 2H, CH2), 3.83 (s, 3H, CH3), 3.52 (dt, 2H, J = 7.5 Hz, J = 0.9 Hz, CH2), 2.39 (s, 3H, CH3). 13C NMR (100 MHz, CDCl3) δ (ppm): 199.96 (C=O), 168.4 (N-C=O), 156.3 (Caryl-O), 139.57 (Caryl), 137.3 (Caryl), 134.4 (Caryl), 133.8 (Caryl), 131.4 (Caryl), 130.98 (Caryl), 130.7 (Caryl), 129.3 (Caryl), 117.5 (Calkene), 115.1 (Caryl), 112.1 (Caryl), 111.5 (Caryl), 101.2 (Caryl), 55.8 (CH3), 42.9 (CH2), 28.1 (CH2), 13.7 (CH3). 77Se NMR (76 MHz, CDCl3) δ (ppm): 594 | 99.4 |
| 18a | Se-allyl 2-(2,3-dimethylphenyl)aminebenzoselenoate | Mefenamic acid | 10 | Orange solid (mp: 37–38 °C) | 1H NMR (400 MHz, CDCl3) δ (ppm): 9.3 (s, 1H, NH), 7.9 (dd, 1H, J = 1.8 Hz, J = 1.5 Hz, Haryl), 7.3–7.2 (m, 1H, Haryl), 7.2–7.1 (m, 2H, Haryl), 7.1 (dd, 1H, J = 6.8 Hz, J = 2.2 Hz, Haryl), 6.8-6.7 (m, 2H, Haryl), 6.0 (ddt, 1H, J = 17.1 Hz, J = 10 Hz, J = 7.4 Hz, Halkene), 5.3 (dq, 1H, J = 17.1 Hz, J = 1.5 Hz, Halkene), 5.1 (ddt, 1H, J = 10 Hz, J = 1.5 Hz, J = 0.8 Hz, Halkene), 3.7 (dt, 2H, J = 7.4 Hz, J = 0.8 Hz, CH2), 2.3 (s, 3H, CH3), 2.2 (s, 3H, CH3). 13C NMR (100 MHz, CDCl3) δ (ppm): 195.3 (C=O), 146.4 (Caryl), 138.3 (Caryl), 138.1 (Caryl), 134.8 (Calkene), 134.7 (Caryl), 132.7 (Caryl), 131.7 (Caryl), 127.3 (Caryl), 126.1 (Caryl), 123.5 (Caryl), 120.3 (Caryl), 117.3 (Calkene), 116.5 (Caryl), 114.20(Caryl), 27.9 (CH2), 20.6 (CH3), 14.1 (CH3). 77Se NMR (76 MHz, CDCl3) δ (ppm): 552 ppm | 95.3 |
| 19a | Se-allyl 2-(3-trifluoromethylphenyl)aminobenzoselenoate | Flufenamic acid | 10 | Yellow liquid | 1H NMR (400 MHz, CDCl3) δ (ppm): 9.5 (s, 1H, NH), 7.9 (dd, 1H, J = 8.1 Hz, J = 1.5 Hz, Haryl), 7.5 (d, 1H, J = 2.1 Hz, Haryl), 7.4 (d, 1H, J = 7.5 Hz, Haryl), 7.42–7.38 (m, 2H, Haryl), 7.3 (ddd, 1H, J = 7.5 Hz, J = 2.1 Hz, J = 1.2 Hz, Haryl), 7.2 (d, 1H, J = 1.1 Hz, Haryl), 6.9 (ddd, 1H, J = 8.1 Hz, J =7.1 Hz, J =1.1 Hz, Haryl), 5.99 (ddt, 1H, J = 17.1 Hz, J = 9.9 Hz, J = 7.4 Hz, Halkene), 5.3 (dq, 1H, J = 17.1 Hz, J = 1.4 Hz, Halkene), 5.1 (ddt, 1H, J = 9.9 Hz, J =1.4 Hz, J = 0.8 Hz, Halkene), 3.7 (dt, 2H, J =7.4 Hz, J = 0.8 Hz, CH2). 13C NMR (100 MHz, CDCl3) δ (ppm): 196.4 (C=O), 143.4 (Caryl), 141.1 (Caryl), 134.8 (Calkene), 134.4 (Caryl), 131.9 (Caryl), 130.0 (Caryl), 125.5 (Caryl), 125.0 (Caryl), 122.4 (C-F3), 120.2-120.1 (Caryl), 118.7 (Caryl), 118.6-118.5 (Caryl), 117.6 (Calkene), 114.6 (Caryl), 28.2 (CH2). 77Se NMR (76 MHz, CDCl3) δ (ppm): 594 | 95.6 |
| Compound | Chemical Name | Starting Reagent | Yie ld (%) | Appearance | 1H, 13C, and 77Se NMR Spectra | Purity (%) (1H q-NMR) |
|---|---|---|---|---|---|---|
| 1b | Se-prop-2-ynyl adamantane-1-carboselenoate | 1-adamantanecarboxylic acid | 37 | Orange liquid | 1H NMR (400 MHz, CDCl3) δ (ppm): 3.47 (d, 2H, J = 2.7 Hz, CH2).), 2.15 (t, 1H, J = 2.7 Hz, CH), 2.07 (p, 3H, J = 3.0 Hz, CH-adamantane), 1.91 (d, 6H, J = 3.0 Hz, CH2-adamantane), 1.77–1.67 (m, 6H, CH2-adamantane). 13C NMR (100 MHz, CDCl3) δ (ppm): 208.2 (C=O), 81.3 (Calkine), 70.9 (CHalkine), 51.9 (CH2-adamantane), 39.4 (CH2-adamantane), 36.8 (Cadamantane), 28.5 (CH-adamantane), 9.2 (CH2-alkine). 77Se NMR (76 MHz, CDCl3) δ (ppm): 584 | 95.9 |
| 2b | Se-prop-2-ynyl benzoselenoate | Benzoyl chloride | 54 | Yellow liquid | 1H NMR (400 MHz, CDCl3) δ (ppm): 7.88 (d, 2H, J = 8.1 Hz, Haryl), 7.61 (t, 1H, J = 7.4 Hz, Haryl), 7.47 (t, 2H, J = 7.7 Hz, Haryl), 3.74 (d, 2H, J = 2.3 Hz, CH2), 2.22 (t, 1H, J = 2.3 Hz, CH). 13C NMR (100 MHz, CDCl3) δ (ppm): 193.1 (C=O), 138.4 (Caryl), 134.2 (Caryl), 129.1 (Caryl), 127.4 (Caryl), 80.5 (C), 71.2 (CH), 10.4 (CH2). 77Se NMR (76 MHz, CDCl3) δ (ppm): 601 | 95.9 |
| 3b | Se-prop-2-ynyl 2-chlorobenzoselenoate | 2-chlorobenzoyl chloride | 68 | Brown liquid | 1H NMR (400 MHz, CDCl3) δ (ppm): 7.71 (dd, 1H, J = 8.1 Hz, J = 1.3 Hz, Haryl), 7.48–7.42 (m, 2H, Haryl), 7.36 (ddd, 1H, J = 8.1 Hz, J = 5.8 Hz, J = 2.8 Hz, Haryl), 3.75 (d, 2H, J = 2.7 Hz, CH2), 2.23 (t, 1H, J = 2.7 Hz, CH). 13C NMR (100 MHz, CDCl3) δ (ppm): 192.6 (C=O), 138.0 (Caryl), 133.1 (Caryl), 131.4 (Caryl), 130.5 (Caryl), 129.5, (Caryl) 127.1 (Caryl), 80.0 (C), 71.5 (CH), 11.9 (CH2). 77Se NMR (76 MHz, CDCl3) δ (ppm): 645 | 95.5 |
| 4b | Se-prop-2-ynyl 3a,7a-dihydrobenzo[d][1,3]dioxole-5-carboselenoate | Piperonylic acid | 21 | Yellow solid (mp: 50–51 °C) | 1H NMR (400 MHz, CDCl3) δ (ppm): 7.51 (dd, 1H, J = 8.18 Hz, J = 1.79 Hz, Haryl), 7.32 (d, 1H, J = 1.8 Hz, Haryl), 6.86 (d, 1H, J = 8.18 Hz, Haryl), 6.07 (s, 2H, CH2-benzodioxol), 3.71 (d, 2H, J = 2.7 Hz, CH2), 2.21 (t, 1H, J = 2.7 Hz, CH). 13C NMR (100 MHz, CDCl3) δ (ppm): 190.8 (C=O), 152.7 (Caryl), 148.5 (Caryl), 132.9 (Caryl), 124.1 (Caryl), 108.4 (Caryl), 107.1 (Caryl), 102.3 (CH2-benzodioxol), 80.6 (C), 71.1 (CH), 10.5 (CH2). 77Se NMR (76 MHz, CDCl3) δ (ppm): 592 | 97.4 |
| 5b | Se-prop-2-ynyl 3-phenylprop-2E-eneselenoate | Cinnamoyl chloride | 18 | Yellow liquid | 1H NMR (400 MHz, CDCl3) δ (ppm): 7.62–7.54 (m, 3H, Halkene + Haryl), 7.46–7.37 (m, 3H, Haryl), 6.72 (d, 1H, J = 16.8 Hz, Halkene), 3.69 (d, 2H, J = 2.7 Hz, CH2), 2.21 (t, J = 2.7 Hz, CH). 13C NMR (100 MHz, CDCl3) δ (ppm): 190.4 (C=O), 141.7 (Calkene), 133.9 (Caryl), 131.2 (Calkene), 129.2 (Caryl), 128.7 (Caryl), 126.5 (Caryl), 80.5 (C), 71.2 (CH), 10.4 (CH2). 77Se NMR (76 MHz, CDCl3) δ (ppm): 623 | 95.5 |
| 6b | Se-prop-2-ynyl 3-phenylpropaneselenoate | 3- phenylpropanoyl chloride | 60 | Brown oil | 1H NMR (400 MHz, CDCl3) δ (ppm): 7.32–7.17 (m, 5H, Haryl), 3.57 (d, 2H, J = 2.7 Hz, Se-CH2), 3.01–2.96 (m, 4H, CH2), 2.19–2.17 (m, 1H, CH). 13C NMR (100 MHz, CDCl3) δ (ppm): 199.1 (C=O), 139.6 (Caryl), 128.8 (Caryl), 128.4 (Caryl), 126.7 (Caryl), 80.5 (C), 71.1 (CH), 49.3 (CH2-CO), 31.2 (Ph-CH2), 10.3 (Se-CH2). 77Se NMR (76 MHz, CDCl3) δ (ppm): 622 | 96.0 |
| 7b | Se-prop-2-ynyl pyridine-3-carboselenoate | Nicotinic acid | 10 | Brown oil | 1H NMR (400 MHz, CDCl3) δ (ppm): 9.09 (d, 1H, J = 2.2 Hz, Hpyridine), 8.82 (dd, 1H, J = 4.8 Hz, J = 1.7 Hz, Hpyridine), 8.13 (dt, 1H, J = 8.0 Hz, J = 2.2 Hz, Hpyridine), 7.43 (dd, 1H, J = 8.0 Hz, J = 4.8 Hz, Hpyridine), 3.79 (d, 2H, J = 2.7 Hz, CH2), 2.24 (t, 1H, J = 2.7 Hz, CH). 13C NMR (100 MHz, CDCl3) δ (ppm): 191.9 (C=O), 154.5 (Cpyridine), 148.5 (Cpyridine), 134.6 (Cpyridine), 134.1 (Cpyridine), 124.0 (Cpyridine), 80.0 (C), 71.7 (CH), 10.9 (CH2). 77Se NMR (76 MHz, CDCl3) δ (ppm): 612 | 95.3 |
| 8b | Se-prop-2-ynyl 2-chloropyridine-3-carboselenoate | 2-chloronicotinic acid | 67 | Yellow solid (mp: 36–37 °C) | 1H NMR (400 MHz, CDCl3) δ (ppm): 8.54 (dd, 1H, J = 4.8 Hz, J = 1.9 Hz, Hpyridine), 8.02 (dd, 1H, J = 7.7 Hz, J = 1.9 Hz, Hpyridine), 7.37 (dd, 1H, J = 7.7 Hz, J = 4.8 Hz, Hpyridine), 3.78 (d, 2H, J = 2.7 Hz, CH2), 2.25 (t, 1H, J = 2.7 Hz, CH). 13C NMR (100 MHz, CDCl3) δ (ppm): 191.61 (C=O), 152.2 (Cpyridine), 146.9 (Cpyridine), 137.9 (Cpyridine), 134.4 (Cpyridine), 122.4 (Cpyridine), 79.4 (C), 71.8 (CH), 12.3 (CH2). 77Se NMR (76 MHz, CDCl3) δ (ppm): 655 | 95.1 |
| 9b | Se-prop-2-ynyl thiophene-2-carboselenoate | Thiophen-2-carbonyl chloride | 10 | Yellow oil | 1H NMR (400 MHz, CDCl3) δ (ppm): 7.78 (dd, 1H, J = 3.9 Hz, J = 1.2 Hz, Hthiophene), 7.70 (dd, 1H, J = 5.0 Hz, J = 1.2 Hz, Hthiophene), 7.14 (dd, 1H, J = 5.0, J = 3.9 Hz, Hthiophene), 3.74 (d, 2H, J = 2.7 Hz, CH2), 2.23 (t, 1H, J = 2.7 Hz, CH). 13C NMR (100 MHz, CDCl3) δ (ppm): 183.1 (C=O), 142.9 (Cthiophene), 133.8 (Cthiophene), 132.0 (Cthiophene), 128.1 (Cthiophene), 80.2 (C), 71.3 (CH), 10.6 (CH2). 77Se NMR (76 MHz, CDCl3) δ (ppm): 598 | 95.1 |
| 10b | Se-prop-2-ynyl 3-chlorothiophene-2-carboselenoate | 3-chlorothiophene-2-carboxylic acid | 58 | Yellow powder (mp: 53–54 °C) | 1H NMR (400 MHz, CDCl3) δ (ppm): 7.59 (d, 1H, J = 5.2 Hz, Hthiophene), 7.06 (d, 1H, J = 5.2 Hz, Hthiophene), 3.74 (d, 2H, J = 2.7 Hz, CH2), 2.22 (d, 1H, J = 2.7 Hz, CH). 13C NMR (100 MHz, CDCl3) δ (ppm): 182.4 (C=O), 136.8 (Cthiophene), 132.0 (Cthiophene), 130.5 (Cthiophene), 128.9 (Cthiophene), 80.0 (C), 71.4 (CH), 11.1 (CH2). 77Se NMR (76 MHz, CDCl3) δ (ppm): 641 | 96.0 |
| 11b | Se-prop-2-ynyl furan-2-carboselenoate | 2-furoyl chloride | 53 | Yellow oil | 1H NMR (400 MHz, CDCl3) δ (ppm): 7.62 (s, 1H, Hfuran), 7.20 (d, 1H, J = 3.6 Hz, Hfuran), 6.58 (dd, 1H, J = 3.3Hz, J = 1.4 Hz, Hfuran), 3.70 (d, 2H, J = 2.6 Hz, CH2), 2.20 (t, 1H, J = 2.5 Hz, CH). 13C NMR (100 MHz, CDCl3) δ (ppm): 180.5 (C=O), 151.8 (Cfuran), 146.9 (Cfuran), 115.3 (Cfuran), 113.0 (Cfuran), 80.4 (C), 71.2 (CH), 9.4 (CH2). 77Se NMR (76 MHz, CDCl3) δ (ppm): 605 | 95.8 |
| 12b | Se-prop-2-ynyl isoxazole-5-carboselenoate | Isoxazole-5-carboxylic acid | 16 | Brown oil | 1H NMR (400 MHz, CDCl3) δ (ppm): 8.40 (d, 1H, J = 1.9 Hz, Hisoxazole), 6.93 (d, 1H, J = 1.9 Hz, Hisoxazole), 3.78 (d, 2H, J= 2.7 Hz, CH2), 2.24 (t, 1H, J = 2.7 Hz, CH). 13C NMR (100 MHz, CDCl3) δ (ppm): 181.0 (C=O), 165.5 (Cisoxazole), 151.2 (Cisoxazole), 105.0 (Cisoxazole), 79.2 (C), 72.0 (CH), 10.6 (CH2).77Se NMR (76 MHz, CDCl3) δ (ppm): 646 | 95.9 |
| 13b | Se-prop-2-ynyl 2-hydroxybenzoselenoate | O-acetylsalicyloyl chloride | 13 | Brown oil | 1H NMR (400 MHz, CDCl3) δ (ppm):10.5 (s, 1H, OH), 7.7 (dd, 1H, J = 8.1 Hz, J= 1.5 Hz, Haryl), 7.5 (ddd, 1H, J = 8.5 Hz, J = 7.2 Hz, J = 1.5 Hz, Haryl), 6.98 (dd, 1H, J = 8.5 Hz, J =1.2 Hz, Haryl), 6.9 (ddd, 1H, J = 8.1 Hz, J = 7.2 Hz, J =1.2 Hz, Haryl), 3.7 (d, 2H, J = 2.7 Hz, CH2), 2.2 (t, 1H, J = 2.7 Hz, CH). 13C NMR (100 MHz, CDCl3) δ (ppm): 198.6 (C=O), 158.4 (Caryl), 136.6 (Caryl), 129.8 (Caryl), 121.9 (Caryl), 119.96 (Caryl), 118.4 (Caryl), 79.97 (C), 71.6 (CH), 10.6 (CH2). 77Se NMR (76 MHz, CDCl3) δ (ppm): 594 | 95.3 |
| 14b | 2-(prop-2-ynylselanyl)carbonylphenylacetate | O-acetylsalicyloyl chloride | 10 | Orange oil | 1H NMR (400 MHz, CDCl3) δ (ppm): 7.8 (dd, 1H, J = 7.8 Hz, J =1.7 Hz, Haryl), 7.5 (ddd, 1H, J = 7.8 Hz, J = 1.7 Hz, Haryl), 7.2 (ddd, 1H, J = 7.8 Hz, J =1.2 Hz, Haryl), 7.0 (dd, 1H, J = 7.8 Hz, J = 1.2 Hz, Haryl), 3.6 (d, 2H, J = 2.7 Hz, CH2), 2.3 (s, 3H, CH3), 2.1 (t, 1H, J = 2.7 Hz, CH). 13C NMR (100 MHz, CDCl3) δ (ppm): 190.1 (Ph-C=O), 168.9 (H3C-C=O), 147.5 (Caryl), 134.2 (Caryl), 130.8 (Caryl), 129.6 (Caryl), 126.3 (Caryl), 124.1 (Caryl), 80.1 (C), 71.3 (CH), 21.2 (CH3), 10.9 (CH2). 77Se NMR (76 MHz, CDCl3) δ (ppm): 638 | 95.5 |
| 15b | Se-prop-2-ynyl 2-(4-isobutylphenyl)propaneselenoate | 2-(4-isobutylphenyl) propanoic acid (Ibuprofen) | 29 | Orange oil | 1H NMR: (400 MHz, CDCl3) δ (ppm): 7.2 (d, 2H, J = 8.1 Hz, Haryl), 7.1 (d, 2H, J = 8.1 Hz, Haryl), 3.9 (q, 1H, J = 7.1 Hz, Ph-CH), 3.5 (dd, 2H, J = 2.7 Hz, Se-CH2), 2.5 (d, 2H, J = 7.2 Hz, Ph-CH2), 2.1 (t, 1H, J = 2.7 Hz, CH), 1.9 (septet, J= 7.2 Hz, CH-(CH3)2), 1.6 (d, 3H, J = 7.2 Hz, CH3), 0.9 (d, J = 7.2 Hz, CH-(CH3)2). 13C NMR (100 MHz, CDCl3) δ (ppm): 201.9 (C=O), 140.7 (Caryl), 134.5 (Caryl), 128.5 (Caryl), 127.4 (Caryl), 79.5 (C), 69.7 (CH), 56.1 (Ph-CH), 44.1 (Ph-CH2), 29.1 (CH-(CH3)2), 21.4 (CH-(CH3)2), 16.6 (CH3), 9.3 (Se-CH2). 77Se NMR (76 MHz, CDCl3) δ (ppm): 612 | 95.9 |
| 16b | Se-prop-2-ynyl (S)-2-(6-methoxynaphthalen-2-yl)propaneselenoate | (2S)-2-(6-methoxynaphtalen-2-yl) propanoic acid (Naproxen) | 26 | Orange oil | 1H NMR: (400 MHz, CDCl3) δ (ppm): 7.7 (d, 2H, J = 8.6 Hz, Haryl), 7.7 (d, 2H, J= 1.9 Hz, Haryl), 7.4 (dd, 1H, J = 8.6 Hz, J = 1.9 Hz, Haryl), 7.2 (dd, 1H, J = 8.9 Hz, J = 2.5 Hz, Haryl), 7.1 (d, 1H, J = 2.5 Hz, Haryl), 4.0 (q, 1H, J = 7.1 Hz, Naph-CH), 3.9 (s, 3H, OCH3), 3.46 (dd, 2H, J =2.7 Hz, Se-CH), 2.1 (t, 1H, J = 2.7 Hz, CH), 1.6 (d, 3H, J = 7.1 Hz, CH3). 13C NMR (100 MHz, CDCl3) δ (ppm): 202.9 (C=O), 158.1 (Caryl), 134.3 (Caryl), 133.4 (Caryl), 129.5 (Caryl), 128.8 (Caryl), 127.7 (Caryl), 127.4 (Caryl), 126.8 (Caryl), 119.3 (Caryl), 105.7 (Caryl), 80.4 (C), 70.8 (CH), 57.4 (C2), 55.4 (Naph-CH), 17.7 (CH3), 10.5 (OCH3). 77Se NMR (76 MHz, CDCl3) δ (ppm): 619 | 95.0 |
| 17b | Se-prop-2-ynyl 2-(1-(4-chlorobenzoyl)-5-methoxy-2-methyl-1H-indol-3-yl)ethaneselenoate | 2-[1-(4-chlorobenzoyl)-5-methoxy-2-methylindol-3-yl] acetic acid (Indomethacin) | 20 | White solid (mp: 101–102 °C) | 1H NMR: (400 MHz, CDCl3) δ (ppm): 7.7 (d, 2H, J = 8.4 Hz, Haryl), 7.5 (d, 2H, J = 8.4 Hz, Haryl), 6.9 (d, 1H, J = 9.0 Hz, Hindol), 6.9 (d, 1H, J = 2.5 Hz, Hindol), 6.7 (dd, J = 9.0 Hz, J = 2.5 Hz, Hindol), 3.9 (s, 2H, Indol-CH2), 3.8 (s, 3H, OCH3), 3.5 (d, 2H, J = 2.7 Hz, Se-CH2), 2.4 (s, 3H, CH3), 2.1 (t, 1H, J = 2.7 Hz, CH). 13C NMR (100 MHz, CDCl3) δ (ppm): 199.4 (CH2-C=O), 168.4 (Ph-C=O), 156.4 (Cindol), 139.7 (Caryl), 137.9 (Cindol), 133.7 (Caryl), 131.4 (Caryl), 131.0 (Cindol), 130.6 (Cindol), 129.4 (Caryl), 115.2 (Cindol), 112.3 (Cindol), 110.8 (Cindol), 101.0 (Cindol), 80.4 (C), 71.1 (CH), 55.9 (OCH3), 42.3 (Indol-CH2), 13.7 (CH3), 10.5 (Se-CH2). 77Se NMR (76 MHz, CDCl3) δ (ppm): 639 | 95.1 |
| 18b | Se-prop-2-ynyl 2-(2,3-dimethylphenyl)aminobenzoselenoate | Mefenamic acid | 10 | Orange oil | 1H NMR (400 MHz, CDCl3) δ (ppm): 9.3 (s, 1H, NH), 7.80-7.76 (m, 1H, Haryl), 7.31-7.22 (m, 1H, Haryl), 7,13-7.10 (m, 2H, Haryl), 7.1 (dd, 1H, J = 5.3 Hz, J = 3.7 Hz, Haryl), 6.73–6.67 (m, 2H, Haryl). 3.7 (d, 2H, J = 2.7 Hz, CH2), 2.3 (s, 3H, Ph-CH3), 2.2 (t, 1H, J = 2.7 Hz, CH), 2.2 (s, 3H, Ph-CH3). 13C NMR (100 MHz, CDCl3) δ (ppm): 193.8 (CO), 146.8 (Caryl), 138.5 (Caryl), 137.96 (Caryl), 135.2 (Caryl), 133.0 (Caryl), 131.6 (Caryl), 127.6 (Caryl), 126.2 (Caryl), 123.8 (Caryl), 119.7 (Caryl), 116.7 (Caryl), 114.4 (Caryl), 81.0 (C), 70.9 (CH), 20.7 (Ph-CH3), 14.2 (Ph-CH3), 10.4 (CH2). 77Se NMR (76 MHz, CDCl3) δ (ppm): 594 | 96.9 |
| 19b | 2-(prop-2-yn-1-ylselanyl)carbonyl-6-(3-trifluoromethyl)phenylaminobenzoic acid | Flufenamic acid | 10 | Yellow liquid | 1H NMR (400 MHz, CDCl3) δ (ppm): 9.5 (s, 1H, NH), 7.8 (dd, 1H, J = 8.1 Hz, J =1.5 Hz, Haryl), 7.5 (t, 1H, J = 1.9 Hz, Haryl), 7.45 (d, 1H, J = 7.6 Hz, Haryl), 7.41 (q, 1H, J = 1.9 Hz, Haryl), 740–7.37 (m, 1H, Haryl), 7.35 (d, 1H, J = 7.6 Hz, Haryl), 7.24 (dd, 1H, J = 8.6 Hz, J = 1.1 Hz, Haryl), 6.9 (ddd, 1H, J = 8.1 Hz, J =7.0 Hz, J = 1.1 Hz, Haryl), 3.7 (d, 2H, J = 2.7 Hz, CH2), 2.2 (t, 1H, J = 2.7 Hz, CH). 13C NMR (100 MHz, CDCl3) δ (ppm): 194.9 (CO), 143.9 (Caryl), 140.95 (Caryl), 135.3 (Caryl), 132.3 (Caryl), 131.96 (Caryl), 131.8 (Caryl), 130.2 (Caryl), 125.4 (Caryl), 121.8 (CF3), 120.5 (Caryl), 118.96 (Caryl), 118.9 (Caryl), 114.8 (Caryl), 80.7 (C), 71.1 (CH), 10.8 (CH2). 77Se NMR (76 MHz, CDCl3) δ (ppm): 606 | 98.0 |
| Compounds | Cell Lines | |||||||
|---|---|---|---|---|---|---|---|---|
| HTB-54 | HT-29 | HCT116 | MCF-7 | BEAS-2B | SI a | 184B5 | SI b | |
| 14a | 9.9 ± 1.1 | 6.4 ± 1.0 | 5.9 ± 0.8 | 9.9 ± 0.9 | 7.1 ± 2.4 | 0.7 | 10.2 ± 0.1 | 1.0 |
| 15a | 23.5 ± 5.8 | 9.2 ± 0.7 | 10.2 ± 0.1 | 11.2 ± 0.2 | 11.1 ± 2.6 | 0.5 | 11.5 ± 1.4 | 1.1 |
| 16a | 9.9 ± 0.3 | 9.4 ± 0.6 | 27.1 ± 2.7 | 10.9 ± 1.3 | 14.7 ± 8.7 | 1.5 | 11.1 ± 1.1 | 1.0 |
| 17a | 7.9 ± 1.9 | 5.9 ± 0.8 | 7.0 ± 0.9 | 9.8 ± 0.3 | 6.3 ± 2.3 | 0.8 | 13.3 ± 3.9 | 1.4 |
| ASA c | >100 | >100 | - | >100 | - | - | - | - |
| Ibuprofen d | - | >50 | - | - | - | - | - | - |
| Naproxen c | >100 | >100 | - | >100 | - | - | - | - |
| Indomethacin c | >100 | >100 | - | >100 | - | - | - | - |
| Series a | Series b | |||
|---|---|---|---|---|
| Compound | % AChE Inhibition e | IC50 (µM) e | Compound | % AChE Inhibition e |
| 1a | 19.3 ± 4.1 | - | 1b | 18.0 ± 7.9 |
| 2a | 22.6 ± 1.6 | - | 2b | 26.9 ± 7.3 |
| 3a | 21.5 ± 7.5 | - | 3b | 23.7 ± 9.0 |
| 4a | 2.5 ± 9.3 | - | 4b | 16.5 ± 10.6 |
| 5a | 8.7 ± 4.9 | - | 5b | 26.0 ± 3.7 |
| 6a | 18.7 ± 12.4 | - | 6b | 24.5 ± 6.7 |
| 7a | 13.6 ± 5.5 | - | 7b | 24.9 ± 2.2 |
| 8a | 6.3 ± 4.1 | - | 8b | 17.1 ± 10.1 |
| 9a | 25.9 ± 2.4 | - | 9b | 20.6 ± 2.7 |
| 10a | 42.5 ± 6.4 | 2.4 ± 1.2 | 10b | 24.4 ± 7.1 |
| 11a | 18.6 ± 2.8 | - | 11b | 27.2 ± 4.1 |
| 12a | 4.2 ± 6.7 | - | 12b | 21.7 ± 7.9 |
| 13a | 51.8 ± 4.0 | 5.2 ± 2.3 | 13b | 21.5 ± 9.5 |
| 14a | 43.5 ± 2.6 | 0.9 ± 0.2 | 14b | 21.1 ± 5.2 |
| 15a | 19.3 ± 0.1 | - | 15b | 8.5 ± 11.1 |
| 16a | 20.3 ± 4.2 | - | 16b | 16.2 ± 2.3 |
| 17a | 19.2 ± 8.3 | - | 17b | 23.0 ± 6.7 |
| 18a | 18.4 ± 3.6 | - | 18b | 20.0 ± 2.40 |
| 19a | 19.3 ± 2.0 | - | 19b | 21.1 ± 2.6 |
| Galantamine | 46.6 ± 8.3 | 2.0 ± 1.1 | Galantamine | 46.6 ± 8.3 |
| Experimental | In Silico Prediction | |||
|---|---|---|---|---|
| Compound | Pe ± SD (×10−6 cm s−1) | BBB Permeation | Score a | BBB Permeation |
| 10a | 38.6 ± 1.3 | High | 1.811 | Medium–high |
| 14a | 36.9 ± 0.1 | High | 1.973 | Medium–high |
| Galantamine | 12.3 ± 3.1 | High | 0.590 | Low–medium |
Disclaimer/Publisher’s Note: The statements, opinions and data contained in all publications are solely those of the individual author(s) and contributor(s) and not of MDPI and/or the editor(s). MDPI and/or the editor(s) disclaim responsibility for any injury to people or property resulting from any ideas, methods, instructions or products referred to in the content. |
© 2023 by the authors. Licensee MDPI, Basel, Switzerland. This article is an open access article distributed under the terms and conditions of the Creative Commons Attribution (CC BY) license (https://creativecommons.org/licenses/by/4.0/).
Share and Cite
Astrain-Redin, N.; Talavera, I.; Moreno, E.; Ramírez, M.J.; Martínez-Sáez, N.; Encío, I.; Sharma, A.K.; Sanmartín, C.; Plano, D. Seleno-Analogs of Scaffolds Resembling Natural Products a Novel Warhead toward Dual Compounds. Antioxidants 2023, 12, 139. https://doi.org/10.3390/antiox12010139
Astrain-Redin N, Talavera I, Moreno E, Ramírez MJ, Martínez-Sáez N, Encío I, Sharma AK, Sanmartín C, Plano D. Seleno-Analogs of Scaffolds Resembling Natural Products a Novel Warhead toward Dual Compounds. Antioxidants. 2023; 12(1):139. https://doi.org/10.3390/antiox12010139
Chicago/Turabian StyleAstrain-Redin, Nora, Irene Talavera, Esther Moreno, María J. Ramírez, Nuria Martínez-Sáez, Ignacio Encío, Arun K. Sharma, Carmen Sanmartín, and Daniel Plano. 2023. "Seleno-Analogs of Scaffolds Resembling Natural Products a Novel Warhead toward Dual Compounds" Antioxidants 12, no. 1: 139. https://doi.org/10.3390/antiox12010139
APA StyleAstrain-Redin, N., Talavera, I., Moreno, E., Ramírez, M. J., Martínez-Sáez, N., Encío, I., Sharma, A. K., Sanmartín, C., & Plano, D. (2023). Seleno-Analogs of Scaffolds Resembling Natural Products a Novel Warhead toward Dual Compounds. Antioxidants, 12(1), 139. https://doi.org/10.3390/antiox12010139

