Effects of Phenolic Phytogenic Feed Additives on Certain Oxidative Damage Biomarkers and the Performance of Primiparous Sows Exposed to Heat Stress under Field Conditions
Abstract
1. Introduction
2. Materials and Methods
2.1. Trial Farm
2.2. Experimental Material
- (a)
- commercial phenolic PFA-1 (Herb-All Heat-A): a mix of pure plants mainly composed by Emblica officinalis; Foeniculum vulgare; Citrus sinensis; and nut fiber (part of hickory nuts). Composition: crude fiber 14.0%; crude protein 7.1%; crude fat 2.8%; crude ash 8.2%; sodium 0.02%; lysine 0.2%; methionine 0.1%;
- (b)
- commercial phenolic PFA-2 (Herb-All Heat-D): a mix of pure plants mainly composed by Andrographis paniculate; Glycyrrhizia glabra; Tinospora cordifolia; and nut fiber (part of hickory nuts). Composition: crude fiber 13.5%; crude protein 6.5%; crude fat 2.5%; crude ash 8.5%; sodium 0.02%; lysine 0.2%; methionine 0.1%.
2.3. Experimental Design
- (a)
- T1 group-control group (16 sows): regular gestation (GF) and lactation feed (LF);
- (b)
- T2 group (16 sows): regular GF and LF supplemented with top-dress of the commercial phenolic PFA-1 (Herb-All Heat-A) (5 g/day) for 7 days before farrowing until 7th day of lactation;
- (c)
- T3 group (16 sows): regular GF and LF supplemented with top-dress of the commercial phenolic PFA-2 (Herb-All Heat-D) (5 g/day) for 7 days before farrowing until 7th day of lactation.
2.4. Blood Sampling
2.5. Laboratory Examinations
2.5.1. TBARS
2.5.2. CARBs
2.6. Recorded Parameters
2.6.1. Sow Body Condition Parameters
2.6.2. Reproductive Parameters and Litter Characteristics
2.6.3. Thermal Comfort Indices
- (a)
- (b)
2.7. Statistical Analysis
3. Results
3.1. Thermal Comfort Indices
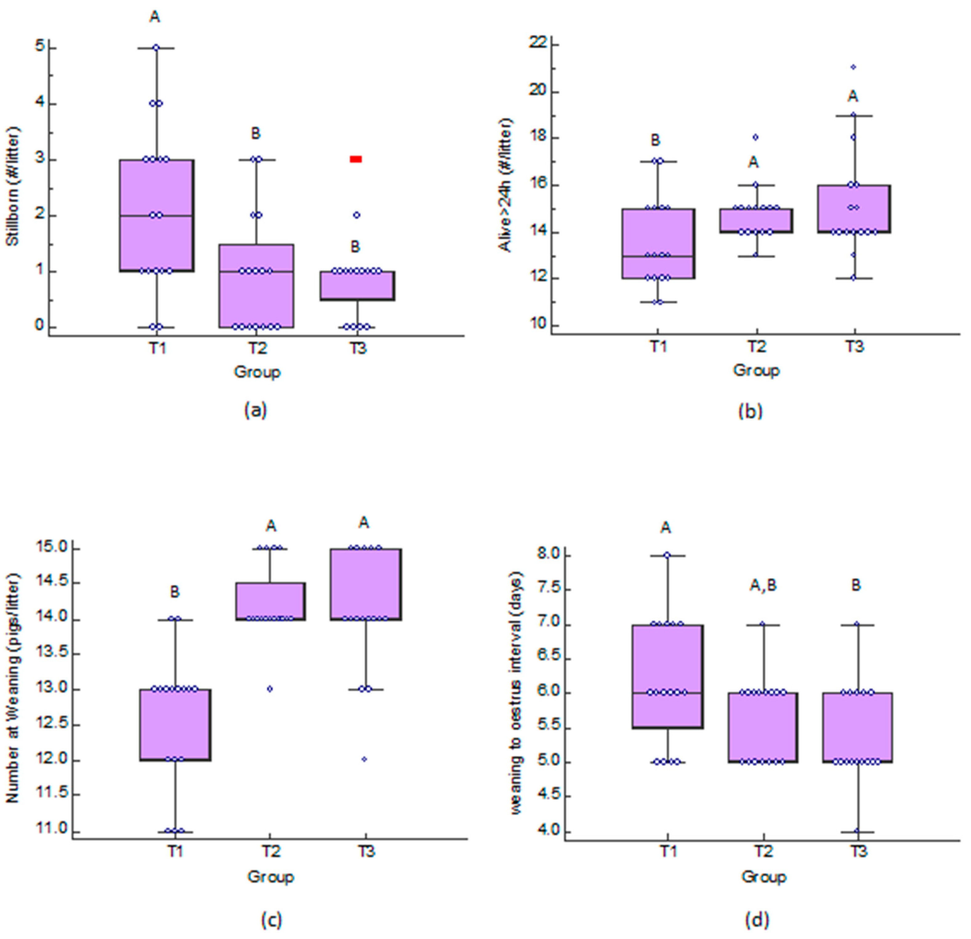
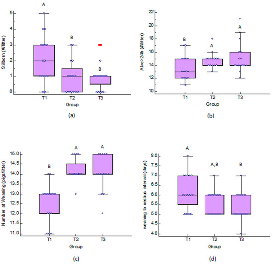
3.2. Reproductive Parameters and Litter Characteristics
3.3. Sow Body Condition Parameters
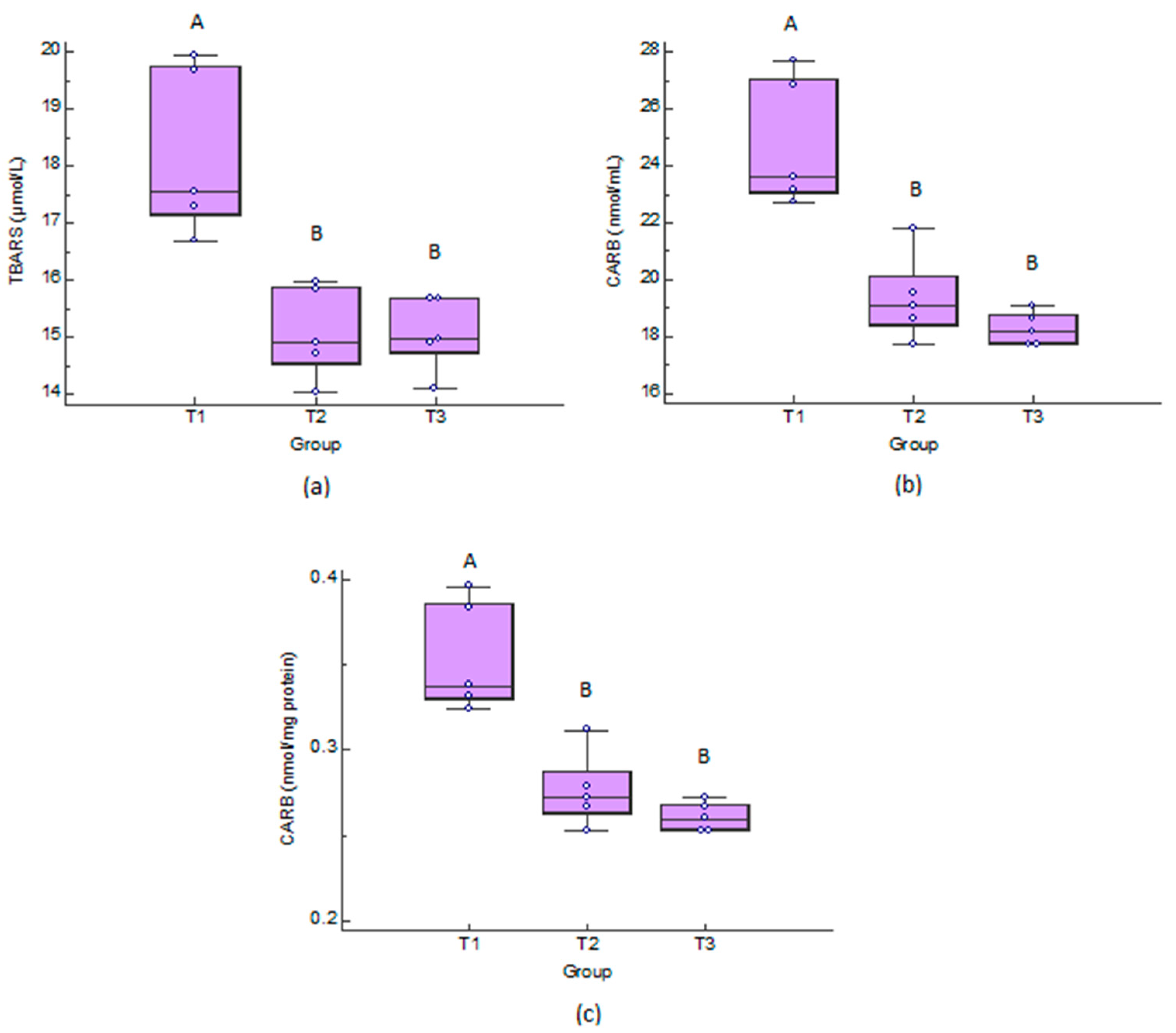
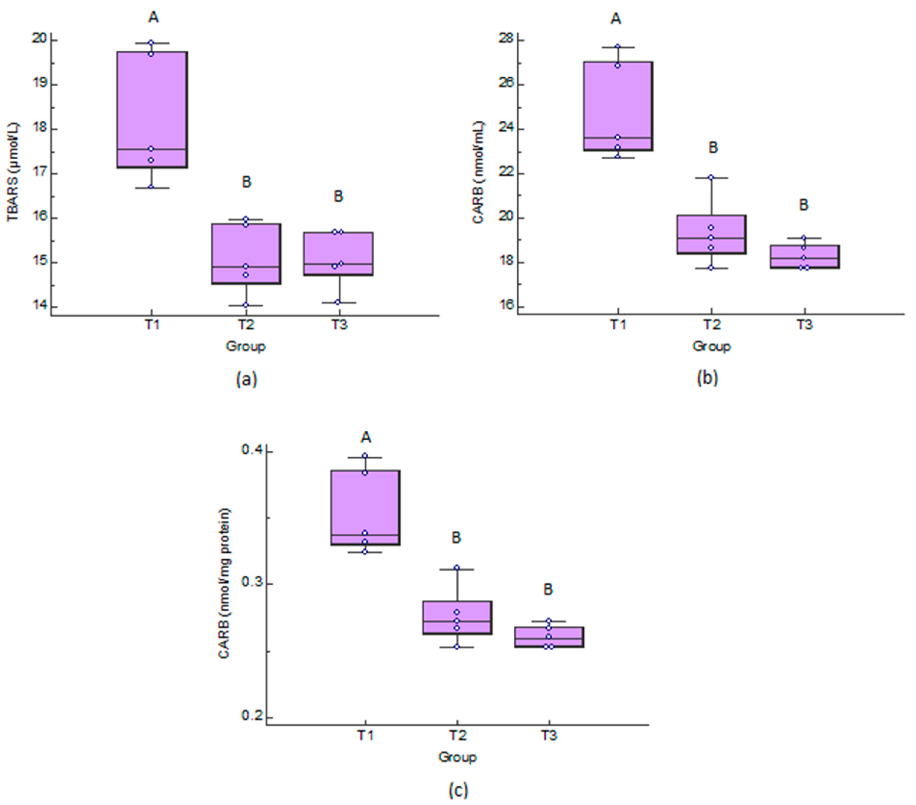
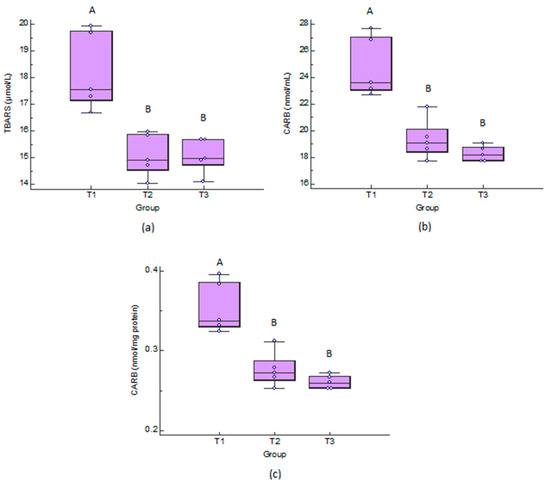
3.4. Laboratory Examinations
4. Discussion
5. Conclusions
- (a)
- antioxidative effects (decrease of TBARS and CARB in plasma) (a) TBARS: 15.09% lower in T2 than T1; 14.70% lower in T3 than T1; (b) CARB (nmol/mL): 19.25% lower in T2 than T1; 23.00% lower in T3 than T1; (c) CARB (nmol/mg protein): 20.58% lower in T2 than T1; 23.52% lower in T3 than T1;
- (b)
- improved reproductive parameters and litter characteristics e.g., a decrease of the interval from weaning to estrus (5 days in T3 group in comparison to control group T1), decrease of stillborn piglets;
- (c)
- improved body condition parameters.
Supplementary Materials
Author Contributions
Funding
Institutional Review Board Statement
Informed Consent Statement
Data Availability Statement
Acknowledgments
Conflicts of Interest
References
- Jócsák, I.; Tossenberger, J.; Végvári, G.; Sudár, G.; Varga-Visi, É.; Tóth, T. How is the effect of phytogenic feed supplementation tested in heat stressed pigs? Methodological and sampling considerations. Agriculture 2020, 10, 257. [Google Scholar] [CrossRef]
- Bloemhof, S.; van der Waaij, E.H.; Merks, J.W.; Knol, E.F. Sow line differences in heat stress tolerance expressed in reproductive performance traits. J. Anim. Sci. 2008, 86, 3330–3337. [Google Scholar] [CrossRef]
- Tummaruk, P.; Lundeheim, N.; Einarsson, S.; Dalin, A.M. Reproductive Performance of Purebred Swedish Landrace and Swedish Yorkshire Sows: II. Effect of Mating Type, Weaning-to-first-service Interval and Lactation Length. Acta Agric. Scand. Sect. A Anim. Sci. 2000, 50, 217–224. [Google Scholar] [CrossRef]
- Tummaruk, P.; Tantasuparuk, W.; Techakumphu, M.; Kunavongkrit, A. Effect of season and outdoor climate on litter size at birth in purebred landrace and yorkshire sows in Thailand. J. Vet. Med. Sci. 2004, 66, 477–482. [Google Scholar] [CrossRef][Green Version]
- Suriyasomboon, A.; Lundeheim, N.; Kunavongkrit, A.; Einarsson, S. Effect of temperature and humidity on reproductive performance of crossbred sows in Thailand. Theriogenology 2006, 65, 606–628. [Google Scholar] [CrossRef] [PubMed]
- Renaudeau, D.; Noblet, J. Effects of exposure to high ambient temperature and dietary protein level on sow milk production and performance of piglets. J. Anim. Sci. 2001, 79, 1540–1548. [Google Scholar] [CrossRef]
- Gourdine, J.-L.; Quesnel, H.; Bidanel, J.P.; Renaudeau, D. Effect of Season, Parity and Lactation on Reproductive Performance of Sows in a Tropical Humid Climate. Asian Australas. J. Anim. Sci. 2006, 19, 1111–1119. [Google Scholar] [CrossRef]
- van Rensburg, L.J.; Spencer, B.T. The influence of environmental temperatures on farrowing rates and litter sizes in South African pig breeding units. Onderstepoort J. Vet. Res. 2014, 81, e1–e7. [Google Scholar] [CrossRef][Green Version]
- Guo, Z.; Lv, L.; Liu, D.; Fu, B. Effects of heat stress on piglet production/performance parameters. Trop. Anim. Health Prod. 2018, 50, 1203–1208. [Google Scholar] [CrossRef] [PubMed]
- Almond, P.K.; Bilkei, G. Seasonal infertility in large pig production units in an Eastern-European climate. Aust. Vet. J. 2005, 83, 344–346. [Google Scholar] [CrossRef] [PubMed]
- Black, J.L.; Mullan, B.P.; Lorschy, M.L.; Giles, L.R. Lactation in the sow during heat stress. Livest. Prod. Sci. 1993, 35, 153–170. [Google Scholar] [CrossRef]
- Holtkamp, D.J.; Kliebenstein, J.B.; Neumann, E.J.; Zimmerman, J.J.; Rotto, H.F. Assessment of the economic impact of porcine reproductive and respiratory syndrome virus on United States pork producers. J. Swine Health Prod. 2013, 72–84. [Google Scholar]
- Halliwell, B.; Chirico, S. Lipid peroxidation: Its mechanism, measurement, and significance. Am. J. Clin. Nutr. 1993, 57, 715S–724S. [Google Scholar] [CrossRef] [PubMed]
- Christaki, E.; Giannenas, I.; Bonos, E.; Florou-Paneri, P. Innovative uses of aromatic plants as natural supplements in nutrition. In Feed Additives; Florou-Paneri, P., Christaki, E., Giannenas, I., Eds.; Academic Press: London, UK, 2020; pp. 19–34. [Google Scholar]
- Dykes, L.; Rooney, L.W.J.C.F.W. Phenolic compounds in cereal grains and their health benefits. Cereal Foods World 2007, 52, 105–111. [Google Scholar] [CrossRef]
- Jacela, J.; Derouchey, J.M.; Tokach, M.; Goodband, R.; Nelssen, J.; Renter, D.; Dritz, S. Feed additives for swine: Fact sheets—Prebiotics and probiotics, and phytogenics. J. Swine Health Prod. 2010, 18, 132–136. [Google Scholar] [CrossRef]
- Kantas, D.; Papatsiros, V.G.; Tassis, P.D.; Athanasiou, L.V.; Tzika, E.D. Effect of a natural feed additive (Macleaya cordata), containing sanguinarine, on the performance and health status of weaning pigs. Anim. Sci. J. Nihon Chikusan Gakkaiho 2015, 86, 92–98. [Google Scholar] [CrossRef] [PubMed]
- Papatsiros, V.G.; Tzika, E.D.; Papaioannou, D.S.; Kyriakis, S.C.; Tassis, P.D.; Kyriakis, C.S. Effect of Origanum vulgaris and Allium sativum extracts for the control of proliferative enteropathy in weaning pigs. Pol. J. Vet. Sci. 2009, 12, 407–414. [Google Scholar]
- Papatsiros, V.; Tzika, E.; Tassis, P.; Kantas, D.; Filippopoulos, L.; Papaioannou, D. Greek experience of the use of phytogenic feed additives in organic pig farming. J. Cell Anim. Biol. 2011, 5, 320–323. [Google Scholar] [CrossRef]
- Tzika, E.D.; Tassis, P.D.; Papatsiros, V.G.; Pferschy-Wenzig, E.M.; Siochu, A.; Bauer, R.; Alexopoulos, C.; Kyriakis, S.C.; Franz, C. Evaluation of in-feed larch sawdust anti-inflammatory effect in sows. Pol. J. Vet. Sci. 2017, 20, 321–327. [Google Scholar] [CrossRef]
- Burt, S. Essential oils: Their antibacterial properties and potential applications in foods--a review. Int. J. Food Microbiol. 2004, 94, 223–253. [Google Scholar] [CrossRef]
- Mellado, M.; Gaytán, L.; Macías-Cruz, U.; Avendaño-Reyes, L.; Meza-Herrera, C.A.; Lozano, E.; Rodríguez, A.; Mellado, J. Effect of climate and insemination technique on reproductive performance of gilts and sows in a subtropical zone of Mexico. Austral J. Vet. Sci. 2018, 50, 27–34. [Google Scholar] [CrossRef]
- Giannakopoulos, C.; Kostopoulou, E.; Varotsos, K.V.; Tziotziou, K.; Plitharas, A. An integrated assessment of climate change impacts for Greece in the near future. Reg. Environ. Chang. 2011, 11, 829–843. [Google Scholar] [CrossRef]
- Keles, M.S.; Taysi, S.; Sen, N.; Aksoy, H.; Akçay, F. Effect of corticosteroid therapy on serum and CSF malondialdehyde and antioxidant proteins in multiple sclerosis. Can. J. Neurol. Sciences. Le J. Can. Des Sci. Neurol. 2001, 28, 141–143. [Google Scholar] [CrossRef] [PubMed]
- Patsoukis, N.; Zervoudakis, G.; Panagopoulos, N.T.; Georgiou, C.D.; Angelatou, F.; Matsokis, N.A. Thiol redox state (TRS) and oxidative stress in the mouse hippocampus after pentylenetetrazol-induced epileptic seizure. Neurosci. Lett. 2004, 357, 83–86. [Google Scholar] [CrossRef] [PubMed]
- Muirhead, M.; Alexander, T. Nutrition and disease. In Managing Pig Health and the Treatment of Disease. A Reference for the Farm; 5M Enterprises: Sheffield, UK, 1997; pp. 441–470. [Google Scholar]
- Godyń, D.; Herbut, P.; Angrecka, S. Impact of Fogging System on Thermal Comfort of Lactating Sows. Trans. ASABE 2018, 61, 1933–1938. [Google Scholar] [CrossRef]
- Sasaki, Y.; Fujie, M.; Nakatake, S.; Kawabata, T. Quantitative assessment of the effects of outside temperature on farrowing rate in gilts and sows by using a multivariate logistic regression model. Anim. Sci. J. Nihon Chikusan Gakkaiho 2018, 89, 1187–1193. [Google Scholar] [CrossRef] [PubMed]
- National Weather Service Central Region. Livestock Hot Weather Stress: Regional Operations Manual Letter; NWSCR (National Weather Service Central Region): Kansas City, MO, USA, 1976.
- Wu, Z.; Chen, Z.; Zang, J.; Wang, M.; Yang, H.; Ren, F.; Liu, J.; Feng, G. Cooling performance of wet curtain fan-fabric duct ventilation system in house of pregnant sows. Nongye Gongcheng Xuebao/Trans. Chin. Soc. Agric. Eng. 2018, 34, 268–276. [Google Scholar] [CrossRef]
- Cao, M.; Zong, C.; Zhuang, Y.; Teng, G.; Zhou, S.; Yang, T. Modeling of Heat Stress in Sows Part 2: Comparison of Various Thermal Comfort Indices. Animals 2021, 11, 1498. [Google Scholar] [CrossRef]
- McDonald, J.H. Kruskal-Wallis Test and Mann-Whitney U Test. In Handbook of Biological Statistics, 2nd ed.; Sparky House Publishing: Baltimore, MD, USA, 2009. [Google Scholar]
- Habibzadeh, F. How to report the results of public health research. J. Public Health Emerg. 2017, 1, 90. [Google Scholar] [CrossRef]
- Sheskin, D.J. Handbook of Parametric and Nonparametric Statistical Procedures, 5th ed.; Chapman and Hall/CRC: London, UK, 2011. [Google Scholar]
- Conover, W.J. Practical Nonparametric Statistics, 3rd ed.; Wiley: New York, NY, USA, 1999. [Google Scholar]
- Altman, D.G. Practical Statistics for Medical Research, 1st ed.; Chapman and Hall/CRC: London, UK, 1990. [Google Scholar]
- Dunn, O.J. Multiple Comparisons Using Rank Sums. Technometrics 1964, 6, 241–252. [Google Scholar] [CrossRef]
- Bewick, V.; Cheek, L.; Ball, J. Statistics review 10: Further nonparametric methods. Crit. Care 2004, 8, 196–199. [Google Scholar] [CrossRef] [PubMed][Green Version]
- Lopes, T.P.; Sanchez-Osorio, J.; Bolarin, A.; Martinez, E.A.; Roca, J. Relevance of ovarian follicular development to the seasonal impairment of fertility in weaned sows. Vet. J. 2014, 199, 382–386. [Google Scholar] [CrossRef] [PubMed]
- Prunier, A.; de Bragança, M.M.; Le Dividich, J. Influence of high ambient temperature on performance of reproductive sows. Livest. Prod. Sci. 1997, 52, 123–133. [Google Scholar] [CrossRef]
- Zhao, Y.; Flowers, W.L.; Saraiva, A.; Yeum, K.-J.; Kim, S.W. Effect of heat stress on oxidative stress status and reproductive performance of sows. J. Anim. Sci. 2011, 108. [Google Scholar]
- Palade, L.M.; Habeanu, M.; Marin, D.E.; Chedea, V.S.; Pistol, G.C.; Grosu, I.A.; Gheorghe, A.; Ropota, M.; Taranu, I. Effect of Dietary Hemp Seed on Oxidative Status in Sows during Late Gestation and Lactation and Their Offspring. Animals 2019, 9, 194. [Google Scholar] [CrossRef]
- Johnson, J.S.; Sanz Fernandez, M.V.; Gutierrez, N.A.; Patience, J.F.; Ross, J.W.; Gabler, N.K.; Lucy, M.C.; Safranski, T.J.; Rhoads, R.P.; Baumgard, L.H. Effects of in utero heat stress on postnatal body composition in pigs: I. Growing phase. J. Anim. Sci. 2015, 93, 71–81. [Google Scholar] [CrossRef] [PubMed]
- Muns, R.; Malmkvist, J.; Larsen, M.L.; Sørensen, D.; Pedersen, L.J. High environmental temperature around farrowing induced heat stress in crated sows. J. Anim. Sci. 2016, 94, 377–384. [Google Scholar] [CrossRef] [PubMed]
- Renaudeau, D.; Quiniou, N.; Noblet, J. Effects of exposure to high ambient temperature and dietary protein level on performance of multiparous lactating sows. J. Anim. Sci. 2001, 79, 1240–1249. [Google Scholar] [CrossRef] [PubMed]
- Zhao, Y.; Kim, S.W. Oxidative stress status and reproductive performance of sows during gestation and lactation under different thermal environments. Asian-Australas. J. Anim. Sci. 2020, 33, 722–731. [Google Scholar] [CrossRef] [PubMed]
- Sun, J.J.; Wang, P.; Chen, G.P.; Luo, J.; Xi, Q.Y.; Cai, G.Y.; Wu, J.H.; Zeng, B.; Xie, Y.Q.; Jiang, Q.Y.; et al. Effect of Moringa oleifera supplementation on productive performance, colostrum composition and serum biochemical indexes of sow. J. Anim. Physiol. Anim. Nutr. 2019, 104. [Google Scholar] [CrossRef] [PubMed]
- Wu, H.; Yang, J.; Wang, S.; Zhang, X.; Hou, J.; Xu, F.; Wang, Z.; Xu, L.; Diao, X. Effects of Soybean Isoflavone and Astragalus Polysaccharide Mixture on Colostrum Components, Serum Antioxidant, Immune and Hormone Levels of Lactating Sows. Animals 2021, 11, 132. [Google Scholar] [CrossRef] [PubMed]
- Jiang, X.; Lin, S.; Lin, Y.; Fang, Z.; Xu, S.; Feng, B.; Zhuo, Y.; Li, J.; Che, L.; Jiang, X.; et al. Effects of silymarin supplementation during transition and lactation on reproductive performance, milk composition and haematological parameters in sows. J. Anim. Physiol. Anim. Nutr. 2020, 104, 1896–1903. [Google Scholar] [CrossRef] [PubMed]
- Wegner, K.; Lambertz, C.; Daş, G.; Reiner, G.; Gauly, M. Climatic effects on sow fertility and piglet survival under influence of a moderate climate. Anim. Int. J. Anim. Biosci. 2014, 8, 1526–1533. [Google Scholar] [CrossRef] [PubMed]
- Zhang, H.; Wang, Z.; Liu, G.; He, J.; Su, C. Effect of dietary fat supplementation on milk components and blood parameters of early-lactating cows under heat stress. Slovak. J. Anim. Sci. 2011, 52–58. [Google Scholar]
- Ji, F.; Wu, G.; Blanton, J.R., Jr.; Kim, S.W. Changes in weight and composition in various tissues of pregnant gilts and their nutritional implications. J. Anim. Sci. 2005, 83, 366–375. [Google Scholar] [CrossRef] [PubMed]
- Kim, S.W.; Wu, G. Regulatory role for amino acids in mammary gland growth and milk synthesis. Amino Acids 2009, 37, 89–95. [Google Scholar] [CrossRef] [PubMed]
- Zhou, Y.; Xu, T.; Wu, Y.; Wei, H.; Peng, J. Oxidative Stress and Inflammation in Sows with Excess Backfat: Up-Regulated Cytokine Expression and Elevated Oxidative Stress Biomarkers in Placenta. Animals 2019, 9, 796. [Google Scholar] [CrossRef] [PubMed]
- Ganaie, A.H.; Ghasura, R.S.; Mir, N.A.; Bumla, N.A.; Sankar, G.; Wani, S.A. Biochemica and Physiological Changes during Thermal Stress in Bovines. J. Vet. Sci Technol. 2013, 4, 1000126. [Google Scholar] [CrossRef]
- Nizar, A.N.; Mudasir, S.; Hina, A.W. Oxidative stress – Threat to animal health and production. Int. J. Livest. Res. 2013, 76–83. [Google Scholar]
- Bernabucci, U.; Ronchi, B.; Lacetera, N.; Nardone, A. Markers of Oxidative Status in Plasma and Erythrocytes of Transition Dairy Cows During Hot Season. J. Dairy Sci. 2002, 85, 2173–2179. [Google Scholar] [CrossRef]
- Lord-Fontaine, S.; Averill-Bates, D.A. Heat shock inactivates cellular antioxidant defenses against hydrogen peroxide: Protection by glucose. Free. Radic. Biol. Med. 2002, 32, 752–765. [Google Scholar] [CrossRef]
- Trevisan, M.; Browne, R.; Ram, M.; Muti, P.; Freudenheim, J.; Carosella, A.M.; Armstrong, D. Correlates of markers of oxidative status in the general population. Am. J. Epidemiol. 2001, 154, 348–356. [Google Scholar] [CrossRef] [PubMed]
- Zollner, H.; Schaur, R.J.; Esterbauer, H. Biological activities of 4-hydroxyalkenals. In Oxidative Stress: Oxidants and Antioxidants; Sies, H., Ed.; Academic Press: San Diego, CA, USA, 1991; pp. 337–397. [Google Scholar]
- Fang, L.; Li, M.; Zhao, L.; Han, S.; Li, Y.; Xiong, B.; Jiang, L. Dietary grape seed procyanidins suppressed weaning stress by improving antioxidant enzyme activity and mRNA expression in weanling piglets. J. Anim. Physiol. Anim. Nutr. 2020, 104. [Google Scholar] [CrossRef] [PubMed]
- Starčević, K.; Krstulović, L.; Brozić, D.; Maurić, M.; Stojević, Z.; Mikulec, Ž.; Bajić, M.; Mašek, T. Production performance, meat composition and oxidative susceptibility in broiler chicken fed with different phenolic compounds. J. Sci. Food Agric. 2015, 95, 1172–1178. [Google Scholar] [CrossRef] [PubMed]
- Gerasopoulos, K.; Stagos, D.; Kokkas, S.; Petrotos, K.; Kantas, D.; Goulas, P.; Kouretas, D. Feed supplemented with byproducts from olive oil mill wastewater processing increases antioxidant capacity in broiler chickens. Food Chem. Toxicol. 2015, 82, 42–49. [Google Scholar] [CrossRef] [PubMed]
- Gerasopoulos, K.; Stagos, D.; Petrotos, K.; Kokkas, S.; Kantas, D.; Goulas, P.; Kouretas, D. Feed supplemented with polyphenolic byproduct from olive mill wastewater processing improves the redox status in blood and tissues of piglets. Food Chem. Toxicol. 2015, 86, 319–327. [Google Scholar] [CrossRef] [PubMed]
- Makri, S.; Kafantaris, I.; Savva, S.; Ntanou, P.; Stagos, D.; Argyroulis, I.; Kotsampasi, B.; Christodoulou, V.; Gerasopoulos, K.; Petrotos, K.; et al. Novel Feed Including Olive Oil Mill Wastewater Bioactive Compounds Enhanced the Redox Status of Lambs. In Vivo 2018, 32, 291–302. [Google Scholar] [CrossRef] [PubMed]
- Gao, X.; Giorgi, F. Increased aridity in the Mediterranean region under greenhouse gas forcing estimated from high resolution simulations with a regional climate model. Glob. Planet. Chang. 2008, 62, 195–209. [Google Scholar] [CrossRef]
- Giorgi, F. Climate change hot-spots. Geophys. Res. Lett. 2006, 33, L08707. [Google Scholar] [CrossRef]
- Intergovernmental Panel on Climate Change. Impacts, Adaptation and Vulnerability, Contribution of Working Group II to the Fourth Assessment Report of the Intergovernmental Panel on Climate Change; Cambridge University Press: Cambridge, UK, 2007. [Google Scholar]
- Kartalis, K.; Kokosis, C.; Economou, D.; Santamouris, M.; Agathangelides, I.; Polydoros, A. The Impacts of Climate Change in Development (In Greek). Available online: https://www.dianeosis.org/wp-content/uploads/2017/06/climate_change10.pdf (accessed on 15 December 2021).
- Bank of Greece. The Environmental, Economic and Social Impacts of Climate Change in Greece, Athens. Available online: https://www.bankofgreece.gr/Publications/ClimateChange_FullReport_bm.pdf (accessed on 15 December 2021).
- Solomon, S.; Qin, D.; Manning, M.; Chen, Z.; Marquis, M.; Avery, K.; Tignor, M.; Miller, H. Climate Change 2007: The Physical Science Basis. Working Group I Contribution to the Fourth Assessment Report of the IPCC. Available online: https://www.ipcc.ch/site/assets/uploads/2018/02/ar4-wg1-frontmatter-1.pdf (accessed on 15 December 2021).





| Composition (Ingredients) (kg) | GF | LF * |
| Corn | 300 | 353 |
| Barley | 280 | 200 |
| Wheat bran | 240 | 200 |
| Soybean | 120 | 170 |
| Soybean oil | 10 | 20 |
| Protein concentrate ** | 12.50 | 25 |
| Premix of vitamins/minerals *** | 30 | 40 |
| Inactive yeast **** | 5 | 5 |
| Toxin binder ***** | 3 | 3 |
| Powdered cellulose ****** Total | 5 1005.5 | 5 1021 |
| Analysis (%) | GF | LF * |
| Crude protein | 16.50 | 18.40 |
| Crude fat | 3.70 | 4.65 |
| Crude fiber | 5.00 | 4.70 |
| Lysine | 0.80 | 0.96 |
| Methionine | 0.29 | 0.33 |
| Methionine + Cystine | 0.60 | 0.63 |
| Calcium | 0.65 | 0.86 |
| Total phosphorus | 0.76 | 0.78 |
| Available phosphorus | 0.40 | 0.46 |
| Sodium | 0.24 | 0.24 |
Publisher’s Note: MDPI stays neutral with regard to jurisdictional claims in published maps and institutional affiliations. |
© 2022 by the authors. Licensee MDPI, Basel, Switzerland. This article is an open access article distributed under the terms and conditions of the Creative Commons Attribution (CC BY) license (https://creativecommons.org/licenses/by/4.0/).
Share and Cite
Papatsiros, V.G.; Katsogiannou, E.G.; Papakonstantinou, G.I.; Michel, A.; Petrotos, K.; Athanasiou, L.V. Effects of Phenolic Phytogenic Feed Additives on Certain Oxidative Damage Biomarkers and the Performance of Primiparous Sows Exposed to Heat Stress under Field Conditions. Antioxidants 2022, 11, 593. https://doi.org/10.3390/antiox11030593
Papatsiros VG, Katsogiannou EG, Papakonstantinou GI, Michel A, Petrotos K, Athanasiou LV. Effects of Phenolic Phytogenic Feed Additives on Certain Oxidative Damage Biomarkers and the Performance of Primiparous Sows Exposed to Heat Stress under Field Conditions. Antioxidants. 2022; 11(3):593. https://doi.org/10.3390/antiox11030593
Chicago/Turabian StylePapatsiros, Vasileios G., Eleni G. Katsogiannou, Georgios I. Papakonstantinou, Alfred Michel, Konstantinos Petrotos, and Labrini V. Athanasiou. 2022. "Effects of Phenolic Phytogenic Feed Additives on Certain Oxidative Damage Biomarkers and the Performance of Primiparous Sows Exposed to Heat Stress under Field Conditions" Antioxidants 11, no. 3: 593. https://doi.org/10.3390/antiox11030593
APA StylePapatsiros, V. G., Katsogiannou, E. G., Papakonstantinou, G. I., Michel, A., Petrotos, K., & Athanasiou, L. V. (2022). Effects of Phenolic Phytogenic Feed Additives on Certain Oxidative Damage Biomarkers and the Performance of Primiparous Sows Exposed to Heat Stress under Field Conditions. Antioxidants, 11(3), 593. https://doi.org/10.3390/antiox11030593

