Phenolic Thiazoles with Antioxidant and Antiradical Activity. Synthesis, In Vitro Evaluation, Toxicity, Electrochemical Behavior, Quantum Studies and Antimicrobial Screening
Abstract
:1. Introduction
2. Materials and Methods
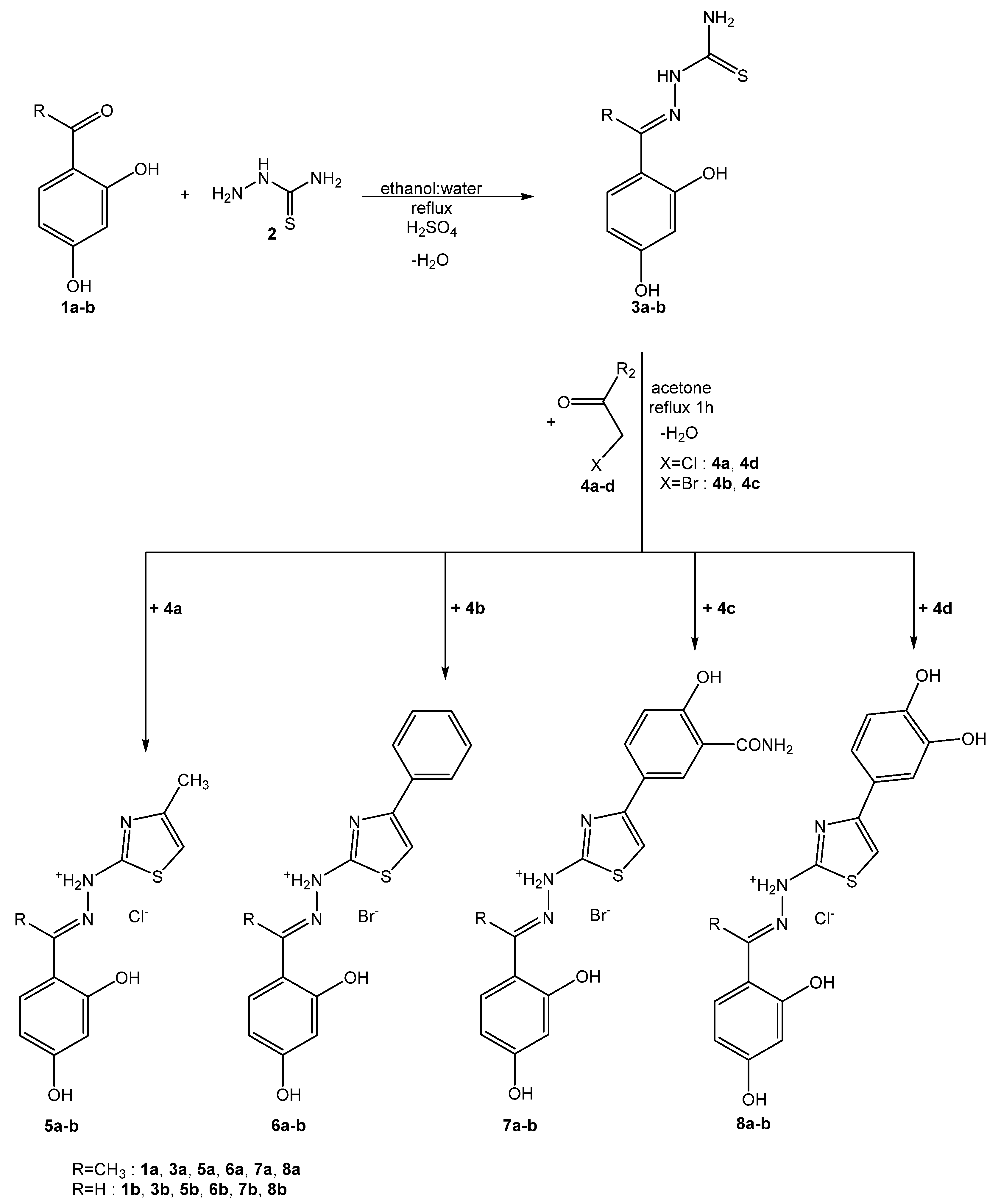
2.1. Chemistry
2.2. In Vitro Antioxidant, Antiradical and Chelation Assays
2.2.1. Antiradical Assays
ABTS˙+ Radical Scavenging Assay
DPPH˙ Radical Scavenging Assay
NO˙ Radical Scavenging Assay
2.2.2. Electron Transfer Assays
Ferric Reducing Antioxidant Potential (FRAP) Assay
Phosphomolybdate Assay for Total Antioxidant Capacity (TAC)
Reducing Power (RP) Assay
2.2.3. Ferrous and Cupric Chelation Assays
Fe2+ Chelation Assay
Cu2+ Chelation Assay
2.3. Electrochemical Behavior of Compounds
- ferric ions (Fe3+)—used to test the reduction of the antioxidant character of the compounds;
- DPPH˙ free radical– used to test the scavenging effect of the compounds on this radical;
- hydrogen peroxide (H2O2)—used to test the scavenging effect of the synthesized molecules on this compound;
- 2,2,6,6-tetramethylpiperidinyl-1-oxy (TEMPO)—used to test the scavenging effect of the synthesized molecules on this compound.
2.4. Theoretical Quantum Calculations
2.5. Antimicrobial Activity Evaluation
2.6. Cytotoxicity Studies
2.6.1. Cytotoxicity Determination
2.6.2. HaCaT Cells Integrity Evaluation
2.7. Molecular Properties with Influence on the Pharmacokinetics of Compounds
3. Results and Discussion
3.1. Chemical Synthesis and Characterization of Compounds
3.2. In Vitro Antioxidant, Antiradical and Chelation Assays
3.2.1. Antiradical Assays
ABTS˙+ Radical Scavenging Assay
DPPH˙ Radical Scavenging Assay
NO˙ Radical Scavenging Assay
3.2.2. Electron Transfer Assays
Ferric Reducing Antioxidant Potential (FRAP) Assay
Phosphomolybdate Assay for Total Antioxidant Capacity (TAC)
Reducing Power (RP) Assay
3.2.3. Ferrous and Cupric Ions Chelation Assays
Fe2+ Chelation Assay
Cu2+ Chelation Assay
3.3. Electrochemical Behavior of Compounds
- testing the reducing antioxidant power of ferric ions;
- the radical scavenging effect of the novel compounds;
- scavenging of hydrogen peroxide;
- scavenging of 2,2,6,6-tetramethylpiperidinyl-1-oxy (TEMPO).
3.4. Theoretical Quantum Calculations
3.5. Antimicrobial Activity Evaluation
3.6. Cytotoxicity Studies
3.6.1. Cytotoxicity Determination
3.6.2. HaCaT Cells’ Integrity
3.7. Molecular Properties with Influence on the Pharmacokinetics of Compounds
4. Conclusions
Supplementary Materials
Author Contributions
Funding
Institutional Review Board Statement
Informed Consent Statement
Data Availability Statement
Conflicts of Interest
Appendix A
- 1.
- Ferric ions (Fe3+) reducing antioxidant power




| Compound | Eox (V) | Iox (μA) | Eox (V) | Iox (μA) | Eox (V) | Iox (μA) | Eox (V) | Iox (μA) | Eox (V) | Iox (μA) | Ered (V) | Ired (μA) | Ered (V) | Ired (μA) |
|---|---|---|---|---|---|---|---|---|---|---|---|---|---|---|
| Fe3+/Fe2+ | 0.198 | 6.35 | - | - | - | - | - | - | - | - | 0.095 | −7.98 | - | - |
| 5a | - | - | 0.308 | 8.83 | 0.573 | 5.23 | 0.997 | 9.78 | 0.318 | −1.23 | ||||
| 5a+Fe3+/Fe2+ | 0.152 | 3.69 | 0.308 | 16.21 | 0.572 | 4.14 | 0.903 | 3.82 | 0.091 | −7.33 | 0.323 | −0.99 | ||
| 5b | 0.355 | 15.68 | 0.327 | −1.56 | ||||||||||
| 5b+Fe3+/Fe2+ | 0.152 | 5.57 | 0.342 | 22.3 | 0.505 | 1.20 | 0.506 | 8.68 | 0.806 | 8.68 | 0.093 | −8.66 | 0.323 | −1.52 |
| 6a | - | - | 0.232 | 3.04 | 0.586 | 6.79 | ||||||||
| 6a+Fe3+/Fe2+ | 0.223 | 2.74 | 0.424 | 3.82 | 0.142 | −5.88 | ||||||||
| 6b | 0.386 | 37.55 | 0.894 | 8.86 | ||||||||||
| 6b+Fe3+/Fe2+ | 0.203 | 2.48 | 0.325 | 44.78 | 0.879 | 21.84 | 0.149 | −8.26 | ||||||
| 7a | 0.205 | 4.37 | 0.493 | 1.95 | ||||||||||
| 7a+Fe3+/Fe2+ | 0.23 | 4.35 | 0.374 | 1.75 | 0.164 | −7.23 | ||||||||
| 7b | 0.347 | 2.07 | 1.065 | 2.64 | ||||||||||
| 7b+Fe3+/Fe2+ | 0.205 | 1.39 | 0.305 | 6.08 | 0.926 | 6.34 | 0.161 | −6.8 | ||||||
| 8a | 0.195 | 2.32 | 0.330 | 7.42 | 0.460 | 7.70 | 0.985 | 3.45 | 0.296 | −5.09 | ||||
| 8a+Fe3+/Fe2+ | 0.072 | 0.17 | 0.186 | 17.73 | 0.452 | 12.93 | 0.87 | 18.64 | 0.054 | −8.37 | ||||
| 8b | 0.249 | 1.02 | 0.349 | 1.76 | 0.450 | 2.29 | 0.989 | 1.17 | 0.303 | −1.97 | ||||
| 8b+Fe3+/Fe2+ | 0.083 | 0.34 | 0.227 | 28.09 | 0.449 | 28.48 | 0.79 | 15.19 | 0.079 | −8.01 | 0.279 | −2.81 |
- 2.
- The DPPH˙ radical scavenging


| Compound | Eox (V) | Iox (μA) | Eox (V) | Iox (μA) | Eox (V) | Iox (μA) | Eox (V) | Iox (μA) | Ered (V) | Ired (μA) | Ered (V) | Ired (μA) |
|---|---|---|---|---|---|---|---|---|---|---|---|---|
| DPPH | 0.396 | 16.9 | 0.333 | −7.19 | ||||||||
| 5a | 0.339 | 43.29 | 0.598 | 20.51 | 0.987 | 15.5 | 0.137 | −9.59 | ||||
| 5a+DPPH | 0.218 | 8.68 | 0.362 | 13.23 | 0.572 | 11.81 | 0.188 | −5.46 | ||||
| 5b | 0.357 | 31.76 | 0.11 | −10.26 | ||||||||
| 5b+DPPH | 0.349 | 33.3 | 0.145 | −7.56 | ||||||||
| 6a | 0.232 | 4.99 | 0.565 | 4.37 | 0.193 | −4.16 | ||||||
| 6a+DPPH | 0.379 | 18.21 | ||||||||||
| 6b | 0.391 | 47.3 | 0.239 | −7.045 | ||||||||
| 6b+DPPH | 0.391 | 43.4 | 0.302 | −1.09 | 0.425 | −1.23 | ||||||
| 7a | 0.205 | 3.21 | 0.493 | 3.95 | 0.217 | −5.26 | ||||||
| 7a+DPPH | 0.405 | 9.24 | ||||||||||
| 7b | 0.342 | 15.65 | 0.276 | −2.54 | ||||||||
| 7b+DPPH | 0.359 | 9.076 | 0.291 | −7.43 | ||||||||
| 8a | 0.193 | 3.56 | 0.325 | 6.97 | 0.459 | 22.39 | 0.935 | 6.88 | 0.278 | −18.04 | ||
| 8a+DPPH | 0.188 | 11.53 | 0.311 | 11.18 | 0.455 | 20.68 | 0.908 | 6.39 | ||||
| 8b | 0.259 | 10.92 | 0.47 | 29.61 | 0.127 | −3.52 | ||||||
| 8b+DPPH | 0.247 | 17.56 | 0.457 | 18.63 | 0.259 | −14.96 |
- 3.
- Scavenging of hydrogen peroxide



- 4.
- 2,2,6,6-tetramethylpiperidinyl-1-oxy (TEMPO) scavenging



References
- Sharifi-Rad, M.; Anil Kumar, N.V.; Zucca, P.; Varoni, E.M.; Dini, L.; Panzarini, E.; Rajkovic, J.; Tsouh Fokou, P.V.; Azzini, E.; Peluso, I.; et al. Lifestyle, Oxidative Stress, and Antioxidants: Back and Forth in the Pathophysiology of Chronic Diseases. Front. Physiol. 2020, 11, 694. [Google Scholar] [CrossRef] [PubMed]
- Pizzino, G.; Irrera, N.; Cucinotta, M.; Pallio, G.; Mannino, F.; Arcoraci, V.; Squadrito, F.; Altavilla, D.; Bitto, A. Oxidative Stress: Harms and Benefits for Human Health. Oxidative Med. Cell. Longev. 2017, 2017, 1–13. [Google Scholar] [CrossRef]
- Mic, M.; Pîrnău, A.; Floare, C.G.; Marc, G.; Franchini, A.H.; Oniga, O.; Vlase, L.; Bogdan, M. Synthesis and molecular interaction study of a diphenolic hidrazinyl-thiazole compound with strong antioxidant and antiradical activity with HSA. J. Mol. Struct. 2021, 1244, 131278. [Google Scholar] [CrossRef]
- Grozav, A.; Porumb, I.-D.; Găină, L.; Filip, L.; Hanganu, D. Cytotoxicity and Antioxidant Potential of Novel 2-(2-((1H-indol-5yl)methylene)-hydrazinyl)-thiazole Derivatives. Molecules 2017, 22, 260. [Google Scholar] [CrossRef] [Green Version]
- Jia, Y.; He, Y.; Lu, F. The structure-antioxidant activity relationship of dehydrodiferulates. Food Chem. 2018, 269, 480–485. [Google Scholar] [CrossRef] [PubMed]
- Bonner, M.Y.; Arbiser, J.L. The antioxidant paradox: What are antioxidants and how should they be used in a therapeutic context for cancer. Future Med. Chem. 2014, 6, 1413–1422. [Google Scholar] [CrossRef] [PubMed] [Green Version]
- Li, X.; Xie, Y.; Xie, H.; Yang, J.; Chen, D. π-π Conjugation Enhances Oligostilbene’s Antioxidant Capacity: Evidence from α-Viniferin and Caraphenol A. Molecules 2018, 23, 694. [Google Scholar] [CrossRef] [PubMed]
- Arshad, A.; Osman, H.; Bagley, M.C.; Lam, C.K.; Mohamad, S.; Zahariluddin, A.S.M. Synthesis and antimicrobial properties of some new thiazolyl coumarin derivatives. Eur. J. Med. Chem. 2011, 46, 3788–3794. [Google Scholar] [CrossRef]
- Makam, P.; Kankanala, R.; Prakash, A.; Kannan, T. 2-(2-Hydrazinyl)thiazole derivatives: Design, synthesis and in vitro antimycobacterial studies. Eur. J. Med. Chem. 2013, 69, 564–576. [Google Scholar] [CrossRef] [PubMed]
- Makam, P.; Thakur, P.K.; Kannan, T. In vitro and in silico antimalarial activity of 2-(2-hydrazinyl)thiazole derivatives. Eur. J. Pharm. Sci. 2014, 52, 138–145. [Google Scholar] [CrossRef]
- Bouarab-Chibane, L.; Forquet, V.; Lantéri, P.; Clément, Y.; Léonard-Akkari, L.; Oulahal, N.; Degraeve, P.; Bordes, C. Antibacterial Properties of Polyphenols: Characterization and QSAR (Quantitative Structure–Activity Relationship) Models. Front. Microbiol. 2019, 10, 829. [Google Scholar] [CrossRef] [PubMed]
- Teodoro, G.R.; Ellepola, K.; Seneviratne, C.J.; Koga-Ito, C.Y. Potential Use of Phenolic Acids as Anti-Candida Agents: A Review. Front. Microbiol. 2015, 6, 1420. [Google Scholar] [CrossRef] [Green Version]
- Núñez-Montenegro, A.; Carballo, R.; Abram, U.; Vázquez-López, E.M. Preparation and characterization of rhenium(I) complexes with thiosemicarbazone ligands derived from resorcinol. Polyhedron 2013, 65, 221–228. [Google Scholar] [CrossRef]
- Alam, M.S.; Ahmed, J.U.; Lee, D.-U. Synthesis, Antibacterial, Antioxidant Activity and QSAR Studies of Novel 2-Arylidenehydrazinyl-4-arylthiazole Analogues. Chem. Pharm. Bull. 2014, 62, 1259–1268. [Google Scholar] [CrossRef] [PubMed] [Green Version]
- Pop, B.; Ionuț, I.; Marc, G.; Vodnar, D.C.; Pîrnău, A.; Vlase, L.; Oniga, O. Development of new 2-methyl-4-salicylamide thiazole derivatives: Synthesis, antimicrobial activity evaluation, lipophilicity and molecular docking study. Farmacia 2021, 69, 724–731. [Google Scholar] [CrossRef]
- Re, R.; Pellegrini, N.; Proteggente, A.; Pannala, A.; Yang, M.; Rice-Evans, C. Antioxidant activity applying an improved ABTS radical cation decolorization assay. Free Radic. Biol. Med. 1999, 26, 1231–1237. [Google Scholar] [CrossRef]
- Marc, G.; Stana, A.; Oniga, S.D.; Pîrnău, A.; Vlase, L.; Oniga, O. New Phenolic Derivatives of Thiazolidine-2,4-dione with Antioxidant and Antiradical Properties: Synthesis, Characterization, In Vitro Evaluation, and Quantum Studies. Molecules 2019, 24, 2060. [Google Scholar] [CrossRef] [PubMed] [Green Version]
- Brand-Williams, W.; Cuvelier, M.E.; Berset, C. Use of a free radical method to evaluate antioxidant activity. LWT Food Sci. Technol. 1995, 28, 25–30. [Google Scholar] [CrossRef]
- Bedlovičová, Z.; Strapáč, I.; Baláž, M.; Salayová, A. A Brief Overview on Antioxidant Activity Determination of Silver Nanoparticles. Molecules 2020, 25, 3191. [Google Scholar] [CrossRef] [PubMed]
- Hamada, N.; Abdo, N. Synthesis, Characterization, Antimicrobial Screening and Free-Radical Scavenging Activity of Some Novel Substituted Pyrazoles. Molecules 2015, 20, 10468–10486. [Google Scholar] [CrossRef] [PubMed] [Green Version]
- Hellal, K.; Maulidiani, M.; Ismail, I.S.; Tan, C.P.; Abas, F. Antioxidant, α-Glucosidase, and Nitric Oxide Inhibitory Activities of Six Algerian Traditional Medicinal Plant Extracts and 1H-NMR-Based Metabolomics Study of the Active Extract. Molecules 2020, 25, 1247. [Google Scholar] [CrossRef] [PubMed] [Green Version]
- Alam, M.N.; Bristi, N.J.; Rafiquzzaman, M. Review on in vivo and in vitro methods evaluation of antioxidant activity. Saudi Pharm. J. 2013, 21, 143–152. [Google Scholar] [CrossRef] [Green Version]
- Benzie, I.F.F.; Strain, J.J. Ferric reducing/antioxidant power assay: Direct measure of total antioxidant activity of biological fluids and modified version for simultaneous measurement of total antioxidant power and ascorbic acid concentration. In Methods in Enzymology; Packer, L., Ed.; Academic Press: Cambridge, MA, USA, 1999; pp. 15–27. [Google Scholar]
- Baig, H.; Ahmed, D.; Zara, S.; Asghar, M.N. In vitro Evaluation of Antioxidant Properties of Different Solvent Extracts of Rumex acetosella Leaves. Orient. J. Chem. 2011, 27, 1509–1516. [Google Scholar]
- Stana, A.; Vodnar, D.C.; Marc, G.; Benedec, D.; Tiperciuc, B.; Tamaian, R.; Oniga, O. Antioxidant activity and antibacterial evaluation of new thiazolin-4-one derivatives as potential tryptophanyl-tRNA synthetase inhibitors. J. Enzym. Inhib. Med. Chem. 2019, 34, 898–908. [Google Scholar] [CrossRef] [Green Version]
- Manojlovic, N.T.; Vasiljevic, P.J.; Maskovic, P.Z.; Juskovic, M.; Bogdanovic-Dusanovic, G. Chemical Composition, Antioxidant, and Antimicrobial Activities of Lichen Umbilicaria cylindrica (L.) Delise (Umbilicariaceae). Evid. Based Complement. Altern. Med. 2012, 2012, 1–8. [Google Scholar] [CrossRef] [PubMed] [Green Version]
- Cesari, L.; Mutelet, F.; Canabady-Rochelle, L. Antioxidant properties of phenolic surrogates of lignin depolymerisation. Ind. Crops Prod. 2019, 129, 480–487. [Google Scholar] [CrossRef]
- Wu, H.-C.; Shiau, C.-Y.; Chen, H.-M.; Chiou, T.-K. Antioxidant activities of carnosine, anserine, some free amino acids and their combination. J. Food Drug Anal. 2020, 11. [Google Scholar] [CrossRef]
- Suresh Kumar, G.S.; Muthu Prabhu, A.; Bhuvanesh, N. Studies on the self-catalyzed Knoevenagel condensation, characterization, DPPH radical scavenging activity, cytotoxicity, and molecular properties of 5-arylidene-2,2-dimethyl-1,3-dioxane-4,6-diones using single crystal XRD and DFT techniques. J. Mol. Struct. 2014, 1075, 166–177. [Google Scholar] [CrossRef]
- Antonijević, M.R.; Simijonović, D.M.; Avdović, E.H.; Ćirić, A.; Petrović, Z.D.; Marković, J.D.; Stepanić, V.; Marković, Z.S. Green One-Pot Synthesis of Coumarin-Hydroxybenzohydrazide Hybrids and Their Antioxidant Potency. Antioxidants 2021, 10, 1106. [Google Scholar] [CrossRef] [PubMed]
- Hernández-Vázquez, E.; Castañeda-Arriaga, R.; Ramírez-Espinosa, J.J.; Medina-Campos, O.N.; Hernández-Luis, F.; Chaverri, J.P.; Estrada-Soto, S. 1,5-Diarylpyrazole and vanillin hybrids: Synthesis, biological activity and DFT studies. Eur. J. Med. Chem. 2015, 100, 106–118. [Google Scholar] [CrossRef]
- Pop, C.E.; Pârvu, M.; Arsene, A.L.; Pârvu, A.E.; Vodnar, D.C.; Tarcea, M.; Toiu, A.M.; Vlase, L. Investigation of antioxidant and antimicrobial potential of some extracts from hedera helix L. Farmacia 2017, 65, 624–629. [Google Scholar]
- Macavei, S.G.; Suciu, M.; Craciunescu, I.; Barbu-Tudoran, L.; Tripon, S.C.; Balan, R. Hyperthermia effects on normal and tumor skin cells. Ann. Rom. Soc. Cell Biol. 2016, 21, 11–21. [Google Scholar]
- Ciorîță, A.; Zăgrean-Tuza, C.; Moț, A.C.; Carpa, R.; Pârvu, M. The Phytochemical Analysis of Vinca L. Species Leaf Extracts Is Correlated with the Antioxidant, Antibacterial, and Antitumor Effects. Molecules 2021, 26, 3040. [Google Scholar] [CrossRef]
- Grozav, A.; Găină, L.; Pileczki, V.; Crisan, O.; Silaghi-Dumitrescu, L.; Therrien, B.; Zaharia, V.; Berindan-Neagoe, I. The Synthesis and Antiproliferative Activities of New Arylidene-Hydrazinyl-Thiazole Derivatives. Int. J. Mol. Sci. 2014, 15, 22059–22072. [Google Scholar] [CrossRef] [PubMed] [Green Version]
- Toma, V.A.; Farcaș, A.D.; Roman, I.; Sevastre, B.; Hathazi, D.; Scurtu, F.; Damian, G.; Silaghi-Dumitrescu, R. Comparative In Vivo Effects of Hemoglobin-Based Oxygen Carriers (HBOC) with Varying Prooxidant and Physiological Reactivity. PLoS ONE 2016, 11, e0153909. [Google Scholar] [CrossRef] [PubMed]
- Toma, V.A.; Tigu, A.B.; Farcaș, A.D.; Sevastre, B.; Taulescu, M.; Gherman, A.M.R.; Roman, I.; Fischer-Fodor, E.; Pârvu, M. New Aspects Towards a Molecular Understanding of the Allicin Immunostimulatory Mechanism via Colec12, MARCO, and SCARB1 Receptors. Int. J. Mol. Sci. 2019, 20, 3627. [Google Scholar] [CrossRef] [PubMed] [Green Version]
- Daina, A.; Zoete, V. A BOILED-Egg To Predict Gastrointestinal Absorption and Brain Penetration of Small Molecules. Chem. Med. Chem. 2016, 11, 1117–1121. [Google Scholar] [CrossRef] [Green Version]
- Ertl, P.; Rohde, B.; Selzer, P. Fast calculation of molecular polar surface area as a sum of fragment-based contributions and its application to the prediction of drug transport properties. J. Med. Chem. 2000, 43, 3714–3717. [Google Scholar] [CrossRef] [PubMed]
- Daina, A.; Michielin, O.; Zoete, V. SwissADME: A free web tool to evaluate pharmacokinetics, drug-likeness and medicinal chemistry friendliness of small molecules. Sci. Rep. 2017, 7, 42717. [Google Scholar] [CrossRef] [Green Version]
- Zhao, Y.H.; Abraham, M.H.; Le, J.; Hersey, A.; Luscombe, C.N.; Beck, G.; Sherborne, B.; Cooper, I. Rate-limited steps of human oral absorption and QSAR studies. Pharm. Res. 2002, 19, 1446–1457. [Google Scholar] [CrossRef] [PubMed]
- Lipinski, C.A.; Lombardo, F.; Dominy, B.W.; Feeney, P.J. Experimental and computational approaches to estimate solubility and permeability in drug discovery and development settings. Adv. Drug Deliv. Rev. 2001, 46, 3–26. [Google Scholar] [CrossRef]
- Pan, X.; Wang, H.; Li, C.; Zhang, J.Z.H.; Ji, C. MolGpka: A Web Server for Small Molecule pKa Prediction Using a Graph-Convolutional Neural Network. J. Chem. Inf. Model. 2021, 61, 3159–3165. [Google Scholar] [CrossRef]
- Santos, J.S.; Alvarenga Brizola, V.R.; Granato, D. High-throughput assay comparison and standardization for metal chelating capacity screening: A proposal and application. Food Chem. 2017, 214, 515–522. [Google Scholar] [CrossRef] [PubMed]
- Sánchez-Marzo, N.; Lozano-Sánchez, J.; Cádiz-Gurrea, M.d.l.L.; Herranz-López, M.; Micol, V.; Segura-Carretero, A. Relationships between Chemical Structure and Antioxidant Activity of Isolated Phytocompounds from Lemon Verbena. Antioxidants 2019, 8, 324. [Google Scholar] [CrossRef] [PubMed] [Green Version]
- Aree, T. β-Cyclodextrin Inclusion Complexes with Catechol-Containing Antioxidants Protocatechuic Aldehyde and Protocatechuic Acid—An Atomistic Perspective on Structural and Thermodynamic Stabilities. Molecules 2021, 26, 3574. [Google Scholar] [CrossRef] [PubMed]
- Smolyaninov, I.V.; Pitikova, O.V.; Korchagina, E.O.; Poddel’sky, A.I.; Fukin, G.K.; Luzhnova, S.A.; Tichkomirov, A.M.; Ponomareva, E.N.; Berberova, N.T. Catechol thioethers with physiologically active fragments: Electrochemistry, antioxidant and cryoprotective activities. Bioorg. Chem. 2019, 89, 103003. [Google Scholar] [CrossRef]
- Daina, A.; Michielin, O.; Zoete, V. iLOGP: A Simple, Robust, and Efficient Description of n-Octanol/Water Partition Coefficient for Drug Design Using the GB/SA Approach. J. Chem. Inf. Model. 2014, 54, 3284–3301. [Google Scholar] [CrossRef] [PubMed]
- Cheng, T.; Zhao, Y.; Li, X.; Lin, F.; Xu, Y.; Zhang, X.; Li, Y.; Wang, R.; Lai, L. Computation of Octanol−Water Partition Coefficients by Guiding an Additive Model with Knowledge. J. Chem. Inf. Model. 2007, 47, 2140–2148. [Google Scholar] [CrossRef]
- Wildman, S.A.; Crippen, G.M. Prediction of Physicochemical Parameters by Atomic Contributions. J. Chem. Inf. Comput. Sci. 1999, 39, 868–873. [Google Scholar] [CrossRef]
- Moriguchi, I.; Hirono, S.; Liu, Q.; Nakagome, I.; Matsushita, Y. Simple Method of Calculating Octanol/Water Partition Coefficient. Chem. Pharm. Bull. 1992, 40, 127–130. [Google Scholar] [CrossRef] [Green Version]








| Compound | % of ABTS˙+ Scavenged | IC50 (µg/mL) | ||||
|---|---|---|---|---|---|---|
| 0.5 µg/mL | 0.75 µg/mL | 1 µg/mL | 1.5 µg/mL | 2.5 µg/mL | ||
| 5a | 32.42 * | 37.23 * | 41.36 * | 49.77 * | 70.60 * | 1.45 * |
| 5b | 35.55 | 41.10 | 48.40 | 66.50 | 98.09 | 1.00 |
| 6a | 4.75 | 7.92 | 12.68 | 22.21 | 36.01 | 3.34 |
| 6b | 11.67 | 17.45 | 19.83 | 28.56 | 42.53 | 2.97 |
| 7a | 11.62 | 17.29 | 22.69 | 30.78 | 49.37 | 2.52 |
| 7b | 25.42 | 30.15 | 36.50 | 49.20 | 69.53 | 1.60 |
| 8a | 25.40 | 33.32 | 41.07 | 58.72 | 90.97 | 1.25 |
| 8b | 40.09 | 44.44 | 50.79 | 66.66 | 96.82 | 0.91 |
| Ascorbic acid | 9.56 | 14.32 | 20.61 | 38.24 | 64.58 | 1.97 |
| Compound | % of DPPH˙ Scavenged | IC50 (µg/mL) | ||||
|---|---|---|---|---|---|---|
| 1 µg/mL | 1.5 µg/mL | 2 µg/mL | 3 µg/mL | 5 µg/mL | ||
| 5a | 13.11 * | 20.68 * | 28.87 * | 48.22 * | 79.92 * | 3.20 * |
| 5b | 16.46 | 24.42 | 34.44 | 52.10 | 87.08 | 2.90 |
| 6a | 5.90 | 9.07 | 12.87 | 19.88 | 38.13 | 6.56 |
| 6b | 10.60 | 13.62 | 17.23 | 23.89 | 41.22 | 6.23 |
| 7a | 20.01 | 22.10 | 26.75 | 32.43 | 49.27 | 5.19 |
| 7b | 24.01 | 26.00 | 30.41 | 35.81 | 51.80 | 4.84 |
| 8a | 25.05 | 31.43 | 36.02 | 47.13 | 68.90 | 3.26 |
| 8b | 39.38 | 47.41 | 54.37 | 67.84 | 91.38 | 1.72 |
| Ascorbic acid | 19.39 | 29.10 | 38.27 | 53.42 | 80.28 | 2.89 |
| Trolox | 10.83 | 17.10 | 20.56 | 31.91 | 53.67 | 4.68 |
| Compound | % of NO˙ Scavenged |
|---|---|
| 5a | 36.26 |
| 5b | 35.63 |
| 6a | 20.58 |
| 6b | 28.35 |
| 7a | 21.44 |
| 7b | 26.33 |
| 8a | 32.72 |
| 8b | 46.30 |
| Gentisic acid | 47.33 |
| Trolox | 32.12 |
| Compound | % of Activity of Ascorbic Acid | % of Activity of Trolox | ||||
|---|---|---|---|---|---|---|
| FRAP | TAC | RP | FRAP | TAC | RP | |
| 5a | 108.32 * | 120.58 * | 74.29 * | 257.96 * | 191.31 * | 187.87 * |
| 5b | 111.30 | 144.79 | 76.28 | 230.74 | 212.14 | 192.51 |
| 6a | 44.79 | 49.90 | 23.03 | 97.65 | 73.11 | 58.11 |
| 6b | 48.24 | 73.53 | 24.47 | 105.18 | 107.73 | 61.77 |
| 7a | 72.14 | 95.10 | 43.73 | 157.28 | 139.34 | 110.36 |
| 7b | 80.05 | 109.59 | 45.90 | 174.53 | 160.56 | 115.84 |
| 8a | 86.34 | 136.68 | 76.08 | 173.34 | 200.25 | 192.01 |
| 8b | 99.71 | 150.48 | 85.03 | 215.31 | 220.47 | 214.58 |
| Compound | Chelation Capacity (%) | |||
|---|---|---|---|---|
| 50 µg/mL | 100 µg/mL | 150 µg/mL | 200 µg/mL | |
| 5a | 0.27 * | 5.06 * | 11.17 | 21.69 |
| 5b | 1.18 | 8.95 | 18.42 | 31.33 |
| 6a | 0.07 | 7.14 | 14.50 | 25.03 |
| 6b | 0.07 | 4.84 | 13.39 | 22.27 |
| 7a | 0.07 | 1.73 | 2.29 | 3.88 |
| 7b | 0.07 | 3.44 | 9.13 | 16.28 |
| 8a | 7.73 | 12.28 | 17.60 | 22.64 |
| 8b | 10.74 | 18.15 | 25.06 | 33.38 |
| EDTA-Na2 | 20.86 | 57.32 | >95.00 | >95.00 |
| Compound | Chelation Capacity (%) | ||||
|---|---|---|---|---|---|
| 3.36 µg/mL | 6.72 µg/mL | 10.08 µg/mL | 13.44 µg/mL | 16.80 µg/mL | |
| 5a | 10.74 | 14.51 | 20.10 | 28.62 | 33.67 |
| 5b | 11.58 | 15.60 | 22.76 | 28.99 | 34.10 |
| 6a | 6.33 | 10.30 | 13.65 | 15.90 | 18.67 |
| 6b | 3.84 | 6.80 | 10.44 | 14.34 | 17.07 |
| 7a | 8.76 | 16.70 | 26.63 | 34.35 | 38.88 |
| 7b | 7.23 | 11.41 | 14.46 | 19.40 | 22.72 |
| 8a | 11.13 | 17.02 | 25.14 | 34.16 | 38.91 |
| 8b | 7.34 | 11.97 | 16.62 | 20.30 | 26.71 |
| EDTA-Na2 | 12.36 | 19.61 | 29.97 | 39.18 | 45.86 |
| Compound | Eox (V) | Iox (μA) | Eox (V) | Iox (μA) | Eox (V) | Iox (μA) | ERed (V) | IRed (μA) | ERed (V) | IRed (μA) | ERed (V) | IRed (μA) |
|---|---|---|---|---|---|---|---|---|---|---|---|---|
| 5a | - | - | 0.384 | 50.85 | 0.632 | 19.21 | −0.075 | −6.62 | - | - | 0.256 | −2.17 |
| 5b | - | - | 0.425 | 69.35 | 0.632 | 5.87 | - | - | 0.085 | −0.68 | 0.286 | −2.86 |
| 6a | 0.298 | 10.73 | 0.418 | 22.48 | 0.621 | 15.03 | - | - | 0.181 | −6.84 | 0.379 | −1.19 |
| 6b | 0.296 | 5.28 | 0.467 | 44.99 | - | - | −0.08 | −2.22 | 0.070 | −1.49 | 0.401 | −5.91 |
| 7a | 0.269 | 14.75 | 0.374 | 2.06 | 0.561 | 2.69 | - | - | 0.205 | −4.65 | - | - |
| 7b | 0.267 | 13.22 | 0.412 | 15.78 | 0.543 | 6.385 | −1.11 | −0.119 | −1.45 | 0.078 | −2.49 | 0.201 |
| 8a | 0.174 | 21.51 | 0.386 | 37.08 | 0.520 | 4.87 | - | - | 0.101 | −4.79 | 0.335 | −38.91 |
| 8b | 0.166 | 2.19 | 0.508 | 40.99 | - | - | - | - | - | - | 0.325 | −40.37 |
| Compound | HOMO (eV) | LUMO (eV) | HOMO-LUMO Gap (eV) |
|---|---|---|---|
| 5a | −5.63 | −0.95 | 4.68 |
| 5b | −5.69 | −1.20 | 4.49 |
| 6a | −5.52 | −1.06 | 4.46 |
| 6b | −5.58 | −1.28 | 4.30 |
| 7a | −5.41 | −1.22 | 4.19 |
| 7b | −5.47 | −1.28 | 4.19 |
| 8a | −5.18 | −1.06 | 4.12 |
| 8b | −5.22 | −1.30 | 3.92 |
| Compound | H1 | H2 | H3 | H4 | H5 | H6 | H7 |
|---|---|---|---|---|---|---|---|
| 5a | 81.1 | 70.2 | N/A | 67.3 | 116.8 | N/A | N/A |
| 5b | 80.8 | 65.9 | 99.0 | 63.3 | 116.9 | N/A | N/A |
| 6a | 81.3 | 70.2 | N/A | 67.3 | 115.1 | N/A | N/A |
| 6b | 81.0 | 65.8 | 99.0 | 63.1 | 116.1 | N/A | N/A |
| 7a | 81.4 | 69.4 | N/A | 66.6 | 114.4 | 103.5 | 79.2 |
| 7b | 81.0 | 66.1 | 99.0 | 63.4 | 115.2 | 96.9 | 81.4 |
| 8a | 81.2 | 69.4 | N/A | 66.5 | 114.0 | 69.2 | 75.8 |
| 8b | 79.5 | 65.2 | 99.0 | 62.3 | 114.7 | 69.3 | 76.0 |
| Compound | S. aureus ATCC 25923 | S. pyogenes ATCC 19615 | P. aeruginosa ATCC 27853 | S. enterica ISM 83/37 | S. typhimurium ATCC 14028 | E. coli ATCC 8739 | E. coli ATCC 25922 | C. albicans ATCC 102310 |
|---|---|---|---|---|---|---|---|---|
| 5a | - | - | 31.2 | - | - | - | - | - |
| 5b | - | - | 31.2 | - | - | - | - | - |
| 6a | - | - | 31.2 | - | - | - | - | - |
| 6b | - | - | - | - | - | - | - | 62.5 |
| 7a | 62.4 | 31.2 | 3.9 | - | - | - | - | - |
| 7b | - | - | 15.6 | - | - | - | - | - |
| 8a | - | - | 7.8 | - | - | - | - | - |
| 8b | - | - | 31.2 | - | - | - | - | - |
| Norfloxacin | 0.48 | <0.48 | 7.8 | <0.48 | <0.48 | <0.48 | 7.8 | NT |
| Chloramphenicol | 7.8 | 3.9 | 0.48 | 3.9 | <0.48 | 7.8 | 3.9 | NT |
| Fluconazole | NT | NT | NT | NT | NT | NT | NT | 31.2 |
| Compound | IC50 (µg/mL) | IC50 (nM) |
|---|---|---|
| 5a | 30.70 | 102.41 |
| 5b | 50.34 | 176.17 |
| 6a | 126.76 | 311.99 |
| 6b | <0.50 | <1.27 |
| 7a | 35.13 | 75.50 |
| 7b | 42.36 | 93.86 |
| 8a | 44.59 | 113.22 |
| 8b | 8.54 | 22.48 |
| Ascorbic acid | 22.77 | 129.29 |
| CwHA | MW | HBA | HBD | TPSA (Å2) | GIA (%) | iLOGP | XLOGP3 | WLOGP | MLOGP | pKa |
|---|---|---|---|---|---|---|---|---|---|---|
| 5a | 263.32 | 4 | 3 | 105.98 | 72.44 | 2.19 | 2.81 | 2.51 | 0.91 | 8.0 |
| 5b | 249.29 | 4 | 3 | 105.98 | 72.44 | 1.33 | 2.59 | 2.12 | 0.63 | 8.1 |
| 6a | 325.38 | 4 | 3 | 105.98 | 72.44 | 2.37 | 4.08 | 3.87 | 1.96 | 7.9 |
| 6b | 311.36 | 4 | 3 | 105.98 | 72.44 | 1.74 | 3.85 | 3.48 | 1.72 | 8.1 |
| 7a | 384.41 | 6 | 5 | 169.30 | 50.59 | 1.81 | 3.15 | 2.67 | 0.67 | 6.5 |
| 7b | 370.38 | 6 | 5 | 169.30 | 50.59 | 1.98 | 2.93 | 2.28 | 0.43 | 6.5 |
| 8a | 357.38 | 6 | 5 | 146.44 | 58.48 | 2.08 | 3.37 | 3.28 | 0.88 | 8.0 |
| 8b | 343.36 | 6 | 5 | 146.44 | 58.48 | 1.18 | 3.14 | 2.89 | 0.64 | 7.9 |
| AA | 176.12 | 6 | 4 | 107.22 | 72.01 | −0.05 | −1.64 | −1.41 | −2.60 | 4.2 |
Publisher’s Note: MDPI stays neutral with regard to jurisdictional claims in published maps and institutional affiliations. |
© 2021 by the authors. Licensee MDPI, Basel, Switzerland. This article is an open access article distributed under the terms and conditions of the Creative Commons Attribution (CC BY) license (https://creativecommons.org/licenses/by/4.0/).
Share and Cite
Marc, G.; Stana, A.; Franchini, A.H.; Vodnar, D.C.; Barta, G.; Tertiş, M.; Şanta, I.; Cristea, C.; Pîrnău, A.; Ciorîţă, A.; et al. Phenolic Thiazoles with Antioxidant and Antiradical Activity. Synthesis, In Vitro Evaluation, Toxicity, Electrochemical Behavior, Quantum Studies and Antimicrobial Screening. Antioxidants 2021, 10, 1707. https://doi.org/10.3390/antiox10111707
Marc G, Stana A, Franchini AH, Vodnar DC, Barta G, Tertiş M, Şanta I, Cristea C, Pîrnău A, Ciorîţă A, et al. Phenolic Thiazoles with Antioxidant and Antiradical Activity. Synthesis, In Vitro Evaluation, Toxicity, Electrochemical Behavior, Quantum Studies and Antimicrobial Screening. Antioxidants. 2021; 10(11):1707. https://doi.org/10.3390/antiox10111707
Chicago/Turabian StyleMarc, Gabriel, Anca Stana, Ana Horiana Franchini, Dan Cristian Vodnar, Gabriel Barta, Mihaela Tertiş, Iulia Şanta, Cecilia Cristea, Adrian Pîrnău, Alexandra Ciorîţă, and et al. 2021. "Phenolic Thiazoles with Antioxidant and Antiradical Activity. Synthesis, In Vitro Evaluation, Toxicity, Electrochemical Behavior, Quantum Studies and Antimicrobial Screening" Antioxidants 10, no. 11: 1707. https://doi.org/10.3390/antiox10111707
APA StyleMarc, G., Stana, A., Franchini, A. H., Vodnar, D. C., Barta, G., Tertiş, M., Şanta, I., Cristea, C., Pîrnău, A., Ciorîţă, A., Dume, B., Toma, V.-A., Vlase, L., Oniga, I., & Oniga, O. (2021). Phenolic Thiazoles with Antioxidant and Antiradical Activity. Synthesis, In Vitro Evaluation, Toxicity, Electrochemical Behavior, Quantum Studies and Antimicrobial Screening. Antioxidants, 10(11), 1707. https://doi.org/10.3390/antiox10111707

