Changes in Tinnitus Characteristics and Residual Inhibition following Cochlear Implantation: A Prospective Analysis
Abstract
:1. Introduction
2. Materials and Methods
2.1. General Study Design
2.2. Questionnaires
2.3. Demographic and Hearing- and Implant-Related Factors
2.4. Statistical Analysis
3. Results
3.1. Study Population
3.2. Characteristics of the Tinnitus Population
3.3. Effect of Implantation
3.4. Associated Factors
4. Discussion
4.1. Effect of Implantation
4.2. Associated Factors
4.3. Mechanisms Underlying the Effect of Cochlear Implants on Tinnitus
4.4. Strengths and Limitations of the Study
5. Conclusions
Author Contributions
Funding
Institutional Review Board Statement
Informed Consent Statement
Data Availability Statement
Conflicts of Interest
Abbreviations
| BDI | Beck depression inventory |
| CI | Cochlear implantation |
| dB | Decibel |
| Hz | Hertz |
| LFPTA | Low-frequency pure tone average |
| RI | Residual inhibition |
| SNHL | Sensorineural hearing loss |
| SPL | Sound pressure level |
| SSD | Single-sided deafness |
| TFI | Tinnitus functional index |
| THI | Tinnitus handicap inventory |
| TSCHQ | Tinnitus sample case-history questionnaire |
References
- Coles, A.; Davis, A.C.; Haggard, M.P. Medical Research Council’s Institute of Hearing Research. Epidemiology of tinnitus. CIBA Found. Symp. 1981, 85, 16–34. [Google Scholar]
- Coles, R.R. Epidemiology of tinnitus: (1) prevalence. J. Laryngol. Otol. 1984, 98, 7–15. [Google Scholar] [CrossRef] [PubMed]
- Axelsson, A.; Ringdahl, A. Tinnitus—A study of its prevalence and characteristics. Br. J. Audiol. 1989, 23, 53–62. [Google Scholar] [CrossRef]
- McCormack, A.; Edmondson-Jones, M.; Somerset, S.; Hall, D. A systematic review of the reporting of tinnitus prevalence and severity. Hear. Res. 2016, 337, 70–79. [Google Scholar] [CrossRef]
- Hazell, J.W.; McKinney, C.J.; Aleksy, W. Mechanisms of tinnitus in profound deafness. Ann. Otol. Rhinol. Laryngol. 1995, 166, 418–420. [Google Scholar]
- Quaranta, N.; Wagstaff, S.; Baguley, D.M. Tinnitus and cochlear implantation. Int. J. Audiol. 2004, 43, 245–251. [Google Scholar] [CrossRef]
- Baguley, D.; Atlas, M.D. Cochlear implants and tinnitus. Prog. Brain Res. 2007, 166, 347–355. [Google Scholar]
- Pan, T.; Tyler, R.S.; Ji, H.; Coelho, C.; Gehringer, A.K.; Gogel, S.A. Changes in the tinnitus handicap questionnaire after cochlear implantation. Am. J. Audiol. 2009, 18, 144–151. [Google Scholar] [CrossRef]
- Bovo, R.; Ciorba, A.; Martini, A. Tinnitus and cochlear implants. Auris Nasus Larynx 2011, 38, 14–20. [Google Scholar] [CrossRef]
- Kompis, M.; Pelizzone, M.; Dillier, N.; Allum, J.; DeMin, N.; Senn, P. Tinnitus before and 6 months after cochlear implantation. Audiol. Neurootol. 2012, 17, 161–168. [Google Scholar] [CrossRef]
- Kim, D.-K.; Moon, I.S.; Lim, H.J.; Yoo, S.-Y.; Heo, K.W.; Bae, S.-C.; Moon, K.R.; Lee, J.J.; Choung, Y.-H.; Park, S.-N. Prospective, Multicenter Study on Tinnitus Changes after Cochlear Implantation. Audiol. Neurootol. 2016, 21, 165–171. [Google Scholar] [CrossRef] [PubMed]
- Ramakers, G.G.J.; Kraaijenga, V.J.C.; Smulders, Y.E.; van Zon, A.; Stegeman, I.; Stokroos, R.J.; Free, R.H.; Frijns, J.H.M.; Huinck, W.J.; Van Zanten, G.A.; et al. Tinnitus after Simultaneous and Sequential Bilateral Cochlear Implantation. Front. Surg. 2017, 4, 65. [Google Scholar] [CrossRef] [PubMed]
- Copeland, B.J.; Pillsbury, H.C., 3rd. Cochlear implantation for the treatment of deafness. Annu. Rev. Med. 2004, 55, 157–167. [Google Scholar] [CrossRef] [PubMed]
- House, W.F. Cochlear implants. Ann. Otol. Rhinol. Laryngol. 1976, 85 (Suppl. S27), 1–93. [Google Scholar] [CrossRef] [PubMed]
- Ramakers, G.G.; van Zon, A.; Stegeman, I.; Grolman, W. The effect of cochlear implantation on tinnitus in patients with bilateral hearing loss: A systematic review. Laryngoscope 2015, 125, 2584–2592. [Google Scholar] [CrossRef]
- Borges, A.L.F.; Duarte, P.L.E.S.; Almeida, R.B.S.; Ledesma, A.L.L.; Azevedo, Y.J.; Pereira, L.V.; Bahmad, F., Jr. Cochlear implant and tinnitus—A meta-analysis. Braz. J. Otorhinolaryngol. 2021, 87, 353–365. [Google Scholar] [CrossRef]
- Dixon, P.R.; Crowson, M.; Shipp, D.; Smilsky, K.; Lin, V.Y.; Le, T.; Chen, J.M. Predicting Reduced Tinnitus Burden After Cochlear Implantation in Adults. Otol. Neurotol. 2020, 41, 196–201. [Google Scholar] [CrossRef]
- Van de Heyning, P.; Vermeire, K.; Diebl, M.; Nopp, P.; Anderson, I.; De Ridder, D. Incapacitating unilateral tinnitus in single-sided deafness treated by cochlear implantation. Ann. Otol. Rhinol. Laryngol. 2008, 117, 645–652. [Google Scholar] [CrossRef]
- Buechner, A.; Brendel, M.; Lesinski-Schiedat, A.; Wenzel, G.; Frohne-Buechner, C.; Jaeger, B.; Lenarz, T. Cochlear implantation in unilateral deaf subjects associated with ipsilateral tinnitus. Otol. Neurotol. 2010, 31, 1381–1385. [Google Scholar] [CrossRef]
- Peter, N.; Liyanage, N.; Pfiffner, F.; Huber, A.; Kleinjung, T. The Influence of Cochlear Implantation on Tinnitus in Patients with Single-Sided Deafness: A Systematic Review. Otolaryngol. Head. Neck Surg. 2019, 161, 576–588. [Google Scholar] [CrossRef]
- Quaranta, N.; Fernandez-Vega, S.; D’Elia, C.; Filipo, R.; Quaranta, A. The effect of unilateral multichannel cochlear implant on bilaterally perceived tinnitus. Acta Otolaryngol. 2008, 128, 159–163. [Google Scholar] [CrossRef]
- Arts, R.A.; Netz, T.; Janssen, A.M.; George, E.L.; Stokroos, R.J. The occurrence of tinnitus after CI surgery in patients with severe hearing loss: A retrospective study. Int. J. Audiol. 2015, 54, 910–917. [Google Scholar] [CrossRef] [PubMed]
- Kloostra, F.J.J.; Arnold, R.; Hofman, R.; Van Dijk, P. Changes in Tinnitus after Cochlear Implantation and Its Relation with Psychological Functioning. Audiol. Neurotol. 2015, 20, 81–89. [Google Scholar] [CrossRef] [PubMed]
- Ramakers, G.G.J.; van Zanten, G.A.; Thomeer, H.; Stokroos, R.J.; Heymans, M.W.; Stegeman, I. Development and internal validation of a multivariable prediction model for tinnitus recovery following unilateral cochlear implantation: A cross-sectional retrospective study. BMJ Open. 2018, 8, e021068. [Google Scholar] [CrossRef]
- Meikle, M.; Henry, J.; Griest, S.; Stewart, B.J.; Abrams, H.; McArdle, R.; Myers, P.J.; Newman, C.W.; Sandridge, S.; Turk, D.C.; et al. The Tinnitus Functional Index: Development of a New Clinical Measure for Chronic, Intrusive Tinnitus. Ear Hear. 2012, 33, 153–176. [Google Scholar] [CrossRef] [PubMed]
- Hall, D.A.; Haider, H.; Szczepek, A.J.; Lau, P.; Rabau, S.; Jones-Diette, J.; Londero, A.; Edvall, N.K.; Cederroth, C.R.; Mielczarek, M.; et al. Systematic review of outcome domains and instruments used in clinical trials of tinnitus treatments in adults. Trials 2016, 17, 270. [Google Scholar] [CrossRef]
- Ramakers, G.G. Tinnitus following cochlear implantation; 10-year results of a tertiary care center. In Tinnitus and Cochlear Implantation: Impact and Outcomes; GildePrint: Enschede, The Netherlands, 2018; pp. 1–179. [Google Scholar]
- Souliere, C.R., Jr.; Kileny, P.R.; Zwolan, T.A.; Kemink, J.L. Tinnitus Suppression Following Cochlear Implantation: A Multifactorial Investigation. Arch. Otolaryngol. Head. Neck Surg. 1992, 118, 1291–1297. [Google Scholar] [CrossRef] [PubMed]
- Meikle, M.B.; Vernon, J.; Johnson, R.M. The Perceived Severity of Tinnitus: Some Observations Concerning a Large Population of Tinnitus Clinic Patients. Otolaryngol. Neck Surg. 1984, 92, 689–696. [Google Scholar] [CrossRef]
- Langguth, B.; Goodey, R.; Azevedo, A.; Bjorne, A.; Cacace, A.; Crocetti, A.; Del Bo, L.; De Ridder, D.; Diges, I.; Elbert, T.; et al. Consensus for tinnitus patient assessment and treatment outcome measurement: Tinnitus Research Initiative meeting, Regensburg, July 2006. Prog. Brain Res. 2007, 166, 525–536. [Google Scholar]
- Newman, C.; Jacobson, G.; Spitzer, J. Development of the Tinnitus Handicap Inventory. Arch. Otolaryngol. Head. Neck Surg. 2014, 122, 143–148. [Google Scholar] [CrossRef]
- Rabau, S.; Wouters, K.; Van de Heyning, P. Validation and translation of the Dutch version of the Tinnitus Functional Index. B-ENT 2014, 10, 251–258. [Google Scholar] [PubMed]
- Di Nardo, W.; Cantore, I.; Cianfrone, F.; Melillo, P.; Scorpecci, A.; Paludetti, G. Tinnitus modifications after cochlear implantation. Eur. Arch. Otorhinolaryngol. 2007, 264, 1145–1149. [Google Scholar] [CrossRef]
- Assouly, K.K.S.; van Heteren, J.A.A.; Stokroos, R.J.; Stegeman, I.; Smit, A.L. Cochlear implantation for patients with tinnitus—A systematic review. Prog. Brain Res. 2021, 260, 27–50. [Google Scholar]
- Ruckenstein, M.J.; Hedgepeth, C.; Rafter, K.O.; Montes, M.L.; Bigelow, D.C. Tinnitus suppression in patients with cochlear implants. Otol. Neurotol. 2001, 22, 200–204. [Google Scholar] [CrossRef] [PubMed]
- Dauman, R.; Tyler, R.S.; Aran, J.M. Intracochlear electrical tinnitus reduction. Acta Otolaryngol. 1993, 113, 291–295. [Google Scholar] [CrossRef] [PubMed]
- Knopke, S.; Szczepek, A.J.; Haussler, S.M.; Grabel, S.; Olze, H. Cochlear Implantation of Bilaterally Deafened Patients with Tinnitus Induces Sustained Decrease of Tinnitus-Related Distress. Front. Neurol. 2017, 8, 158. [Google Scholar] [CrossRef]
- Gomersall, P.A.; Baguley, D.M.; Carlyon, R.P. A Cross-Sectional Questionnaire Study of Tinnitus Awareness and Impact in a Population of Adult Cochlear Implant Users. Ear Hear. 2018, 40, 135. [Google Scholar] [CrossRef]
- Idriss, S.A.; Reynard, P.; Marx, M.; Mainguy, A.; Joly, C.A.; Ionescu, E.C.; Assouly, K.K.S.; Thai-Van, H. Short- and Long-Term Effect of Cochlear Implantation on Disabling Tinnitus in Single-Sided Deafness Patients: A Systematic Review. J. Clin. Med. 2022, 11, 5664. [Google Scholar] [CrossRef]
- Tyler, R.S.; Rubinstein, J.; Pan, T.; Chang, S.A.; Gogel, S.A.; Gehringer, A.; Coelho, C. Electrical Stimulation of the Cochlea to Reduce Tinnitus. Semin. Hear. 2008, 29, 326–332. [Google Scholar] [CrossRef]
- Hu, S.; Anschuetz, L.; Hall, D.A.; Caversaccio, M.; Wimmer, W. Susceptibility to Residual Inhibition Is Associated with Hearing Loss and Tinnitus Chronicity. Trends Hear. 2021, 25, 2331216520986303. [Google Scholar] [CrossRef]
- Ito, J.; Sakakihara, J. Suppression of tinnitus by cochlear implantation. Am. J. Otolaryngol. 1994, 15, 145–148. [Google Scholar] [CrossRef] [PubMed]
- Valles-Varela, H.; Royo-Lopez, J.; Carmen-Samperiz, L.; Sebastian-Cortes, J.M.; Alfonso-Collado, I. The cochlear implant as a tinnitus treatment. Acta Otorrinolaringol. Esp. 2013, 64, 253–257. [Google Scholar] [CrossRef] [PubMed]
- Summerfield, A.Q.; Barton, G.; Toner, J.; McAnallen, C.; Proops, D.; Harries, C.; Cooper, H.; Court, I.; Gray, R.; Osborne, J.; et al. Self-reported benefits from successive bilateral cochlear implantation in post-lingually deafened adults: Randomised controlled trial. Int. J. Audiol. 2006, 45 (Suppl. S1), 99–107. [Google Scholar] [CrossRef] [PubMed]
- van Zon, A.; Smulders, Y.E.; Ramakers, G.G.; Stegeman, I.; Smit, A.L.; Van Zanten, G.A.; Stokroos, R.J.; Hendrice, N.; Free, R.H.; Maat, B.; et al. Effect of unilateral and simultaneous bilateral cochlear implantation on tinnitus: A Prospective Study. Laryngoscope 2016, 126, 956–961. [Google Scholar] [CrossRef] [PubMed]
- Giraud, A.L.; Truy, E.; Frackowiak, R. Imaging plasticity in cochlear implant patients. Audiol. Neurootol. 2001, 6, 381–393. [Google Scholar] [CrossRef]
- Osaki, Y.; Nishimura, H.; Takasawa, M.; Imaizumi, M.; Kawashima, T.; Iwaki, T.; Oku, N.; Hashikawa, K.; Doi, K.; Nishimura, T.; et al. Neural mechanism of residual inhibition of tinnitus in cochlear implant users. Neuroreport 2005, 16, 1625–1628. [Google Scholar] [CrossRef]
- Giraud, A.L.; Price, C.J.; Graham, J.M.; Frackowiak, R.S. Functional plasticity of language-related brain areas after cochlear implantation. Brain 2001, 124 Pt 7, 1307–1316. [Google Scholar] [CrossRef]
- Song, J.J.; Punte, A.K.; De Ridder, D.; Vanneste, S.; Van de Heyning, P. Neural substrates predicting improvement of tinnitus after cochlear implantation in patients with single-sided deafness. Hear. Res. 2013, 299, 1–9. [Google Scholar] [CrossRef] [PubMed]
- Perez-Carpena, P.; Bibas, A.; Lopez-Escamez, J.A.; Vardonikolaki, K.; Kikidis, D. Systematic review of sound stimulation to elicit tinnitus residual inhibition. Prog. Brain Res. 2021, 262, 1–21. [Google Scholar]





| Tinnitus (n = 42) | No Tinnitus (n = 30) | p | |
|---|---|---|---|
| Age at implantation (±SD) | 58 yrs (±14) | 51 yrs (±21) | 0.140 |
| Sex (n) | 0.873 | ||
| Female | 54.8% (23) | 56.7% (17) | |
| Male | 45.2% (19) | 43.3% (13) | |
| HL duration (±SD) | 26 yrs (±17) | 27 yrs (±12) | 0.714 |
| HL laterality (n) | 0.071 | ||
| Unilateral | 11.9% (5) | 0 | |
| Bilateral | 88.1% (37) | 100% (30) | |
| HL onset (n) | 0.155 | ||
| Prelingual | 21.4% (9) | 36.7% (11) | |
| Postlingual | 78.6% (33) | 63.3% (19) | |
| PTA Implant Ear (±SD) | 96 dB HL (±15) | 98 dB HL (±13) | 0.709 |
| PTA Contralateral Ear (±SD) * | 87 dB HL (±16) | 93 dB HL (±15) | 0.177 |
| LFPTA Implant Ear (±SD) | 86 dB HL (±23) | 82 dB HL (±19) | 0.464 |
| LFPTA Contralateral Ear (±SD) * | 78 dB HL (±21) | 80 dB HL (±20) | 0.652 |
| Tinnitus (n = 42) | |||
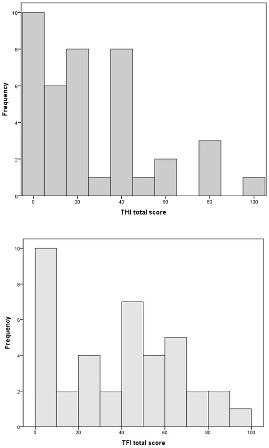
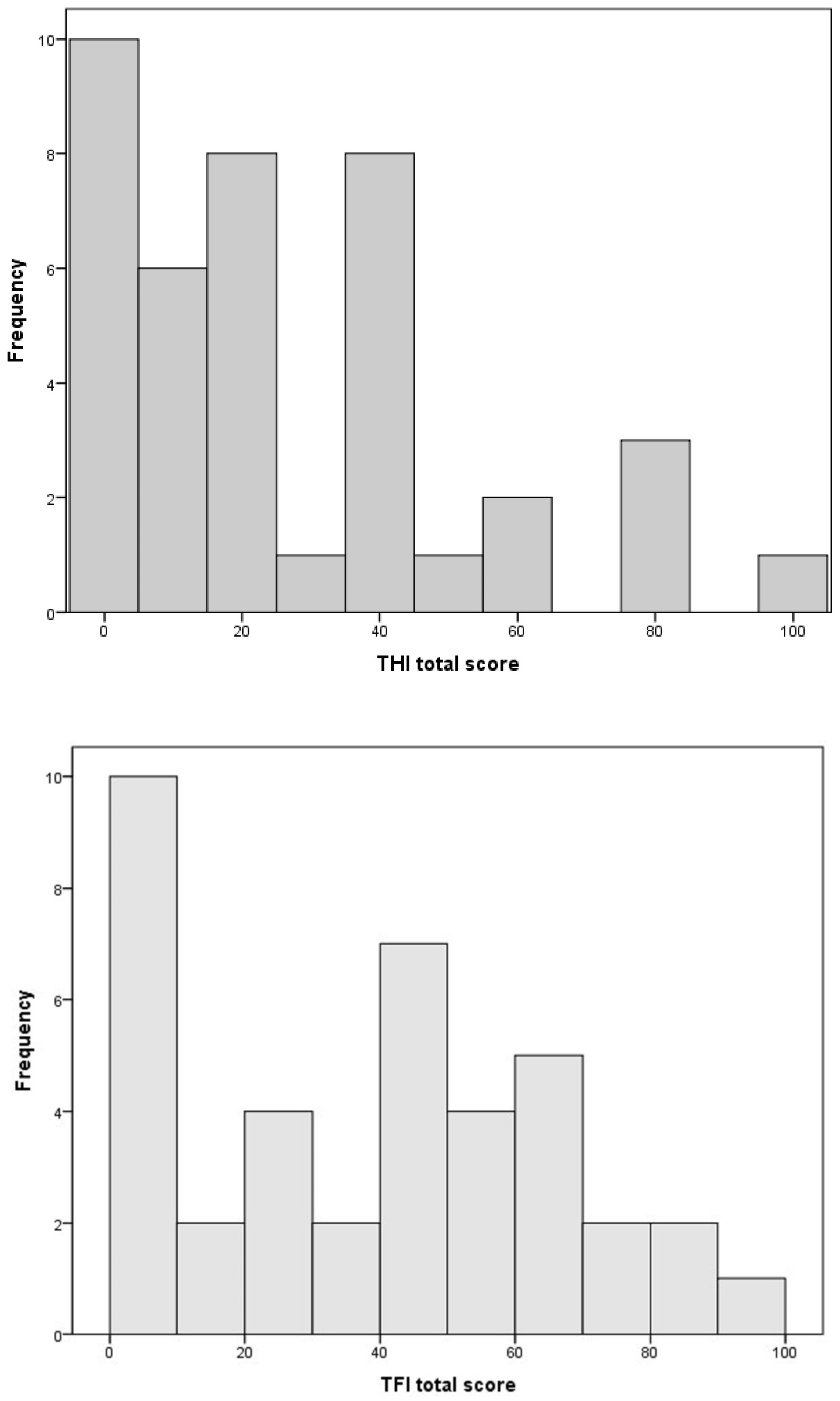
| Tinnitus severity | TFI score 38.1 (±27.6, range 0–93) THI score 22 (range 0–96) | ||
| Tinnitus main phenotype | Noise-like sound (54.8%, n = 23), ipsilateral to implanted ear (28.6%, n = 12) or bilateral (54.8%, n = 23), mid-frequency pitch (38.5%, n = 15) | ||
| Tinnitus duration | 10.9 y (±10.2, range 1–35 y) | ||
| Remitters (Total n = 18) | Non-Remitters (Total n = 12) | p | |
|---|---|---|---|
| Age at implantation (±SD) | 63 yrs (±13) | 58 yrs (±12) | 0.352 |
| Sex (n) | 0.765 | ||
| Female | 55.6% (10) | 50.0% (6) | |
| Male | 44.4% (8) | 50.0% (6) | |
| HL duration (±SD) | 22 yrs (±17) | 31 yrs (±19) | 0.204 |
| HL laterality (n) | 0.622 | ||
| Unilateral | 22.2% (4) | 8.3% (1) | |
| Bilateral | 77.8% (14) | 91.7% (11) | |
| HL onset (n) | 0.184 | ||
| Prelingual | 11.1% (2) | 33.3% (4) | |
| Postlingual | 88.9% (16) | 66.7% (8) | |
| Tinnitus duration (±SD) | 11 yrs (±9) | 9 yrs (±12) | 0.738 |
| Tinnitus type (n) | 0.726 | ||
| Tonal | 16.7% (3) | 25.0% (3) | |
| Noise-like | 55.6% (10) | 58.3% (7) | |
| Other | 27.8% (5) | 16.7% (2) | |
| Tinnitus laterality (n) | 0.198 | ||
| Ipsilateral | 38.9% (7) | 16.7% (2) | |
| Bilateral | 55.6% (10) | 58.3% (7) | |
| Unclear | 5.6% (1) | 25.0% (3) | |
| Electrode configuration (n) | 0.193 | ||
| Modiolus hugging | 66.7% (12) | 91.7% (11) | |
| Straight | 33.3% (6) | 8.3% (1) | |
| Bimodality (n) | 0.232 | ||
| Yes | 44.4% (8) | 66.7% (8) | |
| No | 55.6% (10) | 33.3% (4) | |
| PTA Implant Ear baseline (±SD) | 101 dB HL (±16) | 100 dB HL (±15) | 0.880 |
| LFPTA Implant Ear baseline (±SD) | 90 dB HL (±22) | 94 dB HL (±15) | 0.922 |
| PTA Implant Ear post-CI unaided (±SD) | 101 dB HL (±13) | 82 dB HL (±7) | 0.096 |
| LFPTA Implant Ear post-CI unaided (±SD) † | 88 dB HL (±20) | 89 dB HL (±11) | 0.052 |
| PTA Implant Ear post-CI aided (±SD) | 26 dB HL (±4) | 24 dB HL (±5) | 0.221 |
| Phoneme score at 70 dB SPL post-CI aided (±SD) | 75 dB SPL (±18) | 76 dB SPL (±15) | 0.895 |
| TFI total score baseline (±SD) | 58 (±21) | 13 (±15) | <0.001 * |
| THI total score baseline (±SD) | 42 (±27) | 12 (±16) | <0.001 * |
Disclaimer/Publisher’s Note: The statements, opinions and data contained in all publications are solely those of the individual author(s) and contributor(s) and not of MDPI and/or the editor(s). MDPI and/or the editor(s) disclaim responsibility for any injury to people or property resulting from any ideas, methods, instructions or products referred to in the content. |
© 2023 by the authors. Licensee MDPI, Basel, Switzerland. This article is an open access article distributed under the terms and conditions of the Creative Commons Attribution (CC BY) license (https://creativecommons.org/licenses/by/4.0/).
Share and Cite
Deklerck, A.N.; Swinnen, F.; Keppler, H.; Dhooge, I.J.M. Changes in Tinnitus Characteristics and Residual Inhibition following Cochlear Implantation: A Prospective Analysis. Brain Sci. 2023, 13, 1484. https://doi.org/10.3390/brainsci13101484
Deklerck AN, Swinnen F, Keppler H, Dhooge IJM. Changes in Tinnitus Characteristics and Residual Inhibition following Cochlear Implantation: A Prospective Analysis. Brain Sciences. 2023; 13(10):1484. https://doi.org/10.3390/brainsci13101484
Chicago/Turabian StyleDeklerck, Ann Nancy, Freya Swinnen, Hannah Keppler, and Ingeborg Johanna Maria Dhooge. 2023. "Changes in Tinnitus Characteristics and Residual Inhibition following Cochlear Implantation: A Prospective Analysis" Brain Sciences 13, no. 10: 1484. https://doi.org/10.3390/brainsci13101484
APA StyleDeklerck, A. N., Swinnen, F., Keppler, H., & Dhooge, I. J. M. (2023). Changes in Tinnitus Characteristics and Residual Inhibition following Cochlear Implantation: A Prospective Analysis. Brain Sciences, 13(10), 1484. https://doi.org/10.3390/brainsci13101484

