Retrospective Clinical Analysis of Epilepsy Treatment for Children with Drug-Resistant Epilepsy (A Single-Center Experience)
Abstract
1. Introduction
2. Materials and Methods
2.1. Patient Selection
2.2. Psychological Assessments
2.3. Demographic and Clinical Characteristics
2.4. Statistical Analysis
3. Results
3.1. Demographic Characteristics
3.2. Seizure Types
3.3. Etiology
3.4. Epileptic Syndrome
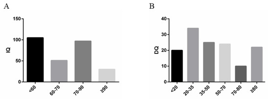
3.5. Psychological Assessment
3.6. Seizure and Psychological Outcomes
4. Discussion
5. Conclusions
Author Contributions
Funding
Institutional Review Board Statement
Informed Consent Statement
Data Availability Statement
Acknowledgments
Conflicts of Interest
References
- Camfield, P.; Camfield, C. Incidence, prevalence and aetiology of seizures and epilepsy in children. Epileptic Disord. Int. Epilepsy J. Videotape 2015, 17, 117–123. [Google Scholar] [CrossRef]
- Hong, Z. New progress of epidemiological research in epilepsy. Chin. J. Contemp. Neurol. Neurosurg. 2014, 14, 919–923. [Google Scholar] [CrossRef]
- Berg, A.; Berkovic, S.; Brodie, M.; Buchhalter, J.; Cross, J.; van Emde Boas, W.; Engel, J.; French, J.; Glauser, T.; Mathern, G.; et al. Revised terminology and concepts for organization of seizures and epilepsies: Report of the ILAE Commission on Classification and Terminology, 2005–2009. Epilepsia 2010, 51, 676–685. [Google Scholar] [CrossRef]
- Lee, K.; Lee, Y.; Seo, J.; Baumgartner, J.; Westerveld, M. Epilepsy surgery in children versus adults. J. Korean Neurosurg. Soc. 2019, 62, 328–335. [Google Scholar] [CrossRef] [PubMed]
- Wirrell, E.; Wong-Kisiel, L.; Mandrekar, J.; Nickels, K. “Predictors and course of medically intractable epilepsy in young children presenting before 36 months of age: A retrospective, population-based study. Epilepsia 2012, 53, 1563–1569. [Google Scholar] [CrossRef] [PubMed]
- Liu, C.; Wen, X.; Ge, Y.; Chen, N.; Hu, W.; Zhang, T.; Zhang, J.; Meng, F. Responsive neurostimulation for the treatment of medically intractable epilepsy. Brain Res. Bull. 2013, 97, 39–47. [Google Scholar] [CrossRef]
- Kwan, P.; Arzimanoglou, A.; Berg, A.T.; Brodie, M.J.; Allen Hauser, W.; Mathern, G.; Moshe, S.L.; Perucca, E.; Wiebe, S.; French, J. Definition of drug resistant epilepsy: Consensus proposal by the ad hoc Task Force of the ILAE Commission on Therapeutic Strategies. Epilepsia 2010, 51, 1069–1077. [Google Scholar] [CrossRef]
- De Knegt, V.E.; Hoei-Hansen, C.E.; Knudsen, M.; Jakobsen, A.V.; Muller, E.; Thomsen, K.M.; Jespersen, B.; Uldall, P.V.; Borresen, M.L. Increase in cognitive function is seen in many single-operated pediatric patients after epilepsy surgery. Seizure 2020, 81, 254–262. [Google Scholar] [CrossRef]
- Blumcke, I.; Spreafico, R.; Haaker, G.; Coras, R.; Kobow, K.; Bien, C.; Pfäfflin, M.; Elger, C.; Widman, G.; Schramm, J.; et al. Histopathological findings in brain tissue obtained during epilepsy surgery. N. Engl. J. Med. 2017, 377, 1648–1656. [Google Scholar] [CrossRef]
- Engel, J., Jr. Evolution of concepts in epilepsy surgery. Epileptic Disord. 2019, 21, 391–409. [Google Scholar] [CrossRef]
- Abouelleil, M.; Deshpande, N.; Ali, R. Emerging trends in neuromodulation for treatment of drug-resistant epilepsy. Front. Pain Res. (Lausanne) 2022, 3, 839463. [Google Scholar] [CrossRef] [PubMed]
- Starnes, K.; Miller, K.; Wong-Kisiel, L.; Lundstrom, B. A review of neurostimulation for epilepsy in pediatrics. Brain Sci. 2019, 9, 283. [Google Scholar] [CrossRef] [PubMed]
- Howard, M.; Baraban, S. Catastrophic epilepsies of childhood. Annu. Rev. Neurosci. 2017, 40, 149–166. [Google Scholar] [CrossRef] [PubMed]
- Bolocan, M.; Iacob, C.I.; Avram, E. Working memory and language contribution to verbal learning and memory in drug-resistant unilateral focal temporal lobe epilepsy. Front. Neurol. 2021, 12, 780086. [Google Scholar] [CrossRef] [PubMed]
- Depositario-Cabacar, D.; Riviello, J.; Takeoka, M. Present status of surgical intervention for children with intractable seizures. Curr. Neurol. Neurosci. Rep. 2008, 8, 123–129. [Google Scholar] [CrossRef]
- Villarejo-Ortega, F.; García-Fernández, M.; Fournier-Del Castillo, C.; Fabregate-Fuente, M.; Álvarez-Linera, J.; De Prada-Vicente, I.; Budke, M.; Ruiz-Falcó, M.; Pérez-Jiménez, M. Seizure and developmental outcomes after hemispherectomy in children and adolescents with intractable epilepsy. Child’s Nerv. Syst. ChNS Off. J. Int. Soc. Pediatr. Neurosurg. 2013, 29, 475–488. [Google Scholar] [CrossRef]
- Shankar, R.; Donner, E.; McLean, B.; Nashef, L.; Tomson, T. Sudden unexpected death in epilepsy (SUDEP): What every neurologist should know. Epileptic Disord. Int. Epilepsy J. Videotape 2017, 19, 1–9. [Google Scholar] [CrossRef]
- Shan, L.; Feng, J.Y.; Wang, T.T.; Xu, Z.D.; Jia, F.Y. Prevalence and developmental profiles of autism spectrum disorders in children with global developmental delay. Front. Psychiatry 2021, 12, 794238. [Google Scholar] [CrossRef]
- Zhang, Z.; Feng, J.; Xue, Y.; Jia, F.; Wang, T. Planning processing in ADHD with comorbid reading disabilities is worse than in ADHD: Based on Das-Naglieri Cognitive Assessment System. Front. Pediatr. 2022, 10, 898348. [Google Scholar] [CrossRef]
- Zhang, Y.; Qin, B.; Wang, L.; Chen, J.; Cai, J.; Li, T. Sex differences of language abilities of preschool children with autism spectrum disorder and their anatomical correlation with Broca and Wernicke areas. Front. Pediatr. 2022, 10, 762621. [Google Scholar] [CrossRef]
- Wieser, H.; Blume, W.; Fish, D.; Goldensohn, E.; Hufnagel, A.; King, D.; Sperling, M.; Lüders, H.; Pedley, T. ILAE Commission Report. Proposal for a new classification of outcome with respect to epileptic seizures following epilepsy surgery. Epilepsia 2001, 42, 282–286. [Google Scholar] [CrossRef] [PubMed]
- Fiest, K.; Sauro, K.; Wiebe, S.; Patten, S.; Kwon, C.; Dykeman, J.; Pringsheim, T.; Lorenzetti, D.; Jetté, N. Prevalence and incidence of epilepsy: A systematic review and meta-analysis of international studies. Neurology 2017, 88, 296–303. [Google Scholar] [CrossRef] [PubMed]
- Ngugi, A.; Bottomley, C.; Kleinschmidt, I.; Sander, J.; Newton, C. Estimation of the burden of active and life-time epilepsy: A meta-analytic approach. Epilepsia 2010, 51, 883–890. [Google Scholar] [CrossRef] [PubMed]
- Shields, W. Diagnosis of infantile spasms, Lennox-Gastaut syndrome, and progressive myoclonic epilepsy. Epilepsia 2004, 45, 2–4. [Google Scholar] [CrossRef]
- Oguni, H.; Otsuki, T.; Kobayashi, K.; Inoue, Y.; Watanabe, E.; Sugai, K.; Takahashi, A.; Hirose, S.; Kameyama, S.; Yamamoto, H.; et al. Clinical analysis of catastrophic epilepsy in infancy and early childhood: Results of the Far-East Asia Catastrophic Epilepsy (FACE) study group. Brain Dev. 2013, 35, 786–792. [Google Scholar] [CrossRef] [PubMed]
- Anyanwu, C.; Motamedi, G.K. Diagnosis and surgical treatment of drug-resistant epilepsy. Brain Sci. 2018, 8, 49. [Google Scholar] [CrossRef]
- Madaan, P.; Gupta, A.; Gulati, S. Pediatric epilepsy surgery: Indications and evaluation. Indian J. Pediatr. 2021, 88, 1000–1006. [Google Scholar] [CrossRef]
- Schoene-Bake, J.; Faber, J.; Trautner, P.; Kaaden, S.; Tittgemeyer, M.; Elger, C.; Weber, B. Widespread affections of large fiber tracts in postoperative temporal lobe epilepsy. NeuroImage 2009, 46, 569–576. [Google Scholar] [CrossRef]
- Shields, W. Catastrophic epilepsy in childhood. Epilepsia 2000, 41, S2–S6. [Google Scholar] [CrossRef]
- Dwivedi, R.; Ramanujam, B.; Chandra, P.; Sapra, S.; Gulati, S.; Kalaivani, M.; Garg, A.; Bal, C.; Tripathi, M.; Dwivedi, S.; et al. Surgery for drug-resistant epilepsy in children. N. Engl. J. Med. 2017, 377, 1639–1647. [Google Scholar] [CrossRef]
- Riney, K.; Bogacz, A.; Somerville, E.; Hirsch, E.; Nabbout, R.; Scheffer, I.; Zuberi, S.; Alsaadi, T.; Jain, S.; French, J.; et al. International league against epilepsy classification and definition of epilepsy syndromes with onset at a variable age: Position statement by the ILAE Task Force on Nosology and Definitions. Epilepsia 2022, 63, 1443–1474. [Google Scholar] [CrossRef]
- Lagae, L.; Verhelst, H.; Ceulemans, B.; De Meirleir, L.; Nassogne, M.; De Borchgrave, V.; D’Hooghe, M.; Foulon, M.; Van Bogaert, P. Treatment and long term outcome in West syndrome: The clinical reality. A multicentre follow up study. Seizure 2010, 19, 159–164. [Google Scholar] [CrossRef]
- Güveli, B.; Çokar, Ö.; Dörtcan, N.; Benbir, G.; Demirbilek, V.; Dervent, A. Long-term outcomes in patients with West syndrome: An outpatient clinical study. Seizure 2015, 25, 68–71. [Google Scholar] [CrossRef] [PubMed]
- Asadi-Pooya, A.A. Lennox-Gastaut syndrome: A comprehensive review. Neurol. Sci. 2018, 39, 403–414. [Google Scholar] [CrossRef]
- Evans, N.; Das, K. Lennox Gastaut Syndrome—A strategic shift in diagnosis over time? Seizure 2022, 103, 68–71. [Google Scholar] [CrossRef]
- Darra, F.; Battaglia, D.; Dravet, C.; Patrini, M.; Offredi, F.; Chieffo, D.; Piazza, E.; Fontana, E.; Olivieri, G.; Turrini, I.; et al. Dravet syndrome: Early electroclinical findings and long-term outcome in adolescents and adults. Epilepsia 2019, 60, S49–S58. [Google Scholar] [CrossRef] [PubMed]
- Chen, H.; Chen, C.; Hung, S.; Liang, S.; Lin, S.; Hsu, T.; Yeh, T.; Yu, H.; Lin, C.; Hsu, S.; et al. Cognitive and epilepsy outcomes after epilepsy surgery caused by focal cortical dysplasia in children: Early intervention maybe better. Child’s Nerv. Syst. ChNS Off. J. Int. Soc. Pediatr. Neurosurg. 2014, 30, 1885–1895. [Google Scholar] [CrossRef] [PubMed]
- Boshuisen, K.; van Schooneveld, M.; Leijten, F.; de Kort, G.; van Rijen, P.; Gosselaar, P.; van Nieuwenhuizen, O.; Braun, K. Contralateral MRI abnormalities affect seizure and cognitive outcome after hemispherectomy. Neurology 2010, 75, 1623–1630. [Google Scholar] [CrossRef]
- Kwon, C.; Ripa, V.; Al-Awar, O.; Panov, F.; Ghatan, S.; Jetté, N. Epilepsy and neuromodulation-randomized controlled trials. Brain Sci. 2018, 8, 69. [Google Scholar] [CrossRef]
- Ciliberto, M.A.; Limbrick, D.; Powers, A.; Titus, J.B.; Munro, R.; Smyth, M.D. Palliative hemispherotomy in children with bilateral seizure onset. J. Neurosurg. Pediatr. 2012, 9, 381–388. [Google Scholar] [CrossRef]
- Zhai, F.; Zhou, J.; Li, T.; Cui, Z.; Luan, G. Outcome of bipolar electrocoagulation with lesionectomy in the treatment of epilepsy involving eloquent areas. Stereotact. Funct. Neurosurg. 2015, 93, 1–9. [Google Scholar] [CrossRef] [PubMed]
- Baba, H.; Toda, K.; Ono, T.; Honda, R.; Baba, S. Surgical and developmental outcomes of corpus callosotomy for West syndrome in patients without MRI lesions. Epilepsia 2018, 59, 2231–2239. [Google Scholar] [CrossRef] [PubMed]
- Connor, D.; Nixon, M.; Nanda, A.; Guthikonda, B. Vagal nerve stimulation for the treatment of medically refractory epilepsy: A review of the current literature. Neurosurg. Focus 2012, 32, E12. [Google Scholar] [CrossRef] [PubMed]
- Maton, B.; Jayakar, P.; Resnick, T.; Morrison, G.; Ragheb, J.; Duchowny, M. Surgery for medically intractable temporal lobe epilepsy during early life. Epilepsia 2008, 49, 80–87. [Google Scholar] [CrossRef] [PubMed]
- Lettori, D.; Battaglia, D.; Sacco, A.; Veredice, C.; Chieffo, D.; Massimi, L.; Tartaglione, T.; Chiricozzi, F.; Staccioli, S.; Mittica, A.; et al. Early hemispherectomy in catastrophic epilepsy: A neuro-cognitive and epileptic long-term follow-up. Seizure 2008, 17, 49–63. [Google Scholar] [CrossRef]
- Lamberink, H.; Boshuisen, K.; van Rijen, P.; Gosselaar, P.; Braun, K. Changing profiles of pediatric epilepsy surgery candidates over time: A nationwide single-center experience from 1990 to 2011. Epilepsia 2015, 56, 717–725. [Google Scholar] [CrossRef]
- Edelvik, A.; Rydenhag, B.; Olsson, I.; Flink, R.; Kumlien, E.; Källén, K.; Malmgren, K. Long-term outcomes of epilepsy surgery in Sweden: A national prospective and longitudinal study. Neurology 2013, 81, 1244–1251. [Google Scholar] [CrossRef]
- Harvey, A.; Cross, J.; Shinnar, S.; Mathern, G.; Mathern, B. Defining the spectrum of international practice in pediatric epilepsy surgery patients. Epilepsia 2008, 49, 146–155. [Google Scholar] [CrossRef]
- Salmenpera, T.; Symms, M.; Rugg-Gunn, F.; Boulby, P.; Free, S.; Barker, G.; Yousry, T.; Duncan, J. Evaluation of quantitative magnetic resonance imaging contrasts in MRI-negative refractory focal epilepsy. Epilepsia 2007, 48, 229–237. [Google Scholar] [CrossRef]
- Arya, R.; Leach, J.; Horn, P.; Greiner, H.; Gelfand, M.; Byars, A.; Arthur, T.; Tenney, J.; Jain, S.; Rozhkov, L.; et al. Clinical factors predict surgical outcomes in pediatric MRI-negative drug-resistant epilepsy. Seizure 2016, 41, 56–61. [Google Scholar] [CrossRef]
- Chen, J.; Huang, Z.; Li, L.; Ren, L.; Wang, Y. Histological type of focal cortical dysplasia is associated with the risk of postsurgical seizure in children and adolescents. Ther. Clin. Risk Manag. 2019, 15, 877–884. [Google Scholar] [CrossRef] [PubMed]
- Lamberink, H.; Otte, W.; Blümcke, I.; Braun, K. Seizure outcome and use of antiepileptic drugs after epilepsy surgery according to histopathological diagnosis: A retrospective multicentre cohort study. Lancet. Neurol. 2020, 19, 748–757. [Google Scholar] [CrossRef] [PubMed]
- Rathore, C.; Abraham, M.; Rao, R.; George, A.; Sankara Sarma, P.; Radhakrishnan, K. Outcome after corpus callosotomy in children with injurious drop attacks and severe mental retardation. Brain Dev. 2007, 29, 577–585. [Google Scholar] [CrossRef] [PubMed]
- Ryvlin, P.; Gilliam, F.; Nguyen, D.; Colicchio, G.; Iudice, A.; Tinuper, P.; Zamponi, N.; Aguglia, U.; Wagner, L.; Minotti, L.; et al. The long-term effect of vagus nerve stimulation on quality of life in patients with pharmacoresistant focal epilepsy: The PuLsE (Open Prospective Randomized Long-term Effectiveness) trial. Epilepsia 2014, 55, 893–900. [Google Scholar] [CrossRef] [PubMed]
- Veersema, T.; van Schooneveld, M.; Ferrier, C.; van Eijsden, P.; Gosselaar, P.; van Rijen, P.; Spliet, W.; Mühlebner, A.; Aronica, E.; Braun, K. Cognitive functioning after epilepsy surgery in children with mild malformation of cortical development and focal cortical dysplasia. Epilepsy Behav. E 2019, 94, 209–215. [Google Scholar] [CrossRef] [PubMed]
- Hirtz, D.; Berg, A.; Bettis, D.; Camfield, C.; Camfield, P.; Crumrine, P.; Gaillard, W.; Schneider, S.; Shinnar, S. Practice parameter: Treatment of the child with a first unprovoked seizure: Report of the Quality Standards Subcommittee of the American Academy of Neurology and the Practice Committee of the Child Neurology Society. Neurology 2003, 60, 166–175. [Google Scholar] [CrossRef] [PubMed]
- Zhang, Z.; Liao, W.; Wang, Z.; Xu, Q.; Yang, F.; Mantini, D.; Jiao, Q.; Tian, L.; Liu, Y.; Lu, G. Epileptic discharges specifically affect intrinsic connectivity networks during absence seizures. J. Neurol. Sci. 2014, 336, 138–145. [Google Scholar] [CrossRef]
- Braun, K. Influence of epilepsy surgery on developmental outcomes in children. Eur. J. Paediatr. Neurol. EJPN Off. J. Eur. Paediatr. Neurol. Soc. 2020, 24, 40–42. [Google Scholar] [CrossRef]
- Iwasaki, M.; Iijima, K.; Kawashima, T.; Tachimori, H.; Takayama, Y.; Kimura, Y.; Kaneko, Y.; Ikegaya, N.; Sumitomo, N.; Saito, T.; et al. Epilepsy surgery in children under 3 years of age: Surgical and developmental outcomes. J. Neurosurg. Pediatr. 2021, 28, 395–403. [Google Scholar] [CrossRef]





| Clinical Characteristics | AEDs | Palliative Surgery | p |
|---|---|---|---|
| Gender, n (%) | 0.629 | ||
| Male | 92 (39.5) | 65 (27.9) | |
| Female | 42 (18.0) | 34 (14.6) | |
| Age | 8.02 ± 3.69 | 8.20 ± 3.86 | 0.718 |
| Age at seizure onset | 3.17 ± 3.14 | 3.31 ± 3.12 | 0.723 |
| Duration of seizures | 4.86 ± 3.20 | 4.86 ± 2.77 | 0.992 |
| Duration of AEDs | 38.48 ± 37.55 | 41.71 ± 37.93 | 0.519 |
| Seizure types, n (%) | 0.275 | ||
| Partial seizure only | 8 (3.4) | 7 (3.0) | |
| Generalized seizure only | 59 (25.3) | 53 (22.7) | |
| Generalized and partial seizure | 67 (28.8) | 39 (16.7) | |
| Brain MRI, n (%) | 0.054 | ||
| Normal or basal ganglia | 33 (14.2) | 15 (6.4) | |
| Unilateral | 26 (11.2) | 31 (13.3) | |
| Bilateral | 75 (32.2) | 53 (22.7) | |
| Interictal EEG, n (%) | 0.095 | ||
| Unilateral | 24 (10.3) | 10 (4.3) | |
| Bilateral | 110 (47.2) | 89 (38.2) | |
| Ictal onset rhythms, n (%) | 0.492 | ||
| Not captured | 18 (7.7) | 10 (4.3) | |
| Unilateral | 12 (5.2) | 6 (2.6) | |
| Bilateral | 104 (44.6) | 83 (35.6) | |
| PET, n (%) | 0.715 | ||
| No | 117 (50.2) | 88 (37.8) | |
| Yes | 17 (7.3) | 11 (4.7) | |
| MEG, n (%) | 0.745 | ||
| No | 99 (42.5) | 75 (32.2) | |
| Yes | 35 (15.0) | 24 (10.3) | |
| Invasive EEG, n (%) | 0.166 | ||
| No | 133 (57.1) | 95 (40.8) | |
| Yes | 1 (0.4) | 4 (1.7) | |
| Seizure outcome, n (%) | 0.019* | ||
| Favorable outcome | 7 (3.0) | 14 (6.0) | |
| Unfavorable outcome | 127 (54.5) | 85 (36.5) | |
| Etiology (%) | 0.560 | ||
| Unknown | 59 (25.3) | 42 (18.0) | |
| Other miscellaneous | 39 (16.7) | 27 (11.6) | |
| Infection | 9 (3.9) | 12 (5.2) | |
| Hypoxic encephalopathy | 27 (11.6) | 18 (7.7) |
| Variable | Univariate Analysis | ||
|---|---|---|---|
| Favorable Outcomes | Unfavorable Outcomes | p | |
| Gender, n (%) | |||
| Male | 92 (49.7) | 23 (12.4) | 0.261 |
| Female | 51 (27.6) | 19 (10.3) | |
| Age at surgery | 8.19 ± 3.87 | 8.93 ± 4.00 | 0.281 |
| Age at seizure onset | 4.42 ± 3.40 | 3.18 ± 2.80 | 0.032 * |
| Duration of seizures | 3.78 ± 2.91 | 5.76 ± 3.60 | 0.009 * |
| Duration of AEDs | 29.80 ± 25.97 | 43.00 ± 36.30 | 0.021 * |
| Seizure types, n (%) | 0.200 | ||
| Partial seizure only | 49 (26.5) | 10 (5.4) | |
| Generalized seizure only | 30 (16.2) | 14 (7.6) | |
| Generalized and partial seizure | 64 (34.6) | 18 (9.7) | |
| Brain MRI, n (%) | 0.254 | ||
| Normal or basal ganglia | 5 (2.7) | 4 (2.2) | |
| Unilateral | 103 (55.7) | 27 (14.6) | |
| Bilateral | 35 (18.9) | 11 (5.9) | |
| Interictal EEG, n (%) | 0.943 | ||
| Unilateral | 57 (30.8) | 17 (9.2) | |
| Bilateral | 86 (46.5) | 25(13.5) | |
| Ictal onset rhythms, n (%) | 0.021 * | ||
| Not captured | 20 (10.8) | 3 (1.6) | |
| Unilateral | 78 (42.2) | 16 (8.6) | |
| Bilateral | 45 (24.3) | 23 (12.4) | |
| Invasive EEG, n (%) | 0.088 | ||
| No | 127 (68.6) | 33 (17.8) | |
| Yes | 16 (8.6) | 9 (4.9) | |
| PET, n (%) | 0.857 | ||
| No | 107 (57.8) | 32 (17.3) | |
| Yes | 36 (19.5) | 10 (5.4) | |
| MEG, n (%) | 0.158 | ||
| No | 79 (42.7) | 18 (9.7) | |
| Yes | 64 (34.6) | 24 (13.0) | |
| Etiology, n (%) | 0.292 | ||
| FCD | 52 (31.9) | 19 (10.3) | |
| Tumors | 29 (15.7) | 4 (2.2) | |
| Hypoxic-ischemic encephalopathy | 13 (7.0) | 6 (3.2) | |
| Others | 49 (26.5) | 13 (7.0) | |
| Variables | OR | 95%CI | p |
|---|---|---|---|
| Age at seizure onset | 0.948 | 0.840–1.069 | 0.382 |
| Duration of seizures | 1.299 | 1.115–1.513 | 0.001 * |
| Duration of AEDs | 0.996 | 0.982–1.009 | 0.544 |
| Ictal onset rhythms | |||
| Not captured | Ref. | ||
| Unilateral | 4.099 | 1.075–15.636 | 0.039 * |
| Bilateral | 2.543 | 0.695–9.300 | 0.158 |
| Invasive EEG | 0.882 | 0.389–2.002 | 0.764 |
| MEG | 1.494 | 0.742–3.006 | 0.261 |
Disclaimer/Publisher’s Note: The statements, opinions and data contained in all publications are solely those of the individual author(s) and contributor(s) and not of MDPI and/or the editor(s). MDPI and/or the editor(s) disclaim responsibility for any injury to people or property resulting from any ideas, methods, instructions or products referred to in the content. |
© 2022 by the authors. Licensee MDPI, Basel, Switzerland. This article is an open access article distributed under the terms and conditions of the Creative Commons Attribution (CC BY) license (https://creativecommons.org/licenses/by/4.0/).
Share and Cite
Liu, C.; Hu, Y.; Zhou, J.; Guan, Y.; Wang, M.; Qi, X.; Wang, X.; Zhang, H.; Adilijiang, A.; Li, T.; et al. Retrospective Clinical Analysis of Epilepsy Treatment for Children with Drug-Resistant Epilepsy (A Single-Center Experience). Brain Sci. 2023, 13, 14. https://doi.org/10.3390/brainsci13010014
Liu C, Hu Y, Zhou J, Guan Y, Wang M, Qi X, Wang X, Zhang H, Adilijiang A, Li T, et al. Retrospective Clinical Analysis of Epilepsy Treatment for Children with Drug-Resistant Epilepsy (A Single-Center Experience). Brain Sciences. 2023; 13(1):14. https://doi.org/10.3390/brainsci13010014
Chicago/Turabian StyleLiu, Changqing, Yue Hu, Jian Zhou, Yuguang Guan, Mengyang Wang, Xueling Qi, Xiongfei Wang, Huawei Zhang, Aihemaitiniyazi Adilijiang, Tiemin Li, and et al. 2023. "Retrospective Clinical Analysis of Epilepsy Treatment for Children with Drug-Resistant Epilepsy (A Single-Center Experience)" Brain Sciences 13, no. 1: 14. https://doi.org/10.3390/brainsci13010014
APA StyleLiu, C., Hu, Y., Zhou, J., Guan, Y., Wang, M., Qi, X., Wang, X., Zhang, H., Adilijiang, A., Li, T., & Luan, G. (2023). Retrospective Clinical Analysis of Epilepsy Treatment for Children with Drug-Resistant Epilepsy (A Single-Center Experience). Brain Sciences, 13(1), 14. https://doi.org/10.3390/brainsci13010014

