Regular Vigorous-Intensity Physical Activity and Walking Are Associated with Divergent but not Convergent Thinking in Japanese Young Adults
Abstract
:1. Introduction
2. Materials and Methods
2.1. Participants and Procedure
2.2. Measures of Regular PA
2.3. Measures of Creative Thinking
2.4. Intervention
2.5. Statistical Analysis
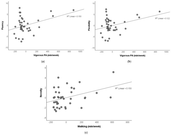
3. Results
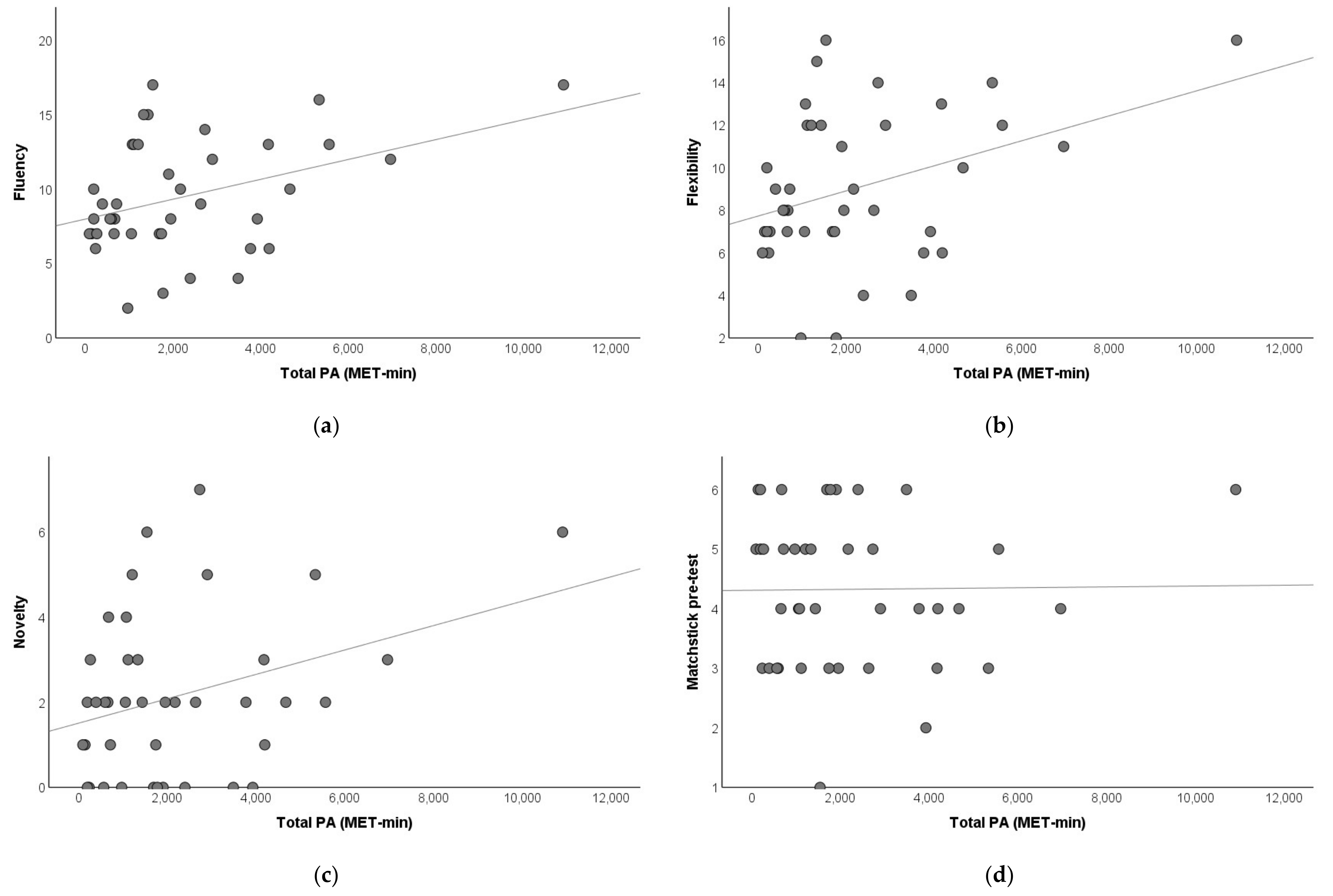
3.1. Regular PA and Divergent and Convergent Thinking at Baseline
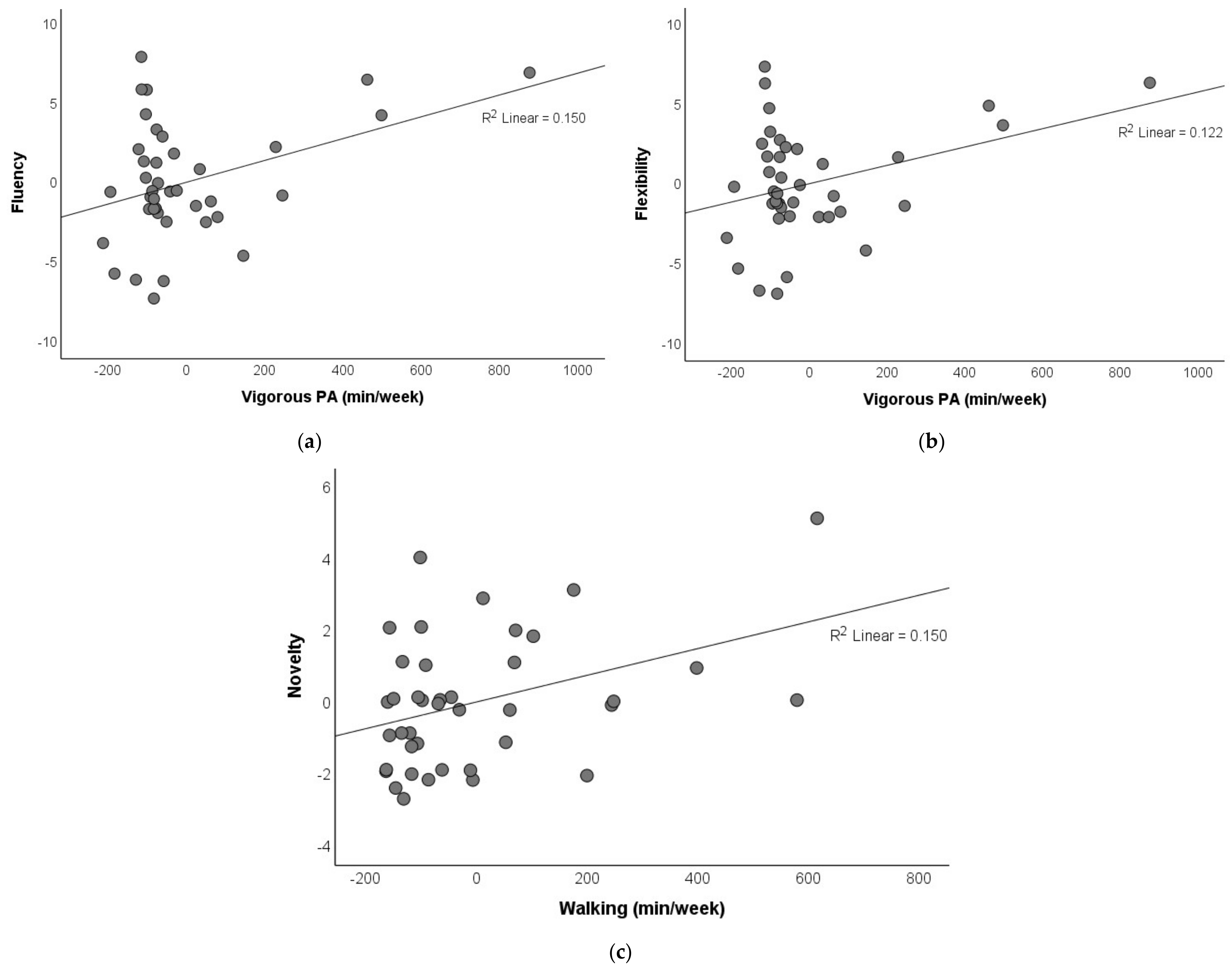
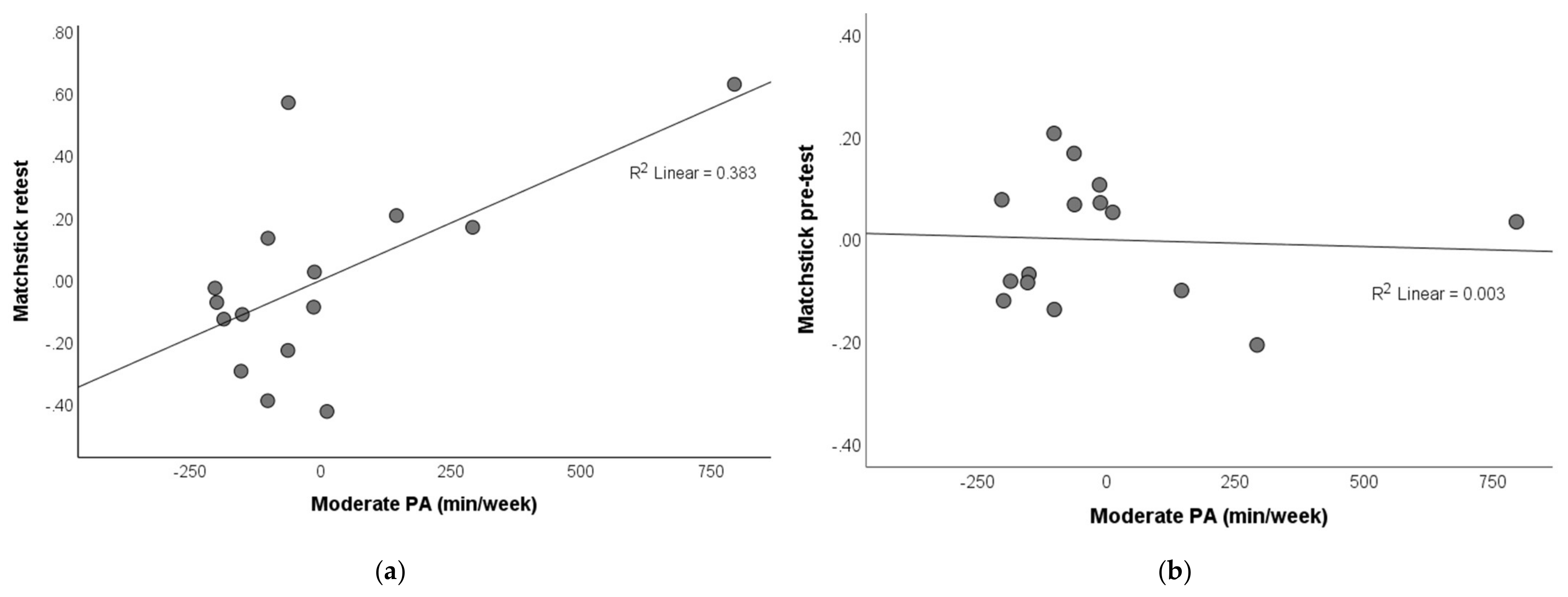
3.2. Regular PA and Acute Aerobic Exercise Intervention Effects
4. Discussion
5. Conclusions
Supplementary Materials
Author Contributions
Funding
Institutional Review Board Statement
Informed Consent Statement
Data Availability Statement
Acknowledgments
Conflicts of Interest
References
- World Health Organization. WHO Guidelines on Physical Activity and Sedentary Behaviour; World Health Organization: Geneva, Switzerland, 2020. [Google Scholar]
- Smith, P.J.; Blumenthal, J.A.; Hoffman, B.M.; Cooper, H.; Strauman, T.A.; Welsh-Bohmer, K.; Browndyke, J.N.; Sherwood, A. Aerobic exercise and neurocognitive performance: A meta-analytic review of randomized controlled trials. Psychosom. Med. 2010, 72, 239. [Google Scholar] [CrossRef]
- Guiney, H.; Machado, L. Benefits of regular aerobic exercise for executive functioning in healthy populations. Psychon. Bull. Rev. 2013, 20, 73–86. [Google Scholar] [CrossRef]
- De Greeff, J.W.; Bosker, R.J.; Oosterlaan, J.; Visscher, C.; Hartman, E. Effects of physical activity on executive functions, attention and academic performance in preadolescent children: A meta-analysis. J. Sci. Med. Sport 2018, 21, 501–507. [Google Scholar] [CrossRef] [PubMed]
- Erickson, K.I.; Hillman, C.; Stillman, C.M.; Ballard, R.M.; Bloodgood, B.; Conroy, D.E.; Macko, R.; Marquez, D.X.; Petruzello, S.J.; Powell, K.E. Physical activity, cognition, and brain outcomes: A review of the 2018 physical activity guidelines. Med. Sci. Sports Exerc. 2019, 51, 1242. [Google Scholar] [CrossRef]
- Guilford, J.P. The Nature of Human Intelligence; McGraw-Hill: New York, NY, USA, 1967. [Google Scholar]
- Runco, M.A. Testing creativity. In International Encyclopedia of Education, 3rd ed.; Peterson, P., Baker, E., McGaw, B., Eds.; Elsevier Ltd.: Amsterdam, The Netherlands, 2010; pp. 170–174. [Google Scholar]
- Hennessey, B.A.; Amabile, T.M. Creativity. Annu. Rev. Psychol. 2010, 61, 569–598. [Google Scholar] [CrossRef] [PubMed]
- Guilford, J.P. Alternate Uses; Form, A., Ed.; Sheridan Supply: Beverly Hills, CA, USA, 1960. [Google Scholar]
- Torrance, P.E. Torrance Tests of Creative Thinking; Personnel Press: Princeton, NJ, USA, 1966. [Google Scholar]
- Mednick, M.T.; Mednick, S.A.; Mednick, E.V. Incubation of creative performance and specific associative priming. J. Abnorm. Soc. Psychol. 1964, 69, 84–88. [Google Scholar] [CrossRef] [PubMed]
- Bowden, E.M.; Jung-Beeman, M. Normative data for compound remote associate problems. Behav. Res. Methods Instrum. Comput. 2003, 35, 634–639. [Google Scholar] [CrossRef] [Green Version]
- Knoblich, G.; Ohlsson, S.; Haider, H.; Rhenius, D. Constraint relaxation and chunk decomposition in insight problem solving. J. Exp. Psychol. Learn. Mem. Cogn. 1999, 25, 1534. [Google Scholar] [CrossRef]
- Colzato, L.S.; Ozturk, A.; Hommel, B. Meditate to create: The impact of focused-attention and open-monitoring training on convergent and divergent thinking. Front. Psychol. 2012, 3, 116. [Google Scholar] [CrossRef] [PubMed] [Green Version]
- Aga, K.; Inamura, M.; Chen, C.; Hagiwara, K.; Yamashita, R.; Hirotsu, M.; Takao, A.; Fujii, Y.; Matsubara, T.; Nakagawa, S. The Effect of Acute Aerobic Exercise on Divergent and Convergent Thinking and Its Influence by Mood. Brain Sci. 2021, 11, 546. [Google Scholar] [CrossRef]
- Oppezzo, M.; Schwartz, D.L. Give your ideas some legs: The positive effect of walking on creative thinking. J. Exp. Psychol. Learn. Mem. Cogn. 2014, 40, 1142. [Google Scholar] [CrossRef] [Green Version]
- Gondola, J.C.; Tuckman, B.W. Effects of a systematic program of exercise on selected measures of creativity. Percept. Mot. Ski. 1985, 60, 53–54. [Google Scholar] [CrossRef] [PubMed]
- Gondola, J.C. The enhancement of creativity through long and short term exercise programs. J. Soc. Behav. Personal. 1986, 1, 77–82. [Google Scholar]
- Tuckman, B.W.; Hinkle, J.S. An experimental study of the physical and psychological effects of aerobic exercise on schoolchildren. Health Psychol. 1986, 5, 197. [Google Scholar] [CrossRef] [PubMed]
- Hinkle, J.S.; Tuckman, B.W.; Sampson, J.P. The psychology, physiology, and creativity of middle school aerobic exercisers. Elem. Sch. Guid. Couns. 1993, 28, 133–145. [Google Scholar]
- Herman-Tofler, L.R.; Tuckman, B.W. The effects of aerobic training on children’s creativity, self-perception, and aerobic power. Child Adolesc. Psychiatr. Clin. 1998, 7, 773–790. [Google Scholar] [CrossRef]
- Pedro Ángel, L.R.; Beatriz, B.A.; Jerónimo, A.V.; Antonio, P.V. Effects of a 10-week active recess program in school setting on physical fitness, school aptitudes, creativity and cognitive flexibility in elementary school children. A randomised-controlled trial. J. Sports Sci. 2021, 39, 1277–1286. [Google Scholar] [CrossRef]
- Cavallera, G.M.; Boari, G.; Labbrozzi, D.; Bello, E.D. Morningness-eveningness personality and creative thinking among young people who play recreational sport. Soc. Behav. Personal. 2011, 39, 503–518. [Google Scholar] [CrossRef]
- Rominger, C.; Fink, A.; Weber, B.; Papousek, I.; Schwerdtfeger, A.R. Everyday bodily movement is associated with creativity independently from active positive affect: A Bayesian mediation analysis approach. Sci. Rep. 2020, 10, 1–9. [Google Scholar] [CrossRef]
- Nakagawa, T.; Koan, I.; Chen, C.; Matsubara, T.; Hagiwara, K.; Lei, H.; Hirotsu, M.; Yamagata, H.; Nakagawa, S. Regular moderate-to vigorous-intensity physical activity rather than walking is associated with enhanced cognitive functions and mental health in young adults. Int. J. Environ. Res. Public Health 2020, 17, 614. [Google Scholar] [CrossRef] [Green Version]
- Piya-Amornphan, N.; Santiworakul, A.; Cetthakrikul, S.; Srirug, P. Physical activity and creativity of children and youths. BMC Pediatrics 2020, 20, 1–7. [Google Scholar] [CrossRef] [PubMed]
- Physical Activity Guidelines Advisory Committee. 2018 Physical Activity Guidelines Advisory Committee Scientific Report; Department of Health and Human Services: Washington, DC, USA, 2018.
- Hoffman, M.D.; Hoffman, D.R. Exercisers achieve greater acute exercise-induced mood enhancement than nonexercisers. Arch. Phys. Med. Rehabil. 2008, 89, 358–363. [Google Scholar] [CrossRef]
- Hallgren, M.Å.; Moss, N.D.; Gastin, P. Regular exercise participation mediates the affective response to acute bouts of vigorous exercise. J. Sports Sci. Med. 2010, 9, 629. [Google Scholar]
- Parfitt, G.; Markland, D.; Holmes, C. Responses to physical exertion in active and inactive males and females. J. Sport Exerc. Psychol. 1994, 16, 178–186. [Google Scholar] [CrossRef]
- Boutcher, S.H.; McAuley, E.; Courneya, K.S. Positive and negative affective response of trained and untrained subjects during and after aerobic exercise. Aust. J. Psychol. 1997, 49, 28–32. [Google Scholar] [CrossRef]
- Daley, A.J.; Welch, A. Subjective exercise experiences during and after high and low intensity exercise in active and inactive adult females: Some preliminary findings. J. Sports Med. Phys. Fit. 2003, 43, 220. [Google Scholar]
- Craig, C.L.; Marshall, A.L.; Sjöström, M.; Bauman, A.E.; Booth, M.L.; Ainsworth, B.E.; Oja, P. International physical activity questionnaire: 12-country reliability and validity. Med. Sci. Sports Exerc. 2003, 35, 1381–1395. [Google Scholar] [CrossRef] [PubMed] [Green Version]
- Runco, M.A.; Acar, S. Divergent thinking as an indicator of creative potential. Creat. Res. J. 2012, 24, 66–75. [Google Scholar] [CrossRef]
- Reiter-Palmon, R.; Forthmann, B.; Barbot, B. Scoring divergent thinking tests: A review and systematic framework. Psychol. Aesthet. Creat. Arts 2019, 13, 144. [Google Scholar] [CrossRef]
- Czyz-Szypenbej, K.; Medrzycka-Dabrowska, W.; Sak-Dankosky, N. Neurocognitive Testing—Do We Lack in Expertise? Crit. Care Med. 2019, 47, e531. [Google Scholar] [CrossRef]
- Tago, A. Atama No Taiso Best [Mental Gymnastics: Best]; Kobunsha: Tokyo, Japan, 2009; pp. 55, 56, 75, 76, 133, 134. [Google Scholar]
- Colzato, L.S.; Szapora Ozturk, A.; Pannekoek, J.N.; Hommel, B. The impact of physical exercise on convergent and divergent thinking. Front. Hum. Neurosci. 2013, 7, 824. [Google Scholar] [CrossRef] [PubMed] [Green Version]
- Bonett, D.G.; Wright, T.A. Sample size requirements for estimating Pearson, Kendall and Spearman correlations. Psychometrika 2000, 65, 23–28. [Google Scholar] [CrossRef]
- Zhu, W. Sadly, the earth is still round (p < 0.05). J. Sport Health Sci. 2012, 1, 9–11. [Google Scholar]
- Hötting, K.; Schickert, N.; Kaiser, J.; Röder, B.; Schmidt-Kassow, M. The effects of acute physical exercise on memory, peripheral BDNF, and cortisol in young adults. Neural Plast. 2016, 2016, 12. [Google Scholar] [CrossRef] [PubMed] [Green Version]
- Stimpson, N.J.; Davison, G.; Javadi, A.H. Joggin’ the noggin: Towards a physiological understanding of exercise-induced cognitive benefits. Neurosci. Biobehav. Rev. 2018, 88, 177–186. [Google Scholar] [CrossRef]
- Hattori, S.; Naoi, M.; Nishino, H. Striatal dopamine turnover during treadmill running in the rat: Relation to the speed of running. Brain Res. Bull. 1994, 35, 41–49. [Google Scholar] [CrossRef]
- Aarts, E.; van Holstein, M.; Cools, R. Striatal dopamine and the interface between motivation and cognition. Front. Psychol. 2011, 2, 163. [Google Scholar] [CrossRef] [Green Version]
- Clayton, R.; Thomas, C.; Smothers, J. How to do Walking Meetings Right. Harvard Business Review. 2015. Available online: https://hbr.org/2015/08/how-to-do-walking-meetings-right (accessed on 26 July 2021).
- Jonas, W. Walking Meetings: The Future of Safely Collaborating: How to Increase Your Creativity, Productivity, and Wellbeing at Work. Psychology Today. 2021. Available online: https://www.psychologytoday.com/us/blog/how-healing-works/202103/walking-meetings-the-future-safely-collaborating (accessed on 26 July 2021).
- Ritter, S.M.; Dijksterhuis, A. Creativity—The unconscious foundations of the incubation period. Front. Hum. Neurosci. 2014, 8, 215. [Google Scholar] [CrossRef] [PubMed] [Green Version]




| Dependent Variables | Divergent Thinking (AUT) | Convergent Thinking | |||
|---|---|---|---|---|---|
| Fluency | Flexibility | Novelty | Matchstick Pre-Test | ||
| Independent variables | Vigorous | 0.382 * | 0.342 * | 0.253 | 0.062 |
| Moderate | 0.031 | 0.046 | 0.080 | −0.028 | |
| Walking | 0.262 | 0.283 | 0.378 * | −0.039 | |
| F(3,36) | 3.062 | 2.774 | 3.013 | 0.070 | |
| Model statistics | R2 | 0.203 | 0.188 | 0.201 | 0.006 |
| p | 0.040 * | 0.055 + | 0.043 * | 0.976 | |
| Dependent Variables | Divergent Thinking (AUT) | Convergent Thinking | ||||
|---|---|---|---|---|---|---|
| △Fluency | △Flexibility | △Novelty | △CPS | Matchstick Retest | ||
| Exercise group | ||||||
| Independent variables | Vigorous | −0.214 | −0.152 | −0.191 | 0.177 | 0.297 |
| Moderate | −0.071 | −0.106 | −0.069 | 0.3369 | 0.033 | |
| Walking | −0.078 | −0.038 | −0.166 | 0.051 | −0.329 | |
| F(3,16) | 0.310 | 0.215 | 0.330 | 1.042 | 1.302 | |
| R2 | 0.055 | 0.039 | 0.058 | 0.163 | 0.246 | |
| p | 0.818 | 0.885 | 0.804 | 0.401 | 0.319 | |
| Control group | ||||||
| Independent variables | Vigorous | −0.157 | −0.263 | −0.168 | −0.228 | −0.170 |
| Moderate | 0.301 | 0.204 | 0.011 | −0.029 | 0.566 * | |
| Walking | −0.144 | 0.207 | −0.305 | −0.265 | −0.421 | |
| Model statistics | F(3,16) | 0.703 | 0.789 | 0.697 | 0.725 | 3.554 |
| R2 | 0.116 | 0.129 | 0.116 | 0.120 | 0.492 | |
| p | 0.564 | 0.517 | 0.567 | 0.552 | 0.051 + | |
Publisher’s Note: MDPI stays neutral with regard to jurisdictional claims in published maps and institutional affiliations. |
© 2021 by the authors. Licensee MDPI, Basel, Switzerland. This article is an open access article distributed under the terms and conditions of the Creative Commons Attribution (CC BY) license (https://creativecommons.org/licenses/by/4.0/).
Share and Cite
Chen, C.; Mochizuki, Y.; Hagiwara, K.; Hirotsu, M.; Nakagawa, S. Regular Vigorous-Intensity Physical Activity and Walking Are Associated with Divergent but not Convergent Thinking in Japanese Young Adults. Brain Sci. 2021, 11, 1046. https://doi.org/10.3390/brainsci11081046
Chen C, Mochizuki Y, Hagiwara K, Hirotsu M, Nakagawa S. Regular Vigorous-Intensity Physical Activity and Walking Are Associated with Divergent but not Convergent Thinking in Japanese Young Adults. Brain Sciences. 2021; 11(8):1046. https://doi.org/10.3390/brainsci11081046
Chicago/Turabian StyleChen, Chong, Yasuhiro Mochizuki, Kosuke Hagiwara, Masako Hirotsu, and Shin Nakagawa. 2021. "Regular Vigorous-Intensity Physical Activity and Walking Are Associated with Divergent but not Convergent Thinking in Japanese Young Adults" Brain Sciences 11, no. 8: 1046. https://doi.org/10.3390/brainsci11081046
APA StyleChen, C., Mochizuki, Y., Hagiwara, K., Hirotsu, M., & Nakagawa, S. (2021). Regular Vigorous-Intensity Physical Activity and Walking Are Associated with Divergent but not Convergent Thinking in Japanese Young Adults. Brain Sciences, 11(8), 1046. https://doi.org/10.3390/brainsci11081046

