Predictive Relevance of Baseline Lactate and Glucose Levels in Patients with Spontaneous Deep-Seated Intracerebral Hemorrhage
Abstract
1. Introduction
2. Materials and Methods
3. Results
3.1. Patient Characteristics
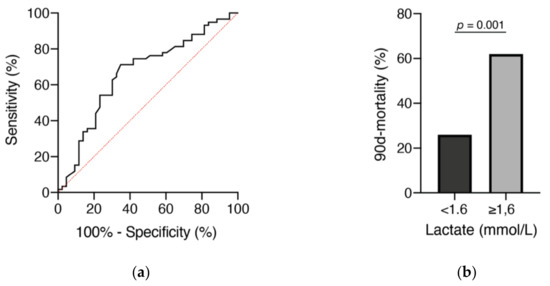
3.2. Influence of Early Serum Lactate on Mortality
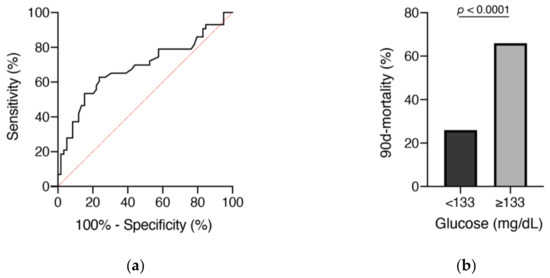
3.3. Influence of Admission Glucose on Mortality
3.4. Multivariate Analysis
4. Discussion
5. Conclusions
Author Contributions
Funding
Institutional Review Board Statement
Informed Consent Statement
Data Availability Statement
Conflicts of Interest
References
- Qureshi, A.I.; Tuhrim, S.; Broderick, J.P.; Batjer, H.H.; Hondo, H.; Hanley, D.F. Spontaneous intracerebral hemorrhage. N. Engl. J. Med. 2001, 344, 1450–1460. [Google Scholar] [CrossRef] [PubMed]
- Lehmann, F.; Schenk, L.M.; Ilic, I.; Putensen, C.; Hadjiathanasiou, A.; Borger, V.; Zimmermann, J.; Güresir, E.; Vatter, H.; Bode, C.; et al. Prolonged Mechanical Ventilation in Patients with Deep-Seated Intracerebral Hemorrhage: Risk Factors and Clinical Implications. J. Clin. Med. 2021, 10, 1015. [Google Scholar] [CrossRef] [PubMed]
- Schenk, L.M.; Schneider, M.; Bode, C.; Güresir, E.; Junghanns, C.; Müller, M.; Putensen, C.; Vatter, H.; Zimmermann, J.; Schuss, P.; et al. Early Laboratory Predictors for Necessity of Renal Replacement Therapy in Patients With Spontaneous Deep-Seated Intracerebral Hemorrhage. Front. Neurol. 2021, 12, 636711. [Google Scholar] [CrossRef] [PubMed]
- Bakker, J.; Nijsten, M.W.; Jansen, T.C. Clinical use of lactate monitoring in critically ill patients. Ann. Intensive Care 2013, 3, 12. [Google Scholar] [CrossRef]
- Jansen, T.C.; van Bommel, J.; Schoonderbeek, F.J.; Sleeswijk Visser, S.J.; van der Klooster, J.M.; Lima, A.P.; Willemsen, S.P.; Bakker, J.; LACTATE Study Group. Early lactate-guided therapy in intensive care unit patients: A multicenter, open-label, randomized controlled trial. Am. J. Respir. Crit. Care Med. 2010, 182, 752–761. [Google Scholar] [CrossRef]
- Chen, W.; Wang, X.; Liu, F.; Ma, L.; Chen, J.; You, C. Association of blood glucose with 30-day mortality in patients with intracerebral hemorrhage undergoing neurosurgical treatment. Br. J. Neurosurg. 2020, 1–6. [Google Scholar] [CrossRef]
- Fogelholm, R.; Murros, K.; Rissanen, A.; Avikainen, S. Admission blood glucose and short term survival in primary intracerebral haemorrhage: A population based study. J. Neurol. Neurosurg. Psychiatry 2005, 76, 349–353. [Google Scholar] [CrossRef]
- Kimura, K.; Iguchi, Y.; Inoue, T.; Shibazaki, K.; Matsumoto, N.; Kobayashi, K.; Yamashita, S. Hyperglycemia independently increases the risk of early death in acute spontaneous intracerebral hemorrhage. J. Neurol. Sci. 2007, 255, 90–94. [Google Scholar] [CrossRef]
- Passero, S.; Ciacci, G.; Ulivelli, M. The influence of diabetes and hyperglycemia on clinical course after intracerebral hemorrhage. Neurology 2003, 61, 1351–1356. [Google Scholar] [CrossRef]
- Kaukonen, K.M.; Bailey, M.; Egi, M.; Orford, N.; Glassford, N.J.; Marik, P.E.; Bellomo, R. Stress hyperlactatemia modifies the relationship between stress hyperglycemia and outcome: A retrospective observational study. Crit. Care Med. 2014, 42, 1379–1385. [Google Scholar] [CrossRef]
- Schuss, P.; Bode, C.; Borger, V.; Coch, C.; Güresir, Á.; Hadjiathanasiou, A.; Hamed, M.; Kuchelmeister, K.; Lehmann, F.; Müller, M.; et al. MR-Imaging and Histopathological Diagnostic Work-Up of Patients with Spontaneous Lobar Intracerebral Hemorrhage: Results of an Institutional Prospective Registry Study. Diagnostics 2021, 11, 368. [Google Scholar] [CrossRef]
- Bilotta, F.; Rosa, G. Glucose management in the neurosurgical patient: Are we yet any closer? Curr. Opin. Anaesthesiol. 2010, 23, 539–543. [Google Scholar] [CrossRef]
- Broderick, J.P.; Brott, T.G.; Duldner, J.E.; Tomsick, T.; Huster, G. Volume of intracerebral hemorrhage. A powerful and easy-to-use predictor of 30-day mortality. Stroke 1993, 24, 987–993. [Google Scholar] [CrossRef]
- Hemphill, J.C., 3rd; Bonovich, D.C.; Besmertis, L.; Manley, G.T.; Johnston, S.C. The ICH score: A simple, reliable grading scale for intracerebral hemorrhage. Stroke 2001, 32, 891–897. [Google Scholar] [CrossRef]
- Hemphill, J.C., 3rd; Greenberg, S.M.; Anderson, C.S.; Becker, K.; Bendok, B.R.; Cushman, M.; Fung, G.L.; Goldstein, J.N.; Macdonald, R.L.; Mitchell, P.H.; et al. Guidelines for the Management of Spontaneous Intracerebral Hemorrhage: A Guideline for Healthcare Professionals from the American Heart Association/American Stroke Association. Stroke 2015, 46, 2032–2060. [Google Scholar] [CrossRef]
- Hadjiathanasiou, A.; Schuss, P.; Ilic, I.; Borger, V.; Vatter, H.; Güresir, E. Decompressive craniectomy for intracerebral haematoma: The influence of additional haematoma evacuation. Neurosurg. Rev. 2018, 41, 649–654. [Google Scholar] [CrossRef]
- Qureshi, A.I. Acute hypertensive response in patients with stroke: Pathophysiology and management. Circulation 2008, 118, 176–187. [Google Scholar] [CrossRef]
- Takeda, R.; Ogura, T.; Ooigawa, H.; Fushihara, G.; Yoshikawa, S.; Okada, D.; Araki, R.; Kurita, H. A practical prediction model for early hematoma expansion in spontaneous deep ganglionic intracerebral hemorrhage. Clin. Neurol. Neurosurg. 2013, 115, 1028–1031. [Google Scholar] [CrossRef]
- Ndieugnou Djangang, N.; Ramunno, P.; Izzi, A.; Garufi, A.; Menozzi, M.; Diaferia, D.; Peluso, L.; Prezioso, C.; Talamonti, M.; Njimi, H.; et al. The Prognostic Role of Lactate Concentrations after Aneurysmal Subarachnoid Hemorrhage. Brain Sci. 2020, 10, 1004. [Google Scholar] [CrossRef]
- Van Donkelaar, C.E.; Dijkland, S.A.; van den Bergh, W.M.; Bakker, J.; Dippel, D.W.; Nijsten, M.W.; van der Jagt, M. Early Circulating Lactate and Glucose Levels After Aneurysmal Subarachnoid Hemorrhage Correlate with Poor Outcome and Delayed Cerebral Ischemia: A Two-Center Cohort Study. Crit. Care Med. 2016, 44, 966–972. [Google Scholar] [CrossRef]
- Liu, R.Y.; Wang, J.J.; Qiu, X.; Wu, J.M. Acute hyperglycemia together with hematoma of high-glucose blood exacerbates neurological injury in a rat model of intracerebral hemorrhage. Neurosci. Bull. 2014, 30, 90–98. [Google Scholar] [CrossRef]
- Song, E.C.; Chu, K.; Jeong, S.W.; Jung, K.H.; Kim, S.H.; Kim, M.; Yoon, B.W. Hyperglycemia exacerbates brain edema and perihematomal cell death after intracerebral hemorrhage. Stroke 2003, 34, 2215–2220. [Google Scholar] [CrossRef]
- Kang, K.; Lu, J.; Ju, Y.; Wang, W.; Shen, Y.; Wang, A.; Cao, Z.; Zhao, X. Association of pre- and post-stroke glycemic status with clinical outcome in spontaneous intracerebral hemorrhage. Sci. Rep. 2019, 9, 19054. [Google Scholar] [CrossRef]
- Oddo, M.; Schmidt, J.M.; Carrera, E.; Badjatia, N.; Connolly, E.S.; Presciutti, M.; Ostapkovich, N.D.; Levine, J.M.; Le Roux, P.; Mayer, S.A. Impact of tight glycemic control on cerebral glucose metabolism after severe brain injury: A microdialysis study. Crit. Care Med. 2008, 36, 3233–3238. [Google Scholar] [CrossRef]
- Vespa, P.M. Intensive glycemic control in traumatic brain injury: What is the ideal glucose range? Crit. Care 2008, 12, 175. [Google Scholar] [CrossRef]




| Survivors | Non-Survivors | p-Value | |
|---|---|---|---|
| number of patients | 59 | 43 | |
| median age (IQR, yrs) | 63 (53–72) | 68 (59–81) | p = 0.03 |
| female sex | 21 (36%) | 16 (37%) | p = 1.0 |
| ICH score ≥ 3 at admission | 4 (7%) | 16 (37%) | p < 0.0001 |
| initial GCS ≤ 12 | 28 (48%) | 36 (84%) | p < 0.0001 |
| ICH volume ≥ 30 mL | 24 (41%) | 29 (67%) | p = 0.009 |
| known diabetes mellitus prior ictus | 5 (9%) | 7 (16%) | p = 0.4 |
| anticoagulant medication prior ictus antiplatelet medication combination | 8 (14%) 15 (25%) 1 (2%) | 6 (14%) 13 (30%) 0 (0%) | p = 1.0 |
| initial SBP (mmHg) mild (<180) moderate (180–219) severe (≥220) | |||
| 36 (61%) | 27 (63%) | ||
| 17 (29%) | 10 (23%) | p = 0.7 | |
| 6 (10%) | 6 (14%) | ||
| median admission lactate (IQR, mmol/L) | 1.48 (1.05–1.88) | 1.88 (1.49–2.41) | p = 0.004 |
| median admission glucose (IQR, mg/dL) | 126 (112–132) | 143 (120–183) | p = 0.001 |
Publisher’s Note: MDPI stays neutral with regard to jurisdictional claims in published maps and institutional affiliations. |
© 2021 by the authors. Licensee MDPI, Basel, Switzerland. This article is an open access article distributed under the terms and conditions of the Creative Commons Attribution (CC BY) license (https://creativecommons.org/licenses/by/4.0/).
Share and Cite
Lehmann, F.; Schenk, L.M.; Schneider, M.; Bernstock, J.D.; Bode, C.; Borger, V.; Gessler, F.; Güresir, E.; Hadjiathanasiou, A.; Hamed, M.; et al. Predictive Relevance of Baseline Lactate and Glucose Levels in Patients with Spontaneous Deep-Seated Intracerebral Hemorrhage. Brain Sci. 2021, 11, 633. https://doi.org/10.3390/brainsci11050633
Lehmann F, Schenk LM, Schneider M, Bernstock JD, Bode C, Borger V, Gessler F, Güresir E, Hadjiathanasiou A, Hamed M, et al. Predictive Relevance of Baseline Lactate and Glucose Levels in Patients with Spontaneous Deep-Seated Intracerebral Hemorrhage. Brain Sciences. 2021; 11(5):633. https://doi.org/10.3390/brainsci11050633
Chicago/Turabian StyleLehmann, Felix, Lorena M. Schenk, Matthias Schneider, Joshua D. Bernstock, Christian Bode, Valeri Borger, Florian Gessler, Erdem Güresir, Alexis Hadjiathanasiou, Motaz Hamed, and et al. 2021. "Predictive Relevance of Baseline Lactate and Glucose Levels in Patients with Spontaneous Deep-Seated Intracerebral Hemorrhage" Brain Sciences 11, no. 5: 633. https://doi.org/10.3390/brainsci11050633
APA StyleLehmann, F., Schenk, L. M., Schneider, M., Bernstock, J. D., Bode, C., Borger, V., Gessler, F., Güresir, E., Hadjiathanasiou, A., Hamed, M., Müller, M., Putensen, C., Zimmermann, J., Vatter, H., & Schuss, P. (2021). Predictive Relevance of Baseline Lactate and Glucose Levels in Patients with Spontaneous Deep-Seated Intracerebral Hemorrhage. Brain Sciences, 11(5), 633. https://doi.org/10.3390/brainsci11050633

