Menstrual Headache in Women with Chronic Migraine Treated with Erenumab: An Observational Case Series
Abstract
1. Introduction
2. Materials and Methods
2.1. Study Population
2.2. Data Collection
2.3. Statistical Analysis
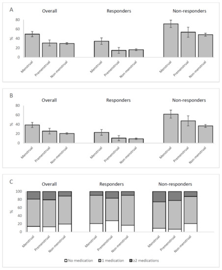
3. Results
4. Discussion
5. Conclusions
Author Contributions
Funding
Institutional Review Board Statement
Informed Consent Statement
Data Availability Statement
Acknowledgments
Conflicts of Interest
References
- GBD 2016 Headache Collaborators. Global, regional, and national burden of migraine and tension-type headache, 1990–2016: A systematic analysis for the Global Burden of Disease Study 2016. Lancet Neurol. 2018, 17, 954–976. [Google Scholar] [CrossRef]
- Headache Classification Committee of the International Headache Society (IHS). The International Classification of Headache Disorders, 3rd ed. Cephalalgia 2018, 38, 1–211. [Google Scholar] [CrossRef]
- Sacco, S.; Olivieri, L.; Bastianello, S.; Carolei, A. Comorbid neuropathologies in migraine. J. Headache Pain 2006, 7, 222–230. [Google Scholar] [CrossRef] [PubMed][Green Version]
- Sacco, S.; Cerone, D.; Carolei, A. Comorbid neuropathologies in migraine: An update on cerebrovascular and cardiovascular aspects. J. Headache Pain 2008, 9, 237–248. [Google Scholar] [CrossRef][Green Version]
- Minen, M.T.; De Dhaem, O.B.; Van Diest, A.K.; Powers, S.; Schwedt, T.J.; Lipton, R.; Silbersweig, D. Migraine and its psychiatric comorbidities. J. Neurol. Neurosurg. Psychiatry 2016, 87, 741–749. [Google Scholar] [CrossRef] [PubMed]
- Dresler, T.; Caratozzolo, S.; Guldolf, K.; Huhn, J.I.; Loiacono, C.; Niiberg-Pikksööt, T.; Puma, M.; Sforza, G.; Tobia, A.; Ornello, R.; et al. Understanding the nature of psychiatric comorbidity in migraine: A systematic review focused on interactions and treatment implications. J. Headache Pain 2019, 20, 51. [Google Scholar] [CrossRef] [PubMed]
- Arzani, M.; Jahromi, S.R.; Ghorbani, Z.; Vahabizad, F.; Martelletti, P.; Ghaemi, A.; Sacco, S.; Togha, M.; School of Advanced Studies of the European Headache Federation (EHF-SAS). Gut-brain Axis and migraine headache: A comprehensive review. J. Headache Pain 2020, 21, 15. [Google Scholar] [CrossRef]
- Delaruelle, Z.; Ivanova, T.A.; Khan, S.; Negro, A.; Ornello, R.; Raffaelli, B.; Terrin, A.; Mitsikostas, D.D.; Reuter, U.; European Headache Federation School of Advanced Studies (EHF-SAS). Male and female sex hormones in primary headaches. J. Headache Pain 2018, 19, 117. [Google Scholar] [CrossRef]
- Stewart, W.F.; Lipton, R.B.; Chee, E.; Sawyer, J.; Silberstein, S.D. Menstrual cycle and headache in a population sample of migraineurs. Neurology 2000, 55, 1517–1523. [Google Scholar] [CrossRef] [PubMed]
- MacGregor, E.A.; Hackshaw, A. Prevalence of migraine on each day of the natural menstrual cycle. Neurology 2004, 63, 351–353. [Google Scholar] [CrossRef] [PubMed]
- MacGregor, E.A.; Frith, A.; Ellis, J.; Aspinall, L.; Hackshaw, A. Incidence of migraine relative to menstrual cycle phases of rising and falling estrogen. Neurology 2006, 67, 2154–2158. [Google Scholar] [CrossRef] [PubMed]
- Granella, F.; Sances, G.; Allais, G.; Nappi, R.E.; Tirelli, A.; Benedetto, C.; Brundu, B.; Facchinetti, F.; Nappi, G. Characteristics of menstrual and nonmenstrual attacks in women with menstrually related migraine referred to headache centres. Cephalalgia 2004, 24, 707–716. [Google Scholar] [CrossRef]
- Edvinsson, L.; Warfvinge, K. Recognizing the role of CGRP and CGRP receptors in migraine and its treatment. Cephalalgia 2019, 39, 366–373. [Google Scholar] [CrossRef] [PubMed]
- Sacco, S.; Bendtsen, L.; Ashina, M.; Reuter, U.; Terwindt, G.; Mitsikostas, D.D.; Martelletti, P. European headache federation guideline on the use of monoclonal antibodies acting on the calcitonin gene related peptide or its receptor for migraine prevention. J. Headache Pain 2019, 20, 6. [Google Scholar] [CrossRef]
- De Matteis, E.; Guglielmetti, M.; Ornello, R.; Spuntarelli, V.; Martelletti, P.; Sacco, S. Targeting CGRP for migraine treatment: Mechanisms, antibodies, small molecules, perspectives. Expert Rev. Neurother. 2020, 20, 627–641. [Google Scholar] [CrossRef]
- Ornello, R.; Casalena, A.; Frattale, I.; Gabriele, A.; Affaitati, G.; Giamberardino, M.A.; Assetta, M.; Maddestra, M.; Marzoli, F.; Viola, S.; et al. Real-life data on the efficacy and safety of erenumab in the Abruzzo region, central Italy. J. Headache Pain 2020, 21, 32. [Google Scholar] [CrossRef]
- Ornello, R.; Casalena, A.; Frattale, I.; Caponnetto, V.; Gabriele, A.; Affaitati, G.; Giamberardino, M.A.; Assetta, M.; Maddestra, M.; Marzoli, F.; et al. Conversion from chronic to episodic migraine in patients treated with erenumab: Real-life data from an Italian region. J. Headache Pain 2020, 21, 102. [Google Scholar] [CrossRef] [PubMed]
- Sacco, S.; Merki-Feld, G.S.; Ægidius, K.L.; Bitzer, J.; Canonico, M.; Gantenbein, A.R.; Kurth, T.; Lampl, C.; Lidegaard, Ø.; MacGregor, E.A.; et al. Effect of exogenous estrogens and progestogens on the course of migraine during reproductive age: A consensus statement by the European Headache Federation (EHF) and the European Society of Contraception and Reproductive Health (ESCRH). J. Headache Pain 2018, 19, 76. [Google Scholar] [CrossRef] [PubMed]
- Pavlovic, J.M.; Paemeleire, K.; Göbel, H.; Bonner, J.; Rapoport, A.; Kagan, R.; Zhang, F.; Picard, H.; Mikol, D.D. Efficacy and safety of erenumab in women with a history of menstrual migraine. J. Headache Pain 2020, 21, 95. [Google Scholar] [CrossRef] [PubMed]
- Puri, V.; Cui, L.; Liverman, C.S.; Roby, K.F.; Klein, R.M.; Welch, K.M.; Berman, N.E.J. Ovarian steroids regulate neuropeptides in the trigeminal ganglion. Neuropeptides 2005, 39, 409–417. [Google Scholar] [CrossRef]
- Martin, V.T.; Lee, J.; Behbehani, M.M. Sensitization of the trigeminal sensory system during different stages of the rat estrous cycle: Implications for menstrual migraine. Headache 2007, 47, 552–563. [Google Scholar] [CrossRef]
- Aggarwal, M.; Puri, V.; Puri, S. Effects of estrogen on the serotonergic system and calcitonin gene-related peptide in trigeminal ganglia of rats. Ann. Neurosci. 2012, 19, 151–157. [Google Scholar] [CrossRef] [PubMed]
- Herbison, A.E.; Spratt, D.P. Sexually dimorphic expression of calcitonin gene-related peptide (CGRP) mRNA in rat medial preoptic nucleus. Brain Res. Mol. Brain Res. 1995, 34, 143–148. [Google Scholar] [CrossRef]
- Shu, H.; Liu, S.; Tang, Y.; Schmidt, B.L.; Dolan, J.C.; Bellinger, L.L.; Kramer, P.R.; Bender, S.D.; Tao, F. A Pre-Existing Myogenic Temporomandibular Disorder Increases Trigeminal Calcitonin Gene-Related Peptide and Enhances Nitroglycerin-Induced Hypersensitivity in Mice. Int. J. Mol. Sci. 2020, 21, 11. [Google Scholar] [CrossRef] [PubMed]
- Wang, D.; Zhao, J.; Wang, J.; Li, J.; Yu, S.; Guo, X. Deficiency of female sex hormones augments PGE2 and CGRP levels within midbrain periaqueductal gray. J. Neurol. Sci. 2014, 346, 107–111. [Google Scholar] [CrossRef]
- Yang, Y.; Ozawa, H.; Lu, H.; Yuri, K.; Hayashi, S.; Nihonyanagi, K.; Kawaka, M. Immunocytochemical analysis of sex differences in calcitonin gene-related peptide in the rat dorsal root ganglion, with special reference to estrogen and its receptor. Brain Res. 1998, 791, 35–42. [Google Scholar] [CrossRef]
- Ibrahimi, K.; Vermeersch, S.; Frederiks, P.; Geldhof, V.; Draulans, C.; Buntinx, L.; Lesaffre, E.; Van Den Brink, A.M.; de Hoon, J. The influence of migraine and female hormones on capsaicin-induced dermal blood flow. Cephalalgia 2017, 37, 1164–1172. [Google Scholar] [CrossRef] [PubMed]
- Ibrahimi, K.; van Oosterhout, W.P.; van Dorp, W.; Danser, A.H.; Garrelds, I.M.; Kushner, S.A.; Lesaffre, E.M.E.H.; Terwindt, G.M.; Ferrari, M.D.; van den Meiracker, A.H.; et al. Reduced trigeminovascular cyclicity in patients with menstrually related migraine. Neurology 2015, 84, 125–131. [Google Scholar] [CrossRef]
- Labastida-Ramírez, A.; Rubio-Beltrán, E.; Villalón, C.M.; Van Den Brink, A.M. Gender aspects of CGRP in migraine. Cephalalgia 2019, 39, 435–444. [Google Scholar] [CrossRef]
- MacGregor, E.A.; Frith, A.; Ellis, J.; Aspinall, L.; Hackshaw, A. Prevention of menstrual attacks of migraine: A double-blind placebo-controlled crossover study. Neurology 2006, 67, 2159–2163. [Google Scholar] [CrossRef] [PubMed]
- Ornello, R.; Tiseo, C.; Frattale, I.; Perrotta, G.; Marini, C.; Pistoia, F.; Sacco, S. The appropriate dosing of erenumab for migraine prevention after multiple preventive treatment failures: A critical appraisal. J. Headache Pain 2019, 20, 99. [Google Scholar] [CrossRef] [PubMed]

| No. | Age | Migraine Years | Medication Overuse | Aura | Concomitant Oral Preventives | Erenumab Dose (mg) | Responder | No. of Cycles |
|---|---|---|---|---|---|---|---|---|
| 1 | 38 | 22 | No | Yes | No | 70 | Yes | 7 |
| 2 | 50 | 35 | No | Yes | Yes | 140 | No | 10 |
| 3 | 25 | 12 | Yes | No | Yes | 140 | No | 4 |
| 4 | 49 | 12 | Yes | Yes | Yes | 140 | No | 10 |
| 5 | 38 | 29 | No | Yes | No | 70 | Yes | 6 |
| 6 | 39 | 30 | Yes | No | No | 70 | Yes | 10 |
| 7 | 48 | 33 | No | Yes | Yes | 140 | Yes | 3 |
| 8 | 28 | 13 | No | No | No | 70 | Yes | 9 |
| 9 | 36 | 11 | Yes | No | No | 70 | Yes | 3 |
| 10 | 26 | 12 | Yes | No | No | 140 | Yes | 3 |
| 11 | 42 | 20 | Yes | No | Yes | 140 | No | 3 |
| 12 | 47 | 28 | Yes | No | No | 70 | Yes | 11 |
| 13 | 18 | 2 | Yes | Yes | No | 140 | No | 3 |
| 14 | 45 | 25 | Yes | No | Yes | 140 | No | 5 |
| 15 | 29 | 16 | No | No | No | 140 | Yes | 6 |
| 16 | 27 | 22 | No | No | No | 140 | Yes | 4 |
| 17 | 36 | 11 | Yes | Yes | No | 70 | Yes | 3 |
| 18 | 52 | 14 | Yes | Yes | No | 140 | No | 3 |
| Overall | Responders | Non-Responders | ||||
|---|---|---|---|---|---|---|
| OR (95% CI) | p Value | OR (95% CI) | p Value | OR (95% CI) | p Value | |
| Headache days | ||||||
| Menstrual | 2.34 (1.84–2.97) | <0.001 | 2.70 (1.93–3.78) | <0.001 | 2.67 (1.78–4.01) | <0.001 |
| Premenstrual | 1.05 (0.77–1.43) | 0.751 | 0.89 (0.53–1.50) | 0.663 | 1.23 (0.79–1.93) | 0.358 |
| Non-menstrual | 1.00 (Ref.) | - | 1.00 (Ref.) | - | 1.00 (Ref.) | - |
| Moderate-to-severe headache days | ||||||
| Menstrual | 2.45 (1.91–3.14) | <0.001 | 2.94 (1.99–4.34) | <0.001 | 2.79 (1.90–4.09) | <0.001 |
| Premenstrual | 1.33 (0.96–1.85) | 0.085 | 1.18 (0.65–2.15) | 0.594 | 1.56 (1.00–2.44) | 0.051 |
| Non-menstrual | 1.00 (Ref.) | - | 1.00 (Ref.) | - | 1.00 (Ref.) | - |
| Headache days with ≥2 acute medications | ||||||
| Menstrual | 1.82 (1.14–2.90) | 0.012 | 1.00 (0.39–2.57) | 0.992 | 2.46 (1.43–4.25) | 0.001 |
| Premenstrual | 2.03 (1.06–3.89) | 0.034 | 1.89 (0.51–7.04) | 0.342 | 2.05 (0.96–4.35) | 0.062 |
| Non-menstrual | 1.00 (Ref.) | - | 1.00 (Ref.) | - | 1.00 (Ref.) | - |
Publisher’s Note: MDPI stays neutral with regard to jurisdictional claims in published maps and institutional affiliations. |
© 2021 by the authors. Licensee MDPI, Basel, Switzerland. This article is an open access article distributed under the terms and conditions of the Creative Commons Attribution (CC BY) license (http://creativecommons.org/licenses/by/4.0/).
Share and Cite
Ornello, R.; Frattale, I.; Caponnetto, V.; De Matteis, E.; Pistoia, F.; Sacco, S. Menstrual Headache in Women with Chronic Migraine Treated with Erenumab: An Observational Case Series. Brain Sci. 2021, 11, 370. https://doi.org/10.3390/brainsci11030370
Ornello R, Frattale I, Caponnetto V, De Matteis E, Pistoia F, Sacco S. Menstrual Headache in Women with Chronic Migraine Treated with Erenumab: An Observational Case Series. Brain Sciences. 2021; 11(3):370. https://doi.org/10.3390/brainsci11030370
Chicago/Turabian StyleOrnello, Raffaele, Ilaria Frattale, Valeria Caponnetto, Eleonora De Matteis, Francesca Pistoia, and Simona Sacco. 2021. "Menstrual Headache in Women with Chronic Migraine Treated with Erenumab: An Observational Case Series" Brain Sciences 11, no. 3: 370. https://doi.org/10.3390/brainsci11030370
APA StyleOrnello, R., Frattale, I., Caponnetto, V., De Matteis, E., Pistoia, F., & Sacco, S. (2021). Menstrual Headache in Women with Chronic Migraine Treated with Erenumab: An Observational Case Series. Brain Sciences, 11(3), 370. https://doi.org/10.3390/brainsci11030370

