Hopelessness, Dissociative Symptoms, and Suicide Risk in Major Depressive Disorder: Clinical and Biological Correlates
Abstract
1. Introduction
2. Materials and Methods
2.1. Subjects
2.2. SPECT Procedure
2.3. Statistical Analysis
3. Results
3.1. Sociodemographic and Clinical Assessment
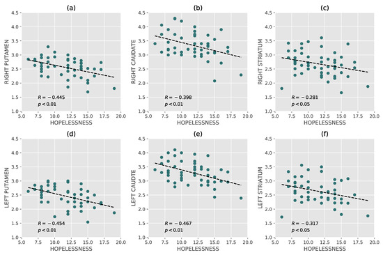
3.2. Correlations between Psychometric Scales and Striatal DAT Availability
3.3. Suicide Risk and Striatal DAT Availability
3.4. Correlations between Psychometric Scales
4. Discussion
5. Limitations
6. Conclusions
Supplementary Materials
Author Contributions
Funding
Acknowledgments
Conflicts of Interest
References
- Tye, K.M.; Mirzabekov, J.J.; Warden, M.R.; Ferenczi, E.A.; Tsai, H.-C.; Finkelstein, J.; Kim, S.-Y.; Adhikari, A.; Thompson, K.R.; Andalman, A.S.; et al. Dopamine Neurons Modulate Neural Encoding and Expression of Depression-Related Behaviour. Nature 2013, 493, 537–541. [Google Scholar] [CrossRef] [PubMed]
- Hawton, K.; Casañas I Comabella, C.; Haw, C.; Saunders, K. Risk Factors for Suicide in Individuals with Depression: A Systematic Review. J. Affect. Disord. 2013, 147, 17–28. [Google Scholar] [CrossRef] [PubMed]
- Beck, A.T.; Weissman, A.; Lester, D.; Trexler, L. The Measurement of Pessimism: The Hopelessness Scale. J. Consult. Clin. Psychol. 1974, 42, 861–865. [Google Scholar] [CrossRef] [PubMed]
- Pollock, L.R.; Williams, J.M.G. Problem-Solving in Suicide Attempters. Psychol. Med. 2004, 34, 163–167. [Google Scholar] [CrossRef] [PubMed]
- Brown, G.K.; Beck, A.T.; Steer, R.A.; Grisham, J.R. Risk Factors for Suicide in Psychiatric Outpatients: A 20-Year Prospective Study. J. Consult. Clin. Psychol. 2000, 68, 371–377. [Google Scholar] [CrossRef] [PubMed]
- Beck, A.T.; Brown, G.; Berchick, R.J.; Stewart, B.L.; Steer, R.A. Relationship between Hopelessness and Ultimate Suicide: A Replication with Psychiatric Outpatients. Am. J. Psychiatry 1990, 147, 190–195. [Google Scholar] [CrossRef]
- Beck, A.T.; Brown, G.; Steer, R.A. Prediction of Eventual Suicide in Psychiatric Inpatients by Clinical Ratings of Hopelessness. J. Consult. Clin. Psychol. 1989, 57, 309–310. [Google Scholar] [CrossRef]
- Labelle, R.; Breton, J.-J.; Pouliot, L.; Dufresne, M.-J.; Berthiaume, C. Cognitive Correlates of Serious Suicidal Ideation in a Community Sample of Adolescents. J. Affect. Disord. 2013, 145, 370–377. [Google Scholar] [CrossRef]
- Molina-Serrano, A.; Linotte, S.; Amat, M.; Souery, D.; Barreto, M. Dissociation in Major Depressive Disorder: A Pilot Study. J. Trauma Dissociation 2008, 9, 411–421. [Google Scholar] [CrossRef]
- Ociskova, M.; Prasko, J.; Kamaradova, D.; Grambal, A.; Latalova, K.; Sigmundova, Z. Relationship between Internalized Stigma and Treatment Efficacy in Mixed Neurotic Spectrum and Depressive Disorders. Neuro Endocrinol. Lett. 2014, 35, 711–717. [Google Scholar] [CrossRef]
- Prasko, J.; Grambal, A.; Kasalova, P.; Kamardova, D.; Ociskova, M.; Holubova, M.; Vrbova, K.; Sigmundova, Z.; Latalova, K.; Slepecky, M.; et al. Impact of Dissociation on Treatment of Depressive and Anxiety Spectrum Disorders with and without Personality Disorders. Neuropsychiatr. Dis. Treat. 2016, 12, 2659–2676. [Google Scholar] [CrossRef] [PubMed]
- Ozdemir, O.; Boysan, M.; Guzel Ozdemir, P.; Yilmaz, E. Relationships between Posttraumatic Stress Disorder (PTSD), Dissociation, Quality of Life, Hopelessness, and Suicidal Ideation among Earthquake Survivors. Psychiatry Res. 2015, 228, 598–605. [Google Scholar] [CrossRef] [PubMed]
- Schildkraut, J.J. The Catecholamine Hypothesis of Affective Disorders: A Review of Supporting Evidence. Am. J. Psychiatry 1965, 122, 509–522. [Google Scholar] [CrossRef] [PubMed]
- Belujon, P.; Grace, A.A. Dopamine System Dysregulation in Major Depressive Disorders. Int. J. Neuropsychopharmacol. 2017, 20, 1036–1046. [Google Scholar] [CrossRef]
- Sulzer, D.; Cragg, S.J.; Rice, M.E. Striatal Dopamine Neurotransmission: Regulation of Release and Uptake. Basal Ganglia 2016, 6, 123–148. [Google Scholar] [CrossRef]
- Camardese, G.; De Risio, L.; Di Nicola, M.; Pucci, L.; Cocciolillo, F.; Bria, P.; Giordano, A.; Janiri, L.; Di Giuda, D. Changes of Dopamine Transporter Availability in Depressed Patients with and without Anhedonia: A I-N-ω-Fluoropropyl-Carbomethoxy-3β- (4-Iodophenyl)Tropane SPECT Study. Neuropsychobiology 2014, 70, 235–243. [Google Scholar] [CrossRef]
- Sarchiapone, M.; Carli, V.; Camardese, G.; Cuomo, C.; Di Giuda, D.; Calcagni, M.L.; Focacci, C.; De Risio, S. Dopamine Transporter Binding in Depressed Patients with Anhedonia. Psychiatry Res. 2006, 147, 243–248. [Google Scholar] [CrossRef]
- Pizzagalli, D.A.; Berretta, S.; Wooten, D.; Goer, F.; Pilobello, K.T.; Kumar, P.; Murray, L.; Beltzer, M.; Boyer-Boiteau, A.; Alpert, N.; et al. Assessment of Striatal Dopamine Transporter Binding in Individuals with Major Depressive Disorder: In Vivo Positron Emission Tomography and Postmortem Evidence. JAMA Psychiatry 2019, 76, 854–861. [Google Scholar] [CrossRef]
- Pizzagalli, D.A. Depression, Stress, and Anhedonia: Toward a Synthesis and Integrated Model. Annu. Rev. Clin. Psychol. 2014, 10, 393–423. [Google Scholar] [CrossRef]
- Camardese, G.; Di Giuda, D.; Di Nicola, M.; Cocciolillo, F.; Giordano, A.; Janiri, L.; Guglielmo, R. Imaging Studies on Dopamine Transporter and Depression: A Review of Literature and Suggestions for Future Research. J. Psychiatr. Res. 2014, 51, 7–18. [Google Scholar] [CrossRef]
- Carballo, J.J.; Akamnonu, C.P.; Oquendo, M.A. Neurobiology of Suicidal Behavior. An Integration of Biological and Clinical Findings. Arch. Suicide Res. Off. J. Int. Acad. Suicide Res. 2008, 12, 93–110. [Google Scholar] [CrossRef] [PubMed]
- Laasonen-Balk, T.; Kuikka, J.; Viinamäki, H.; Husso-Saastamoinen, M.; Lehtonen, J.; Tiihonen, J. Striatal Dopamine Transporter Density in Major Depression. Psychopharmacology 1999, 144, 282–285. [Google Scholar] [CrossRef] [PubMed]
- Pitchot, W.; Reggers, J.; Pinto, E.; Hansenne, M.; Fuchs, S.; Pirard, S.; Ansseau, M. Reduced Dopaminergic Activity in Depressed Suicides. Psychoneuroendocrinology 2001, 26, 331–335. [Google Scholar] [CrossRef]
- Fitzgerald, M.L.; Kassir, S.A.; Underwood, M.D.; Bakalian, M.J.; Mann, J.J.; Arango, V. Dysregulation of Striatal Dopamine Receptor Binding in Suicide. Neuropsychopharmacol. Off. Publ. Am. Coll. Neuropsychopharmacol. 2017, 42, 974–982. [Google Scholar] [CrossRef]
- Bowden, C.; Cheetham, S.C.; Lowther, S.; Katona, C.L.; Crompton, M.R.; Horton, R.W. Dopamine Uptake Sites, Labelled with [3H]GBR12935, in Brain Samples from Depressed Suicides and Controls. Eur. Neuropsychopharmacol. J. Eur. Coll. Neuropsychopharmacol. 1997, 7, 247–252. [Google Scholar] [CrossRef]
- Suhara, T.; Nakayama, K.; Inoue, O.; Fukuda, H.; Shimizu, M.; Mori, A.; Tateno, Y. D1 Dopamine Receptor Binding in Mood Disorders Measured by Positron Emission Tomography. Psychopharmacology 1992, 106, 14–18. [Google Scholar] [CrossRef] [PubMed]
- Calvini, P.; Rodriguez, G.; Inguglia, F.; Mignone, A.; Guerra, U.P.; Nobili, F. The Basal Ganglia Matching Tools Package for Striatal Uptake Semi-Quantification: Description and Validation. Eur. J. Nucl. Med. Mol. Imaging 2007, 34, 1240–1253. [Google Scholar] [CrossRef]
- Bobes, J.; Bulbena, A.; Luque, A.; Dal-Ré, R.; Ballesteros, J.; Ibarra, N. Evaluación Psicométrica Comparativa de Las Versiones En Español de 6, 17 y 21 Ítems de La Escala de Valoración de Hamilton Para La Evaluación de La Depresión. Med. Clin. 2003, 120, 693–700. [Google Scholar] [CrossRef]
- Kliem, S.; Lohmann, A.; Mößle, T.; Brähler, E. Psychometric Properties and Measurement Invariance of the Beck Hopelessness Scale (BHS): Results from a German Representative Population Sample. BMC Psychiatry 2018, 18, 1–11. [Google Scholar] [CrossRef]
- Lobo, A.; Chamorro, L.; Luque, A.; Dal-Ré, R.; Badia, X.; Baró, E.; Lacámara, C.; González-Castro, G.; Gurrea-Escajedo, A.; Elices-Urbano, N.; et al. Validation of the Spanish Versions of the Montgomery-Asberg Depression and Hamilton Anxiety Rating Scales. Med. Clin. 2002, 118, 493–499. [Google Scholar] [CrossRef]
- Dubester, K.A.; Braun, B.G. Psychometric Properties of the Dissociative Experiences Scale. J. Nerv. Ment. Dis. 1995, 183, 231–235. [Google Scholar] [CrossRef] [PubMed]
- WMA. Dichiarazione Di Helsinki Della World Medical Association. Evidence 2013, 5, 1–5. [Google Scholar]
- Di Giuda, D.; Camardese, G.; Bentivoglio, A.R.; Cocciolillo, F.; Guidubaldi, A.; Pucci, L.; Bruno, I.; Janiri, L.; Giordano, A.; Fasano, A. Dopaminergic Dysfunction and Psychiatric Symptoms in Movement Disorders: A 123I-FP-CIT SPECT Study. Eur. J. Nucl. Med. Mol. Imaging 2012, 39, 1937–1948. [Google Scholar] [CrossRef] [PubMed]
- Darcourt, J.; Booij, J.; Tatsch, K.; Varrone, A.; Vander Borght, T.; Kapucu, O.L.; Någren, K.; Nobili, F.; Walker, Z.; Van Laere, K. EANM Procedure Guidelines for Brain Neurotransmission SPECT Using (123)I-Labelled Dopamine Transporter Ligands, Version 2. Eur. J. Nucl. Med. Mol. Imaging 2010, 37, 443–450. [Google Scholar] [CrossRef]
- Kretschmann, H.J.; Weinrich, W. Neuroanatomy and Cranial Computed Tomography; Thieme: Stuttgart, Germany, 1986. [Google Scholar]
- Britton, P.C.; Duberstein, P.R.; Conner, K.R.; Heisel, M.J.; Hirsch, J.K.; Conwell, Y. Reasons for Living, Hopelessness, and Suicide Ideation among Depressed Adults 50 Years or Older. Am. J. Geriatr. Psychiatry Off. J. Am. Assoc. Geriatr. Psychiatry 2008, 16, 736–741. [Google Scholar] [CrossRef]
- Spano, M.C.; Lorusso, M.; Pettorruso, M.; Zoratto, F.; Di Giuda, D.; Martinotti, G.; di Giannantonio, M. Anhedonia across Borders: Transdiagnostic Relevance of Reward Dysfunction for Noninvasive Brain Stimulation Endophenotypes. CNS Neurosci. Ther. 2019, 25, 1229–1236. [Google Scholar] [CrossRef]
- Grimm, S.; Boesiger, P.; Beck, J.; Schuepbach, D.; Bermpohl, F.; Walter, M.; Ernst, J.; Hell, D.; Boeker, H.; Northoff, G. Altered Negative BOLD Responses in the Default-Mode Network during Emotion Processing in Depressed Subjects. Neuropsychopharmacol. Off. Publ. Am. Coll. Neuropsychopharmacol. 2009, 34, 932–943. [Google Scholar] [CrossRef]
- Poerio, G.L.; Sormaz, M.; Wang, H.-T.; Margulies, D.; Jefferies, E.; Smallwood, J. The Role of the Default Mode Network in Component Processes Underlying the Wandering Mind. Soc. Cogn. Affect. Neurosci. 2017, 12, 1047–1062. [Google Scholar] [CrossRef]
- Wise, T.; Marwood, L.; Perkins, A.M.; Herane-Vives, A.; Joules, R.; Lythgoe, D.J.; Luh, W.-M.; Williams, S.C.R.; Young, A.H.; Cleare, A.J.; et al. Instability of Default Mode Network Connectivity in Major Depression: A Two-Sample Confirmation Study. Transl. Psychiatry 2017, 7, e1105. [Google Scholar] [CrossRef]
- Wang, Y.-M.; Zou, L.-Q.; Xie, W.-L.; Yang, Z.-Y.; Zhu, X.-Z.; Cheung, E.F.C.; Sørensen, T.A.; Møller, A.; Chan, R.C.K. Altered Functional Connectivity of the Default Mode Network in Patients With Schizo-Obsessive Comorbidity: A Comparison Between Schizophrenia and Obsessive-Compulsive Disorder. Schizophr. Bull. 2019, 45, 199–210. [Google Scholar] [CrossRef]
- Sheline, Y.I.; Barch, D.M.; Price, J.L.; Rundle, M.M.; Vaishnavi, S.N.; Snyder, A.Z.; Mintun, M.A.; Wang, S.; Coalson, R.S.; Raichle, M.E. The Default Mode Network and Self-Referential Processes in Depression. Proc. Natl. Acad. Sci. USA 2009, 106, 1942–1947. [Google Scholar] [CrossRef] [PubMed]
- Kuo, W.-H.; Gallo, J.J.; Eaton, W.W. Hopelessness, Depression, Substance Disorder, and Suicidality--a 13-Year Community-Based Study. Soc. Psychiatry Psychiatr. Epidemiol. 2004, 39, 497–501. [Google Scholar] [CrossRef] [PubMed]
- Cortés, R.; Soriano, E.; Pazos, A.; Probst, A.; Palacios, J.M. Autoradiography of Antidepressant Binding Sites in the Human Brain: Localization Using [3H]Imipramine and [3H]Paroxetine. Neuroscience 1988, 27, 473–496. [Google Scholar] [CrossRef]
- Ziebell, M.; Holm-Hansen, S.; Thomsen, G.; Wagner, A.; Jensen, P.; Pinborg, L.H.; Knudsen, G.M. Serotonin Transporters in Dopamine Transporter Imaging: A Head-to-Head Comparison of Dopamine Transporter SPECT Radioligands 123I-FP-CIT and 123I-PE2I. J. Nucl. Med. 2010, 51, 1885–1891. [Google Scholar] [CrossRef] [PubMed]


| Variable | Number (Percentage) | Mean | SD | Range | Median |
|---|---|---|---|---|---|
| Age | 65.82 | 12.42 | 30–82 | 69 | |
| Education years | 10.6 | 5.10 | 5–18 | 10.5 | |
| Sex | |||||
| Male Female | 22 (43.1%) | ||||
| 29 (56.1%) | |||||
| HDRS-21 | 21.67 | 3.51 | 18–31 | 21 | |
| Suicidality (HDRS-21 ITEM 3 > 0) | 20 (39.2%) | ||||
| BHS | 11.57 | 3.1 | 6–19 | 12 | |
| HAM-A | 15.35 | 3.19 | 10–23 | 15 | |
| DES | 7.42 | 6.06 | 1.07–38.93 | 6.07 |
| Striatal 123I-FP-CIT Binding Ratios | Mean | SD | Range | Median |
|---|---|---|---|---|
| Right Putamen | 2.56 | 0.33 | 1.68–3.29 | 2.60 |
| Left Putamen | 2.46 | 0.37 | 1.54–3 | 2.52 |
| Right Caudate | 3.35 | 0.45 | 2.07–4.3 | 3.27 |
| Left Caudate | 3.29 | 0.40 | 2.39–4.1 | 3.30 |
| Right Striatum | 2.68 | 0.43 | 1.65–3.61 | 2.69 |
| Left Striatum | 2.63 | 0.43 | 1.72–3.56 | 2.59 |
| Striatal 123I-FP-CIT Binding Ratios | Mean | SD | Range | F-value | p Value | |
|---|---|---|---|---|---|---|
| Right Putamen | High Suicide Risk | 2.48 | 0.36 | 1.68–3.29 | 1.598 | 0.212 |
| Low Suicide Risk | 2.60 | 0.30 | 2.00–3.29 | |||
| Left Putamen | High Suicide Risk | 2.31 | 0.45 | 1.54–3.00 | 5.677 | 0.021 * |
| Low Suicide Risk | 2.56 | 0.27 | 1.82–3.00 | |||
| Right Caudate | High Suicide Risk | 3.19 | 0.50 | 2.07–4.30 | 4.412 | 0.041 * |
| Low Suicide Risk | 3.45 | 0.39 | 2.95–4.28 | |||
| Left Caudate | High Suicide Risk | 3.18 | 0.43 | 2.39–3.90 | 2.918 | 0.094 |
| Low Suicide Risk | 3.37 | 0.36 | 2.70–4.10 | |||
| Right Striatum | High Suicide Risk | 2.58 | 0.43 | 1.65–3.40 | 1.633 | 0.207 |
| Low Suicide Risk | 2.74 | 0.42 | 1.81–3.61 | |||
| Left Striatum | High Suicide Risk | 2.52 | 0.44 | 1.76–3.56 | 2.150 | 0.149 |
| Low Suicide Risk | 2.70 | 0.41 | 1.72–3.50 | |||
© 2020 by the authors. Licensee MDPI, Basel, Switzerland. This article is an open access article distributed under the terms and conditions of the Creative Commons Attribution (CC BY) license (http://creativecommons.org/licenses/by/4.0/).
Share and Cite
Pettorruso, M.; d’Andrea, G.; Martinotti, G.; Cocciolillo, F.; Miuli, A.; Di Muzio, I.; Collevecchio, R.; Verrastro, V.; De-Giorgio, F.; Janiri, L.; et al. Hopelessness, Dissociative Symptoms, and Suicide Risk in Major Depressive Disorder: Clinical and Biological Correlates. Brain Sci. 2020, 10, 519. https://doi.org/10.3390/brainsci10080519
Pettorruso M, d’Andrea G, Martinotti G, Cocciolillo F, Miuli A, Di Muzio I, Collevecchio R, Verrastro V, De-Giorgio F, Janiri L, et al. Hopelessness, Dissociative Symptoms, and Suicide Risk in Major Depressive Disorder: Clinical and Biological Correlates. Brain Sciences. 2020; 10(8):519. https://doi.org/10.3390/brainsci10080519
Chicago/Turabian StylePettorruso, Mauro, Giacomo d’Andrea, Giovanni Martinotti, Fabrizio Cocciolillo, Andrea Miuli, Ilenia Di Muzio, Rebecca Collevecchio, Valeria Verrastro, Fabio De-Giorgio, Luigi Janiri, and et al. 2020. "Hopelessness, Dissociative Symptoms, and Suicide Risk in Major Depressive Disorder: Clinical and Biological Correlates" Brain Sciences 10, no. 8: 519. https://doi.org/10.3390/brainsci10080519
APA StylePettorruso, M., d’Andrea, G., Martinotti, G., Cocciolillo, F., Miuli, A., Di Muzio, I., Collevecchio, R., Verrastro, V., De-Giorgio, F., Janiri, L., di Giannantonio, M., Di Giuda, D., & Camardese, G. (2020). Hopelessness, Dissociative Symptoms, and Suicide Risk in Major Depressive Disorder: Clinical and Biological Correlates. Brain Sciences, 10(8), 519. https://doi.org/10.3390/brainsci10080519

