Grammatical Comprehension in Italian Children with Autism Spectrum Disorder
Abstract
1. Introduction
- To assess grammatical receptive skills in relation to other language abilities;
- To investigate the relative contributions of non-verbal cognitive abilities and the severity of autistic symptoms on the language profile of children with ASD;
- To examine the qualitative and quantitative differences in grammatical comprehension between ASD and TD children.
2. Materials and Methods
2.1. Sample
- A diagnosis of either autistic disorder according to DSM-IV-TR criteria or autism spectrum disorder according to DSM-5 criteria;
- Average or borderline non-verbal intellectual or developmental functioning level assessed through standardized psychometric tests;
- Expressive language at the level of multiword productions.
2.2. Tests and Procedures
2.3. Statistical Analysis
3. Results
3.1. Language Profiles
3.2. Correlations between Language Measures, Non-Verbal Cognitive Skills and Autistic Symptoms Severity
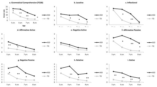
3.3. Grammatical Comprehension Profiles of ASD and TD Children
4. Discussion
4.1. Grammatical Comprehension Profiles in Children with ASD and TD
4.2. Limitations
5. Conclusions
Supplementary Materials
Author Contributions
Funding
Acknowledgments
Conflicts of Interest
References
- Lombardo, M.V.; Pierce, K.; Eyler, L.; Carter Barnes, C.; Ahrebs-Barbeau, C.; Solso, S.; Campbell, K.; Courchesne, E. Different functional neural substrates for good and poor language outcome in autism. Neuron 2015, 86, 567–577. [Google Scholar] [CrossRef]
- Lombardo, M.V.; Lai, M.; Baron-Cohen, S. Big data approaches to decomposing heterogeneity across the autism spectrum. Mol. Psychiatry 2019, 24, 1435–1450. [Google Scholar] [CrossRef]
- Rapin, I. Preschool Children with Inadequate Communication: Developmental Language Disorder, Autism, Low IQ; Mac Keith: London, UK, 1996. [Google Scholar]
- Wetherby, A.M.; Prizant, B.M.; Schuler, A.L. Understanding the nature of communication and language impairments. In Autism Spectrum Disorders: A Transactional Developmental Perspective; Wetherby, A., Prizant, B.M., Eds.; Paul H. Brookes Publishing: Baltimore, MD, USA, 2000; pp. 109–142. [Google Scholar]
- Boucher, J. Research Review: Structural language in autistic spectrum disorder—characteristics and causes. J. Child Psychol. Psychiatry 2012, 53, 219–233. [Google Scholar] [CrossRef]
- Anderson, D.K.; Lord, C.; Risi, S.; Di Lavore, P.S.; Shulman, C.; Thurm, A.; Welch, K.; Pickles, A. Patterns of growth in verbal abilities among children with autism spectrum disorder. J. Consult. Clin. Psychol. 2007, 75, 594–604. [Google Scholar] [CrossRef] [PubMed]
- Gotham, K.; Pickles, A.; Lord, C. Trajectories of autism severity in children using standardized ADOS scores. Pediatrics 2012, 130, 1278–1284. [Google Scholar] [CrossRef] [PubMed]
- Pickles, A.; Anderson, D.K.; Lord, C. Heterogeneity and plasticity in the development of language: A 17-year follow-up of children referred early for possible autism. J. Child Psychol. Psychiatry 2014, 5, 1354–1362. [Google Scholar] [CrossRef] [PubMed]
- Tager-Flusberg, H.; Caronna, E. Language disorders: Autism and other pervasive developmental disorders. Pediatr. Clin. N. Am. 2007, 54, 469–481. [Google Scholar] [CrossRef] [PubMed]
- Tager-Flusberg, H. Defining language impairments in a subgroup of children with autism spectrum disorder. Sci. China Life Sci. 2015, 58, 1044–1052. [Google Scholar] [CrossRef]
- Mitchell, S.; Brian, J.; Zwaigenbaum, L.; Roberts, W.; Szatmari, P.; Smith, I.; Bryson, S. Early language and communication development of infants later diagnosed with autism spectrum disorder. J. Dev. Behav. Pediatr. 2006, 27, 69–78. [Google Scholar] [CrossRef]
- Kjellmer, L.; Hedvall, A.; Fernell, E.; Gillberg, C.; Norrelgen, F. Language and communication skills in preschool children with autism spectrum disorders: Contribution of cognition, severity of autism symptoms, and adaptive functioning to the variability. Res. Dev. Disabil. 2012, 33, 172–180. [Google Scholar] [CrossRef]
- Tager-Flusberg, H. On the nature of linguistic functioning in early infantile autism. J. Autism Dev. Disord. 1981, 54, 469–481. [Google Scholar] [CrossRef] [PubMed]
- American Psychiatric Association (APA). Diagnostic and Statistical Manual of Mental Disorders, 5th ed.; American Psychiatry Association: Washington, DC, USA, 2013. [Google Scholar]
- Williams, D.; Botting, N.; Boucher, J. Language in autism and specific language impairment: Where are the links? Psychol. Bull. 2008, 134, 944–963. [Google Scholar] [CrossRef] [PubMed]
- Davidson, M.M.; Ellis Weismer, S. A discrepancy in comprehension and production in early language development in ASD: Is it clinically relevant? J. Autism Dev. Disord. 2017, 47, 2163–2175. [Google Scholar] [CrossRef] [PubMed]
- Hudry, K.; Leadbitter, K.; Temple, K.; Slonims, V.; McConachie, H.; Aldre, C.; Howlin, P.; Charman, T. Preschoolers with autism show greater impairment in receptive compared with expressive language abilities. Int. J. Lang. Commun. Disord. 2010, 45, 681–690. [Google Scholar] [CrossRef]
- Seol, K.I.; Song, S.H.; Kim, K.L.; Oh, S.T.; Kim, Y.T.; Im, W.Y.; Song, D.H.; Cheon, K.A. A comparison of receptive-expressive language profiles between toddlers with autism spectrum disorder and developmental language delay. Yonsei Med. J. 2014, 55, 1721–1728. [Google Scholar] [CrossRef]
- Woynarosky, T.; Yoder, P.; Watson, L.R. Atypical cross-modal profiles and longitudinal associations between vocabulary scores in initially minimally verbal children with ASD. Autism Res. 2016, 9, 301–310. [Google Scholar] [CrossRef]
- Charman, T.; Drew, A.; Baird, C.; Baird, G. Measuring early language development in preschool children with autism spectrum disorder using the MacArthur Communicative Development Inventory (Infant Form). J. Child Lang. 2003, 30, 213–236. [Google Scholar] [CrossRef]
- Ellis Weismer, S.; Lord, C.; Esler, A. Early language patterns of toddlers on the autism spectrum compared to toddlers with developmental delay. J. Autism Dev. Disord. 2010, 40, 1259–1273. [Google Scholar] [CrossRef]
- Kwok, E.Y.L.; Brown, H.M.; Smyth, R.E.; Cardy, J.O. Meta-analysis of receptive and expressive language skills in autism spectrum disorder. Res. Autism Spectr. Disord. 2015, 9, 202–222. [Google Scholar] [CrossRef]
- Reinhartsen, D.B.; Tapia, A.L.; Watson, L.; Crais, E.; Bradley, C.; Fairchild, J.; Herring, A.H.; Daniels, J. Expressive Dominant Versus Receptive Dominant Language Patterns in Young Children: Findings from the Study to Explore Early Development. J. Autism Dev. Disord. 2019, 49, 2447–2460. [Google Scholar] [CrossRef]
- Tager-Flusberg, H.; Paul, R.; Lord, C. Language and Communication in Autism. In Handbook of Autism and Pervasive Developmental Disorders: Diagnosis, Development, Neurobiology, and Behavior; Volkmar, F.R., Paul, R., Klin, A., Cohen, D., Eds.; John Wiley & Sons Inc.: Hoboken, NJ, USA, 2005; pp. 335–364. [Google Scholar]
- Young, N.; Hudry, K.; Trembath, D.; Vivanti, G. Children With Autism Show Reduced Information Seeking When Learning New Tasks. Am. J. Intellect. Dev. Disabil. 2016, 121, 65–73. [Google Scholar] [CrossRef] [PubMed]
- Cornew, L.; Dobkins, K.R.; Akshoomoff, N.; McCleery, J.P.; Carver, I.J. Atypical social referencing in infant siblings of children with Autism Spectrum Disorders. J. Autism Dev. Disord. 2012, 42, 2611–2621. [Google Scholar] [CrossRef] [PubMed]
- Scambler, D.; Hepburn, S.; Rutherford, M.; Wehner, E.; Rogers, S. Emotional responsivity in children with autism, children with other developmental disabilities, and children with typical development. J. Autism Dev. Disord. 2007, 37, 553–563. [Google Scholar] [CrossRef] [PubMed]
- Volkmar, F.R. Understanding the social brain in autism. Dev. Psychobiol. 2011, 53, 428–434. [Google Scholar] [CrossRef]
- Menyuk, P. Language Development: Knowledgeand Use; Addison-Wesley Longman: Chicago, IL, USA, 1988. [Google Scholar]
- Menyuk, P.; Liebergott, J.W.; Schultz, M.C. Early Language Development in Full-Term and Premature Infants; Psychology Press: New York, NY, USA, 2014. [Google Scholar]
- Tager-Flusberg, H.; Kasari, C. Minimally verbal school-aged children with autism spectrum disorder: The Neglected End of the Spectrum. Autism Res. 2013, 6, 468–478. [Google Scholar] [CrossRef]
- Fein, D.; Barton, M.; Eigsti, I.M.; Kelley, E.; Naigles, L.; Schultz, R.T. Optimal outcome in individuals with a history of autism. J. Child Psychol. Psychiatry 2013, 54, 195–205. [Google Scholar] [CrossRef]
- Chilosi, A.M.; Cipriani, P. TCGB Test di Comprensione Grammaticale Per Bambini; Edizioni Del Cerro: Tirrenia, Pisa, Italy, 2006. [Google Scholar]
- Dunn, L.M.; Dunn, L.M. Peabody Picture Vocabulary Test; Guidance Associates: Wilmingston, DE, USA, 1981. [Google Scholar]
- Brizzolara, D. Test di Vocabolario Figurato; Technical Report of the Research Project 500.4/62.1/1134; Italian Department of Health to IRCCS Stella Maris: Calambrone, Pisa, Italy, 1989. [Google Scholar]
- Cipriani, P.; Chilosi, A.M.; Bottari, P.; Pfanner, L. L’acquisizione Della Morfosintassi Dell’italiano: Fasi e Processi; Uipress: Padova, Italy, 1993. [Google Scholar]
- Cipriani, P.; Chilosi, A.M.; Pfanner, L.; Villani, S.; Bottari, P. Il ritardo di linguaggio in età precoce: Profili evolutivi e indici di rischio. In Indici di Rischio Nel Primo Sviluppo Del Linguaggio; Caselli, C., Capirci, O., Eds.; Franco Angeli: Milano, Italy, 2002; pp. 95–108. [Google Scholar]
- Wechsler, D. Wechsler Preschool and Primary Scale of Intelligence, 3rd ed.; Harcourt Assessment: San Antonio, TX, USA, 2002. [Google Scholar]
- Wechsler, D. Wechsler Intelligence Scale for Children, 4th ed.; Psychological Corporation: San Antonio, TX, USA, 2003. [Google Scholar]
- Griffiths, R. The Abilities of Young Children: A Comprehensive System of Mental Measurement for the First Eight Years of Life (Revised Edition); Bucks: A.R.I.C.D. Test Agency Limited: London, UK, 1984. [Google Scholar]
- Lord, C.; Risi, S.; Lambrecht, L.; Cook, E.H.; Leventhal, B.L.; DiLavore, P.C.; Pickles, A.; Rutter, M. The Autism Diagnostic Observation Schedule-Generic: A Standard Measure of Social and Communication Deficits Associated with the Spectrum of Autism. J. Autism Dev. Disord. 2000, 30, 205–223. [Google Scholar] [CrossRef]
- Lord, C.; Rutter, M.; DiLavore, P.C.; Risi, S.; Luyster, R.J.; Gotham, K.; Bishop, S.L.; Guthrie, W. ADOS-2—Autism Diagnostic Observation Schedule-Second Edition; Colombi, C., Tancredi, R., Persico, A., Faggioli, R., Eds.; Hogrefe: Göttingen, Germany, 2013. [Google Scholar]
- Kjellmer, L.; Fernell, E.; Gillberg, C.; Norrelgen, F. Speech and language profiles in 4- to 6-year-old children with early diagnosis of autism spectrum disorder without intellectual disability. Neuropsychiatr. Dis. Treat. 2018, 14, 2415–2427. [Google Scholar] [CrossRef]
- Rapin, I. Language and its development in the autism spectrum disorders. In Language: Normal and Pathological Development; Riva, D., Rapin, I., Zardini, G., Eds.; John Libbey Eurotext: Montrange, France, 2006; pp. 121–137. [Google Scholar]
- Rapin, I.; Allen, D.A.; Aram, D.M.; Dunn, M.A.; Fein, D.; Morris, R.; Waterhouse, L. Classification issues, in Rapin, I. In Preschool Children with Inadequate Communication; MacKeith: London, UK, 1996; pp. 190–201. [Google Scholar]
- Chilosi, A.M.; Pfanner, L.; Pecini, C.; Salvadorini, R.; Casalini, C.; Brizzolara, D.; Cipriani, P. Which linguistic measures distinguish transient from persistent language problems in Late Talkers from 2 to 4 years? A study on Italian speaking children. Res. Dev. Disabil. 2019, 89, 59–68. [Google Scholar] [CrossRef]
- Paul, R.; Fischer, M.L.; Cohen, D.J. Brief Report: Sentence comprehension strategies in children with autism and specific language disorders. J. Autism Dev. Disord. 1988, 18, 669–679. [Google Scholar] [CrossRef]
- Prior, M.R.; Hall, L.C. Comprehension of transitive and intransitive phrases by autistic, retarded, and normal children. J. Commun. Disord. 1979, 12, 103–111. [Google Scholar] [CrossRef]
- Tager-Flusberg, H. Sentence comprehension in autistic children. Appl. Psycholinguist. 1981, 2, 5–24. [Google Scholar] [CrossRef]
- Kover, S.T.; Haebig, E.; Oakes, A.; McDuffie, A.; Hagerman, R.J.; Abbeduto, L. Sentence comprehension in boys with autism spectrum disorder. Am. J. Speech Lang. Pathol. 2014, 23, 385–394. [Google Scholar] [CrossRef] [PubMed][Green Version]
- Catts, H.W.; Fey, M.E.; Tomblin, J.B.; Zhang, X. A longitudinal investigation of reading outcomes in children with language impairments. J. Speech Lang. Hear. Res. 2002, 45, 1142–1157. [Google Scholar] [CrossRef]
- Stothard, S.E.; Snowling, M.J.; Bishop, D.V.; Chipchase, B.B.; Kaplan, C.A. Language-impaired preschoolers: A follow-up into adolescence. J. Speech Lang. Hear. Res. 1998, 41, 407–418. [Google Scholar] [CrossRef]

| Children’s Language, Cognitive and ADS Profiles | Mean | SD | Mean z Score |
|---|---|---|---|
| Age | 76.43 | 11.80 | - |
| Grammatical Comprehension (TCGB) | 20.33 | 11.27 | −3.25 |
| Locative | 2.55 | 2.14 | −1.66 |
| Inflectional | 3.29 | 2.47 | −2.55 |
| Affirmative Active | 1.99 | 1.98 | −2.59 |
| Negative Active | 1.90 | 1.68 | −0.86 |
| Affirmative Passive | 3.31 | 2.29 | −2.58 |
| Negative Passive | 2.74 | 1.79 | −2.61 |
| Relative | 2.59 | 1.85 | −2.97 |
| Dative | 1.96 | 1.33 | −4.73 |
| Receptive Vocabulary (QL PPVT-R) | 80.72 | 11.12 | −1.22 |
| Grammatical production level (GASS) | 4.18 | 0.62 | - |
| Expressive Vocabulary for high-frequency words (Brizzolara) | 13.58 | 5.27 | −0.38 |
| Expressive Vocabulary for low-frequency words (Brizzolara) | 32.32 | 6.09 | −0.77 |
| NVIQ | 100.62 | 14.66 | - |
| ADOS Comparison Score | 5.30 | 1.42 | - |
| Grammatical Comprehension | 5 Years | 6 Years | 7 Years | 8 Years | ||||||||
|---|---|---|---|---|---|---|---|---|---|---|---|---|
| TD (n = 21) | ASD (n = 21) | p | TD (n = 14) | ASD (n = 14) | p | TD (n = 12) | ASD (n = 12) | p | TD (n = 7) | ASD (n = 7) | p | |
| TCGB Total score | 14.00 (6.51) | 21.38 (8.95) | 0.004 | 6.86 (2.64) | 20.68 (3.27) | 0.000 | 2.79 (1.12) | 14.00 (7.48) | 0.000 | 2.21 (2.02) | 9.14 (4.92) | 0.005 |
| Locative | 1.79 (1.52) | 2.38 (1.84) | ns | 1.00 (0.70) | 2.11 (1.36) | 0.012 | 0.38 (0.57) | 2.17 (1.70) | 0.002 | 0.14 (0.24) | 1.14 (0.85) | 0.011 |
| Inflectional | 3.21 (2.22) | 3.60 (2.40) | ns | 1.04 (1.15) | 2.33 (0.62) | 0.002 | 0.29 (0.33) | 2.42 (1.04) | 0.000 | 0.29 (0.39) | 0.57 (0.45) | ns |
| Affirmative Active | 0.88 (0.74) | 2.29 (1.55) | 0.001 | 0.61 (0.56) | 1.61 (1.66) | 0.043 | 0.25 (0.50) | 1.08 (1.28) | 0.047 | 0.21 (0.57) | 0.64 (0.80) | ns |
| Negative Active | 1.71 (1.27) | 2.07 (1.54) | ns | 1.25 (1.03) | 1.64 (1.26) | ns | 0.46 (0.58) | 1.00 (1.19) | ns | 0.50 (0.58) | 0.79 (0.99) | ns |
| Affirmative Pass. | 2.45 (2.64) | 3.19 (2.11) | ns | 1.07 (1.47) | 3.71 (2.55) | 0.003 | 0.38 (0.38) | 3.00 (2.13) | 0.000 | 0.29 (0.57) | 2.00 (1.68) | 0.025 |
| Negative Passive | 1.64 (1.43) | 2.71 (1.51) | 0.023 | 0.71 (0.80) | 3.07 (1.20) | 0.000 | 0.42 (0.51) | 1.79 (1.47) | 0.006 | 0.43 (0.53) | 1.21 (1.55) | ns |
| Relative | 1.74 (1.34) | 2.74 (1.86) | ns | 0.93 (0.92) | 3.11 (1.91) | 0.001 | 0.50 (0.56) | 1.50 (1.46) | 0.038 | 0.29 (0.39) | 1.71 (0.81) | 0.001 |
| Dative | 0.57 (0.81) | 2.38 (1.22) | 0.000 | 0.25 (0.38) | 2.04 (1.42) | 0.000 | 0.13 (0.31) | 0.92 (0.63) | 0.001 | 0.07 (0.19) | 1.07 (0.67) | 0.003 |
| Structure | Sub-Categories | TD (n = 54) | ASD (n = 54) | Mann–Whitney Test |
|---|---|---|---|---|
| Locative | topological | 0.12 (0.34) | 0.42 (0.88) | 0.021 |
| projective | 0.94 (1.07) | 1.57 (1.31) | 0.009 | |
| Inflectional | nominal | 0.07 (0.20) | 0.16 (0.50) | ns |
| verbal | 0.84 (1.14) | 1.80 (1.46) | 0.000 | |
| possessive | 0.70 (1.16) | 0.89 (0.92) | 0.027 | |
| Affirmative Active | SV (reflexive) | 0.08 (0.30) | 0.41 (0.46) | 0.000 |
| reversible probable | 0.11 (0.21) | 0.05 (0.18) | 0.048 | |
| reversible neutral | 0.13 (0.28) | 0.28 (0.50) | ns | |
| reversible improbable | 0.07 (0.26) | 0.54 (0.66) | 0.000 | |
| reversible with subject object inanimate-animate | 0.19 (0.37) | 0.30 (0.65) | ns | |
| Negative Active | SV | 0.01 (0.07) | 0.13 (0.48) | 0.041 |
| SVO irreversible | 0.50 (0.67) | 0.43 (0.65) | ns | |
| SVO reversible | 0.65 (0.84) | 1.00 (0.92) | 0.023 | |
| Affirmative Passive | irreversible | 0.53 (1.08) | 0.40 (0.53) | ns |
| reversible probable | 0.22 (0.49) | 0.94 (1.06) | 0.000 | |
| reversible improbable | 0.35 (0.55) | 0.95 (0.84) | 0.000 | |
| reversible neutral | 0.25 (0.59) | 0.78 (1.02) | 0.000 | |
| Negative Passive | SV | 0.10 (0.36) | 0.77 (0.72) | 0.000 |
| SVA irreversible | 0.34 (0.53) | 0.55 (0.68) | ns | |
| SVA reversible | 0.53 (0.88) | 1.05 (0.96) | 0.002 | |
| Relative | embedded | 0.61 (0.70) | 1.44 (1.09) | 0.000 |
| right branching | 0.45 (0.75) | 0.92 (1.12) | 0.022 | |
| Dative | AAA | 0.26 (0.56) | 0.92 (0.85) | 0.000 |
| AIA | 0.07 (0.24) | 0.86 (0.88) | 0.000 |
© 2020 by the authors. Licensee MDPI, Basel, Switzerland. This article is an open access article distributed under the terms and conditions of the Creative Commons Attribution (CC BY) license (http://creativecommons.org/licenses/by/4.0/).
Share and Cite
Barsotti, J.; Mangani, G.; Nencioli, R.; Pfanner, L.; Tancredi, R.; Cosenza, A.; Sesso, G.; Narzisi, A.; Muratori, F.; Cipriani, P.; et al. Grammatical Comprehension in Italian Children with Autism Spectrum Disorder. Brain Sci. 2020, 10, 510. https://doi.org/10.3390/brainsci10080510
Barsotti J, Mangani G, Nencioli R, Pfanner L, Tancredi R, Cosenza A, Sesso G, Narzisi A, Muratori F, Cipriani P, et al. Grammatical Comprehension in Italian Children with Autism Spectrum Disorder. Brain Sciences. 2020; 10(8):510. https://doi.org/10.3390/brainsci10080510
Chicago/Turabian StyleBarsotti, Jessica, Gloria Mangani, Roberta Nencioli, Lucia Pfanner, Raffaella Tancredi, Angela Cosenza, Gianluca Sesso, Antonio Narzisi, Filippo Muratori, Paola Cipriani, and et al. 2020. "Grammatical Comprehension in Italian Children with Autism Spectrum Disorder" Brain Sciences 10, no. 8: 510. https://doi.org/10.3390/brainsci10080510
APA StyleBarsotti, J., Mangani, G., Nencioli, R., Pfanner, L., Tancredi, R., Cosenza, A., Sesso, G., Narzisi, A., Muratori, F., Cipriani, P., & Chilosi, A. M. (2020). Grammatical Comprehension in Italian Children with Autism Spectrum Disorder. Brain Sciences, 10(8), 510. https://doi.org/10.3390/brainsci10080510

