Cognitive and Emotional Aspects of Cupping Therapy
Abstract
1. Introduction
2. Materials and Methods
2.1. Participants
2.2. Emotional Visual Stimuli
2.3. Experimental Procedure
2.4. Fear of Pain Questionnaire
2.5. Data Analysis
3. Results
3.1. Baseline Characteristics
3.2. Psychophysical Responses to Emotional Visual Stimuli
3.3. Cluster Analysis of Emotional Visual Stimuli
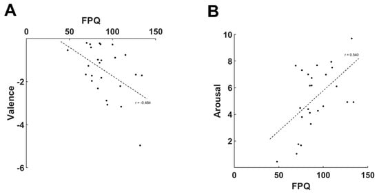
3.4. Correlation Between Emotional Components of Cupping Therapy and Fear of Pain Questionnaire Scores
4. Discussion
Author Contributions
Funding
Conflicts of Interest
References
- Kaptchuk, T.J. Consequences of cupping. N. Engl. J. Med. 1997, 336, 1109. [Google Scholar] [PubMed]
- Qureshi, N.A.; Ali, G.I.; Abushanab, T.S.; El-Olemy, A.T.; Alqaed, M.S.; El-Subai, I.S.; Al-Bedah, A.M.N. History of cupping (Hijama): A narrative review of literature. J. Integr. Med. 2017, 15, 172–181. [Google Scholar] [CrossRef]
- Aboushanab, T.S.; AlSanad, S. Cupping Therapy: An Overview from a Modern Medicine Perspective. J. Acupunct. Meridian Stud. 2018, 11, 83–87. [Google Scholar] [CrossRef] [PubMed]
- Huber, R.; Emerich, M.; Braeunig, M. Cupping—Is it reproducible? Experiments about factors determining the vacuum. Complement. Ther. Med. 2011, 19, 78–83. [Google Scholar] [CrossRef] [PubMed]
- Tham, L.M.; Lee, H.P.; Lu, C. Cupping: From a biomechanical perspective. J. Biomech. 2006, 39, 2183–2193. [Google Scholar] [CrossRef] [PubMed]
- Kim, J.I.; Lee, M.S.; Lee, D.H.; Boddy, K.; Ernst, E. Cupping for treating pain: A systematic review. Evid. Based Complement. Alternat Med. 2011, 2011, 467014. [Google Scholar] [CrossRef] [PubMed]
- Lauche, R.; Spitzer, J.; Schwahn, B.; Ostermann, T.; Bernardy, K.; Cramer, H.; Dobos, G.; Langhorst, J. Efficacy of cupping therapy in patients with the fibromyalgia syndrome-a randomised placebo controlled trial. Sci. Rep. 2016, 6, 37316. [Google Scholar] [CrossRef]
- Cao, H.; Li, X.; Liu, J. An updated review of the efficacy of cupping therapy. PLoS ONE 2012, 7, e31793. [Google Scholar] [CrossRef]
- Bridgett, R.; Klose, P.; Duffield, R.; Mydock, S.; Lauche, R. Effects of Cupping Therapy in Amateur and Professional Athletes: Systematic Review of Randomized Controlled Trials. J. Altern. Complement. Med. 2018, 24, 208–219. [Google Scholar] [CrossRef]
- El-Ghitany, E.M.; Abdel Wahab, M.M.; Abd El-Wahab, E.W.; Hassouna, S.; Farghaly, A.G. A comprehensive hepatitis C virus risk factors meta-analysis (1989–2013): Do they differ in Egypt? Liver Int. 2015, 35, 489–501. [Google Scholar] [CrossRef]
- Kim, K.H.; Kim, T.H.; Hwangbo, M.; Yang, G.Y. Anaemia and skin pigmentation after excessive cupping therapy by an unqualified therapist in Korea: A case report. Acupunct. Med. 2012, 30, 227–228. [Google Scholar] [CrossRef] [PubMed]
- Lee, S.Y.; Sin, J.I.; Yoo, H.K.; Kim, T.S.; Sung, K.Y. Cutaneous Mycobacterium massiliense infection associated with cupping therapy. Clin. Exp. Dermatol. 2014, 39, 904–907. [Google Scholar] [CrossRef] [PubMed]
- Turtay, M.G.; Turgut, K.; Oguzturk, H. Unexpected lumbar abscess due to scarification wet cupping: A case report. Complement. Ther. Med. 2014, 22, 645–647. [Google Scholar] [CrossRef] [PubMed]
- Kim, S.B.; Lee, Y.H. Numerical analysis of the change in skin color due to ecchymosis and petechiae generated by cupping: A pilot study. J. Acupunct. Meridian Stud. 2014, 7, 306–317. [Google Scholar] [CrossRef] [PubMed]
- Manber, H.; Kanzler, M. Images in clinical medicine. Consequences of cupping. N. Engl. J. Med. 1996, 335, 1281. [Google Scholar] [CrossRef] [PubMed]
- Yoo, S.S.; Tausk, F. Cupping: East meets West. Int. J. Dermatol. 2004, 43, 664–665. [Google Scholar] [CrossRef] [PubMed]
- Kaptchuk, T.J.; Miller, F.G. Placebo Effects in Medicine. N. Engl. J. Med. 2015, 373, 8–9. [Google Scholar] [CrossRef]
- Kam-Hansen, S.; Jakubowski, M.; Kelley, J.M.; Kirsch, I.; Hoaglin, D.C.; Kaptchuk, T.J.; Burstein, R. Altered placebo and drug labeling changes the outcome of episodic migraine attacks. Sci. Transl. Med. 2014, 6, 218ra5. [Google Scholar] [CrossRef]
- Bingel, U.; Wanigasekera, V.; Wiech, K.; Ni Mhuircheartaigh, R.; Lee, M.C.; Ploner, M.; Tracey, I. The effect of treatment expectation on drug efficacy: Imaging the analgesic benefit of the opioid remifentanil. Sci. Transl. Med. 2011, 3, 70ra14. [Google Scholar] [CrossRef]
- Linde, K.; Witt, C.M.; Streng, A.; Weidenhammer, W.; Wagenpfeil, S.; Brinkhaus, B.; Willich, S.N.; Melchart, D. The impact of patient expectations on outcomes in four randomized controlled trials of acupuncture in patients with chronic pain. Pain 2007, 128, 264–271. [Google Scholar] [CrossRef]
- Lundh, L.G. Placebo, belief, and health. A cognitive-emotional model. Scand. J. Psychol. 1987, 28, 128–143. [Google Scholar]
- Bradley, M.M.; Codispoti, M.; Cuthbert, B.N.; Lang, P.J. Emotion and motivation I: Defensive and appetitive reactions in picture processing. Emotion 2001, 1, 276–298. [Google Scholar] [CrossRef]
- Price, D.D.; Finniss, D.G.; Benedetti, F. A comprehensive review of the placebo effect: Recent advances and current thought. Annu. Rev. Psychol. 2008, 59, 565–590. [Google Scholar] [CrossRef] [PubMed]
- Benedetti, F.; Amanzio, M.; Casadio, C.; Oliaro, A.; Maggi, G. Blockade of nocebo hyperalgesia by the cholecystokinin antagonist proglumide. Pain 1997, 71, 135–140. [Google Scholar] [CrossRef]
- McNeil, D.W.; Rainwater, A.J., III. Development of the Fear of Pain Questionnaire—III. J. Behav. Med. 1998, 21, 389–410. [Google Scholar] [CrossRef]
- Adler, A.; Katabi, S.; Finkes, I.; Israel, Z.; Prut, Y.; Bergman, H. Temporal convergence of dynamic cell assemblies in the striato-pallidal network. J. Neurosci. 2012, 32, 2473–2484. [Google Scholar] [CrossRef]
- Kim, J.; Chung, Y.G.; Chung, S.C.; Bulthoff, H.H.; Kim, S.P. Neural Categorization of Vibrotactile Frequency in Flutter and Vibration Stimulations: An fMRI Study. IEEE Trans. Haptics 2016, 9, 455–464. [Google Scholar] [CrossRef]
- Lang, P.J.; Greenwald, M.K.; Bradley, M.M.; Hamm, A.O. Looking at pictures: Affective, facial, visceral, and behavioral reactions. Psychophysiology 1993, 30, 261–273. [Google Scholar] [CrossRef]
- Calvo, M.G.; Avero, P. Reaction time normative data for the IAPS as a function of display time, gender, and picture content. Behav. Res. Methods 2009, 41, 184–191. [Google Scholar] [CrossRef]
- Bingel, U.; Placebo Competence, T. Avoiding nocebo effects to optimize treatment outcome. JAMA 2014, 312, 693–694. [Google Scholar] [CrossRef]
- Kessner, S.; Wiech, K.; Forkmann, K.; Ploner, M.; Bingel, U. The effect of treatment history on therapeutic outcome: An experimental approach. JAMA Intern. Med. 2013, 173, 1468–1469. [Google Scholar] [CrossRef] [PubMed]
- Benedetti, F.; Durando, J.; Vighetti, S. Nocebo and placebo modulation of hypobaric hypoxia headache involves the cyclooxygenase-prostaglandins pathway. Pain 2014, 155, 921–928. [Google Scholar] [CrossRef] [PubMed]
- Jensen, K.B.; Kaptchuk, T.J.; Chen, X.; Kirsch, I.; Ingvar, M.; Gollub, R.L.; Kong, J. A Neural Mechanism for Nonconscious Activation of Conditioned Placebo and Nocebo Responses. Cereb. Cortex 2015, 25, 3903–3910. [Google Scholar] [CrossRef] [PubMed]
- Jensen, K.B.; Kaptchuk, T.J.; Kirsch, I.; Raicek, J.; Lindstrom, K.M.; Berna, C.; Gollub, R.L.; Ingvar, M.; Kong, J. Nonconscious activation of placebo and nocebo pain responses. Proc. Natl. Acad. Sci. USA 2012, 109, 15959–15964. [Google Scholar] [CrossRef] [PubMed]
- Chae, Y.; Kim, S.Y.; Park, H.S.; Lee, H.; Park, H.J. Experimentally manipulating perceptions regarding acupuncture elicits different responses to the identical acupuncture stimulation. Physiol. Behav. 2008, 95, 515–520. [Google Scholar] [CrossRef] [PubMed]
- Schwarz, K.A.; Pfister, R.; Buchel, C. Rethinking Explicit Expectations: Connecting Placebos, Social Cognition, and Contextual Perception. Trends Cogn. Sci. 2016, 20, 469–480. [Google Scholar] [CrossRef]
- Kim, H.S.; Kim, Y.J.; Lee, H.J.; Kim, S.Y.; Lee, H.; Chang, D.S.; Lee, H.; Park, H.J.; Chae, Y. Development and validation of acupuncture fear scale. Evid. Based Complement. Alternat. Med. 2013, 2013, 109704. [Google Scholar] [CrossRef]
- van Wijk, A.J.; Hoogstraten, J. The Fear of Dental Pain questionnaire: Construction and validity. Eur. J. Oral Sci. 2003, 111, 12–18. [Google Scholar] [CrossRef]
- Lee, I.S.; Jo, H.J.; Lee, S.H.; Lee, H.; Lee, H.; Park, H.J.; Chae, Y. Fear of acupuncture enhances sympathetic activation to acupuncture stimulation. Acupunct. Med. 2013, 31, 276–281. [Google Scholar] [CrossRef]




© 2020 by the authors. Licensee MDPI, Basel, Switzerland. This article is an open access article distributed under the terms and conditions of the Creative Commons Attribution (CC BY) license (http://creativecommons.org/licenses/by/4.0/).
Share and Cite
Hong, M.; Lee, I.-S.; Ryu, Y.; Kim, J.; Chae, Y. Cognitive and Emotional Aspects of Cupping Therapy. Brain Sci. 2020, 10, 144. https://doi.org/10.3390/brainsci10030144
Hong M, Lee I-S, Ryu Y, Kim J, Chae Y. Cognitive and Emotional Aspects of Cupping Therapy. Brain Sciences. 2020; 10(3):144. https://doi.org/10.3390/brainsci10030144
Chicago/Turabian StyleHong, Minyoung, In-Seon Lee, Yeonhee Ryu, Junsuk Kim, and Younbyoung Chae. 2020. "Cognitive and Emotional Aspects of Cupping Therapy" Brain Sciences 10, no. 3: 144. https://doi.org/10.3390/brainsci10030144
APA StyleHong, M., Lee, I.-S., Ryu, Y., Kim, J., & Chae, Y. (2020). Cognitive and Emotional Aspects of Cupping Therapy. Brain Sciences, 10(3), 144. https://doi.org/10.3390/brainsci10030144
