Next Article in Journal
A Modified Leakage Localization Method Using Multilayer Perceptron Neural Networks in a Pressurized Gas Pipe
Previous Article in Journal
Plant Disease Diagnosis for Smart Phone Applications with Extensible Set of Diseases
 
 
Font Type:
Arial Georgia Verdana
Font Size:
Aa Aa Aa
Line Spacing:
Column Width:
Background:
Article

Effect of PVA/SiO2 NPs Additive on the Structural, Durability, and Fire Resistance Properties of Geopolymers

Institute of Advanced Engineering Structures and Materials, College of Civil Engineering and Architecture, Zhejiang University, Hangzhou 310058, China
*
Author to whom correspondence should be addressed.
Appl. Sci. 2019, 9(9), 1953; https://doi.org/10.3390/app9091953
Submission received: 1 April 2019 / Revised: 29 April 2019 / Accepted: 6 May 2019 / Published: 13 May 2019
(This article belongs to the Section Civil Engineering)

Abstract

This exertion introduces polyvinyl alcohol fiber/silica nanoparticles (poly vinyl alcohol (PVA)/SiO2 NPs) in the fly ash-based geopolymer at ambient curing temperature. The present study aims at investigating the structural properties (compressive, bond strength, fracture parameters (fracture toughness (KIc), crack mouth opening displacement (CMOD)), cyclic compression), durability (freeze-thaw), and fire resistivity of the newly developed PVA/SiO2 NPs mediated geopolymer. The outcomes suggest that geopolymers incorporated with 5% PVA fibers showed improved structural properties and durability as compared to other specimens. Investigation on the fire resistivity of the geopolymers exposed to different heating temperatures (400 °C, 600 °C, 800 °C), showed that geopolymers with PVA/SiO2 NPs significantly prevented the explosive concrete spalling. Microstructural studies confirmed that PVA fibers in the geopolymeric matrixes were well distributed and developed a fiber-bridging texture with improved performance. Addition of the nano-silica particles accelerated the heat evolution during the hydration process and the geopolymeric reaction (formation of sodium aluminosilicate N-A-S-H gel) at ambient curing environment.

1. Introduction

Class F fly ash, an industrial byproduct of coal fired power stations containing high amounts of silicon and aluminum, has been used in different ways for the production of green cementitious composites and advanced durable geopolymer materials [1,2]. The production of the fly ash-based geopolymer requires approximately 60% less energy and has at least 80% less CO2 emissions as compared to the manufacturing of ordinary Portland cement (OPC) [3]. Geopolymers are currently being considered as alternative to OPC and have drawn substantial attention for structural applications due to their cost efficiency, chemical stability, corrosion resistance, rapid strength gain at ambient temperature, lower permeability, and superior resistance to fire and acid attacks. Other advantages include good resistance to freeze–thaw cycles as well as excellent remediation of heavy metal ions [4,5,6]. Despite being eco-friendly construction material, its large-scale structural application is limited because of quasi-brittle behavior, similar to OPC. To overcome this problem, many researchers have utilized the different types of fibers to reinforce the geopolymer composites [7,8,9,10,11,12].
Generally, the addition of different fibers to the geopolymer matrix is proposed to enhance the mechanical properties, such as compressive strength, flexural strength, and toughness. The inherent properties of the fibers, such as aspect ratio and fiber contents, significantly influence the performance of geopolymers. The presence of fibers plays a bridging action in the geopolymer matrixes and controls the crack to propagate, hence increasing its fracture toughness. Fracture toughness is a property of the material to resist cracks when subjected to external loading. Several studies have been performed to measure the fracture parameters of concrete and geopolymers [13,14,15,16]. Therefore, to avoid catastrophic failure of geopolymer structures, the fracture parameters need to be improved. Resistance to fire should be a fundamental characteristic of a geopolymer. The previous studies [17,18,19] showed that geopolymer composites had excellent fire resistance when exposed to elevated temperatures. Generally, geopolymers are considered to be resistant, both at high (above 1000 °C) and low temperatures, due to the freeze-thaw effect. The measurement of freeze-thaw resistance is very important in terms of structural durability. To obtain early greater strengths, nanoparticles, such as SiO2, are considered as one of the additive materials to cement-based composites. Due to the high reactivity of nano-SiO2, it accelerates the hydration of cement and behaves as a nucleus for cement pastes. It also acts as nano-filler to dense and improve the microstructure, resulting in reduced porosity of specimens [20]. Nanosilica was also found to be a beneficial additive in improving the microstructure and mechanical properties of the fly ash-based geopolymer, cured at ambient temperature [21,22]. The effect of nano-SiO2 on the mechanical strength of geopolymer pastes containing fly ash and ground granulated blast-furnace slag (GGBFS) were investigated at room temperature. The results showed that the microstructure and strength of geopolymers were improved with the addition of nano-SiO2 (0–3% by weight of fly ash) [23]. The researchers [5] also studied the influence of different concentrations of nano-SiO2 on the mechanical development of the fly ash-based geopolymer. They concluded that 6% nano-SiO2, with alkaline activator to fly ash ratio 0.4, gave an appreciable compressive strength under ambient curing.
Incorporation of poly vinyl alcohol (PVA) fibers enhanced the compressive and splitting strength of specimens by 9.95% and 61.69%, respectively, as compared to non-fibrous specimens [24]. In our previous study [25], fly ash-based geopolymers, reinforced with poly vinyl alcohol (PVA) fibers and SiO2 nanoparticles, were developed with enhanced mechanical strength and durability. The multiple cracking behaviors appeared in the developed geopolymer binder when subjected to flexural and compressive loading and, hence, ductile failure was observed. To utilize the beneficial aspects of geopolymer material and its application in structural designing, such as seismic and fatigue, a comprehensive knowledge of its cyclic behavior is essential. For seismic design of structures, the brittle catastrophic failure due to the cyclic response (the behavior of material under cyclic loading) of materials under the cyclic compression test is very important. To develop constitutive models and study the cyclic behavior of composite materials, the response of materials at different cyclic loading schemes should be addressed. Limited literature is available for the cyclic response of cement-based materials and geopolymers [26,27,28]. The present study will explore the possible utilization of PVA/SiO2 NPs mediated geopolymers to obtain load-displacements curves under cyclic compression. Therefore, the aim of the present exertion is to develop an optimum PVA/SiO2 NPs reinforced the fly ash-based geopolymer binder to improve the properties, namely the fracture toughness, bond strength, and cyclic response of the material. In addition, fire resistance and freeze-thaw effects have been also investigated. Microstructural analyses via X-ray diffraction (XRD), Fourier transformed infra-red (FTIR) spectroscopy, and Field emission scanning electron microscopy (FESEM) equipped with energy-dispersive X-ray spectroscopy (EDS) have also been executed.

2. Materials and Methods

2.1. Materials

Class F fly ash was used to prepare the geopolymers, produced by Hangzhou Yi-solid New Material Technology Co., Ltd. The chemical composition of fly ash is shown in Table 1. Sodium hydroxide (NaOH), liquid sodium silicate (Na2SiO3), distilled water, and silica nanoparticles (30 ± 5 nm) were obtained from Macklin, China. PVA fibers available in the laboratory were used in geopolymers. The properties of PVA fibers are given in Table 2. The natural sand, with fineness modulus of value 2.52, was used to make mortar specimens.

2.2. Specimens Preparation

Based on the results of our previous study, the geopolymer composites, with mix proportions, were established [25]. An alkaline activator was prepared by mixing 10 M NaOH with liquid Na2SiO3 in a weight ratio (10 M NaOH/Na2SiO3) of 2. The fly ash to sand ratio was 1:3. Different concentrations (0%, 3%, 5%, 7%) of PVA fibers were mixed with fly ash by using a Hobart mixer for 3 min. Natural sand was then added to the fly ash-PVA fiber mixture for further 3 min. Silica nanoparticles (6% of total fly ash) were mixed to the alkaline activator through continuous mechanical stirring and kept at (30 ± 2) °C for 30 min. Then the alkali activator solution was added into the mixture for 5 min, while the mixture was running. The fly ash and alkali activator ratio was affixed at 0.75. Different trial mixes of the fly ash-based geopolymer mortar activated by the alkali activator solution exhibited that this ratio delivered near-optimum workability and strength. After casting the specimens, compaction was made on a vibrating table for 30 s. The specimens were cured at ambient temperature for 56 days. The samples were labelled as GP0, GP3, GP5, and GP7, depending upon the fiber concentrations (0%, 3%, 5%, and 7%). The sample GP0 is taken as reference.

2.3. Testing Methods

2.3.1. Fracture Test

Three-point bending tests on notched beam specimens were conducted to evaluate the crack mouth opening displacement (CMOD) and fracture toughness (KIc) of the developed PVA/SiO2 NPs reinforced fly ash-based geopolymers. Fracture toughness is the ability of a material to resist cracking when subjected to external loading. For each series, at least three pre-cast notched beams with the dimensions of 100 mm × 100 mm × 450 mm were cast and cured at room temperature. The precast notch in the specimens was formed using a greased steel plate of 3 mm thickness. The steel plate was removed from specimens after 24 h of casting. All the specimens for each series were prepared with a fixed initial notch length to beam height ratio (a0/D) of 0.4 and span to depth ratio (S/D) of 4. The test was performed under a displacement control of 0.2 mm/min using an Instron testing machine with a load capacity of 250 KN. The experiment loading pattern is shown in Figure 1. Clip extensometers, measuring a range of 4 mm, were placed at the bottom of specimens to measure the crack mouth opening displacement (CMOD). The fracture toughness KIc of each specimen is calculated by the following equations [13]:
K I C =   3 P S 2 b w 2   π a   f ( a / w )
with:
f ( a / w ) =   1.99 a w ( 1 a w ) ( 2.15 3.93 a w + 2.7 ( a w ) 2 ) ( 1 + 2 a w ) ( 1 a w ) 3 / 2

2.3.2. Monotonic Compression Test

The cylindrical samples of the 100 mm × 50 mm dimension were cast in plastic molds for a compression test. The samples were vibrated during casting and removed from the molds after 24 h. Samples were then cured at ambient temperature for 56 days. Followed by the monotonic compression test, using a 250 KN Instron machine for all the samples, average values were measured. The tests were performed according to ASTM C 109 [29].

2.3.3. Cyclic Compression test

For the cyclic compression test, two cases were studied: (1) Single unloading/reloading cycle and (2) three unloading/reloading cycles. The cylinder samples 100 mm × 50 mm for each series were subjected to cyclic loading to displacement levels of 0.1 mm, 0.2 mm, 0.3 mm, ……, 0.9 mm, 1 mm, 2 mm, 3 mm, 4 mm, and 5 mm. At first, the specimens were loaded at a displacement rate of 0.1 mm/min. After reaching the displacement level of 2 mm, the loading rate was increased to 1mm/min. During the first case, the sample was subjected to loading to a prescribed value of axial displacement, and then unloading was done up to a target load level by reducing the axial displacement. Reloading of the sample was performed to the next given displacement. In the second case, three unloading/reloading cycles were applied to the other cylinders of each series at each given unloading displacement level. For both cases, the target load level of 2 KN was affixed during the unloading and reloading of the sample. Two linear variable displacement transducers (LVDTs) were attached at 180° apart to measure the axial displacements. All the loading arrangements were automatically achieved by a computer program.

2.3.4. Fire Resistance

Fire resistivity of geopolymer mortars was investigated in terms of color changes, weight loss, and percentage change in compressive strength. The cylinder specimens (100 mm × 50 mm) were used after 56 days of curing at ambient temperature. Three specimens (for each series and per test temperature) were placed in an electric oven, and the temperature was increased at the rate of 2.5 °C/min up to the required temperature [30,31]. When the required temperature was achieved, the specimens were sustained at that temperature for 1 h and allowed to cool down for 24 h at ambient temperature. After heat treatment, the specimens were tested for compression. The weight of the specimens was noted before testing.

2.3.5. Freeze and Thaw Resistance

Freeze-thaw resistance of geopolymer mortars was examined in terms of color changes, weight loss, and percentage change in compressive strength. The cylinder specimens (100 mm × 50 mm) were used after 56 days of curing at ambient temperature. During the freezing and thawing test, the specimens were placed in a freezer at −25 °C for 4 h and then in water at room temperature for 4 h. The test was repeated 25 times. After completion of the desired cycles, the specimens were tested for compression. The tests were conducted by using a 250 KN Instron machine at the desired age. The specimens were weighed prior to testing.

2.3.6. Pull Out Test

The pull out test was conducted to evaluate the bond strength between matrix and steel bars of the specimens. The deformed steel bars of 10 mm diameter were embedded concentrically in cubical specimens of the size 150 mm × 150 mm × 150 mm during casting and compaction of the specimens. For each series, the specimens were tested after 56 days of curing. All pull out tests were performed by using an Instron testing machine with load capacity of 250 kN. The bond stress was calculated using the pull out failure load, according to the following equation:
τ =   F π d l
where τ = bond strength, F = failure load, d = diameter of the steel bar, and   l = bonded length of the steel bar.

2.3.7. TGA-DTA Analysis

The thermal analysis (TGA-DTA) of geopolymer composites was performed between 25 °C and 1000 °C at a heating rate of 10 °C/min in N2 atmosphere, using an SDT Q600 V8.2 Build 100 instrument.

2.3.8. Microstructural Analysis

The X-ray diffraction (XRD) study was performed on powdered samples by using an XRD X’Pert 3 Powder machine with the following measurement conditions: CuKα radiation (λ = 1.54 A°); scanning range: 5° to 80° 2θ; scanning speed: 0.5° steps/s; step size: 0.02°2θ. The peaks in spectra were detected by matching with the Joint Committee on Powder Diffraction Standards (JCPDS) files. Fourier transform infrared spectroscopy (FTIR) investigations were carried out on powdered samples on an AVATAR 370 device. Spectra were noted in the range of 4000–400 cm−1. A field emission scanning electron microscopy (FESEM) analysis on the fracture surface of all the specimens after the compressive strength test was conducted on a FESEM SU8010 device. The elemental observations were also done by the energy-dispersive X-ray spectroscopy (EDS) technique.

3. Results and Discussion

3.1. Compressive Strength

The compressive strength of all the geopolymer specimens was determined using a monotonic compression test, and their graphs were plotted in Figure 2A. The highest strength was observed for GP5 and GP7 specimens. The compressive strength of GP3, GP5, and GP7 specimens was 21.13%, 27.19%, and 31.79%, respectively, higher than that of the reference (GP0) specimen. The possible reason for the increase in the compressive strengths could be the synergistic effect of nanosilica particles and PVA fibers in the matrixes. Soluble silicate plays an important role in the geopolymerization process. It gives the aqueous phase of the geopolymeric system with the soluble-silicate species which is crucial for the formation of oligomer and polycondensation. Due to the incorporation of nanosilica, the extensive aluminosilicates dissolution rate increases with the increased Si and Al species in the aqueous phase of geopolymers, gradually altering the chemical system from a monosilicate chain to a species with greater rings and more complex network, resulting in 3-dimensional polymeric structures and an increased compressive strength of the resulting geopolymeric materials [32]. Nanosilica could also refine the pores, making the geopolymeric network dense and compact, with consequent improvement in strength. Moreover, the specimens with PVA fibers may have controlled the propagation of cracks because of the bridging effect. In addition, due to their texture and surface reaction with geopolymer products and an alkali activator solution, heat was produced, which increased the internal curing temperature. The rise in temperature accelerated the geopolymerization process, which in turns strengthened the geopolymeric gel enhanced the mechanical strength [25,33]. It was observed that an increase of fibers improved the compressive strength of specimens. Previous studies also reported the similar findings [34,35]. Xu et al. [36] found that, as the content of PVA fibers increased, the compressive and flexural strengths were also increased. They concluded that the compressive strength of the specimen, with larger amounts of PVA fibers (2% vol.), was 72.7% higher than that of the control sample (without fiber) after 28 days of curing. It was noticed that the PVA fibers reinforced geopolymer specimens showed ductile failure after a maximum load by retaining their original shapes. Similar trends were also observed in previous work [25].

3.2. Fracture Toughness

The fracture toughness values (KIc) for all the notch beam specimens are presented in Figure 2B. It can be clearly seen that the addition of PVA fibers increased the fracture toughness value of all the tested specimens. Among all the geopolymer specimens, the GP7 and GP0 showed the highest and lowest values of fracture toughness, respectively. A 7% addition of PVA fibers into a geopolymer specimen increased the fracture toughness strength by 78.29% and 54.88%, with respect to 3% and 5% PVA fiber induced geopolymers. Although 7% incorporation of PVA fibers showed higher fracture toughness, it was difficult to disperse the fibers homogenously into the matrix, and agglomeration of fibers was observed (see Section 3.8). The fracture toughness strength of the GP3, GP5, and GP7 specimens was enhanced by 35.42%, 54.68%, and 139.58%, respectively, in relation to the GP0 specimen, which corresponds to their higher compressive strength values, as shown in Figure 2A.
The PVA fibers (8 mm in length) were used in this study. Due to high mechanical strength and enough length, the fibers improved the fracture toughness by bridging numerous micro cracks together. Therefore, the fracture of bridging fibers in the micro cracks was restrained with delayed formation of main cracks. The higher strength is mainly due to the reason that the PVA fibers restrained the crack propagation because of the fiber bridging mechanism. The fiber bridging mechanism in the micro and main cracks efficiently retained the integrity and forms of composites, showing ductile fracture behavior [37]. It was observed that the GP0 specimen exhibited a catastrophic failure, while GP5 specimen showed a ductile failure (Figure 3). This elucidates that cracking occurs at greater values of critical stress in the GP3, GP5, and GP7 specimens than that of the GP0 specimen. The results are in accordance with those published by Behzad et al. [10] for fiber reinforced geopolymers. In the present work, the fracture toughness values were in the range of 0.2 to 0.46 MPa m1/2. Latella et al. [13] also measured the fracture toughness values of geopolymers using different precursors in the range of 0.25–0.65 MPa m1/2. The higher fracture toughness of the GP3, GP5, and GP7 specimens indicates that crack failure planes are more tortuous, thus consumed more energy, as compared to the GP0 specimen, which is confirmed by visual inspection of rupture surfaces of the geopolymer specimens.
The fracture toughness value increases with the increase of compressive strength of the geopolymers (Figure 2C). The cracking takes place at critical stress. The higher fracture toughness value reveals that the crack happens at higher critical stress. Therefore, the resistance to crack propagation is higher in PVA fibers reinforced geopolymers. The fracture toughness of composite material is generally affected by the microstructure of the matrix and the size of aggregates. Additionally, in fly ash-based geopolymers the major reaction product formed is an alkaline aluminosilicate gel with a low-ordered crystalline structure. Therefore, the microstructure of the geopolymer matrixes seems to be the most important reason for the different matrix fracture toughness of the specimens, with or without PVA fiber, as the other factors were kept constant. Crack mouth opening displacement (CMOD) was also measured with the help of the clip gauge attached at the bottom of the beam. The maximum load attained by the geopolymer specimens depends upon the fiber concentration. It is clear that load and corresponding CMOD, enhanced with increasing PVA fiber contents in the matrix due to an upsurge in the tensile strain capacity of the matrix, hence resulted in an improved load bearing capacity of the specimen (Figure 4). The maximum loads 677.34 N, 839.53 N, 904.24 N, and 2064.60 N, and their corresponding CMOD values 0.0015 mm, 0.00166 mm, 0.0036 mm, and 0.0092 mm were found for GP0, GP3, GP5, and GP7 geopolymer specimens, respectively. Therefore, from Figure 2B and Figure 4 it can be concluded that fiber addition had a positive effect on the fracture toughness and hence improved the performance of geopolymer specimens, regarding crack propagation resistance.

3.3. Cyclic Response

The main purpose of this part of the research was to find out the response of material to various cyclic loading schemes. According to the author’s knowledge, the cyclic response of this material was not thoroughly investigated and there is a need to calculate the unloading and reloading response of the material. Figure 5A,B show the results obtained from the single and three unloading/reloading cycles, respectively. It can be seen that the geopolymer specimens reinforced with PVA fibers under three unloading/reloading cyclic compressions exhibited analogous unloading and reloading responses with little differences. However, when the specimens were subjected to a single unloading/reloading cyclic compression, the unloading and reloading response difference was slightly more obvious [28]. The specimen GP0 (with no fiber) gained the lower peak load values and lost its integrity after reaching the displacement level of 2 mm in both the cases, as compared to the other specimens reinforced with PVA fibers. The specimen GP5 considerably showed a better response under both cyclic loading schemes, as compared to all the other specimens. The specimen GP5 attained peak loads of 21.32 KN and 27.80 KN for single and triple cyclic loading, respectively, showing an increase of 51.85% and 78.1%, respectively, in comparison with the GP0 specimen. It was also noticed that when specimens reached an onset of displacement level, the parabolic unloading occurred. The parabolic portion showed the permanent deformation that happened during the softening of the material in compression. When the parabolic unloading reached a desired target load, the reloading of the specimen took place, which was also parabolic until reached a displacement level where unloading was started. After passing the peak load, the specimen persistently bore the strength reduction along the hysteretic curve. The failure observed in the PVA fibers induced geopolymers after reaching the peak load was a gradual process; at every step of the failure, the axial load was declined. The failure modes of GP5 and GP0 specimens are shown in Figure 6. It can be seen that the GP0 specimen was crushed into pieces, while the GP5 specimen bore debonding of fibers and spalling/cracking of concrete surfaces.

3.4. Fire Resistance

Resistance of geopolymers to fire has become one of the crucial research areas in the current development. The inherent thermal resistance of some geopolymers makes them useful in a range of high temperature applications. Geopolymers, with PVA fibers, showed enhanced resistance to spalling at an elevated temperature, due to greater mechanical strength. It was observed that strength decreased in all the geopolymer specimens at different temperatures, and the maximum strength degradation was found in the GP0 specimen (Figure 7A). It was further noticed that resistance to an elevated temperature of geopolymer specimens increased with the increase of fiber ratio. Fiber ratio noticeably affected the resistance to high temperature. The increase in resistance of geopolymer concrete to an elevated temperature, with increasing fiber ratio, has also been reported previously [35]. The GP3, GP5, and GP7 specimens experienced a loss of compressive strength by 62.8%, 60.3%, and 58.6%, respectively, when exposed to 600 °C. When the temperature was further increased to 800 C, it was observed that the loss in strength of the GP3, GP5, and GP7 specimens was about 64%, whereas in the GP0 specimen it was 95.2%. The better fire resistance of GP3, GP5, and GP7 specimens at 400 °C and 600 °C might be due to the melting of PVA fibers, which formed the channels for steam to escape. Sahmaran et al. [38] also found that PVA fibers avert explosive spalling of specimens due to the provision of extra paths for vaporized moisture to escape, without generating high internal pressure in the material. The compressive strength of all the geopolymer specimens, except GP0, was found to be the same under exposure to fire at 800 °C. This could be due to the vanishing of PVA fiber properties at that temperature. Similar findings were observed for PVA fiber reinforced geopolymers [35]. Elevated temperature increased the porosity by producing voids, which reduced the contact area between particles, with consequent degradation of specimens [39,40]. The reduction in compressive strength of the GP5 specimen was 29.7% lower than that of GP0, at 400 °C. Additionally, the reduction in the compressive strength of the GP5 specimen at 600 °C and 800 °C was 22.3% and 32.2%, respectively; lower in relation to the GP0 specimen. Pore size and pore distribution could be responsible for the retention of strength in the fly ash-based geopolymers. The geopolymer specimens which showed the best strength in the 400 °C and 600 °C temperature range, corresponding to the swelling of a silica-rich phase present as pockets within the gel structure. Specimens in which this phase was not present displayed low strength. Additionally, geopolymer composites may comprise quartz, mullite, iron oxide, and the alkali activated gel, hence, this complex microstructure offers the ability for the material to withstand extreme environmental conditions, such as high temperatures.
The loss in weight of the specimens during exposure to fire is shown in Figure 7B. The most pronounced weight loss (8.52%) was determined in the GP0 specimen at 800 °C. The GP3, GP5, and GP7 specimens lost their weight by 8.1%, 7.21%, and 7%, respectively, at 800 °C. The higher weight loss in the GP0 specimen is mainly due to the higher rate of evaporation of trapped moisture in the matrix, as compared to the other specimens with PVA fibers. In this research, the weight loss was measured in the range of about 5–9% for all the specimens at desired temperatures. In another work, the weight loss was recorded in the range of 5–12%, when the temperature was raised to 1000 °C for geopolymer specimens [17]. In fact, up to 400 °C, the loss in weight happened due to physisorbed water loss and deterioration of the side chain of the PVA polymer. The temperature above 400 °C caused the loss of chemically bonded water, and the deterioration of the main chain of PVA polymer occurred, which is the reason for greater weight losses in geopolymer specimens [41,42]. It was noted that the color of geopolymer specimens changed from light to dark gray when heated up to 600 °C and then turned reddish after exposure to 800 °C (Figure 8A). There were no visible defects on the surfaces of the GP3, GP5, and GP7 specimens heated up to 800 °C. The GP0 specimen experienced macro or surface cracks at 800 °C. The change in color at elevated temperature is mainly due to the gradual dehydration of geopolymer specimens and oxidation of iron present in the fly ash [17,43]. The failure pattern of the geopolymer specimens under exposure to 800 °C at ultimate compression load is shown in Figure 8B. It can be seen that the magnitude of damage in the GP5 specimen was less than the GP0 specimen. The results are in good agreement with the compressive strength values.

3.5. Freeze-Thaw Effect

A freeze-thaw test was conducted to evaluate the durability of the geopolymer specimens. The compressive strength of all the geopolymer specimens decreased after the freeze-thaw test (Figure 9A). The residual compressive strength of the GP0 specimen was found to be the lowest, as compared with the other specimens after 25 freeze-thaw cycles. It was observed that increasing fiber contents in the geopolymer matrix increased the freeze-thaw resistance. The strength values of GP3, GP5, and GP7 geopolymer specimens dropped to about 8%, 4.18%, and 5.1%, respectively, after the same number of freeze-thaw cycles. The GP5 specimen exhibited better freeze-thaw resistance among other specimens, due to randomly distributed fibers which prevented the mortar layer from splitting away. A previous study [44] revealed that the durability of composite material was enhanced by increasing the fiber volume fraction up to 0.08%. However, it was noticed that the fiber volume fraction above 0.08% decreased the freeze-thaw resistance.
The results of the present study also showed that increasing the PVA fibers up to 5% increased the freeze-thaw resistance. When further increased, the PVA fibers resulted in a reduction of freeze-thaw resistance. This could be due to an increased number of fibers in the unit volume of the matrix, which resulted in less space between fibers and, hence, an overlapping of fiber interface areas occurred. As a result, weak interface areas were increased, which in turn had a bad impact on the freeze–thaw durability [44]. The graphs of weight loss of geopolymer specimens are presented in Figure 9B. The GP0 specimen depicted the most pronounced (10.5%) weight loss, as compared with the others. The weight loss in the GP3, GP5, and GP7 specimens was 8.3%, 5.1%, and 6.3%, respectively, for the same cycles. The weight losses were measured in the range of about 5–11% for all the specimens at the desired number of freeze-thaw cycles. PVA fibers were found to considerably increase the resistance of specimens to surface deterioration. It can be seen from Figure 10 that the physical appearance of the specimens showed no signs of damage, although the compressive strength values were decreased [45]. It was also observed that some white crystals appeared on the surface of the GP0 specimen due to an efflorescence effect, which could be attributed to high alkali concentration and weak Na+ bonding in the structure of the GP0 specimen [46]. Further, the loss of alkalis into water had a negative influence on the strength development of the GP0 specimen.

3.6. Thermal Analysis

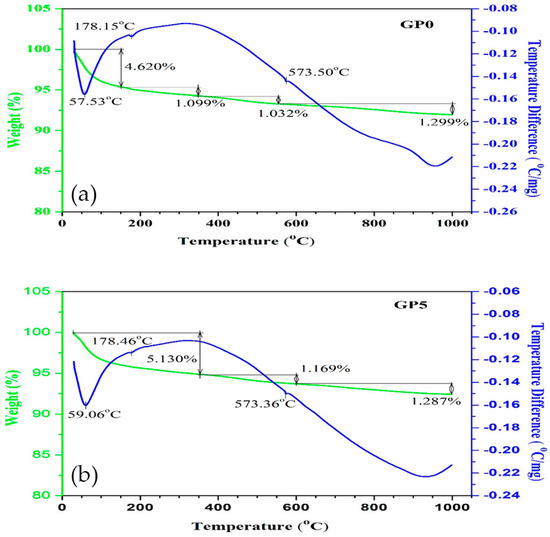
The thermal analysis (TGA-DTA) of synthesized geopolymer specimens, with or without PVA fiber, is given in Figure 11. It can be seen that both specimens showed analogous characteristics up to 1000 °C. A substantial decrease in mass is observed from ambient temperature to 400 °C in both specimens. In the DTA curves, endothermic peaks at 57.53 °C, 178.15 °C, 59.6 °C, and 178.46 °C were found for the GP0 and GP5 specimens, respectively. This indicated the elimination of free and interstitial water molecules from both geopolymer specimens and a break up of the side chain of the PVA polymer, particularly in GP5. Between 400 °C and 600 °C, an extra weight loss was observed, which is attributed to the release of water by polymerization of Si–OH and Al–OH groups and a decomposition of the main chain of the PVA polymer [47]. When the temperature was further increased from 600 °C to 1000 °C, the specimens GP5 and GP0 exhibited a loss in weight by 1.287% and 1.299%, respectively, which corresponds to the disintegration of carbonate species in geopolymers and the burning of leftovers of coal in fly ash (Table 1) [48]. The highest weight loss was found at 1000 °C for GP0, as compared with GP5, which illustrated that 5% fiber-reinforced geopolymers possessed more thermal stability than the reference sample.

3.7. Pull out Test

The effect of the different amounts of PVA fibers on the bonding behavior of the deformed steel bar and the geopolymer matrixes is shown in Figure 12A. It can be seen that the peak pull out load of the deformed steel bar is increased with the increasing amount of PVA fibers An increase in displacement, at peak pull out load, was also noted with increasing concentrations of PVA fibers. After the first peak, more peaks were noticed in the post-peak region for the PVA fiber-reinforced specimens. This was because of the enhanced frictional bond of the deformed steel bar with the geopolymer matrix, which is attributed to the decrease in pores [49]. The improvement in the bond between the geopolymeric matrix and the steel deformed bars was due to the refining of the microstructure into a homogeneous, dense, and compacted microstructure by the synergic effect of the PVA fibers and nanosilica. Nanosilica increased the amount of reactive silica in the geopolymeric system, resulting the formation of silicon-rich gel, which has compacted and improved mechanical properties. The alteration of large pores in geopolymeric structures, comprising the nanosilica and PVA fibers, was also observed, and it could be the reason behind the enhanced bond strength between the deformed steel bar and the matrix in the specimens [25]. The bond stress-slip curves of all the geopolymer pull out specimens are presented in Figure 12B. The bond strength increased by 6.55%, 13.78%, and 80.35% in the GP3, GP5, and GP7 specimens, respectively, with respect to the GP0 specimen. It has been reported that the increase in bond strength is not because of good chemical adhesion but is due to superior tensile strength of the specimens [50]. In another study [25], it was observed that geopolymer mortar specimens, with an addition of PVA fibers, depicted an increase in their tensile strength. Therefore, it can be concluded that the greater bond strength of the geopolymer specimens is due to their higher tensile strength. All the specimens were failed when the induced forces between the surrounding material and the steel deformed bar exceeded the maximum tensile strength of the geopolymer composite. It was observed that specimens with a higher amount of PVA fibers took more time before the splitting of the composite than the specimens with a lower amount of PVA fibers. During the test, GP0 experienced a larger crack than that of the GP5 specimen, as shown in Figure 13.

3.8. Microstructural Studies

A FESEM study was employed to examine the morphology of geopolymer specimens, with or without PVA fibers. Figure 14 presents the FESEM images of all the geopolymer specimens. In the GP0 specimen there were no fibers and a larger amount of unreacted silica particles in the matrix, which in turn reduced the strength of this geopolymer.
In addition, the cracks were formed in GP0, which resulted in a defected and porous matrix [51]. On the other hand, in PVA fibers reinforced geopolymer specimens, fibers were arranged in different manners, producing the fiber-matrix bond interaction, which is the key to increase the strength in those specimens. Inadequacy and agglomeration of fibers were noticed in GP3 and GP7, respectively, whereas, in GP5, the matrix was compacted, mainly due to the regular textures and uniform distribution of the PVA fibers and surrounding composites. FESEM images of geopolymer specimens with PVA fibers (GP5) and without PVA fibers (GP0) after exposure to heat at different temperatures are depicted in Figure 15.
At elevated temperature, the transformation of GP0 occurred, which made it more porous and, finally, the specimen attained cracks at 800 °C. At 400 °C, the PVA fibers melted and lost their integrity in the matrix for the GP5 specimen. The morphology of the matrix at 600 °C and 800 °C showed intact fly ash particles and significant configuration of hydration products. Furthermore, at 800 °C, the PVA fibers completely vanished, hence the degradation of strength occurred (Figure 7A).
The elemental analysis by EDS of all the geopolymer specimens are given in Figure 16. In the geopolymeric reaction products, oxygen was the main element, along with silicon and aluminum. An EDS by mapping technique also revealed that the different colors were associated with the distribution of different elements present in the geopolymeric products. The presence of Na, Si, and Al in the EDS map confirmed the formation of N-A-S-H gel. The N-A-S-H gel acted as a binding agent in the matrix [52]. The higher concentration of each color represented the higher concentration of each element in the map. It was observed that the Si/Al ratios for the geopolymeric products were in the range of 3.43 and 5.2. Among all the geopolymer reaction products, the GP5 specimen showed the smaller value of Si/Al ratio, which confirmed the higher strength value of this geopolymer [53]. An FTIR study of GP5 and GP0 geopolymer specimens is shown in Figure 17A. The band around 460 cm−1 is due to Si-O-Si vibrations. The band between 770 cm−1 and 820 cm−1 is associated with Al-O vibrations [54].
The bands at 1650 cm−1 and 3410 cm−1 are for OH stretching, presenting the chemically bound water. The band at about 1050 cm−1 is related to the asymmetric stretching vibration of Si-O-T bonds (T=Al, Si). It is noteworthy that bands at 1374 cm−1, 1712 cm−1, and 2915 cm−1 were only recognized in the GP5 specimen for CH2 wagging, stretching C=O, and symmetric stretching CH2, respectively, which confirmed the existence of PVA fibers in the matrix [25,55].
XRD spectra of different geopolymer specimens cured at 56 days are presented in Figure 17B. In the spectra, different phases were highlighted and marked, clearly indicating the difference between PVA fibers embedded geopolymer specimens with the geopolymers without fibers. It can be seen that the peak, at 2θ = 19.6°, evidently represented the crystalline PVA in the GP5 matrix, while it was absent in the GP0 matrix [56]. Different peaks found at 2θ = 20.86°, 26.5°, 42.5°, 50.2°, 59.9°, and 67.8° showed the presence of quartz. More peaks of quartz and less peaks of C3S were identified, which was probably due to the presence of fly ash in the crystallization form of quartz [51]. Additionally, Na(AlSi3O8) and Na2Si2O8 phases were identified in all the geopolymer specimens.

4. Conclusions

The geopolymer mortar specimens with different amounts of PVA fibers in the presence of nanosilica particles at ambient temperature were developed. The main conclusions are as follows:
  • The fracture toughness KIc and CMOD values increased with the increasing amount of PVA fibers. The higher toughness value of 0.46 MPa m1/2 was observed for the GP7 specimen. The higher strength is due to the bridging effect of fibers with the matrix.
  • The compressive strength increased considerably in all the geopolymer mortar specimens with the addition of PVA fibers.
  • The cyclic uniaxial compression response of the GP5 specimen showed better results for both single unloading/reloading and three unloading/reloading cycles. The 78.1% increase in peak load was noticed in relation to the GP0 specimen for the three unloading/reloading cycles scheme.
  • The compressive strength degradation was observed in the geopolymer specimens when subjected to extreme temperatures. The greater the temperature, the greater the reduction in strength. Although at 800 °C, strength reduction in geopolymer specimens GP3, GP5, and GP7 was almost the same, but much lower than in GP0. For the freeze-thaw effect at a lower temperature (−25 °C) the GP5 and GP7 specimens dropped strength by 4.18% and 5.1%, respectively.
  • Bond strength increased with the increase of PVA fiber contents. Higher values of bond strength, i.e., 1.92 MPa and 3.03 MPa, were noted in the GP5 and GP7 specimens, respectively.
  • Microstructural analysis showed that the PVA fibers and nanosilica synergistically improved the dense and compact matrix structure.

Author Contributions

Conceptualization, M.A.M., S.X., and Q.L.; formal analysis, M.A.M. and M.S.; investigation, M.A.M. and M.S.; methodology, M.A.M.; resources, S.X. and Q.L.; supervision, S.X. and Q.L.; writing—original draft, M.A.M.; writing—review & editing, M.A.M. and M.S.

Funding

The authors gratefully acknowledge the financial supports provided by the Zhejiang Provincial Natural Science Foundation of China (No. LR16E080001) and the National Natural Science Foundation of China (No. 51878601).

Acknowledgments

The authors gratefully acknowledge the financial supports provided by the Zhejiang Provincial Natural Science Foundation of China (No. LR16E080001) and the National Natural Science Foundation of China (No. 51878601). The authors thank the Zhejiang University for providing the facilities to carry out this work.

Conflicts of Interest

The authors declare that they have no conflict of interest.

References

  1. Sarkar, M.; Maiti, M.; Malik, M.A.; Xu, S.; Li, Q.; Mandal, S. Influence of metal oxide (V2O5) in recycled waste materials for advanced durable construction technology. Constr. Build. Mater. 2018, 171, 770–778. [Google Scholar] [CrossRef]
  2. Dassekpo, J.-B.M.; Zha, X.; Zhan, J. Synthesis reaction and compressive strength behavior of loess-fly ash based geopolymers for the development of sustainable green materials. Constr. Build. Mater. 2017, 141, 491–500. [Google Scholar] [CrossRef]
  3. Duxson, P.; Fernández-Jiménez, A.; Provis, J.L.; Lukey, G.C.; Palomo, A.; van Deventer, J.S.J. Geopolymer technology: The current state of the art. J. Mater. Sci. 2007, 42, 2917–2933. [Google Scholar] [CrossRef]
  4. Maiti, M.; Sarkar, M.; Malik, M.A.; Xu, S.; Li, Q.; Mandal, S. Iron Oxide NPs Facilitated a Smart Building Composite for Heavy-Metal Removal and Dye Degradation. ACS Omega 2018, 3, 1081–1089. [Google Scholar] [CrossRef]
  5. Adak, D.; Sarkar, M.; Mandal, S. Effect of nano-silica on strength and durability of fly ash based geopolymer mortar. Constr. Build. Mater. 2014, 70, 453–459. [Google Scholar] [CrossRef]
  6. Yunsheng, Z.; Wei, S.; Zongjin, L.; Xiangming, Z.; Eddie; Chungkong, C. Impact properties of geopolymer based extrudates incorporated with fly ash and PVA short fiber. Constr. Build. Mater. 2008, 22, 370–383. [Google Scholar] [CrossRef]
  7. Nematollahi, B.; Sanjayan, J. Sustainable Fiber-Reinforced Strain-Hardening Composites Using Geopolymer as ‘Complete’ Replacement of Portland Cement. In Strain-Hardening Cement-Based Composites; SHCC 2017; RILEM Bookseries; Mechtcherine, V., Slowik, V., Kabele, P., Eds.; Springer: Dordrecht, The Netherlands, 2018; Volume 15, pp. 154–161. [Google Scholar]
  8. Ohno, M.; Li, V.C. A feasibility study of strain hardening fiber reinforced fly ash-based geopolymer composites. Constr. Build. Mater. 2014, 57, 163–168. [Google Scholar] [CrossRef]
  9. Novais, R.M.; Carvalheiras, J.; Seabra, M.P.; Pullar, R.C.; Labrincha, J.A. Effective mechanical reinforcement of inorganic polymers using glass fibre waste. J. Clean. Prod. 2017, 166, 343–349. [Google Scholar] [CrossRef]
  10. Nematollahi, B.; Sanjayan, J.; Shaikh, F.U.A. Comparative deflection hardening behavior of short fiber reinforced geopolymer composites. Constr. Build. Mater. 2014, 70, 54–64. [Google Scholar] [CrossRef]
  11. Li, W.; Xu, J. Mechanical properties of basalt fiber reinforced geopolymeric concrete under impact loading. Mater. Sci. Eng. A 2009, 505, 178–186. [Google Scholar] [CrossRef]
  12. Bhutta, A.; Borges, P.H.R.; Zanotti, C.; Farooq, M.; Banthia, N. Flexural behavior of geopolymer composites reinforced with steel and polypropylene macro fibers. Cem. Concr. Compos. 2017, 80, 31–40. [Google Scholar] [CrossRef]
  13. Latella, B.A.; Perera, D.S.; Durce, D.; Mehrtens, E.G.; Davis, J. Mechanical properties of metakaolin-based geopolymers with molar ratios of Si/Al ≈ 2 and Na/Al ≈ 1. J. Mater. Sci. 2008, 43, 2693–2699. [Google Scholar] [CrossRef]
  14. Xu, S.; Malik, M.A.; Li, Q.; Wu, Y. Determination of double-K fracture parameters using semi-circular bend test specimens. Eng. Fract. Mech. 2016, 152, 58–71. [Google Scholar] [CrossRef]
  15. Xu, S.; Reinhardt, H.W. Determination of double-K criterion for crack propagation in quasi-brittle fracture, Part II: Analytical evaluating and practical measuring methods for three-point bending notched beams. Int. J. Fracture 1999, 98, 151–177. [Google Scholar] [CrossRef]
  16. Nematollahi, B.; Sanjayan, J.; Shaikh, F.U.A. Tensile Strain Hardening Behavior of PVA Fiber-Reinforced Engineered Geopolymer Composite. J. Mater. Civ. Eng. 2015, 27, 04015001. [Google Scholar] [CrossRef]
  17. Kong, D.L.Y.; Sanjayan, J.G. Effect of elevated temperatures on geopolymer paste, mortar and concrete. Cem. Concr. Res. 2010, 40, 334–339. [Google Scholar] [CrossRef]
  18. Zhang, H.Y.; Kodur, V.; Qi, S.L.; Cao, L.; Wu, B. Development of metakaolin–fly ash based geopolymers for fire resistance applications. Constr. Build. Mater. 2014, 55, 38–45. [Google Scholar] [CrossRef]
  19. Abdulkareem, O.A.; Mustafa Al Bakri, A.M.; Kamarudin, H.; Khairul Nizar, I.; Saif, A.E.A. Effects of elevated temperatures on the thermal behavior and mechanical performance of fly ash geopolymer paste, mortar and lightweight concrete. Constr. Build. Mater. 2014, 50, 377–387. [Google Scholar] [CrossRef]
  20. Nazari, A.; Riahi, S. Microstructural, thermal, physical and mechanical behavior of the self compacting concrete containing SiO2 nanoparticles. Mater. Sci. Eng. A 2010, 527, 7663–7672. [Google Scholar] [CrossRef]
  21. Phoo-Ngernkham, T.; Chindaprasirt, P.; Sata, V.; Hanjitsuwan, S.; Hatanaka, S. The effect of adding nano-SiO2 and nano-Al2O3 on properties of high calcium fly ash geopolymer cured at ambient temperature. Mater. Des. 2014, 55, 58–65. [Google Scholar] [CrossRef]
  22. Shaikh, F.U.A.; Supit, S.W.M.; Sarker, P.K. A study on the effect of nano silica on compressive strength of high volume fly ash mortars and concretes. Mater. Des. 2014, 60, 433–442. [Google Scholar] [CrossRef]
  23. Deb, P.S.; Sarker, P.K.; Barbhuiya, S. Effects of nano-silica on the strength development of geopolymer cured at room temperature. Constr. Build. Mater. 2015, 101, 675–683. [Google Scholar] [CrossRef]
  24. Manfaluthy, M.; Ekaputri, J. The application of PVA fiber to improve the mechanical properties of geopolymer concrete. In Proceedings of the 6th International Conference of Euro Asia Civil Engineering Forum (EACEF), Seoul, Korea, 22–25 August 2017; Volume 138, p. 01020. [Google Scholar]
  25. Xu, S.; Malik, M.A.; Qi, Z.; Huang, B.; Li, Q.; Sarkar, M. Influence of the PVA fibers and SiO2 NPs on the structural properties of fly ash based sustainable geopolymer. Constr. Build. Mater. 2018, 164, 238–245. [Google Scholar] [CrossRef]
  26. Daniel, A.J.; Sivakamasundari, S.; Abhilash, D. Comparative Study on the Behaviour of Geopolymer Concrete with Hybrid Fibers under Static Cyclic Loading. Procedia Eng. 2017, 173, 417–423. [Google Scholar] [CrossRef]
  27. Laskar, S.M.; Mozumder, R.A.; Roy, B. Behaviour of Geopolymer Concrete under Static and Cyclic Loads; Springer: New Delhi, India, 2015. [Google Scholar]
  28. Keith, E.; Kesner, S.L.B.; Kyle, S.D. Cyclic Response of Highly Ductile Fiber-Reinforced Cement-Based Composites. ACI Mater. J. 2003, 100, 381–390. [Google Scholar]
  29. Standard Test Method for Compressive Strength of Hydraulic Cement Mortars (Using 2-in. or [50-mm] Cube Specimens); ASTM International: West Conshohocken, PA, USA, 2016.
  30. Tanyildizi, H.; Şahin, M. Application of Taguchi method for optimization of concrete strengthened with polymer after high temperature. Constr. Build. Mater. 2015, 79, 97–103. [Google Scholar] [CrossRef]
  31. Tanyildizi, H.; Coskun, A. Performance of lightweight concrete with silica fume after high temperature. Constr. Build. Mater. 2008, 22, 2124–2129. [Google Scholar] [CrossRef]
  32. Hua, X.U.; Deventer, V.; Jannie, S.J. The effect of alkali metals on the formation of geopolymeric gels from alkali-feldspars. Colloids Surf. A 2003, 216, 27–44. [Google Scholar]
  33. Sindhunata, J.S.J.; Lukey, G.C.; Xu, H. Effect of Curing Temperature and Silicate Concentration on Fly-Ash-Based Geopolymerization. Ind. Eng. Chem. Res. 2006, 45, 3559–3568. [Google Scholar] [CrossRef]
  34. Ekaputri, J.J.; Junaedi, S.; Wijaya. Effect of Curing Temperature and Fiber on Metakaolin-based Geopolymer. Procedia Eng. 2017, 171, 572–583. [Google Scholar] [CrossRef]
  35. Tanyildizi, H.; Yonar, Y. Mechanical properties of geopolymer concrete containing polyvinyl alcohol fiber exposed to high temperature. Constr. Build. Mater. 2016, 126, 381–387. [Google Scholar] [CrossRef]
  36. Xu, F.; Deng, X.; Peng, C.; Zhu, J.; Chen, J. Mix design and flexural toughness of PVA fiber reinforced fly ash-geopolymer composites. Constr. Build. Mater. 2017, 150, 179–189. [Google Scholar] [CrossRef]
  37. Lin, T.; Jia, D.; He, P.; Wang, M. In situ crack growth observation and fracture behavior of short carbon fiber reinforced geopolymer matrix composites. Mater. Sci. Eng. A 2010, 527, 2404–2407. [Google Scholar] [CrossRef]
  38. Sahmaran, M.; Lachemi, M.; Li, V.C. Assessing Mechanical Properties and Microstructure of Fire-Damaged Engineered Cementitious Composites. ACI Mater. J. 2010, 107, 297–304. [Google Scholar]
  39. Zuda, L.; Rovnaník, P.; Bayer, P.; Černý, R. Effect of High Temperatures on the Properties of Alkali Activated Aluminosilicate with Electrical Porcelain Filler. Int. J. Thermophys. 2008, 29, 693–705. [Google Scholar] [CrossRef]
  40. Leiva, C.; Vilches, L.F.; Vale, J.; Fernández-Pereira, C. Influence of the type of ash on the fire resistance characteristics of ash-enriched mortars. Fuel 2005, 84, 1433–1439. [Google Scholar] [CrossRef]
  41. Masi, G.; Rickard, W.D.A.; Bignozzi, M.C.; van Riessen, A. The effect of organic and inorganic fibres on the mechanical and thermal properties of aluminate activated geopolymers. Compos. Part B 2015, 76, 218–228. [Google Scholar] [CrossRef]
  42. Kim, G.-M. Fabrication of Bio-nanocomposite Nanofibers Mimicking the Mineralized Hard Tissues via Electrospinning Process; Intech Open Access Publisher: Rijeka, Croatia, 1 February 2010. [Google Scholar]
  43. Saavedra, W.G.V.; Gutiérrez, R.M.D. Performance of geopolymer concrete composed of fly ash after exposure to elevated temperatures. Constr. Build. Mater. 2017, 154, 229–235. [Google Scholar] [CrossRef]
  44. Zhang, P.; Li, Q.F. Effect of polypropylene fiber on durability of concrete composite containing fly ash and silica fume. Compos. Part B 2013, 45, 1587–1594. [Google Scholar] [CrossRef]
  45. Temuujin, J.; Minjigmaa, A.; Davaabal, B.; Bayarzul, U.; Ankhtuya, A.; Jadambaa, T.; MacKenzie, K.J.D. Utilization of radioactive high-calcium Mongolian flyash for the preparation of alkali-activated geopolymers for safe use as construction materials. Ceram. Int. 2014, 40, 16475–16483. [Google Scholar] [CrossRef]
  46. Bortnovsky, O.; Jiri, D.; Zdenka, T.; Zdenek, S.; Jan, S. Metal Ions as Probes for Characterization of Geopolymer Materials. J. Am. Ceram. Soc. 2010, 91, 3052–3057. [Google Scholar] [CrossRef]
  47. Duxson, P.; Lukey, G.C.; Deventer, J.S.J.V. Physical evolution of Na-geopolymer derived from metakaolin up to 1000 °C. J Mater. Sci. 2007, 42, 3044–3054. [Google Scholar] [CrossRef]
  48. Villaquirán-Caicedo, M.A.; Gutiérrez, R.M.D.; Sulekar, S.; Davis, C.; Nino, J.C. Thermal properties of novel binary geopolymers based on metakaolin and alternative silica sources. Appl. Clay Sci. 2015, 118, 276–282. [Google Scholar] [CrossRef]
  49. Shaikh, F.U.A.; Shafaei, Y.; Sarker, P.K. Effect of nano and micro-silica on bond behaviour of steel and polypropylene fibres in high volume fly ash mortar. Constr. Build. Mater. 2016, 115, 690–698. [Google Scholar] [CrossRef]
  50. Castel, A.; Foster, S.J. Bond strength between blended slag and Class F fly ash geopolymer concrete with steel reinforcement. Cem. Concr. Res. 2015, 72, 48–53. [Google Scholar] [CrossRef]
  51. Jianhe, X.; Junjie, W.; Rui, R.; Chonghao, W.; Chi, F. Effect of combined usage of GGBS and fly ash on workability and mechanical properties of alkali activated geopolymer concrete with recycled aggregate. Compos. Part B 2019, 164, 179–190. [Google Scholar]
  52. Mahdieh, K.; Hani, A.; Yong-Rak, K.; Gabriel, N.; Sussan, M. Effects of Na2O/SiO2 molar ratio on properties of aggregate-paste interphase in fly ash-based geopolymer mixtures through multiscale measurements. Constr. Build. Mater. 2018, 191, 564–574. [Google Scholar]
  53. Chindaprasirt, P.; Chai, J.; Chalee, W.; Rattanasak, U. Comparative study on the characteristics of fly ash and bottom ash geopolymers. Waste Manag. 2009, 29, 539–543. [Google Scholar] [CrossRef]
  54. Adak, D.; Sarkar, M.; Mandal, S. Structural performance of nano-silica modified fly-ash based geopolymer concrete. Constr. Build. Mater. 2017, 135, 430–439. [Google Scholar] [CrossRef]
  55. Tadokoro, H.; Seki, S.; Nitta, I. Some information on the infrared absorption spectrum of polyvinyl alcohol from deuteration and pleochroism. J. Polym. Sci. A 1956, 22, 563–566. [Google Scholar] [CrossRef]
  56. Bunn, C.W. Crystal Structure of Polyvinyl Alcohol. Nature 1950, 23, 929–930. [Google Scholar] [CrossRef]
Figure 1. Experimental loading pattern.
Figure 1. Experimental loading pattern.
Applsci 09 01953 g001
Figure 2. Different geopolymer specimens in terms: (A) Compressive strength; (B) fracture toughness; (C) variation of fracture toughness with compressive strength.
Figure 2. Different geopolymer specimens in terms: (A) Compressive strength; (B) fracture toughness; (C) variation of fracture toughness with compressive strength.
Applsci 09 01953 g002
Figure 3. Fracture behavior: (A) Catastrophic (GP0 specimen); (B) Ductile (GP5 specimen).
Figure 3. Fracture behavior: (A) Catastrophic (GP0 specimen); (B) Ductile (GP5 specimen).
Applsci 09 01953 g003
Figure 4. Load-crack mouth opening displacement (CMOD) graphs of geopolymer specimens.
Figure 4. Load-crack mouth opening displacement (CMOD) graphs of geopolymer specimens.
Applsci 09 01953 g004
Figure 5. Uniaxial cyclic compression: (A) Single unloading/reloading cycle (B) three unloading/reloading cycles.
Figure 5. Uniaxial cyclic compression: (A) Single unloading/reloading cycle (B) three unloading/reloading cycles.
Applsci 09 01953 g005
Figure 6. Failure modes of GP0 and GP5 specimens.
Figure 6. Failure modes of GP0 and GP5 specimens.
Applsci 09 01953 g006
Figure 7. Exposure of geopolymer specimens at different temperatures: (A) % change in compressive strength; (B) % weight loss.
Figure 7. Exposure of geopolymer specimens at different temperatures: (A) % change in compressive strength; (B) % weight loss.
Applsci 09 01953 g007
Figure 8. (A) Color changes at different temperatures in all the geopolymer specimens: GP0 to GP7 specimens (left to right, respectively); (B) fracture pattern.
Figure 8. (A) Color changes at different temperatures in all the geopolymer specimens: GP0 to GP7 specimens (left to right, respectively); (B) fracture pattern.
Applsci 09 01953 g008
Figure 9. Freeze thaw resistance in terms of (A) % change in compressive strength; (B) % weight loss.
Figure 9. Freeze thaw resistance in terms of (A) % change in compressive strength; (B) % weight loss.
Applsci 09 01953 g009
Figure 10. Physical appearance of all the geopolymer specimens.
Figure 10. Physical appearance of all the geopolymer specimens.
Applsci 09 01953 g010
Figure 11. Thermal analysis (TGA-DTA): (a) Without PVA fiber; (b) with PVA fiber.
Figure 11. Thermal analysis (TGA-DTA): (a) Without PVA fiber; (b) with PVA fiber.
Applsci 09 01953 g011
Figure 12. Bond interaction between the matrix and the deformed steel bar explains (A) the pullout load—displacement curves; (B) the stress-slip curves.
Figure 12. Bond interaction between the matrix and the deformed steel bar explains (A) the pullout load—displacement curves; (B) the stress-slip curves.
Applsci 09 01953 g012
Figure 13. Crack pattern: (A) GP0 specimen (B) GP5 specimen.
Figure 13. Crack pattern: (A) GP0 specimen (B) GP5 specimen.
Applsci 09 01953 g013
Figure 14. Field emission scanning electron microscopy (FESEM) images of different geopolymers at ambient temperature.
Figure 14. Field emission scanning electron microscopy (FESEM) images of different geopolymers at ambient temperature.
Applsci 09 01953 g014
Figure 15. FESEM images of geopolymers at different temperatures: (A) Without PVA fibers (left); (B) with PVA fibers (right).
Figure 15. FESEM images of geopolymers at different temperatures: (A) Without PVA fibers (left); (B) with PVA fibers (right).
Applsci 09 01953 g015
Figure 16. Energy-dispersive X-ray spectroscopy (EDS) analysis results.
Figure 16. Energy-dispersive X-ray spectroscopy (EDS) analysis results.
Applsci 09 01953 g016
Figure 17. Microstructural study: (A) FTIR spectra; (B) XRD.
Figure 17. Microstructural study: (A) FTIR spectra; (B) XRD.
Applsci 09 01953 g017
Table 1. Chemical composition of fly ash.
Table 1. Chemical composition of fly ash.
ChemicalComponent (wt.%)
Al2O326.56
SiO259.23
CaO03.40
Fe2O305.65
K2O00.65
MgO01.40
Na2O00.72
TiO201.30
SO300.34
Loss on ignition00.46
Table 2. Properties of poly vinyl alcohol (PVA) fiber.
Table 2. Properties of poly vinyl alcohol (PVA) fiber.
ParameterValue
Length (mm)8
Diameter (µm)39
Young’s modulus (GPa)41
Elongation (%)6
Density (g/cm3)1.3
Strength (MPa)1600

Share and Cite

MDPI and ACS Style

Malik, M.A.; Sarkar, M.; Xu, S.; Li, Q. Effect of PVA/SiO2 NPs Additive on the Structural, Durability, and Fire Resistance Properties of Geopolymers. Appl. Sci. 2019, 9, 1953. https://doi.org/10.3390/app9091953

AMA Style

Malik MA, Sarkar M, Xu S, Li Q. Effect of PVA/SiO2 NPs Additive on the Structural, Durability, and Fire Resistance Properties of Geopolymers. Applied Sciences. 2019; 9(9):1953. https://doi.org/10.3390/app9091953

Chicago/Turabian Style

Malik, Muhammad Akbar, Manas Sarkar, Shilang Xu, and Qinghua Li. 2019. "Effect of PVA/SiO2 NPs Additive on the Structural, Durability, and Fire Resistance Properties of Geopolymers" Applied Sciences 9, no. 9: 1953. https://doi.org/10.3390/app9091953

APA Style

Malik, M. A., Sarkar, M., Xu, S., & Li, Q. (2019). Effect of PVA/SiO2 NPs Additive on the Structural, Durability, and Fire Resistance Properties of Geopolymers. Applied Sciences, 9(9), 1953. https://doi.org/10.3390/app9091953

Note that from the first issue of 2016, this journal uses article numbers instead of page numbers. See further details here.

Article Metrics

Back to TopTop