Next Article in Journal
Monitoring the Dynamic Response of a Buried Polyethylene Pipe to a Blast Wave: An Experimental Study
Previous Article in Journal
Enhanced Fault Current-Limiting Circuit Design for a DC Fault in a Modular Multilevel Converter-Based High-Voltage Direct Current System
 
 
Font Type:
Arial Georgia Verdana
Font Size:
Aa Aa Aa
Line Spacing:
Column Width:
Background:
Article

An Investigation of the Temperature-Drift Effect on Strain Measurement of Concrete Beams

Department of Civil Engineering, National Chung Hsing University, Taichung 402, Taiwan
*
Author to whom correspondence should be addressed.
Appl. Sci. 2019, 9(8), 1662; https://doi.org/10.3390/app9081662
Submission received: 8 March 2019 / Revised: 5 April 2019 / Accepted: 15 April 2019 / Published: 22 April 2019
(This article belongs to the Section Materials Science and Engineering)

Abstract

:
This study investigates the temperature-drift effect on strain measurement of concrete beams and proposes a method for determination of the mechanical strain of stressed concrete beams. In the study, wireless electrical resistance strain gauges were used to measure the strain of concrete beams. This study first examined how temperature changes affected the strain gauge attached to concrete beams. Subsequently, a concrete beam experiencing changes in temperature and load was monitored for six consecutive days. The test results showed that the apparent strain response of the concrete beam was significantly affected by temperature changes. After adjusting for the temperature effect, the mechanical strain generated by a load could be obtained. However, temperature-induced drift was still observed in the mechanical strain response. Based on the assumption that temperature changes are slow and gradual, and mechanical strain changes are momentary, an adjacent data subtraction method can be used to eliminate the temperature-induced drift present in the mechanical strain data. The subtraction results show that the mechanical strain generated by a load was accurately obtained. The proposed data-processing method could also be used to find the residual strain of the nonelastic response of a beam subjected to substantial short-term forces.

1. Introduction

In recent years, structural health monitoring (SHM) has been a popular topic. Structural health monitoring is the installation of various types of sensors (such as accelerometers, tiltmeters, displacement meters, strain gauges, and thermometers) in structures for monitoring structural responses to external stimuli [1,2,3,4]. The measured structural response can be used to detect the structural damage or deterioration through the analysis of structural system characteristics, and, thus, the purpose of maintaining the structural safety of the structure, such as a bridge, can be achieved. The SHM system generally includes sensors, data acquisition systems, monitoring centers, and system identification technology [5,6].
In SHM, a large number of sensors are installed and distributed across large areas of a structure. In the past, limited by the large size and high cost of commercially available analog-to-digital converters, the analog-to-digital conversion was often integrated into a multi-channel data logger for execution, causing the need to install multiple independent cables for connecting sensors with the data logger; this formed the traditional and commonly seen centralized data acquisition system. The centralized system has many shortcomings, including the need for a large number of cables, signal attenuation and interference, and difficulty in expansion and adjustment of the system [7,8]. In contrast, a distributed system completes the digitization work at the sensor’s end so as to enable the development of a wireless sensor system. Wireless sensors, owing to their easy installation, low maintenance cost, and flexible deployment, are highly suitable for use in the SHM of bridges. Thus, monitoring systems that are based on wireless sensor networks (WSNs) have become mainstream [9,10].
Strain is the most sensitive physical quantity of the mechanical behavior of concrete beams. External environmental changes (external force, support conditions, and temperature changes) or beam deterioration and damage (cracks, fire, and prestress loss) tend to be clearly reflected on the strain of the concrete beam; therefore, strain measurement should be the first choice for SHM. In the use of electric resistance strain (ERS) gauges on bridge structures, the measured apparent strain includes strain induced by temperature changes and mechanical strain. Theoretically, if the temperature-change-induced strain can be eliminated from the apparent strain, then the mechanical strain required for structural analysis can be obtained. However, because the ERS gauge is affected by long-term temperature changes, a drift phenomenon is present in the measured strain, causing the signal analysis to become more complex. The temperature-induced drift phenomenon is attributed to a nonlinear relationship between the ambient temperature and the measured strain as illustrated in Figure 1 even in the absence of external force. In addition to ERS gauges, vibration wire (VW) and fiber Bragg grating (FBG) sensors also suffer from strain drift caused by temperature changes [11,12,13,14,15,16,17,18]. A technique based on the use of a dummy gauge can eliminate the thermal effect provided that the dummy gauge is attached on an additional material component that undergoes the same thermal variations as the active gauge but is free from mechanical strain. However, this method is practically difficult for a heterogeneous material, such as concrete.
To deal with a temperature effect on strain measurement, statistical analysis, especially linear regression, has been widely adopted to find the relationship between the ambient temperature and the measured strain [14,15,17,18]. The statistical approaches cannot remove the temperature-induced strain drift, so only qualitative analysis or trend interpretation of the experimental results can be performed. Kulprapha and Warnitchai [12] presented a study showing good agreement between the measured and the predicted strains by resetting the measured strains to zero every day to avoid the accumulated errors caused by the temperature drift.
Based on the data recorded by the resistance strain gauge, this study proposed a simple data-processing method to eliminate temperature-induced drift. The advancement of the study is to provide an easy but effective way to quantitatively determine the mechanical strain. Wireless ERS gauges were adopted in the study. The research performed tests to study how temperature changes affected the electrical resistance responses of strain gauges attached to steel and concrete specimens without restraint to obtain the temperature-resistance effect of the gauges. Then, strain monitoring tests for steel beam and concrete beams were conducted for a number of consecutive days, during which diurnal and nocturnal temperature changes and load changes were experienced. Using the proposed innovative strain data analysis method, temperature effects were eliminated to obtain the mechanical strain generated by load changes. Finally, the feasibility of using the proposed strain data analysis method to monitor the residual strain generated by a huge load within a short time was examined.

2. The Temperature-Resistance Effect of the Strain Gauge

This section examines the effects of temperature changes on the data measured by the strain gauge attached to the object to be tested. When the test object was not given any constraints, temperature changes would cause the object to generate free thermal expansion and contraction strains (εf) that would be detected by the strain gauge. However, the electrical resistance in the gauge would also change due to temperature changes, and this change would generate unwanted strain (εu) in the measurement. Therefore, when an object without constraints is subjected to temperature changes, the measured temperature strain (εT) can be expressed using the following equation:
ε T = ε f + ε u = α T + β T = ( α + β ) T = γ T
where α is the thermal expansion coefficient of the object; β is the temperature-resistance effect of the strain gauge; and γ is the combined temperature effect coefficient (γ = α + β).
Mechanical strain monitoring for steel beams and concrete beams was the study subject of this paper. There was a need to perform separate tests to obtain the combined temperature effect coefficients (γ) for the strain gauge attached to steel and the strain gauge attached to concrete.
First, a strain gauge (model number: FLA-10, Tokyo Sokki Kenkyujo Co., Ltd. (TML), Tokyo, Japan, length: 10 mm) was affixed on the steel beam, and the steel beam was placed in a temperature-controlled box as illustrated in Figure 2a. During the experiment, a sample was obtained per minute and the temperature underwent changes from 20 to 52 °C. Figure 2b shows the relationship of the strain changes and temperature changes within the temperature-controlled box in the experiment; through linear regression, the slope of the regression equation was obtained to be approximately 5.45, meaning that, under unit temperature changes, the combined temperature effect coefficient (γ) of the FLA-10 mm strain gauge affixed to the steel beam was 5.45 με/°C.
Next, this study measured the combined temperature effect coefficient (γ) of the strain gauge (PFL-20) attached to the concrete beam. Because the size of the concrete specimen was relatively large, the temperature change test was conducted outdoors as illustrated in Figure 3a. During the test, a box was used to shield the specimen from direct sunlight. Figure 3b depicts the relationship of the strain changes and temperature changes. Through linear regression analysis, the slope of the regression equation was obtained as approximately 20.17, meaning that, under unit temperature change, the combined temperature effect coefficient (γ) of the strain gauge (PFL-20 mm) attached to the concrete specimen was 20.17 με/°C.
To verify the test results of the combined temperature effect coefficient (γ) of the aforementioned resistance strain gauge, the study used a glass ceramic plate manufactured by Zerodur, Germany with an extremely small thermal expansion coefficient of 2 × 10−8/°C as the base material for the test; the size of the glass ceramic was 150 × 150 × 5 mm. For the test, a variety of resistance strain gauge models were affixed on the glass ceramic as shown in Figure 4 and the glass ceramic was placed in a temperature-controlled box. The temperature-resistance effect coefficient (β) of the strain gauge was obtained under the conditions that the base material exhibited no thermal expansion or contraction.
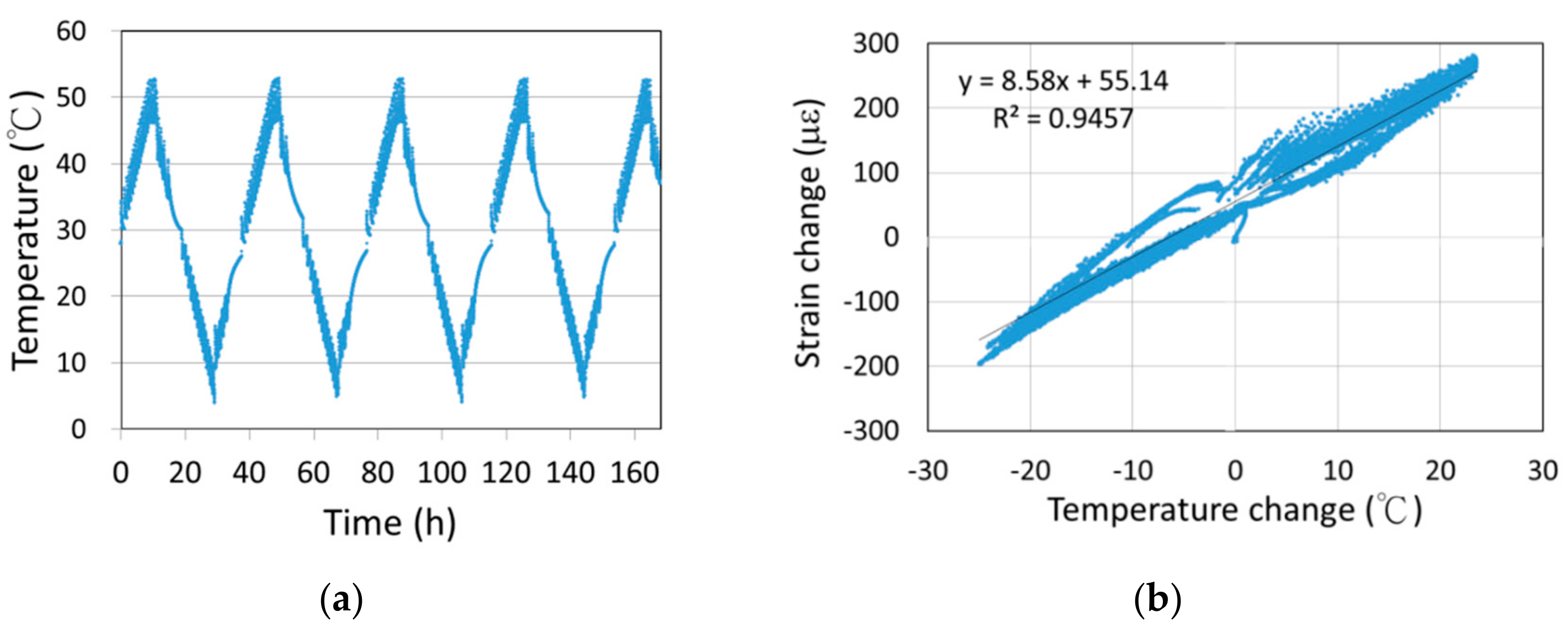
During the test, the glass ceramic with different resistance strain gauges was placed in a temperature-controlled box, and one sample was obtained per minute. The temperature changed from 5 to 55 °C over the course of 168 hours (7 days) as shown in Figure 5a. Figure 5b shows the strain change and temperature change relationship diagram of the PFL-20 mm strain gauge. Through linear regression analysis, the slope of the regression equation was obtained as 8.58, meaning that the temperature coefficient of resistance (β) of the PFL-20 mm strain gauge was 8.58 με/°C.
The test results on the temperature changes of the PFL-20 mm strain gauge are summarized in Table 1. Column A is a hypothesized concrete thermal expansion coefficient (α) of 11 × 10−6 (11 με/°C). Column B is the temperature-resistance effect (β) of the strain gauge affixed on the glass ceramic. Using Equation (1), the expected combined temperature effect coefficient was obtained as γ = α + β and is listed in Column C of Table 1. The experimental combined temperature effect coefficients obtained from the tests are listed in Column D. A comparison of Column C with Column D indicates that, for the PFL-20mm strain gauge, the difference between the combined temperature effect coefficient and the expected value was 2.9%, as shown in the last column of Table 1.
The aforementioned test was repeated on strain gauges of different lengths affixed to concrete, and the results are summarized in Table 1. The last column indicates that the differences between the combined temperature effect coefficient (γ) and the expected value of the various strain gauges were less than 5%. The test results were acceptable, considering the heterogeneity of concrete materials.

3. Strain Monitoring Tests for Beams

3.1. Strain Monitoring Test for a Steel Beam

As shown in Figure 6, the study first used a simply supported steel beam for the mechanical strain measurement test. The steel beam’s cross-section dimensions were 16 mm wide and 2 mm thick; the distance between the two load points was 340 mm; and the distance between the two support points was 480 mm. Two FLA-10 mm strain gauges were attached to the top and bottom at the midpoint of the steel beam, respectively, and a thermometer was installed on the steel beam. During the test, the specimen was kept indoors for two days and the load was changed at different times. The test procedure was: add a load of 100 g, then add another load of 100 g, then remove a load of 100 g, then remove a load of 100 g. The strain and temperature data were recorded once per minute.
Figure 7a,b show the recorded apparent strain and temperature responses. The apparent strain response in Figure 7a clearly indicated significant changes in strain response at the times of loading (position indicated by solid arrow) as well as unloading (position indicated by dotted arrow). Under the loading condition, the bending moment caused negative strain (compression) and positive strain (tension) on the top and bottom strain gauges, respectively; the opposite was observed under the unloading condition. Theoretically, when a load is not augmented or reduced, no strain change should exist. However, Figure 7a showed that a nonlinear apparent strain response was present during the load application intervals, and the undulations were consistent with the temperature trend in Figure 7b. This phenomenon indicated that temperature changes affected the apparent strain recorded during the test.
To obtain the mechanical strain (εm), the temperature strain (εT) induced by temperature changes (ΔT) must be subtracted from the recorded apparent strain (ε), that is, εm = εγΔT. According to the previous test, the combined temperature effect coefficient (γ) of the FLA-10 mm strain gauge affixed to the steel beam was 5.45 με/°C (refer to Figure 1), so the apparent strain (ε) in Figure 6a and the temperature changes (ΔT) in Figure 6b can be combined to obtain the mechanical strain response of the steel beam, as shown in Figure 8a. After temperature correction, the mechanical strain in Figure 8a showed that, when the system had no load addition or removal, the strain response did not fluctuate with the temperature changes but resembled an almost flat straight line, and after removal of all load (after 30 h), the mechanical strain also returned to close to the 0 position. This shows that the temperature-induced drift was not significant in such a case.
Although the temperature-induced drift in this test was not significant, the test results of a concrete beam to be discussed in the subsequent section showed significant temperature drift. A data-processing method was thus proposed to eliminate temperature drift interference. The proposed method was based on the assumption that temperature changes are slow and mechanical strain changes are abrupt; therefore, an adjacent data subtraction method was applied to the time-history data of mechanical strain response to obtain the relative changes in mechanical strain at adjacent times; thus, the effects of temperature drift could be significantly reduced. The adjacent data subtraction means that the current data were subtracted by their preceding data. Figure 8b displays the change in mechanical strain per unit time obtained by performing adjacent data subtraction of Figure 8a. In Figure 8b, only the four time points of load application and removal showed significant mechanical strain changes. The relative changes in mechanical strain at all other time points were within ±2 με. Under the assumption that the elastic modulus of the steel beam was 210 GPa, the theoretical strain at the top and bottom of the steel beam subjected to a load of 100 g was calculated to be approximately 15.62 με. Comparing the positive or negative strain obtained from the four load applications in Figure 8b with the obtained theoretical strain showed that only one strain data point, 14.38 με, had a difference of 1.24 με; the differences of the other seven data points were less than 1 με. It is worth mentioning that the maximum absolute error (1.24 με) is quite close to the strain accuracy (1.0 με) provided by the measuring instrument itself. The test results showed that the proposed data analysis method could easily and accurately obtain the mechanical strain generated by the load.

3.2. Strain Monitoring Test for a Concrete Beam

This subsection used a small concrete beam as the specimen for the strain monitoring test. The beam section measured 57 mm wide and 30 mm thick. The support length was 450 mm, and a welded wire mesh was placed at a distance of 5 mm from the bottom. Figure 9 is the schematic of the concrete beam test. During the test, a PFL-20 mm strain gauge was attached to the top and bottom of the midpoint of the beam, and two thermometers were positioned at the top and bottom of the beam midpoint, respectively.
The test specimen was kept indoors for approximately 6 days. During the test, a load was applied or removed at different time points; the procedure was: add load 5 kgf, add load 5 kgf, remove load 5 kgf, and remove load 5 kgf. The strain and temperature data were recorded once per minute. Figure 10a,b illustrate the recorded apparent strain and temperature responses, respectively. In comparison with the steel beam test results of Figure 7a, the momentary mechanical strain response generated by load application or removal was difficult to identify from the apparent strain response recorded by the concrete beam test in Figure 10a; the entire apparent strain response was almost consistent with the temperature variation trend in Figure 10b. This phenomenon indicated that temperature changes dominated the entire apparent strain response and masked the mechanical strain response; therefore, the mechanical strain generated by load application or removal could not be determined. Figure 10b indicates that the temperature curves of the top and bottom of the beam are almost overlapping and the largest difference was only 0.1 °C. Thus, this small concrete beam could be considered to have a uniform temperature distribution.
Because it was not easy to observe the mechanical strain generated by load application or removal from the apparent strain data in Figure 10a, it was necessary to consider the effects of temperature changes. To obtain the mechanical strain (εm), the temperature strain (εT) induced by temperature changes (ΔT) must be eliminated from the recorded apparent strain (ε), that is, εm = εγΔT. According to previous testing, the combined temperature effect coefficient (γ) of the PFL-20 mm strain gauge attached to the concrete was 20.17 με/°C (refer to Figure 3). Hence, the apparent strain in Figure 10a and the temperature variation in Figure 10b could be combined to obtain the mechanical strain time-history response of the concrete beam, as shown in Figure 11a. After temperature correction, an abrupt mechanical strain change generated by load application or removal could already be slightly discerned from the mechanical strain time-history response in Figure 11a, as indicated by the arrow in the diagram. However, because the temperature drift was considerably significant, the mechanical strain response did not return to the 0 position even after the load had been completely removed. This phenomenon differed greatly from the steel beam test results in Figure 8a.
Figure 11b is the mechanical strain change per unit time obtained by performing the adjacent data subtraction of Figure 11a. The adjacent data subtraction means that the current data were subtracted by their preceding data. In Figure 11b, only the four time points of load application and removal showed significant mechanical strain differences; the mechanical strain differences at all other time points were mostly within ±3 με. It is notable that, in Figure 11b, an unexpected noise occurred in the mechanical strain difference because of a minor temperature fluctuation near the 40 h time point of the x-axis (as shown in Figure 12). This type of noise can be ignored by observing the temperature curve; it would not affect the identification of the mechanical strain generated by load application or removal.
To verify the accuracy of the mechanical strain obtained in the aforementioned test, a load of 5 kgf was applied to the concrete beam used in the test within a short time (to prevent temperature change effects) and the strain changes at the top and bottom of the beam were recorded. The test was repeated thrice, and the obtained results are summarized in Table 2. The averages of the strain at the top and bottom of the beam obtained through the three load tests were −13.90 με and 12.23 με, respectively. The average strain obtained from the three load tests can be treated as the baseline value for performing a difference comparison of the mechanical strain obtained by the study using the temperature effect elimination method. The comparison results are listed in Table 3. In Table 3, it can be observed that the largest difference between the two was only 1.3 με, indicating that the test results were favorable. The test results showed that the apparent strain was significantly affected by the considerable temperature drift of the heterogeneous concrete beam; through the proposed data analysis method, the load-generated mechanical strain was obtained accurately.

4. Residual Strain Monitoring Test for Nonelastic Response

The previous section proves that the proposed data-processing method could effectively eliminate temperature effects and obtain the accurate mechanical strain. This section examined the feasibility of using this data-processing method to monitor the residual strain of concrete beams when the beams had the nonelastic response caused by a considerable load. If feasible, this technique could be used to assess the presence of residual strain after a bridge structure had been subjected to seismic forces, and could be a technique for easy and effective assessment of damage to bridge structures.
The dimensions of the beam and the load configuration used for the test were the same as in Figure 9 in Section 3.2. A steel plate with a thickness of 1 mm was glued to the top of the concrete beam to avoid brittle failure of the beam. The test period was 44 hours, and three time points were selected for short-term load application and removal. To enable the test specimen to generate nonelastic responses, a relatively large load (approximately 110 kgf) was given; residual strain occurred after load removal. Figure 13 shows the time-history response of the apparent strain at the beam bottom obtained by the test; a relatively large strain response (marked by the red dotted-line rectangle) generated by the three short-term load applications can be observed in the figure. Generally, in static monitoring of bridges, data are mostly retrieved at 10-minute or longer intervals. Therefore, a short-term seismic force response could not be recorded in a static apparent strain response. To simulate this type of scenario, the study eliminated the short-term large apparent strain response marked by the three red dotted-line rectangles in Figure 13.
Figure 14a shows the apparent strain time-history curve obtained after deleting the strain data caused by the short-term loads, and Figure 14b shows the temperature change curve recorded during the test. Figure 13c shows the mechanical strain (εm) obtained by eliminating the temperature strain (εT) induced by the temperature change (ΔT) in Figure 14b from the apparent strain (ε) of Figure 14a. The mechanical strain in Figure 14c was significantly affected by temperature drift, and was practically impossible to analyze. Using the same processing method as used in the previous section, the adjacent data subtraction method was applied to the mechanical strain data in Figure 14c to obtain the change in mechanical strain per unit time, as illustrated in Figure 14d. Figure 14d clearly indicates that residual strains of 3.54, 5.78, and 4.91 με occurred at the three short-term load application time points.
The preliminary test in this section already proved the proposed concept: given that temperature changes are slow and mechanical strain changes are momentary, application of adjacent data subtraction to mechanical strain data can eliminate the effects of temperature drift. In addition to accurately analyzing the mechanical strains of load application and removal, this type of concept could also be used to analyze the residual strain of the nonelastic response of the concrete beam generated by the application of substantial short-term loads.

5. Conclusions

This study used a wireless resistance strain gauge measurement system to measure the strain response of beams. The research performed long-term load tests for a steel beam and a concrete beam, and nonelastic response tests for a concrete beam, to examine the effects of temperature changes on the strain responses obtained by the tests.
Based on the test results, conclusions were obtained as follows:
  • When the load-generated mechanical response was smaller than the thermal strain response induced by temperature changes, the measured apparent strain response would be influenced by temperature changes, and the load-generated mechanical strain could not be obtained through analyzing apparent strain.
  • Mechanical strain could be obtained by eliminating the temperature-induced strain from the apparent strain. The mechanical strain of abrupt changes generated by load application and removal could be observed in the mechanical strain time-history curve. However, because of the presence of temperature-induced drift, the mechanical strain response could not return to the 0 position even after the removal of all loads. Moreover, as time passed, the temperature drift effect caused the mechanical strain to move further away from 0. This temperature drift made analyzing mechanical strain difficult.
  • Given that temperature changes are slow and mechanical strain changes are momentary, this study proposed a simple data-processing method, namely, to use adjacent data subtraction on the mechanical strain time-history curve to eliminate the temperature drift effect. The obtained mechanical strain change per unit time can be used to accurately determine the mechanical strain generated by load application and removal.
In addition to precise analysis of load-generated mechanical strain, the adjacent data subtraction of mechanical strain time-history data could also be used to analyze the residual strain of the nonelastic response of a concrete beam subjected to substantial short-term loads.

Author Contributions

Conceptualization and methodology, Y.L.; measurements, Y.-W.C.; development sensors, Y.-T.L.; data analysis, Y.L., Y.-T.L. and Y.-W.C.; writing—original draft preparation, Y.L., Y.-T.L. and Y.-W.C.

Funding

This work was sponsored by the Ministry of Science and Technology, Taiwan, ROC under Grant No. MOST 106-2221-E-005 -036 -MY3.

Conflicts of Interest

The authors declare no conflict of interest.

References

  1. Chang, P.C.; Flatau, A.; Liu, S.C. Review Paper: Health Monitoring of Civil Infrastructure. Acoust. Speech Signal Process. Newslett. IEEE 2003, 2, 257–267. [Google Scholar] [CrossRef]
  2. Farrar, C.R.; Worden, K. An introduction to structural health monitoring. Philos. Trans. A Math. Phys. Eng. Sci. 2007, 365, 303–315. [Google Scholar] [CrossRef] [PubMed]
  3. Xia, Y.; Chen, B.; Weng, S.; Ni, Y.Q.; Xu, Y.L. Temperature effect on vibration properties of civil structures: A literature review and case studies. JCSHM 2012, 2, 29–46. [Google Scholar] [CrossRef]
  4. Kromanis, R. Structural Performance Evaluation of Bridges: Characterizing and Integrating Thermal Response. Ph.D. Thesis, University of Exeter, Exeter, UK, January 2015. [Google Scholar]
  5. Li, H.N.; Ren, L.; Jia, Z.G.; Yi, T.H.; Li, D.S. State-of-the-art in structural health monitoring of large and complex civil infrastructures. JCSHM 2016, 6, 3–16. [Google Scholar] [CrossRef]
  6. Chen, Z.; Zhou, X.; Wang, X.; Dong, L.; Qian, Y. Deployment of a Smart Structural Health Monitoring System for Long-Span Arch Bridges: A Review and a Case Study. Sensors 2017, 17, 2151. [Google Scholar] [CrossRef] [PubMed]
  7. Zhou, G.D.; Yi, T.H. Recent developments on wireless sensor networks technology for bridge health monitoring. Math. Probl. Eng. 2013, 3, 1–33. [Google Scholar] [CrossRef]
  8. Chae, M.J.; Yoo, H.S.; Kim, J.Y.; Cho, M.Y. Development of a wireless sensor network system for suspension bridge health monitoring. Automat. Constr. 2012, 21, 237–252. [Google Scholar] [CrossRef]
  9. Lynch, J.P.; Loh, K.J. A Summary Review of Wireless Sensors and Sensor Networks for Structural Health Monitoring. Shock Vib. Digest 2006, 38, 91–128. [Google Scholar] [CrossRef]
  10. Liu, C.; Teng, J.; Wu, N. A Wireless Strain Sensor Network for Structural Health Monitoring. Shock Vib. 2015, 2015, 1–13. [Google Scholar] [CrossRef]
  11. Papadopoulos, K.; Morfiadakis, E.; Philippidis, T.P.; Lekou, D.J. Assessment of the strain gauge technique for measurement of wind turbine blade loads. Wind Energy 2000, 3, 35–65. [Google Scholar] [CrossRef]
  12. Kulprapha, N.; Warnitchai, P. Structural health monitoring of continuous prestressed concrete bridges using ambient thermal responses. Eng. Struct. 2012, 40, 20–38. [Google Scholar] [CrossRef]
  13. Ge, Y.; Elshafie, M.Z.E.B.; Dirar, S.; Middleton, C.R. The response of embedded strain sensors in concrete beams subjected to thermal loading. Constr. Build. Mater. 2014, 70, 279–290. [Google Scholar] [CrossRef]
  14. Prakash, G.; Sadhu, A.; Narasimhan, S.; Brehe, J.M. Initial service life data towards structural health monitoring of a concrete arch dam. Struct. Contr. Health Monit. 2018, 25, 1–19. [Google Scholar] [CrossRef]
  15. Newell, S.; Goggins, J. Investigation of Thermal Behaviour of a Hybrid Precasted Concrete Floor using Embedded Sensors. IJCSM 2018, 12, 66. [Google Scholar] [CrossRef]
  16. Küsel, F.; Kearsley, E.; Butler, L.J.; Skorpen, S.A.; Elshafie, M.Z.E.B. Measured temperature effects during the construction of a prestressed precast concrete bridge beam. In Proceedings of the International Conference on Concrete Repair, Rehabilitation and Retrofitting, Cape Town, South Africa, 19–21 November 2018. [Google Scholar]
  17. Kaloop, M.R.; Hu, J.W.; Elbeltagi, E. Time-Series and Frequency-Spectrum Correlation Analysis of Bridge Performance Based on a Real-Time Strain Monitoring System. ISPRS Int. J. Geo. Inf. 2016, 5, 61. [Google Scholar] [CrossRef]
  18. Chen, C.; Wang, Z.; Wang, Y.; Wang, T.; Luo, Z. Reliability Assessment for PSC Box-Girder Bridges Based on SHM Strain Measurements. J. Sens. 2017, 2017, 1–13. [Google Scholar] [CrossRef]
Figure 1. The ambient temperature and measured strain relationship.
Figure 1. The ambient temperature and measured strain relationship.
Applsci 09 01662 g001
Figure 2. The combined temperature effect coefficient γ value test of a strain gauge (FLA-10) attached to the steel beam: (a) temperature-controlled box test; (b) strain change and temperature change relationship.
Figure 2. The combined temperature effect coefficient γ value test of a strain gauge (FLA-10) attached to the steel beam: (a) temperature-controlled box test; (b) strain change and temperature change relationship.
Applsci 09 01662 g002
Figure 3. The combined temperature effect coefficient γ value test of a strain gauge (PFL-20mm) attached to the concrete beam: (a) specimen photograph; (b) test results °.
Figure 3. The combined temperature effect coefficient γ value test of a strain gauge (PFL-20mm) attached to the concrete beam: (a) specimen photograph; (b) test results °.
Applsci 09 01662 g003
Figure 4. Strain gauges attached to a glass ceramic plate with a very small thermal expansion coefficient.
Figure 4. Strain gauges attached to a glass ceramic plate with a very small thermal expansion coefficient.
Applsci 09 01662 g004
Figure 5. The temperature-resistance effect of the strain gauge (PFL-20 mm) attached to the Zerodur glass ceramic plate: (a) temperature changes; (b) strain change and temperature relationship.
Figure 5. The temperature-resistance effect of the strain gauge (PFL-20 mm) attached to the Zerodur glass ceramic plate: (a) temperature changes; (b) strain change and temperature relationship.
Applsci 09 01662 g005
Figure 6. Schematic of the steel beam test.
Figure 6. Schematic of the steel beam test.
Applsci 09 01662 g006
Figure 7. The steel beam test: (a) strain gauge response; (b) temperature changes.
Figure 7. The steel beam test: (a) strain gauge response; (b) temperature changes.
Applsci 09 01662 g007
Figure 8. The steel beam test: (a) mechanical strain; (b) change in mechanical strain per unit time.
Figure 8. The steel beam test: (a) mechanical strain; (b) change in mechanical strain per unit time.
Applsci 09 01662 g008
Figure 9. Schematic of the concrete beam test.
Figure 9. Schematic of the concrete beam test.
Applsci 09 01662 g009
Figure 10. The concrete beam test: (a) strain recorded at the top and bottom of the beam midpoint; (b) temperature at the top and bottom of the beam midpoint.
Figure 10. The concrete beam test: (a) strain recorded at the top and bottom of the beam midpoint; (b) temperature at the top and bottom of the beam midpoint.
Applsci 09 01662 g010
Figure 11. The concrete beam test: (a) mechanical strain; (b) change in mechanical strain per unit time.
Figure 11. The concrete beam test: (a) mechanical strain; (b) change in mechanical strain per unit time.
Applsci 09 01662 g011aApplsci 09 01662 g011b
Figure 12. Minor temperature fluctuations near the 40-h time point.
Figure 12. Minor temperature fluctuations near the 40-h time point.
Applsci 09 01662 g012
Figure 13. The apparent strain response of the nonelastic response test for the concrete beam.
Figure 13. The apparent strain response of the nonelastic response test for the concrete beam.
Applsci 09 01662 g013
Figure 14. The concrete beam nonelastic response test: (a) strain response after deleting short-term loads; (b) beam bottom temperature changes; (c) mechanical strain; (d) change in mechanical strain per unit time.
Figure 14. The concrete beam nonelastic response test: (a) strain response after deleting short-term loads; (b) beam bottom temperature changes; (c) mechanical strain; (d) change in mechanical strain per unit time.
Applsci 09 01662 g014
Table 1. Test results for the temperature-resistance effect of the strain gauge attached to concrete.
Table 1. Test results for the temperature-resistance effect of the strain gauge attached to concrete.
ABC = A + BD
Gauge model No.α (10−6/°C)β (10−6/°C)Expected γ (10−6/°C)Experimental γ (10−6/°C)Difference between C and D
PFL-20 mm118.5819.5820.172.9%
PFL-30 mm117.6618.6618.891.2%
PL-90 mm117.8118.8119.654.5%
Table 2. The short-term load addition test for measuring the strain at the top and bottom of the beam.
Table 2. The short-term load addition test for measuring the strain at the top and bottom of the beam.
Load Addition 5 kgStrain at the Top of the Beam (με)Strain at the Bottom of the Beam (με)
1st short-term load addition test−13.5212.76
2nd short-term load addition test−14.1511.76
3rd short-term load addition test−14.0212.18
Average of the short-term load application tests−13.9012.23
Table 3. Test error for mechanical strain with temperature effects eliminated.
Table 3. Test error for mechanical strain with temperature effects eliminated.
Load ChangesAdd Load 5 kgfAdd Load 5 kgfRemove Load 5 kgfRemove Load 5 kgf
Beam topStrain obtained in short-term load addition test (με)13.90
Mechanical strain with temperature effect elimination (με)−12.72−13.7013.4413.00
Difference (με)1.180.200.460.90
Beam bottomStrain obtained in short-term load addition test (με)12.23
Mechanical strain with temperature effect elimination (με)10.9311.47−12.21−10.96
Difference (με)1.300.760.021.27

Share and Cite

MDPI and ACS Style

Lin, Y.; Liu, Y.-T.; Chang, Y.-W. An Investigation of the Temperature-Drift Effect on Strain Measurement of Concrete Beams. Appl. Sci. 2019, 9, 1662. https://doi.org/10.3390/app9081662

AMA Style

Lin Y, Liu Y-T, Chang Y-W. An Investigation of the Temperature-Drift Effect on Strain Measurement of Concrete Beams. Applied Sciences. 2019; 9(8):1662. https://doi.org/10.3390/app9081662

Chicago/Turabian Style

Lin, Yiching, Yu-Ting Liu, and Yu-Wen Chang. 2019. "An Investigation of the Temperature-Drift Effect on Strain Measurement of Concrete Beams" Applied Sciences 9, no. 8: 1662. https://doi.org/10.3390/app9081662

APA Style

Lin, Y., Liu, Y.-T., & Chang, Y.-W. (2019). An Investigation of the Temperature-Drift Effect on Strain Measurement of Concrete Beams. Applied Sciences, 9(8), 1662. https://doi.org/10.3390/app9081662

Note that from the first issue of 2016, this journal uses article numbers instead of page numbers. See further details here.

Article Metrics

Back to TopTop