Comparison of Mechanical and Electrical Characteristics of Various Polymers Blended with Ground Tire Rubber (GTR) and Applications
Abstract
:1. Introduction
Featured Application
2. Materials and Methods
2.1. Materials
2.2. Preparation of the Compound
2.3. Mechanical Analysis
2.4. Dynamic Electric Analysis
2.4.1. Conductivity
2.4.2. MWS Relaxation
2.4.3. Electrical Permittivity
3. Results and Discussion
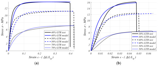
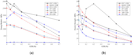
3.1. Mechanical Properties
Mechanical Comparative of All Seven Polymers/GTR
3.2. Analysis of Electrical Results
3.2.1. Comparison of Conductivities and Loss Tangent (Tg of δ)
3.2.2. Comparison of Real and Imaginary Permittivities
4. Discussion about the Influence of GTR in the Electrical Measurements
5. Conclusions
Author Contributions
Funding
Acknowledgments
Conflicts of Interest
References
- European Tyre Recycling Association (ETRA). Available online: www.etra-eu.org (accessed on 15 February 2019).
- Liu, H.S.; Richard, C.P.; Mead, J.L.; Stacer, R.G. Development of Novel Applications for Using Recycled Rubber in Thermoplastics; Technical Research Program; Chelsea Center for Recycling and Economic Development, University of Massachusetts: Lowell, UK, 2000. [Google Scholar]
- Mujal, R.; Marin, M.; Orrit, J.; Rahhali, A.; Colom, X. Dielectric, mechanical, and thermal characterization of high-density polyethylene composites with ground tire rubber. J. Thermoplast. Compos. Mater. 2012, 25, 537–559. [Google Scholar] [CrossRef]
- Figovslq, O.; Beilin, D.; Blank, N.; Potapo, J.; Chernyshe, V. Development of polymer concrete with polybutadiene matrix. Cem. Concr. Compos. 1996, 18, 437–444. [Google Scholar]
- Hernandez-Olivares, F.; Barluenga, G.; Bollatib, M.; Witoszekc, B. Static and dynamic behaviour of recycled tyre rubber-filled concrete. Cem. Concr. Compos. 2002, 32, 1587–1596. [Google Scholar] [CrossRef]
- Goncharuk, G.P.; Knunyants, M.I.; Kryuchkov, A.N.; Obolonkova, E.S. Effect of the specific surface area and the shape of rubber crumb on the mechanical properties of rubber-filled plastics. J. Polym. Sci. Part B Polym. Chem. 1998, 40, 166–169. [Google Scholar]
- Dierkes, W.K. Rubber recycling. In Recent Research Developments in Macromolecules; Pandalai, S.G., Ed.; Research Signpost: Trivandrum, India, 2003; Volume 7, pp. 265–292. [Google Scholar]
- Radeshkumar, C.; Karger-Kocsis, J. Thermoplastic dynamic vulcanisates containing LDPE, rubber, and thermochemically reclaimed ground tyre rubber. Plast. Rubber Compos. 2002, 31, 99–105. [Google Scholar] [CrossRef]
- Yehia, A.; Mull, M.A.; Ismail, M.N.; Hefny, Y.A.; Abdel-Bary, E.M. Effect of chemically modified waste rubber powder as a filler in natural rubber vulcanizates. J. Appl. Polym. Sci. 2004, 93, 30–36. [Google Scholar] [CrossRef]
- Colom, X.; Andreu-Mateu, F.; Cañavate, F.J.; Mujal, R.; Carrillo, F. Study of the influence of IPPD on thermo-oxidation process of elastomeric hose. J. Appl. Polym. Sci. 2009, 5, 2011–2018. [Google Scholar] [CrossRef]
- Cepeda-Jimenez, C.M.; Pastor-Blas, M.M.; Ferrándiz-Gómez, T.P.; Martín-Martinez, J.M. Surface Characterization of vulcanized Rubber treated with sulphuric acid and its adhesion to polyurethane adhesive. J. Adhes. 2000, 73, 135–160. [Google Scholar] [CrossRef]
- Mujal, R.; Orrit, J.; Ramis, X.; Marín-Genescà, M.; Rahhali, A. Study on dielectric, mechanical and thermal properties of polypropylene (PP) composites with ground tyre rubber (GTR). Polym. Polym. Compos. 2012, 20, 755–766. [Google Scholar]
- Mujal, R.; Orrit, J.; Ramis, X.; Marin, M.; Rahhali, A. Dielectric, thermal, and mechanical properties of acrylonitrile butadiene styrene reinforced with used tires. Adv. Polym. Technol. 2013, 32, E399–E415. [Google Scholar] [CrossRef]
- Nakason, C.; Kaesaman, A.; Supasanthitikul, P. The grafting of maleic anhydride onto natural rubber. Polym. Test. 2004, 23, 35–41. [Google Scholar] [CrossRef]
- Markov, A.; Fiedler, B.; Schulte, K. Electrical conductivity of carbon black/fibres filled glass-fibre-reinforced thermoplastic composites. Compos. Part A Appl. Sci. Manuf. 2006, 37, 1390–1395. [Google Scholar] [CrossRef]
- Saad, A.L.G.; Aziz, H.A.; Dimitry, O.I.H. Studies of electrical and mechanical properties of poly(vinyl chloride) mixed with electrically conductive additives. J. Appl. Polym. Sci. 2004, 91, 1590–1598. [Google Scholar] [CrossRef]
- Li, C.; Fan, Z.; Wu, S.; Li, Y.; Gan, Y.; Zhang, A. Effect of Carbon Black Nanoparticles from the Pyrolysis of Discarded Tires on the Performance of Asphalt and its Mixtures. Appl. Sci. 2018, 8, 624. [Google Scholar] [CrossRef]
- de Morais, A.B. Prediction of the longitudinal tensile strength of polymer matrix composites. Compos. Sci. Technol. 2006, 66, 2990–2996. [Google Scholar] [CrossRef]
- Giroud, J.P. Mathematical model of geomembrane stress-strain curves with a yield peak. J. Geotext. Geomembr. 1994, 13, 1–22. [Google Scholar] [CrossRef]
- Leon, C.; Lucıa, M.L.; Santamarıa, J. Correlated ion hopping in single-crystal yttria-stabilized zirconia. Phys. Rev. B 1997, 55, 882. [Google Scholar] [CrossRef]
- Jonscher, A.K. Dielectric relaxation in solids. J. Phys. D Appl. Phys. 1999, 32, R57. [Google Scholar] [CrossRef]
- Maxwell, J.C. A Treatise on Electricity and Magnetism, 3rd ed.; Clarence Press: Oxford, UK, 1891; Volume 1. [Google Scholar]
- Wagner, K.W. Zur theorie der unvolkommenen dielektrika. Amalen der Physik 1913, 40, 817–855. [Google Scholar] [CrossRef]
- El-Nashar, D.E.; Eid, M.A.M.; Abou Aiad, T.H.; Abd-El-Messieh, S.L. Electrical and Mechanical Investigations on Polyvinyl Chloride Filled with HAF Black. J. Reinf. Plast. Compos. 2009, 28, 1763–1773. [Google Scholar] [CrossRef]
- Mujal, R.; Orrit-Prat, J.; Ramis-Juan, X.; Marin-Genesca, M. Electrical application of polyamide reinforced with old tire rubber (ground tire rubber): Dielectric, thermal, mechanical and structural properties. J. Thermoplast. Compos. Mater. 2014, 27, 1209–1231. [Google Scholar] [CrossRef]
- Orrit-Prat, J.; Mujal-Rosas, R.; Rahhali, A.; Marin-Genesca, M.; Colom-Fajula, X.; Belana-Punseti, J. Dielectric and mechanical characterization of PVC composites with ground tire rubber. J. Compos. Mater. 2016, 45, 1233–1243. [Google Scholar] [CrossRef]
- Mujal, R.; Orrit-Prat, J.; Ramis-Juan, X.; Marin-Genesca, M.; Rahhali, A. Study on dielectric, thermal, and mechanical properties of the ethylene vinyl acetate reinforced with ground tire rubber. J. Reinf. Plastics Compos. 2011, 30, 581–592. [Google Scholar] [CrossRef]
- Abbasi, H.; Antunes, M.; Velasco, J.I. Effects of Carbon Nanotubes/Graphene Nanoplatelets Hybrid Systems on the Structure and Properties of Polyetherimide-Based Foams. Polymers 2018, 10, 348. [Google Scholar] [CrossRef] [PubMed]
- Antunes, M.; Velasco, J.I. Chapter 8: Polymer-Carbon Nanotube Nanocomposite Foams. In Polymer Nanotube Nanocomposites: Synthesis, Properties, and Applications; Mittal, V., Ed.; Scrivener Publishing LLC: Beverly, MA, USA, 19 September 2014. [Google Scholar] [CrossRef]
- Feller, J.F.; Linossier, I.; Levesque, G. Conductive polymer composites (CPCs): Comparison of electrical properties of poly(ethylene-co-ethyl acrylate)-carbon black with poly(butylene terephthalate)/poly(ethylene-co-ethyl acrylate)-carbon black. Polym. Adv. Technol. 2002, 13, 714–724. [Google Scholar] [CrossRef]
- Tang, H.; Chen, X.; Luo, Y. Studies on the PTC/NTC effect of carbon black filled low density polyethylene composites. Eur. Polym. J. 1997, 8, 1383–1386. [Google Scholar] [CrossRef]
- Mallette, J.G.; Quej, L.M.; Marquez, A.; Manero, O. Carbon black-filled PET/HDPE blends: Effect of the CB structure on rheological and electric properties. J. Appl. Polym. Sci. 2001, 81, 562–569. [Google Scholar] [CrossRef]
- Zhang, J.-F.; Zheng, Q.; Yang, Y.-Q.; Yi, X.-S. High-density polyethylene/carbon black conductive composites. I. Effect of CB surface modification on its resistivity-temperature behavior. J. Appl. Polym. Sci. 2002, 83, 3112–3116. [Google Scholar] [CrossRef]
- Saikia, N.; de Brito, J. Use of plastic waste as aggregate in cement mortar and concrete preparation: A review. Constr. Build. Mater. 2012, 34, 385–401. [Google Scholar] [CrossRef]
- Evangelista, L.; de Brito, J. Mechanical behavior of concrete made with fine recycled concrete aggregates. Cement and concrete composites. Cem. Concr. Compos. 2007, 29, 397–401. [Google Scholar] [CrossRef]









| Polymer Type | Commercial Name | Fluidity Index or Melt Flow Index (g/min) | Density (kg/m3) |
|---|---|---|---|
| PVC | Etinox | 1.35 | 1.225 |
| EVA | Alcudia PA 539 type | 0.20 | 937 |
| HDPE | Alcudia 4810-B | 1.35 | 960 |
| PA 6 | Ultramid B3S | 1.55 | 1130 |
| ABS | Terluran® HH-106 | 1.45 | 1050 |
| PP | Isplen® 099 K2M type | 0.55 | 902 |
| PS | Polystyrol 486 M | 1.45 | 1050 |
| Polymer | Processing Temperature (°C) | Pressing Temperature (°C) |
|---|---|---|
| PVC | 195–200 °C | 210 °C |
| EVA | 105–110 °C | 120 °C |
| HDPE | 150–155 °C | 170 °C |
| PA 6 | 195–200 °C | 210 °C |
| ABS | 180–185 °C | 195 °C |
| PP | 155–165 °C | 165 °C |
| PS | 180–185 °C | 195 °C |
| Polymer Composite | Young’s Modulus (MPa) | Tensile Strength (MPa) | Elongation at Break (%) | Toughness (J) |
|---|---|---|---|---|
| PVC/GTR | 3028.89 (0%GTR) | 35.75 (0%GTR) | 6.31 (5%GTR) | 1.31 (5%GTR) |
| EVA/GTR | 41.67 (10%GTR) | 23.08 (0%GTR) | 704.6 (0%GTR) | 72.32 (0%GTR) |
| HDPE/GTR | 1300.11 (5%GTR) | 25.51 (5%GTR) | 50 (0%GTR) | 7 (0%GTR) |
| PP/GTR | 1368.65 (0%GTR) | 29.9 (0%GTR) | 346.71 (0%GTR) | 64.22 (0%GTR) |
| ABS/GTR | 2522.37 (0%GTR) | 44.98 (0%GTR) | 32.91 (0%GTR) | 9.9 (0%GTR) |
| PA/GTR | 2841.47 (0%GTR) | 50.41 (0%GTR) | 8.46 (70%GTR) | 1.09 (50%GTR) |
| PS/GTR | 2235.42 (10%GTR) | 38.89 (0%GTR) | 66.27 (0%GTR) | 0.20 (0%GTR) |
© 2019 by the authors. Licensee MDPI, Basel, Switzerland. This article is an open access article distributed under the terms and conditions of the Creative Commons Attribution (CC BY) license (http://creativecommons.org/licenses/by/4.0/).
Share and Cite
Marín-Genescà, M.; García-Amorós, J.; Mujal-Rosas, R.; Salueña Berna, X.; Massagués Vidal, L. Comparison of Mechanical and Electrical Characteristics of Various Polymers Blended with Ground Tire Rubber (GTR) and Applications. Appl. Sci. 2019, 9, 1564. https://doi.org/10.3390/app9081564
Marín-Genescà M, García-Amorós J, Mujal-Rosas R, Salueña Berna X, Massagués Vidal L. Comparison of Mechanical and Electrical Characteristics of Various Polymers Blended with Ground Tire Rubber (GTR) and Applications. Applied Sciences. 2019; 9(8):1564. https://doi.org/10.3390/app9081564
Chicago/Turabian StyleMarín-Genescà, Marc, Jordi García-Amorós, Ramon Mujal-Rosas, Xavier Salueña Berna, and Lluís Massagués Vidal. 2019. "Comparison of Mechanical and Electrical Characteristics of Various Polymers Blended with Ground Tire Rubber (GTR) and Applications" Applied Sciences 9, no. 8: 1564. https://doi.org/10.3390/app9081564
APA StyleMarín-Genescà, M., García-Amorós, J., Mujal-Rosas, R., Salueña Berna, X., & Massagués Vidal, L. (2019). Comparison of Mechanical and Electrical Characteristics of Various Polymers Blended with Ground Tire Rubber (GTR) and Applications. Applied Sciences, 9(8), 1564. https://doi.org/10.3390/app9081564

