Fracture Assessment of Weld Joints of High-Strength Steel in Pre-Strained Condition
Abstract
1. Introduction
2. Manufacturing of the HSB 600 High-Performance Steel Welds
2.1. Material Properties of the Specimens Used
2.2. Double-Edge Through-Thickness Crack Panel within a Crack in the HAZ
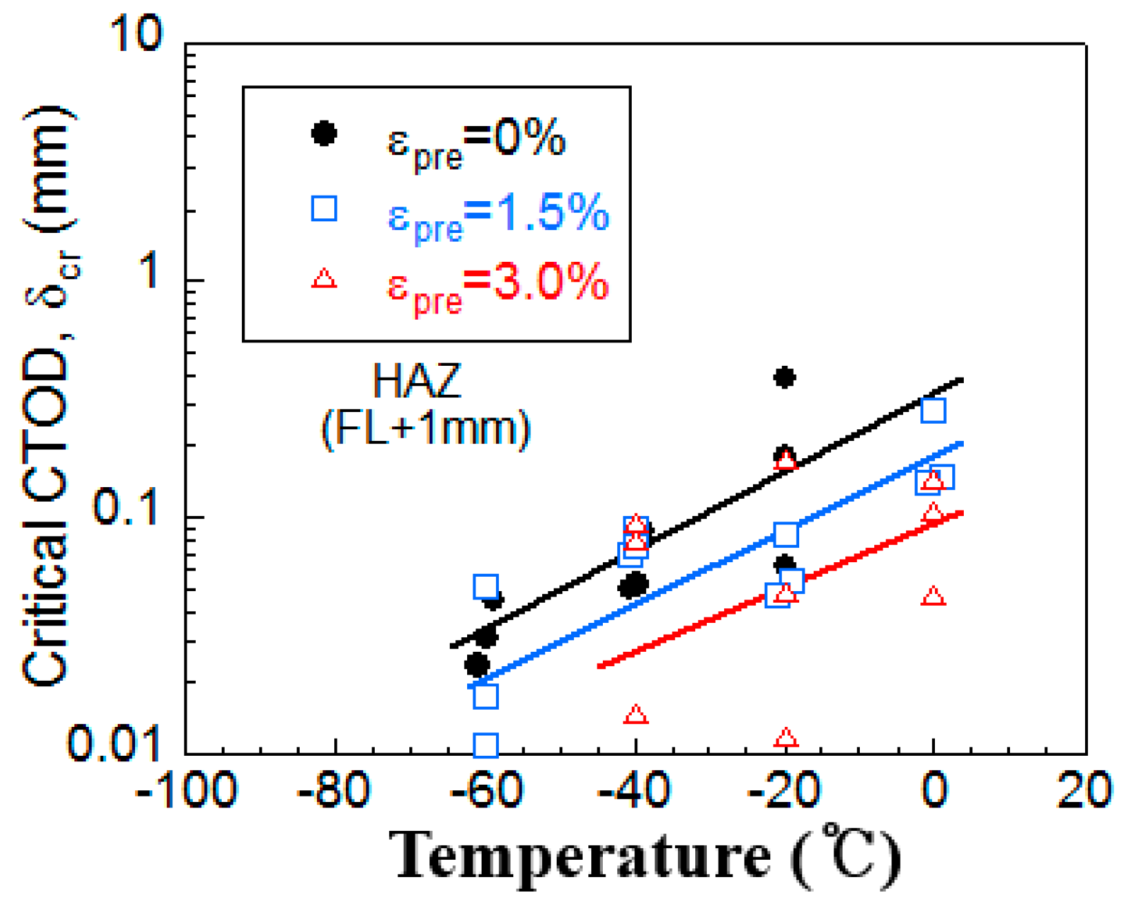
3. Pre-Strain Effect on Fracture Toughness
3.1. Critical CTOD of 3.0% Pre-strained HAZ Specimen
3.2. Estimate of Critical CTOD in Pre-strained ETCP
4. Results and Discussion
5. Conclusions
Author Contributions
Funding
Conflicts of Interest
Nomenclature
| δcr | Critical crack tip opening displacement (CTOD) |
| ΔT | Temperature shift |
| a | Crack length |
| K | Constant |
| β | Equivalent CTOD ratio |
| εpre | True pre-strain |
| σTpre | Tensile strength of the pre-strained HAZ |
| σYpre | Yield strength of the pre-strained HAZ |
| m | Weibull shape parameter |
References
- Chae, M.S.; Lee, G.D.; Suh, Y.S.; Lee, K.H.; Kim, Y.S. Mechanical and Forming Characteristics of High-Strength Boron-Alloyed Steel with Hot Forming. Trans. Mater. Process. 2009, 18, 236–244. [Google Scholar]
- Okashita, K.; Ohminami, R.; Michiba, K.; Yamamoto, A.; Tomimatsu, M.; Tanji, Y. Investigation of the brittle fracture at the corner of P75 rigid-frame pier in Kobe harbor highway dur-ing the Hyogoken-Nanbu earthquake. J. Jpn. Soc. Civ. Eng. 1998, 591, 243–261. [Google Scholar]
- APD Committee. Strength and Fracture Toughness of Weld Connections in Steel Framed Structures; JWES-IS-9701; APD Committee: Singapore, 1997; pp. 47–192. [Google Scholar]
- Hemmericha, E.; Rolfeb, B.; Hodgsona, P.; Weissa, M. The effect of Pre-strain on the Material Behav-iour and the Bauschinger Effect in the Bending of Hot Rolled and Aged Steel. Mater. Sci. Eng. 2001, 528, 3302–3309. [Google Scholar] [CrossRef]
- Kinki, A.I. Reconnaissance Re-Port on Damage of Steel Building Structures Observed from the 1995 Hyogoken-Nanbu (Hanshin/Awaji) Earthquake; Steel Committee of Kinki Branch: Osaka, Japan, 1995. [Google Scholar]
- Toyoda, M. How steel structures fared in Japan great earthquake. Weld. J. 1995, 74, 132–136. [Google Scholar]
- Yamaguchi, Y.; Matsumoto, T. Technical Requirements to Ensure Structural Reliability for Mega Container Ships-Application of New Higher Strength Hull Structure Steel Plates of Heavy Thick-Ness; Design & Operation of Container Ships: London, UK, 2006; pp. 43–50. [Google Scholar]
- Nakano, Y. Fracture toughness of steels (III) fracture tough-ness and its control factors. Q. J. Jpn. Weld. Soc. 1992, 1, 6–13. [Google Scholar]
- Bezensek, B.; Hancock, J.W. The toughness of laser welded joints in the ductile–brittle transition. Eng. Fract. Mech. 2007, 74, 2395–2419. [Google Scholar] [CrossRef]
- Hajjaj, M.; Berdin, C.; Bompard, P.; Bugat, S. Analyses of cleavage crack arrest experiments: Influence of specimen vi-bration. Eng. Fract. Mech. 2008, 75, 1156–1170. [Google Scholar] [CrossRef]
- Ripling, E.J.; Crosley, P.B. Crack arrest fracture toughness of a structural steel (A36). Eng. Fract. Mech. 2008, 75, 2984–3009. [Google Scholar]
- Masubuchi, K. Analysis of Welded Structures-Fracture Toughness, 1st ed.; Pergamon: New York, NY, USA, 1980; pp. 336–399. [Google Scholar]
- ISO 27306. Metallic Materials—Method of Constraint Loss Correction of CTOD Fracture Toughness for Fracture Assessment of Steel Components; International Organization for Standardization: Geneva, Switzerland, 2009. [Google Scholar]
- Kim, T.J.; Jang, B.S.; Kang, S.W. Welding deformation analysis based on improved equivalent strain method considering the effect of temperature gradients. Int. J. Naval Archit. Ocean Eng. 2015, 7, 157–173. [Google Scholar] [CrossRef]
- An, G.B.; Woo, W.C.; Park, J.U. Brittle crack-arrest fracture toughness in a high heat-input thick steel weld. Int. J. Fract. 2014, 185, 179–185. [Google Scholar] [CrossRef]
- Okido, S.; Hayashi, M.; Tanaka, K.; Akinawa, Y.; Minakawa, N.; Mori, Y. Measurement of residual stress in textured Al alloy by neutron diffraction method. In Proceedings of the 7th International Conference on Nuclear Engineering (ICONE), Tokyo, Japan, 19–23 April 1999; pp. 19–23. [Google Scholar]
- Woo, W.; An, G.B.; Kingston, E.J.; DeWald, A.T.; Smith, D.J.; Hill, M.R. Through-thickness distributions of residual stresses in two extreme heat-input thick welds: A neutron diffraction, contour method and deep hole drilling study. Acta Mater. 2000, 61, 3564–3574. [Google Scholar] [CrossRef]
- WES 2808. Method of Assessing Brittle Fracture in Steel Weldments Subjected to Large Cyclic and Dynamic Strain; The Japan Welding Engineering Society: Tokyo, Japan, 2008. [Google Scholar]
- An, G.B.; Park, J.U.; Ohata, M.; Minami, F. Pre-strain effect of on fracture performance of high-strength steel welds. J. Mech. Sci. Technol. 2018, 32, 3145–3151. [Google Scholar] [CrossRef]
- ASTM E8. Standard Test Methods for Tension Testing of Metallic Materials; American Society for Testing and Materials: West Conshohocken, PA, USA, 2001. [Google Scholar]
- ASTM E23. Standard Test Methods for Notched Bar Impact Testing of Metallic Materials; American Society for Testing and Materials: West Conshohocken, PA, USA, 2008. [Google Scholar]
- KS D3868. Rolled Steels for Bridge Structures; Korean Industrial Standards: Seoul, Korea, 2018. [Google Scholar]
- API RP 2Z. Recommended Practice for Preroduction Qualification for Steel Plates for Offshore Structures; American Petroleum Institute: Washington, DC, USA, 1998. [Google Scholar]
- ISO 12135. Metallic Materials-Unified Method of Test for the Determination of Quasistatic Fracture Toughness; International Organization for Standardization: Geneva, Switzerland, 2016. [Google Scholar]
- ISO 15653. Metallic Materials—Method of Test for the Determination of Quasistatic Fracture Toughness of Welds; International Organization for Standardization: Geneva, Switzerland, 2016. [Google Scholar]









| Specimen Symbol | Young’s Modulus E, (MPa) | Yield Strength YS, (MPa) * | Tensile Strength TS, (MPa) | Yield-to-Tensile Ratio Y/T * |
|---|---|---|---|---|
| BM*-1 | 204,600 | 620 | 679 | 0.91 |
| BM-2 | 207,800 | 613 | 693 | 0.88 |
| BM-3 | 205,000 | 632 | 691 | 0.91 |
| BM-4 | 206,700 | 576 | 684 | 0.84 |
| BM-5 | 205,100 | 593 | 680 | 0.87 |
| BM-6 | 208,300 | 589 | 688 | 0.86 |
| Average | 206,250 | 604 | 686 | 0.88 |
| Steels | C | Si | Mn | P | S | Fe |
|---|---|---|---|---|---|---|
| HSB600 (25 mm) | 0.15≤ | 0.75≤ | 2.00≤ | 0.30≤ | 0.007≤ | bal. |
| Welding Process | Current (A) | Voltage (V) | Speed (cm/min) | Heat Input (kJ/cm) | Preheat Temp. (°C) | Interpass Temp. (°C) |
|---|---|---|---|---|---|---|
| SAW | 700 | 34 | 29 | 50 | 100 | 100 |
| Welding Consumable | C | Si | Mn | P | S | Fe |
|---|---|---|---|---|---|---|
| SAW wire | 0.08 | 0.32 | 1.67 | 0.01 | 0.007≤ | bal. |
| Temperature | Critical CTOD (3PB) | |
|---|---|---|
| T (°C) | δcr (mm) | δcr ave. (mm) |
| −20 | 0.012 | 0.079 |
| −20 | 0.049 | |
| −20 | 0.177 | |
| 0 | 0.047 | 0.1 |
| 0 | 0.108 | |
| 0 | 0.145 | |
| 2a | β0 (ETCP) | β2a (ETCP) |
|---|---|---|
| 10 | 0.08 | 0.07 |
| 20 | 0.08 | 0.15 |
| 30 | 0.08 | 0.22 |
| 40 | 0.08 | 0.30 |
| 50 | 0.08 | 0.37 |
| 60 | 0.08 | 0.45 |
| 70 | 0.08 | 0.52 |
| 80 | 0.08 | 0.60 |
| 90 | 0.08 | 0.68 |
| 100 | 0.08 | 0.75 |
| BM-2 | σY (MPa) | σ0.2 (MPa) | σT (MPa) | σfPD (MPa) | YR (=σY/σY) |
|---|---|---|---|---|---|
| εpre = 0% | 605 | 613 | 693 | 649 | 0.87 |
| εpre = 1.5% | 649 | – | 748 | 699 | 0.87 |
| εpre = 3.0% | 684 | – | 759 | 722 | 0.90 |
| Temperature | Critical CTOD for 3.0% Pre-Strained HAZ, δcr,med (mm) | |
|---|---|---|
| T (°C) | Experiment | Estimated from δcr,med without Pre-Strain |
| −20 | 0.049 | 0.035 |
| 0 | 0.108 | 0.11 |
© 2019 by the authors. Licensee MDPI, Basel, Switzerland. This article is an open access article distributed under the terms and conditions of the Creative Commons Attribution (CC BY) license (http://creativecommons.org/licenses/by/4.0/).
Share and Cite
An, G.; Park, J.; Ohata, M.; Minami, F. Fracture Assessment of Weld Joints of High-Strength Steel in Pre-Strained Condition. Appl. Sci. 2019, 9, 1306. https://doi.org/10.3390/app9071306
An G, Park J, Ohata M, Minami F. Fracture Assessment of Weld Joints of High-Strength Steel in Pre-Strained Condition. Applied Sciences. 2019; 9(7):1306. https://doi.org/10.3390/app9071306
Chicago/Turabian StyleAn, Gyubaek, Jeongung Park, Mituru Ohata, and Fumiyoshi Minami. 2019. "Fracture Assessment of Weld Joints of High-Strength Steel in Pre-Strained Condition" Applied Sciences 9, no. 7: 1306. https://doi.org/10.3390/app9071306
APA StyleAn, G., Park, J., Ohata, M., & Minami, F. (2019). Fracture Assessment of Weld Joints of High-Strength Steel in Pre-Strained Condition. Applied Sciences, 9(7), 1306. https://doi.org/10.3390/app9071306

