Assessing Dynamic Conditions of the Retaining Wall: Developing Two Hybrid Intelligent Models
Abstract
:1. Introduction
2. Methodology
2.1. Artificial Neural Network
2.2. Genetic Algorithm
2.3. Imperialist Competitive Algorithm
2.4. Hybrid Models
3. Modeling of Retaining Walls and the Established Database
4. Results and Discussion
4.1. Imperialist Competitive Algorithm-Artificial Neural Network (ICA-ANN)
4.2. Genetic Algorithm-Artificial Neural Network (GA-ANN)
4.3. Performance of Models for Dynamic Conditions
5. Conclusions
Author Contributions
Funding
Acknowledgments
Conflicts of Interest
References
- Mononobe, N. On determination of earth pressure during earthquake. In Proceedings of the World Engineering Congress, Tokyo, Japan, 30 October–11 November 1929; pp. 177–185. [Google Scholar]
- Okabe, S. General theory of earth pressure. J. Jpn. Soc. Civ. Eng. 1926, 12, 23–45. [Google Scholar]
- Mylonakis, G.; Kloukinas, P.; Papantonopoulos, C. An alternative to the Mononobe–Okabe equations for seismic earth pressures. Soil Dyn. Earthq. Eng. 2007, 27, 957–969. [Google Scholar] [CrossRef]
- Nakamura, S. Reexamination of Mononobe-Okabe theory of gravity retaining walls using centrifuge model tests. Soils Found. 2006, 46, 135–146. [Google Scholar] [CrossRef]
- Al Atik, L.; Sitar, N. Experimental and Analytical Study of the Seismic Performance of Retaining Structures; Pacific Earthquake Engineering Research Center: Berkeley, CA, USA, 2009. [Google Scholar]
- Dewoolkar, M.M.; Ko, H.Y.; Pak, R.Y.S. Seismic behavior of cantilever retaining walls with liquefiable backfills. J. Geotech. Geoenviron. Eng. 2001, 127, 424–435. [Google Scholar] [CrossRef]
- Green, R.A.; Ebeling, R.M. Seismic Analysis of Cantilever Retaining Walls, Phase I; Civil & Environmental Engineering Department University of Michigan: Ann Arbor, MI, USA, 2002. [Google Scholar]
- Psarropoulos, P.N.; Klonaris, G.; Gazetas, G. Seismic earth pressures on rigid and flexible retaining walls. Soil Dyn. Earthq. Eng. 2005, 25, 795–809. [Google Scholar] [CrossRef]
- Ostadan, F. Seismic soil pressure for building walls: An updated approach. Soil Dyn. Earthq. Eng. 2005, 25, 785–793. [Google Scholar] [CrossRef]
- Wood, J.H. Earthquake-Induced Soil Pressures on Structures; California Institute of Technology: Pasadena, CA, USA, 1973. [Google Scholar]
- Hasanipanah, M.; Armaghani, D.J.; Amnieh, H.B.; Koopialipoor, M.; Arab, H. A Risk-Based Technique to Analyze Flyrock Results Through Rock Engineering System. Geotech. Geol. Eng. 2018, 36, 2247–2260. [Google Scholar] [CrossRef]
- Koopialipoor, M.; Nikouei, S.S.; Marto, A.; Fahimifar, A.; Armaghani, D.J.; Mohamad, E.T. Predicting tunnel boring machine performance through a new model based on the group method of data handling. Bull. Eng. Geol. Environ. 2018. [Google Scholar] [CrossRef]
- Liao, X.; Khandelwal, M.; Yang, H.; Koopialipoor, M.; Murlidhar, B.R. Effects of a proper feature selection on prediction and optimization of drilling rate using intelligent techniques. Eng. Comput. 2019. [Google Scholar] [CrossRef]
- Asteris, P.G.; Nozhati, S.; Nikoo, M.; Cavaleri, L.; Nikoo, M. Krill herd algorithm-based neural network in structural seismic reliability evaluation. Mech. Adv. Mater. Struct. 2018. [Google Scholar] [CrossRef]
- Asteris, P.G.; Plevris, V. Anisotropic masonry failure criterion using artificial neural networks. Neural Comput. Appl. 2017, 28, 2207–2229. [Google Scholar] [CrossRef]
- Asteris, P.G.; Tsaris, A.K.; Cavaleri, L.; Repapis, C.C.; Papalou, A.; Di Trapani, F.; Karypidis, D.F. Prediction of the fundamental period of infilled RC frame structures using artificial neural networks. Comput. Intell. Neurosci. 2016, 20. [Google Scholar] [CrossRef]
- Hautamäki, V.; Siniscalchi, S.M.; Behravan, H.; Salerno, V.M.; Kukanov, I. Boosting universal speech attributes classification with deep neural network for foreign accent characterization. In Proceedings of the Sixteenth Annual Conference of the International Speech Communication Association, Dresden, Germany, 6–10 September 2015. [Google Scholar]
- Barone, A.V.M.; Helcl, J.; Sennrich, R.; Haddow, B.; Birch, A. Deep architectures for neural machine translation. arXiv, 2017; arXiv:1707.07631. Available online: http://www.aclweb.org/anthology/W17-4710(accessed on 12 March 2019).
- Salerno, V.M.; Rabbeni, G. An Extreme Learning Machine Approach to Effective Energy Disaggregation. Electronics 2018, 7, 235. [Google Scholar] [CrossRef]
- Koopialipoor, M.; Fahimifar, A.; Ghaleini, E.N.; Momenzadeh, M.; Armaghani, D.J. Development of a new hybrid ANN for solving a geotechnical problem related to tunnel boring machine performance. Eng. Comput. 2019. [Google Scholar] [CrossRef]
- Zhou, J.; Aghili, N.; Ghaleini, E.N.; Bui, D.T.; Tahir, M.M.; Koopialipoor, M. A Monte Carlo simulation approach for effective assessment of flyrock based on intelligent system of neural network. Eng. Comput. 2019. [Google Scholar] [CrossRef]
- Armaghani, D.J.; Mahdiyar, A.; Hasanipanah, M.; Faradonbeh, R.S.; Khandelwal, M.; Amnieh, H.B. Risk Assessment and Prediction of Flyrock Distance by Combined Multiple Regression Analysis and Monte Carlo Simulation of Quarry Blasting. Rock Mech. Rock Eng. 2016, 49, 1–11. [Google Scholar] [CrossRef]
- Hajihassani, M.; Jahed Armaghani, D.; Marto, A.; Tonnizam Mohamad, E. Ground vibration prediction in quarry blasting through an artificial neural network optimized by imperialist competitive algorithm. Bull. Eng. Geol. Environ. 2015, 74, 873–886. [Google Scholar] [CrossRef]
- Koopialipoor, M.; Ghaleini, E.N.; Tootoonchi, H.; Armaghani, D.J.; Haghighi, M.; Hedayat, A. Developing a new intelligent technique to predict overbreak in tunnels using an artificial bee colony-based ANN. Environ. Earth Sci. 2019, 78, 165. [Google Scholar] [CrossRef]
- Gordan, B.; Jahed Armaghani, D.; Hajihassani, M.; Monjezi, M. Prediction of seismic slope stability through combination of particle swarm optimization and neural network. Eng. Comput. 2015, 32, 85–97. [Google Scholar] [CrossRef]
- Hajihassani, M.; Jahed Armaghani, D.; Monjezi, M.; Mohamad, E.T.; Marto, A. Blast-induced air and ground vibration prediction: A particle swarm optimization-based artificial neural network approach. Environ. Earth Sci. 2015, 74. [Google Scholar] [CrossRef]
- Khandelwal, M.; Armaghani, D.J. Prediction of Drillability of Rocks with Strength Properties Using a Hybrid GA-ANN Technique. Geotech. Geol. Eng. 2016, 34, 605–620. [Google Scholar] [CrossRef]
- Momeni, E.; Jahed Armaghani, D.; Hajihassani, M.; Mohd Amin, M.F. Prediction of uniaxial compressive strength of rock samples using hybrid particle swarm optimization-based artificial neural networks. Meas. J. Int. Meas. Confed. 2015, 60, 50–63. [Google Scholar] [CrossRef]
- Mohamad, E.T.; Faradonbeh, R.S.; Armaghani, D.J.; Monjezi, M.; Majid, M.Z.A. An optimized ANN model based on genetic algorithm for predicting ripping production. Neural Comput. Appl. 2017, 28, 393–406. [Google Scholar] [CrossRef]
- Jahed Armaghani, D.; Hajihassani, M.; Marto, A.; Faradonbeh, R.S.; Mohamad, E.T. Prediction of blast-induced air overpressure: A hybrid AI-based predictive model. Environ. Monit. Assess. 2015, 187, 666. [Google Scholar] [CrossRef]
- Zhou, J.; Nekouie, A.; Arslan, C.A.; Pham, B.T.; Hasanipanah, M. Novel approach for forecasting the blast-induced AOp using a hybrid fuzzy system and firefly algorithm. Eng. Comput. 2019. [Google Scholar] [CrossRef]
- Zhou, J.; Li, E.; Wang, M.; Chen, X.; Shi, X.; Jiang, L. Feasibility of Stochastic Gradient Boosting Approach for Evaluating Seismic Liquefaction Potential Based on SPT and CPT Case Histories. J. Perform Constr. Fac. 2019, 33, 04019024. [Google Scholar] [CrossRef]
- Koopialipoor, M.; Armaghani, D.J.; Hedayat, A.; Marto, A.; Gordan, B. Applying various hybrid intelligent systems to evaluate and predict slope stability under static and dynamic conditions. Soft Comput. 2018. [Google Scholar] [CrossRef]
- Garrett, J.H. Where and why artificial neural networks are applicable in civil engineering. J. Comput. Civ. Eng. 1994, 8, 129–130. [Google Scholar] [CrossRef]
- Koopialipoor, M.; Armaghani, D.J.; Haghighi, M.; Ghaleini, E.N. A neuro-genetic predictive model to approximate overbreak induced by drilling and blasting operation in tunnels. Bull. Eng. Geol. Environ. 2017. [Google Scholar] [CrossRef]
- Simpson, P.K. Artificial Neural System—Foundation, Paradigm, Application and Implementations; Pergamon: New York, NY, USA, 1990. [Google Scholar]
- Koopialipoor, M.; Murlidhar, B.R.; Hedayat, A.; Armaghani, D.J.; Gordan, B.; Mohamad, E.T. The use of new intelligent techniques in designing retaining walls. Eng. Comput. 2019. [Google Scholar] [CrossRef]
- Dreyfus, G. Neural Networks: Methodology and Applications; Springer: Berlin/Heidelberg, Germany, 2005. [Google Scholar]
- Koopialipoor, M.; Ghaleini, E.N.; Haghighi, M.; Kanagarajan, S.; Maarefvand, P.; Mohamad, E.T. Overbreak prediction and optimization in tunnel using neural network and bee colony techniques. Eng. Comput. 2018. [Google Scholar] [CrossRef]
- Holland, J.H. Genetic algorithms. Sci. Am. 1992, 267, 66–73. [Google Scholar] [CrossRef]
- Koopialipoor, M.; Fallah, A.; Armaghani, D.J.; Azizi, A.; Mohamad, E.T. Three hybrid intelligent models in estimating flyrock distance resulting from blasting. Eng. Comput. 2018. [Google Scholar] [CrossRef]
- Momeni, E.; Nazir, R.; Armaghani, D.J.; Maizir, H. Prediction of pile bearing capacity using a hybrid genetic algorithm-based ANN. Measurement 2014, 57, 122–131. [Google Scholar] [CrossRef]
- Atashpaz-Gargari, E.; Lucas, C. Imperialist competitive algorithm: An algorithm for optimization inspired by imperialistic competition. In Proceedings of the IEEE Congress on Evolutionary Computation, CEC 2007, Singapore, 25–28 September 2007; pp. 4661–4667. [Google Scholar]
- Armaghani, D.J.; Hasanipanah, M.; Amnieh, H.B.; Mohamad, E.T. Feasibility of ICA in approximating ground vibration resulting from mine blasting. Neural Comput. Appl. 2018, 29, 457–465. [Google Scholar] [CrossRef]
- Armaghani, D.J.; Hasanipanah, M.; Mohamad, E.T. A combination of the ICA-ANN model to predict air-overpressure resulting from blasting. Eng. Comput. 2016, 32, 155–171. [Google Scholar] [CrossRef]
- Ghaleini, E.N.; Koopialipoor, M.; Momenzadeh, M.; Sarafraz, M.E.; Mohamad, E.T.; Gordan, B. A combination of artificial bee colony and neural network for approximating the safety factor of retaining walls. Eng. Comput. 2018. [Google Scholar] [CrossRef]
- Gordan, B.; Koopialipoor, M.; Clementking, A.; Tootoonchi, H.; Mohamad, E.T. Estimating and optimizing safety factors of retaining wall through neural network and bee colony techniques. Eng. Comput. 2018. [Google Scholar] [CrossRef]
- Zhao, Y.; Noorbakhsh, A.; Koopialipoor, M.; Azizi, A.; Tahir, M.M. A new methodology for optimization and prediction of rate of penetration during drilling operations. Eng. Comput. 2019. [Google Scholar] [CrossRef]
- Jahed Armaghani, D.; Hajihassani, M.; Monjezi, M.; Mohamad, E.T.; Marto, A.; Moghaddam, M.R. Application of two intelligent systems in predicting environmental impacts of quarry blasting. Arab. J. Geosci. 2015, 8, 9647–9665. [Google Scholar] [CrossRef]
- Kramer, S.L. Geotechnical Earthquake Engineering. In Prentice–Hall International Series in Civil Engineering and Engineering Mechanics; Prentice-Hall: Upper Saddle River, NI, USA, 1996. [Google Scholar]
- Zorlu, K.; Gokceoglu, C.; Ocakoglu, F.; Nefeslioglu, H.A.; Acikalin, S. Prediction of uniaxial compressive strength of sandstones using petrography-based models. Eng. Geol. 2008, 96, 141–158. [Google Scholar] [CrossRef]
- Lee, Y.; Oh, S.H.; Kim, M.W. The effect of initial weights on premature saturation in back-propagation learning. In Proceedings of the IJCNN-91-Seattle International Joint Conference on Neural Networks, Seattle, WA, USA, 8–12 July 1991; pp. 765–770. [Google Scholar]













| Input/Output Variable | Category | Unit | Min | Average | Max |
|---|---|---|---|---|---|
| Wall height (H) | Input | m | 3 | 6.5 | 10 |
| Wall width (B) | Input | m | 0.5 | 0.65 | 0.8 |
| Internal friction angles | Input | Degree | 30 | 37.5 | 45 |
| Soil density | Input | Kg/m3 | 1700 | 1800 | 1900 |
| Rock density | Input | Kg/m3 | 2000 | 2426.67 | 2800 |
| peak ground acceleration (PGA) | Input | g | 0.1 | 0.3 | 0.5 |
| Factor of Safety (FOS) | Output | - | 0.027 | 0.568 | 6.476 |
| Model | Number of Countries | Training | Testing | Training Rate | Testing Rate | Total Rank | ||||
|---|---|---|---|---|---|---|---|---|---|---|
| R2 | RMSE | R2 | RMSE | R2 | RMSE | R2 | RMSE | |||
| 1 | 25 | 0.7782 | 0.1175 | 0.7799 | 0.1204 | 1 | 1 | 1 | 1 | 4 |
| 2 | 50 | 0.8676 | 0.0896 | 0.8628 | 0.0887 | 2 | 2 | 2 | 2 | 8 |
| 3 | 75 | 0.8917 | 0.0755 | 0.8802 | 0.0801 | 5 | 4 | 4 | 3 | 16 |
| 4 | 100 | 0.8832 | 0.0703 | 0.8773 | 0.0779 | 4 | 5 | 3 | 4 | 16 |
| 5 | 150 | 0.9194 | 0.066 | 0.904 | 0.069 | 9 | 8 | 8 | 6 | 31 |
| 6 | 200 | 0.8987 | 0.0666 | 0.897 | 0.0641 | 7 | 6 | 6 | 9 | 28 |
| 7 | 250 | 0.8724 | 0.0770 | 0.8826 | 0.0742 | 3 | 3 | 5 | 5 | 16 |
| 8 | 300 | 0.8944 | 0.0664 | 0.9001 | 0.0659 | 6 | 7 | 7 | 8 | 28 |
| 9 | 350 | 0.9248 | 0.0644 | 0.9163 | 0.0635 | 10 | 10 | 10 | 10 | 40 |
| 10 | 400 | 0.9120 | 0.0654 | 0.9064 | 0.0666 | 8 | 9 | 9 | 7 | 32 |
| Model | Number of Population | Training | Testing | Training Rate | Testing Rate | Total Rank | ||||
|---|---|---|---|---|---|---|---|---|---|---|
| R2 | RMSE | R2 | RMSE | R2 | RMSE | R2 | RMSE | |||
| 1 | 25 | 0.7881 | 0.0994 | 0.7764 | 0.1014 | 1 | 1 | 1 | 1 | 4 |
| 2 | 50 | 0.8979 | 0.0805 | 0.8977 | 0.0846 | 3 | 2 | 2 | 2 | 9 |
| 3 | 75 | 0.9206 | 0.0655 | 0.9207 | 0.0586 | 5 | 5 | 6 | 7 | 23 |
| 4 | 100 | 0.9218 | 0.0636 | 0.9275 | 0.0605 | 6 | 6 | 7 | 6 | 25 |
| 5 | 150 | 0.8966 | 0.0747 | 0.9015 | 0.0721 | 2 | 3 | 3 | 4 | 12 |
| 6 | 200 | 0.9242 | 0.0604 | 0.9344 | 0.0557 | 7 | 7 | 8 | 9 | 31 |
| 7 | 250 | 0.9336 | 0.055 | 0.9351 | 0.0574 | 9 | 9 | 9 | 8 | 35 |
| 8 | 300 | 0.9117 | 0.0699 | 0.9035 | 0.076 | 4 | 4 | 4 | 3 | 15 |
| 9 | 350 | 0.9268 | 0.0595 | 0.9157 | 0.0677 | 8 | 8 | 5 | 5 | 26 |
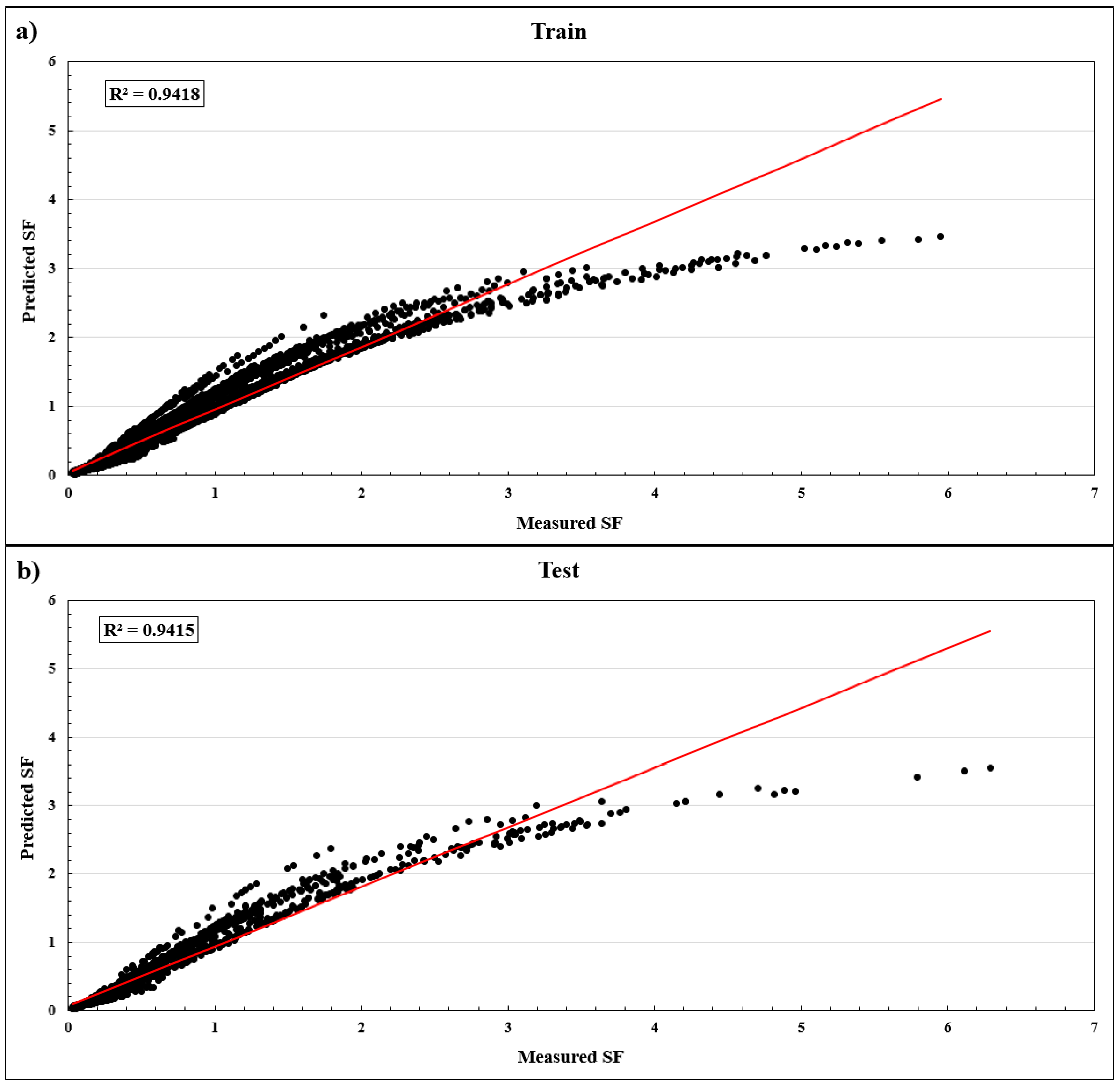
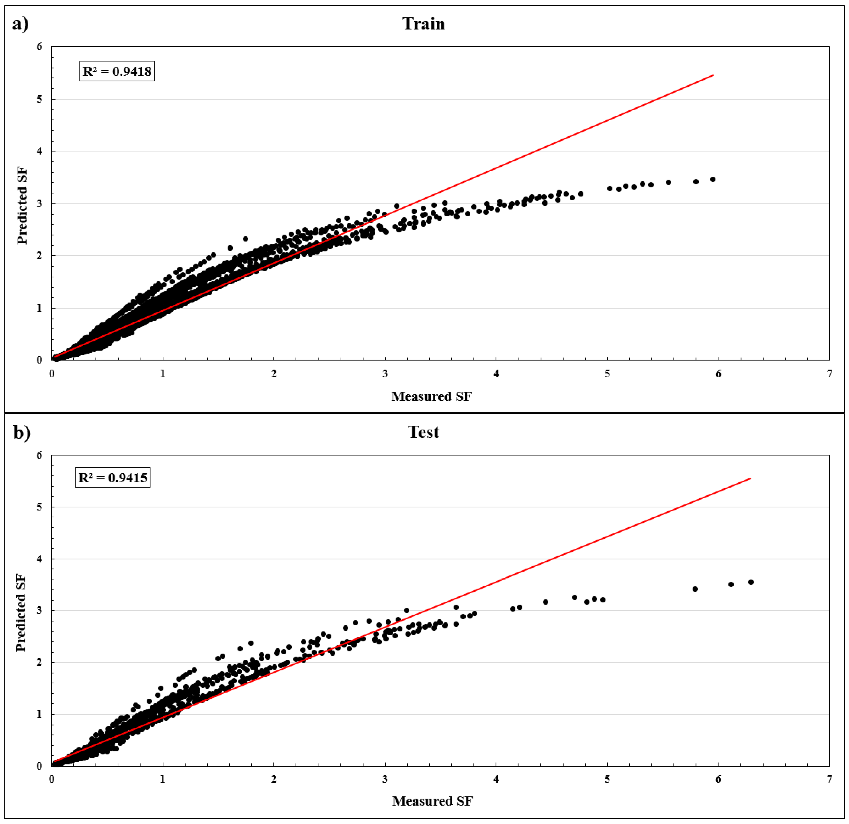
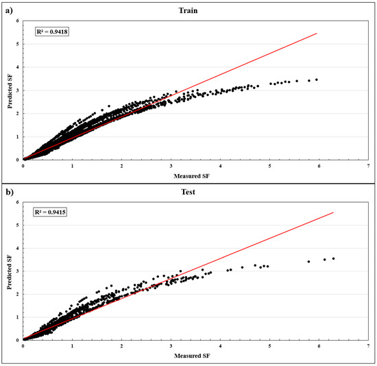
| 10 | 400 | 0.9418 | 0.0507 | 0.9415 | 0.0536 | 10 | 10 | 10 | 10 | 40 |
© 2019 by the authors. Licensee MDPI, Basel, Switzerland. This article is an open access article distributed under the terms and conditions of the Creative Commons Attribution (CC BY) license (http://creativecommons.org/licenses/by/4.0/).
Share and Cite
Chen, H.; Asteris, P.G.; Jahed Armaghani, D.; Gordan, B.; Pham, B.T. Assessing Dynamic Conditions of the Retaining Wall: Developing Two Hybrid Intelligent Models. Appl. Sci. 2019, 9, 1042. https://doi.org/10.3390/app9061042
Chen H, Asteris PG, Jahed Armaghani D, Gordan B, Pham BT. Assessing Dynamic Conditions of the Retaining Wall: Developing Two Hybrid Intelligent Models. Applied Sciences. 2019; 9(6):1042. https://doi.org/10.3390/app9061042
Chicago/Turabian StyleChen, Hui, Panagiotis G. Asteris, Danial Jahed Armaghani, Behrouz Gordan, and Binh Thai Pham. 2019. "Assessing Dynamic Conditions of the Retaining Wall: Developing Two Hybrid Intelligent Models" Applied Sciences 9, no. 6: 1042. https://doi.org/10.3390/app9061042
APA StyleChen, H., Asteris, P. G., Jahed Armaghani, D., Gordan, B., & Pham, B. T. (2019). Assessing Dynamic Conditions of the Retaining Wall: Developing Two Hybrid Intelligent Models. Applied Sciences, 9(6), 1042. https://doi.org/10.3390/app9061042

