Study of Passive Adjustment Performance of Tubular Space in Subway Station Building Complexes
Abstract
:Highlights:
1. Introduction
1.1. Research Background
1.2. Passive Design of Tubular Space in Subway Station Building Complexes
1.3. Objective of this Study
2. Methodology
2.1. Stage One: Factor Analysis of the Effect of Passive Design on Tubular Space
2.2. Stage Two: Field Survey
2.3. Stage Three: Problem and Analysis of the Spatial Potential
2.4. Stage Four: Set up New Target Orientation and Space Update
3. Results and Discussion
3.1. Building Space Information Factors
3.2. Field Survey Results and Analysis
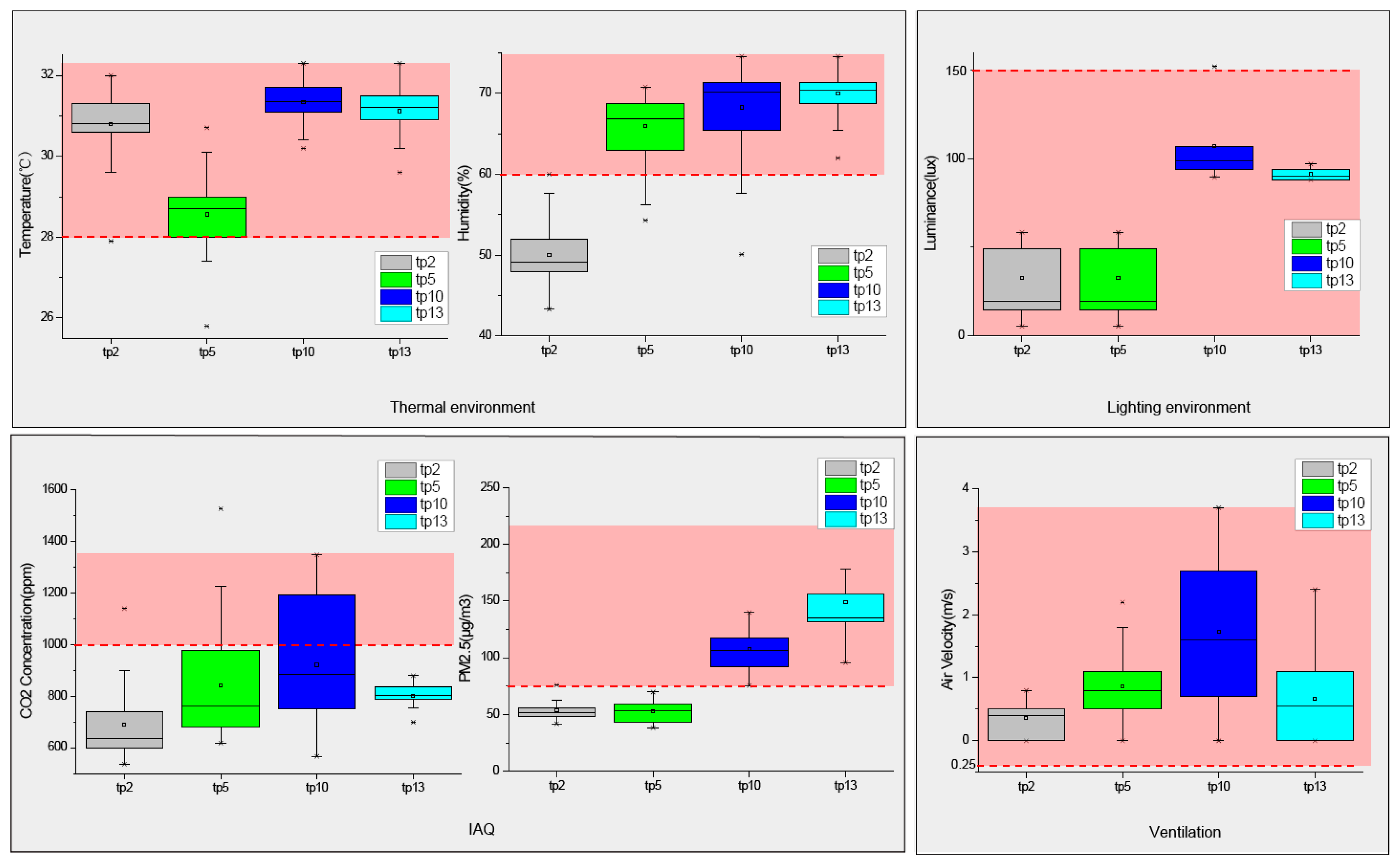
3.2.1. Physical test results and analysis
3.2.2. Occupancy satisfaction survey results and analysis
3.2.3. Satisfaction–Comfort Matrix Results and Analysis
3.3. Problem Analysis and Potential
3.3.1. Comfort Improvement from the Perspective of Passive Space Design
3.3.2. Climate Utilization from the Perspective of Passive Space Design
3.4. Design Target and Space Conception of Tubular Composite Spaces from the Perspective of Sustainable Development
3.4.1. Passive Design for High Performance and Low Energy Consumption-Oriented Tubular Spaces in Subway Station Building Complexes
3.4.2. Three Typical Design Concepts for Composite Tubular Space
4. Conclusions
Author Contributions
Funding
Acknowledgments
Conflicts of Interest
References
- Wey, W.; Zhang, H.; Chang, Y. Alternative transit-oriented development evaluation in sustainable built environment planning. Habitat Int. 2016, 55, 109–123. [Google Scholar] [CrossRef]
- Yang, J.; Chen, J.; Le, X.; Zhang, Q. Density-oriented versus development-oriented transit investment: Decoding metro station location selection in Shenzhen. Transp. Policy 2016, 51, 93–102. [Google Scholar] [CrossRef]
- Papa, E.; Bertolini, L. Accessibility and Transit-Oriented Development in European metropolitan areas. J. Transp. Geogr. 2015, 47, 70–83. [Google Scholar] [CrossRef]
- Peng, Y.; Li, Z.; Choi, K. Transit-oriented development in an urban rail transportation corridor. Transp. Res. Part B Methodol. 2017, 103, 269–290. [Google Scholar] [CrossRef]
- Yang, Y.; Zhang, P.; Ni, S. Assessment of the Impacts of Urban Rail Transit on Metropolitan Regions Using System Dynamics Model. Transp. Res. Procedia 2014, 4, 521–534. [Google Scholar] [CrossRef]
- Liu, J. Rail Transit Complex Design Based on TOD; Beijing Jiaotong University: Beijing, China, 2013. [Google Scholar]
- Hu, Y.; Zhao, C. Brief Discussion on Architectural Design of Green Subway Station. Build. Sci. 2014, 6, 132–138. [Google Scholar]
- Song, Y.; Wang, J.; Zhu, N. Pondering over the Passive Design Strategy for Native Green Buildings of China. Archit. J. 2013, 7, 94–99. [Google Scholar]
- Wang, Z.; Chen, F.; Shi, Z. Prediction on Medium and long term energy consumption of urban rail transit network in Beijing. China Railw. Sci. 2013, 34, 133–136. [Google Scholar]
- Chen, J.; Gao, G.; Wang, X.; Wang, X. Calculation method of whole life-cycle energy consumption for urban rail transit. J. Traffic Transp. Eng. 2014, 14, 89–97. [Google Scholar]
- Gao, G.; Guan, W.; Li, J.; Dong, H.; Zou, X.; Chen, W. Experimental investigation of an active–passive integration energy absorber for railway vehicles. Thin-Walled Struct. 2017, 117, 89–97. [Google Scholar] [CrossRef]
- Marzouk, M.; Abdelaty, A. Monitoring thermal comfort in subways using building information modeling. Energy Build. 2014, 84, 252–257. [Google Scholar] [CrossRef]
- Li, X.; Wang, Z.; Ma, C.; Liu, L.; Liu, X. Energy Consumption Test and Analysis of Large Public Buildings Based on Gray Box Model. Procedia Eng. 2016, 146–150. [Google Scholar] [CrossRef]
- He, J.; Yan, Z.F.; Liu, H.J. On the Current Energy Consumption and Countermeasures of Large Public Buildings in China. Adv. Mater. Res. 2012, 840–842. [Google Scholar] [CrossRef]
- Lam, J.C.; Yang, L.; Liu, J. Development of passive design zones in China using bioclimatic approach. Energy Convers Manag. 2006, 47, 746–762. [Google Scholar] [CrossRef]
- Badescu, V.; Laaser, N.; Crutescu, R.; Crutescu, M.; Dobrovicescu, A.; Tsatsaronis, G. Modeling, validation and time-dependent simulation of the first large passive building in Romania. Renew. Energy 2011, 36, 142–157. [Google Scholar] [CrossRef]
- Sadineni, S.B.; Madala, S.; Boehm, R.F. Passive building energy savings: a review of building envelope components. Renew. Sustain Energy Rev. 2011, 15, 3617–3631. [Google Scholar] [CrossRef]
- Feist, W.; Schnieders, J.; Dorer, V.; Haas, A. Re-inventing air heating: convenient and comfortable within the frame of the Passive House concept. Energy Build. 2005, 37, 1186–1203. [Google Scholar] [CrossRef]
- Zhang, H.; Li, J.; Dong, L.; Chen, H. Integration of sustainability in Net-zero House: Experiences in Solar Decathlon China. Energy Procedia 2014, 57, 1931–1940. [Google Scholar] [CrossRef]
- Yiing, C.F.; Yaacob, N.M.; Hussein, H. Achieving Sustainable Development: Accessibility of Green Buildings in Malaysia. Procedia Soc. Behav. Sci. 2013, 101, 120–129. [Google Scholar] [CrossRef]
- Russell-Smith, S.V.; Lepech, M.D.; Fruchter, R.; Littman, A. Impact of progressive sustainable target value assessment on building design decisions. Build. Environ. 2015, 85, 52–60. [Google Scholar] [CrossRef]
- Olgyay, V. Design with Climate, New ed.; John Wiley & Sons Inc.: Hoboken, NJ, USA, 1992. [Google Scholar]
- Li, J. Passive Adjustment Performance of Intermediary Space in Buildings; Tsinghua University: Beijing, China, 2016. [Google Scholar]
- Jiang, Y. The Study on Ventilation Design of Deep Plan Buildings with Vertical Sapce; Shenyang Architecture University: Shenyang, China, 2011; Volume 12, p. 15. [Google Scholar]
- Brown, G.Z.; Dekey, M. Sun, Wind & Light: Architecture Design Strategies; John Wiley & Sons Inc.: Hoboken, NJ, USA, 2006. [Google Scholar]
- Pieter, D.W.; Marinus, V.D.V. Providing computational support for the selection of energy saving building components. Energy Build. 2004, 36, 749–758. [Google Scholar]
- Kenji, M.; Keishi, D.; Li, M. Tokyo Tokyu Toyoko line Shibuya Station. Archit. J. 2009, 4, 40–45. [Google Scholar]
- Katavoutas, G.; Assimakopoulos, M.N.; Asimakopoulos, D.N. On the determination of the thermal comfort conditions of a metropolitan city underground railway. Sci. Total Environ. 2016, 566, 877–887. [Google Scholar] [CrossRef] [PubMed]
- Li, Y.; Geng, S.B.; Zhang, X.S.; Zhang, H. Study of thermal comfort in underground construction based on field measurements and questionnaires in China. Build. Environ. 2017, 116, 45–54. [Google Scholar] [CrossRef]
- Kim, M.J.; Richard, D.B.; Kim, J.T.; Yoo, C.K. Indoor air quality control for improving passenger health in subway platforms using an outdoor air quality dependent ventilation system. Build. Environ. 2015, 92, 407–417. [Google Scholar] [CrossRef]
- Chip Sullivan.Garden and Climate; China Building Industry Press: Beijing, China, 2005.
- Wu, C.; Wang, Z.; Lu, Z. Strategy of urban development from the view of Shibuya Hikarie. Archit. Tech. 2015, 11, 40–47. [Google Scholar]
- Zhang, F.; Zhou, X. From the utilization of underound space to the conformity of underground space and the city: a case study of the two renovations of Les Hasses. Mod. Urban Res. 2014, 29, 29–38. [Google Scholar]
- Li, J. Multi-criteria Approach to Impact Evaluation of Passive Adjustment Performance of Intermediary Space in Buildings. Archit. J. 2016, 2, 50–55. [Google Scholar]
- Song, Y.; Li, J.; Wang, J.; Hao, S.; Zhu, N.; Lin, Z. Multi-criteria approach to passive space design in buildings: Impact of courtyard spaces on public buildings in cold climates. Build. Environ. 2015, 89, 295–307. [Google Scholar] [CrossRef]
- Li, B. The Research on Climatic-Active Design Strategy of Building Skin in Hot-Summer and Cold-Winter Zone; Tsinghua University: Beijing, China, 2004; pp. 127–281. [Google Scholar]
- Qiu, J. Evaluation Science: Theory Method Practice; Science Press: Beijing, China, 2010. (In Chinese) [Google Scholar]
- Haas, R.; Meixner, O. An Illustrated Guide to the Analytic Hierarchy Process. Available online: https://mi.boku.ac.at/ahp/ahptutorial.pdf (accessed on 22 February 2019).
- Li, J.; Song, Y.; lv, S.; Wang, Q. Impact evaluation of indoor environmental performance of animate space in buildings. Build. Environ. 2015, 94, 353–370. [Google Scholar] [CrossRef]
- McMulla, R. Environmental Science in Building; Macmillan: Basingstoke, UK, 2007. [Google Scholar]
- Fanger, P.O. Fundamentals of thermal comfort. Adv. Sol. Energy Technol. 1988, 4, 3056–3061. [Google Scholar]
- Leadership in Energy and Environmental Design (LEED). The U.S. Green Building Council (USGBC): Washington, DC, USA, 2001. Available online: http://www.usgbc.org/ (accessed on 22 February 2019).
- MOHURD. Assessment Standard for Green Building of China; GB/T50378-2014; China Building Industry Press: Beijing, China, 2014.
- Kang, J.; Zhang, M. Semantic differential analysis of the soundscape in urban open public spaces. Build. Environ. 2010, 45, 150–157. [Google Scholar] [CrossRef]
- Sun, Z.; Wei, D.; Xie, J. Research on subway tunnel wind power system. Renew. Energy Resour. 2016, 9, 1333–1341. [Google Scholar]
- Hummelgaard, J.; Juhl, P.; Sabjornsson, K.O.; Clausen, G.; Toftum, J.; Langkilde, G. Indoor air quality and occupant satisfaction in five mechanically and four naturally ventilated open-plan office buildings. Build. Environ. 2007, 42, 4051–4058. [Google Scholar] [CrossRef]
- Assimakopoulos, M.N.; Katavoutas, G. Thermal comfort conditions at the platforms of the Athens Metro. Procedia Eng. 2017, 180, 925–931. [Google Scholar] [CrossRef]
- Moreno, T.; Reche, C.; Minguillón, M.C.; Capdevila, M.; de Miguel, E.; Querol, X. The effect of ventilation protocols on airborne particulate matter in subway systems. Sci. Total Environ. 2017, 584, 1317–1323. [Google Scholar] [CrossRef] [PubMed]
- Burnett, J.; Pang, A.Y. Design and performance of pedestrian subway lighting systems. Tunn. Undergr. Space Technol. 2004, 19, 619–628. [Google Scholar] [CrossRef]
- Han, L.; Feng, L.; Yuan, Y. Numerical Analysis of Cooling Effect of Tunnel Ventilation System in Subway Station. Refrig. Air Cond. 2016, 2, 1–4. [Google Scholar]
- Yan, L. The Effect of Piston Wind on Subway Environment and Energy Saving Character; Beijing University of Technology: Beijing, China, 2015. [Google Scholar]
- Standard for Urban Rail Transit Lighting; GB/T16275-2008; Ministry of Housing and Urban-Rural Development of the People’s Republic of China: Beijing, China, 2008.
- Indoor Air Quality Standard GB/T18883-2002; Ministry of Housing and Urban-Rural Development of the People’s Republic of China: Beijing, China, 2002.
- Environemt Air Quality Standard GB3095-2012; Ministry of Housing and Urban-Rural Development of the People’s Republic of China: Beijing, China, 2012.
- ASHRAE (American Society of Heating, Refrigerating, and Air Conditioning Engineers). ASHRAE Standard 62.1—2013.Ventilation for Acceptable Indoor Air Quality; ASHRAE: Atlanta, GA, USA, 2013. [Google Scholar]
- Ren, M.; Guo, C.; Guo, Q.; Yang, Y.X.; Kang, G.Q.; Luo, H.L. Numerical Analysis and Effectively Using of Piston-effect in Subway. J. Shanhaijiaotong Univ. 2008, 8, 1376–1380, 1391. [Google Scholar]
- Hu, Y. An Analysis of the Transitional Space of Traffic Hubs Case Studies of Traffic Hubs in Japan. Archit. J. 2014, 6, 109–113. [Google Scholar]
- Wang, S.; Zhu, X.; Jiang, Y. Measurement and analysis of wall heat flow in thermal environment of Beijing Subway. J. Undergr. Work. Tunn. 1997, 3, 32–37. [Google Scholar]




















| Factor Group | Factors | Parameter Acquisition Method | Parameter Unit |
|---|---|---|---|
| Spatial parameter | geometric dimensions (L:W:H) | distance measurement | m |
| interface property (U-value) | material thermal performance calculation | W/(m2·K) | |
| internal related categories (visitor flow rate) | statistics | N/h | |
| external related categories (outdoor, platform, commercial, none) | judgment | N/a | |
| Climate parameter | thermal environment (temperature, relative humidity) | measurement | °C, % |
| lighting (illuminance) | Lux | ||
| air quality (PM2.5, PM10, CO2) | μg/m³, ppm | ||
| wind speed | m/s | ||
| Degree of comfort with the physical environment | thermal environment (temperature, relative humidity) | °C, % | |
| lighting (illuminance) | Lux | ||
| air quality (PM2.5, PM10, HCHO, CO2) | μg/m³, ppm | ||
| air velocity, wind temperature | m/s, °C | ||
| Occupancy satisfaction | thermal comfort | occupant survey | Vote score [−3~3] |
| humidity | |||
| air quality | |||
| lighting | |||
| ventilation | |||
| ease of use | |||
| cleanliness and maintenance | |||
| overall environmental quality satisfaction |
| Measurement Items | Parameter Type | Test Content | Properties of the instruments | |
|---|---|---|---|---|
| Thermal environment | outdoor temperature test | temperature | °C | Portable infrared temperature meter, Biaozhi GM700, Range: −50~700 °C, Resolution: 0.1 °C |
| indoor temperature test for each (selected) test point | ||||
| indoor humidity test for each (selected) test point | humidity | % | ||
| Lighting | outdoor luminance test | luminance | lux/daylight factor % | Portable luminance meter, Reggiani DT-1301, Range: 0~50,000 Lux, Resolution: 1 Lux |
| indoor luminance test for each (selected) test point | ||||
| IAQ | outdoor CO2 concentration test | CO2 concentration | ppm | Portable and self-record CO2 meter, TJHY-EZY-1, Range: 0~5000 ppm, Resolution: 1 ppm |
| indoor CO2 concentration test for each (selected) test point | ||||
| outdoor PM2.5/10 concentration test | PM2.5/10 concentration | μg/m³ | Portable air quality meter, temopt LKC-1000S+, Range: 0~999 mg/m3, Resolution: 0.01 mg/m3 | |
| indoor PM2.5/10 concentration test for each (selected) test point | ||||
| indoor HCHO concentration test for each (selected) test point | HCHO | g/cm³ | ||
| Ventilation | indoor air velocity test for each (selected) test point | air velocity | m/s | Self-record instrument for wind velocity and wind temperature, TJHY-FB-1, Range: 0~10 M/S, Resolution: 0.01 M/S |
| indoor air temperature of each (selected) test point | air temperature | °C | Self-record instrument for environment, TJHY-HCZY-1, Range: 0~5000 ppm, Resolution: 1 ppm | |
| Test Items | Parameter Type | Test Content | Test Content | |
|---|---|---|---|---|
| Physical environment satisfaction | thermal comfort | vote | web-based survey/ fieldwork-based survey/ human perception test | 7-point scale [−3,−2,−1,0,1,2,3] very dissatisfied to very satisfied |
| humidity | ||||
| air quality | ||||
| lighting | ||||
| ventilation | ||||
| Space satisfaction | ease of use | vote | web-based survey/ fieldwork-based survey/ human perception test | 7-point scale [−3,−2,−1,0,1,2,3] SD of feelings about space’s atmosphere |
| cleanliness and maintenance | ||||
| Overall environmental quality satisfaction | vote | web-based survey/ fieldwork-based survey/ human perception test | 7-point scale [−3,−2,−1,0,1,2,3] very dissatisfied to very satisfied | |
| No. | Station Name | City Complex | Building Function | Building Area (m2) | Subway Line | Number of Test Points | Type of Test Point |
|---|---|---|---|---|---|---|---|
| W1 | Xizhimen | Cade mall | Commercial, office | 89,000 | #2, #4, #13 | 3 | middle tubular space, tube entrance, platform layer |
| W2 | Haidianhuangzhuang | Gate City mall | Commercial | 47,000 | #4, #10 | 3 | middle tubular space, tube entrance |
| W3 | Guomao | Yintai mall | Commercial, office | 350,000 | #1, #10 | 4 | middle tubular space, tube entrance, platform layer, station hall |
| W4 | Dawanglu | China Trade Center mall | Commercial, office | 710,000 | #1, #14 | 4 | middle tubular space, tube entrance, platform layer, station hall |
| W5 | Wangfujing | Oriental Plaza mall | Commercial | 120,000 | #1 | 4 | middle tubular space, tube entrance, platform layer, station hall |
| Site No. | Test Point Number | Temperature (°C) | Humidity (%) | Illuminance (Lux) | Air Velocity (m/s) | PM2.5 | PM10 | HCHO | CO2 |
|---|---|---|---|---|---|---|---|---|---|
| W1 | Tp1 | 32.1 | 47.7 | 990 | 0.196 | 47.9 | 67.2 | 0.022 | 681 |
| W2 | Tp4 | 28.1 | 70.2 | 72.0 | 0.265 | 45.4 | 64.3 | 0.030 | 1163 |
| W3 | Tp8 | 25.5 | 76.8 | 19.0 | 0.0 | 66.1 | 92.0 | 0.057 | 1000 |
| W4 | Tp11 | 28.3 | 57.4 | 153.6 | 0.307 | 52.0 | 73.1 | 0.044 | 892.1 |
| Site No. | Test Point Number | Temperature (°C) | Humidity (%) | Illuminance (Lux) | Air Velocity (m/s) | PM2.5 | PM10 | HCHO | CO2 |
|---|---|---|---|---|---|---|---|---|---|
| W2 | Tp3 | 30.6 | 62.1 | 7.5 | 0.117 | 54.8 | 76.3 | 0.055 | 981.9 |
| W3 | Tp7 | 30.4 | 65.2 | 24.4 | 0.144 | 73.5 | 102.8 | 0.126 | 1308.2 |
| W5 | Tp14 | 28.9 | 52.9 | 147.9 | 0.604 | 32.2 | 45.0 | 0.047 | 928.9 |
| Site No. | Test Point Number | Temperature (°C) | Humidity (%) | Illuminance (Lux) | Air Velocity (m/s) | PM2.5 | PM10 | HCHO | CO2 |
|---|---|---|---|---|---|---|---|---|---|
| W1 | Tp2 | 30.8 | 50.0 | 154 | 0.365 | 53.5 | 75.9 | 0.019 | 688.4 |
| W2 | Tp5 | 28.6 | 66.0 | 32.5 | 0.859 | 52.7 | 73.6 | 0.019 | 840.5 |
| W4 | Tp10 | 31.3 | 68.3 | 107.3 | 1.73 | 107.6 | 151.1 | 0.021 | 920.8 |
| W5 | Tp13 | 31.1 | 70.0 | 91.2 | 0.683 | 149.2 | 201.7 | 0.026 | 802.4 |
| Site No. | Test Point No. | Temperature (°C) | Humidity (%) | Illuminance (Lux) | Air Velocity (m/s) | PM 2.5 | PM 10 | HCHO | CO2 |
|---|---|---|---|---|---|---|---|---|---|
| W3 | Tp6 | 33.5 | 62.2 | 144.1 | 0.724 | 68.6 | 96.0 | 0.038 | 1374.4 |
| W4 | Tp9 | 32.6 | 61.9 | 152.3 | 0.446 | 100.9 | 139.2 | 0.023 | 1153.6 |
| W5 | Tp12 | 31.2 | 71.4 | 92.0 | 0.172 | 119.6 | 167.2 | 0.021 | 922.5 |
| Site No. | Test Point No. | Temperature (°C) | Humidity (%) | Illuminance (Lux) | Air Velocity (m/s) | PM2.5 | PM 10 | HCHO | CO2 |
|---|---|---|---|---|---|---|---|---|---|
| W1 | tp15 | 30.2 | 48 | 260.3 | Instantaneous wind speed (as shown in Figure 12) | 85.3 | 121.7 | 0.017 | 974.5 |
| W3 | tp16 | 31.6 | 64.3 | 263 | 98.5 | 138.3 | 0.019 | 867 | |
| W4 | tp17 | 33.9 | 58.8 | 259.5 | 137.6 | 192.5 | 0.02 | 1005 | |
| W5 | tp18 | 33.7 | 69.6 | 251.2 | 72.7 | 102.3 | 0.019 | 1283 |
| Occupancy Satisfaction | Very Dissatisfied | Neutral | Very Satisfied | ||||
|---|---|---|---|---|---|---|---|
| Thermal comfort | −3 □ | −2 □ | −1 □ | 0 □ | 1 □ | 2 □ | 3 □ |
| Humidity | |||||||
| Air quality | |||||||
| Lighting | |||||||
| Ventilation | |||||||
| Ease of use | |||||||
| Cleanliness and maintenance | |||||||
| Overall environmental quality satisfaction | |||||||
| Occupancy Satisfaction Vote | Tp1 | Tp2 | Tp3 | Tp4 | Tp5 | Tp6 | Tp7 | Tp8 | Tp9 | Tp10 | Tp11 | Tp12 | Tp13 | Tp14 |
|---|---|---|---|---|---|---|---|---|---|---|---|---|---|---|
| Thermal Comfort | −0.23 | 1.1 | −0.9 | 1.3 | −1.1 | −1.8 | −2.3 | 2.1 | −2.1 | −1.2 | 0.9 | −2.2 | −2.5 | 1.9 |
| Humidity | −0.25 | 0.2 | −1.5 | −1.6 | −2.5 | −2.2 | −2.2 | −0.6 | −2.4 | −1.5 | 0.8 | −2.3 | −2.1 | 1.5 |
| Air Quality | −0.15 | −0.3 | −1.2 | 0.2 | −1.9 | −2.6 | −1.9 | 1.1 | −1.5 | −1.2 | 1.1 | −2.3 | −0.5 | 1.3 |
| Lighting | 2 | −0.9 | 0.5 | 0.3 | −0.8 | 0.2 | −0.6 | 1.2 | 0.8 | 0.8 | 1.2 | −0.5 | 0.2 | 1.5 |
| Wind Comfort | −0.9 | 1.1 | −0.6 | 0.5 | −2.6 | −0.5 | −0.5 | 1.4 | 0.5 | −1.6 | 1.2 | −1.1 | −2.4 | −0.1 |
| Ease of Use | −0.15 | 0.6 | −2.1 | 1.1 | 0.2 | 0.9 | 1.1 | 0.9 | 0.6 | −0.2 | 1.1 | 0.3 | 0.2 | 0.2 |
| Cleaning and Maintenance | 0.6 | 0.5 | 1.6 | 0.5 | 1.8 | 1.2 | −1.6 | 1.3 | 0.7 | 0.2 | 1.3 | 0.2 | 0.3 | 0.3 |
| Overall Environmental Quality | 0.5 | 0.6 | 1.1 | 0.5 | −0.9 | 0.4 | −1.2 | 1.4 | 0.5 | 0.3 | 1.3 | −1.2 | −0.9 | 0.8 |
| Overall | 0.18 | 0.36 | −0.39 | 0.35 | −0.98 | −0.55 | −1.15 | 1.10 | −0.36 | −0.55 | 1.11 | −1.14 | −0.96 | 0.93 |
| Rated Power | Impeller Diameter | Lump Sum Investment | Additional Investment | Service Life | Annual Maintenance Cost | Daily Power Output | Annual Power Output | Payback Period of Investment |
|---|---|---|---|---|---|---|---|---|
| 200 | 0.47 | 2000 | 1200 | 10 | 100 | 3.2 | 1100 | 2.99 |
| 300 | 0.66 | 2100 | 1500 | 10 | 150 | 4.8 | 1750 | 2.24 |
| 400 | 0.66 | 2400 | 2000 | 10 | 300 | 6.4 | 2300 | 2.16 |
| Note |
| |||||||
© 2019 by the authors. Licensee MDPI, Basel, Switzerland. This article is an open access article distributed under the terms and conditions of the Creative Commons Attribution (CC BY) license (http://creativecommons.org/licenses/by/4.0/).
Share and Cite
Li, J.; Lu, S.; Wang, Q.; Tian, S.; Jin, Y. Study of Passive Adjustment Performance of Tubular Space in Subway Station Building Complexes. Appl. Sci. 2019, 9, 834. https://doi.org/10.3390/app9050834
Li J, Lu S, Wang Q, Tian S, Jin Y. Study of Passive Adjustment Performance of Tubular Space in Subway Station Building Complexes. Applied Sciences. 2019; 9(5):834. https://doi.org/10.3390/app9050834
Chicago/Turabian StyleLi, Junjie, Shuai Lu, Qingguo Wang, Shuo Tian, and Yichun Jin. 2019. "Study of Passive Adjustment Performance of Tubular Space in Subway Station Building Complexes" Applied Sciences 9, no. 5: 834. https://doi.org/10.3390/app9050834
APA StyleLi, J., Lu, S., Wang, Q., Tian, S., & Jin, Y. (2019). Study of Passive Adjustment Performance of Tubular Space in Subway Station Building Complexes. Applied Sciences, 9(5), 834. https://doi.org/10.3390/app9050834
