Role of Wetland Plants and Use of Ornamental Flowering Plants in Constructed Wetlands for Wastewater Treatment: A Review
Abstract
Featured Application
Abstract
1. Introduction
2. Role of Macrophytes in CWs
3. Survey Results of the Use of Ornamental Flowering Plants in CWs
3.1. Common Ornamental Plants Used in CWs
3.1.1. Canna Spp
3.1.2. Iris Spp
3.1.3. Heliconia Spp
3.1.4. Zantedeschia Spp
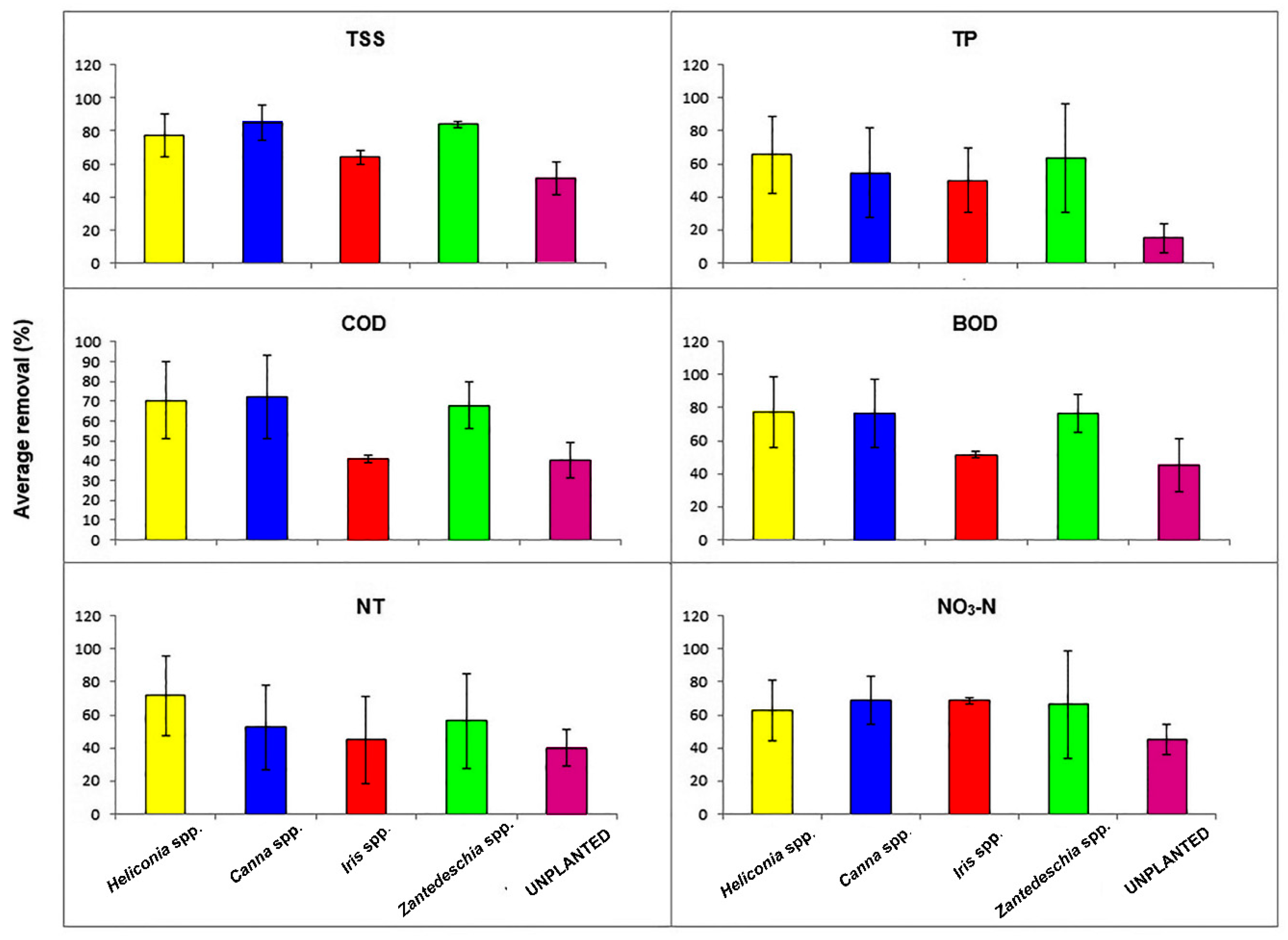
3.2. Influence of Plants on Treatment Performance in Constructed Wetlands
3.3. Advantages of Using Ornamental Plants in CWs
4. Conclusions
Author Contributions
Funding
Acknowledgments
Conflicts of Interest
References
- Kadlec, R.; Wallace, S. Treatment Wetlands, 2nd ed.; Taylor and Francis Group: Boca Raton, FL, USA, 2009. [Google Scholar]
- Mitsch, W.J.; Gosselink, J.G. Wetlands, 5th ed.; Wiley: Hoboken, NJ, USA, 2015. [Google Scholar]
- Marín-Muñiz, J.L. Humedales: Riñones del planeta y hábitat de múltiples especies; SEV-COLVER: Mexico, 2018; 100p. [Google Scholar]
- Brix, H. Functions of macrophytes in constructed wetlands. Water Sci. Technol. 1994, 4, 71–78. [Google Scholar] [CrossRef]
- Shelef, O.; Gross, A.; Rachmilevitch, S. Role of plants in a constructed wetland: Current and new perspectives. Water 2013, 5, 405–419. [Google Scholar] [CrossRef]
- Valipour, A.; Ahn, Y. Constructed wetlands as sustainable ecotechnologies in decentralization practices: A review. Environ. Pollut. Res. 2016, 23, 180–197. [Google Scholar] [CrossRef] [PubMed]
- Valipour, A.; Azizi, S.; Raman, V.K.; Jamshidi, S.; Hamnabard, N. The comparative evaluation of the performance of two phytoremediation systems for domestic wastewater treatment. Environ. Sci. Eng. 2014, 56, 319–326. [Google Scholar]
- Vymazal, J. Plants used in constructed wetlands with horizontal subsurface flow: A review. Hydrobiologia 2011, 20, 133–156. [Google Scholar] [CrossRef]
- Vymazal, J. Emergent plant used in free water surface constructed wetlands: A review. Ecol. Eng. 2013, 61, 582–592. [Google Scholar] [CrossRef]
- Wang, C.; Zhang, M.; Ye, M.; Wang, J.; Li, G. Pilot-scale electrochemical oxidation combined with constructed wetland system for unconventional surface water treatment. J. Chem. Technol. Biotechnol. 2014, 89, 1599–1606. [Google Scholar] [CrossRef]
- Mburu, N.; Rousseau, D.; Bruggen, J.; Lens, P. Use of Macrophyte Cyperus papyrus in Wastewater Treatment; Springer International Publishing: Cham, Switzerland, 2015. [Google Scholar] [CrossRef]
- Bachand, P.A.M.; Horne, A.J. Denitrification in constructed free-water surface wetland: II. Effects of vegetation and temperature. Ecol. Eng. 2000, 14, 17–32. [Google Scholar] [CrossRef]
- Tilley, D.R.; Badrinarayanan, H.; Rosati, R.; Son, J. Constructed wetlands as recirculation filters in large-scale shrimp aquaculture. Aquac. Eng. 2002, 26, 81–109. [Google Scholar] [CrossRef]
- Karathanasis, A.D.; Potter, C.L.; Coyne, M.S. Vegetation effects on fecal bacteria, BOD, and suspended solid removal in constructed wetlands treating domestic wastewater. Ecol. Eng. 2003, 20, 157–169. [Google Scholar] [CrossRef]
- Chang, N.B.; Islam, K.; Marimon, Z.; Wanielista, M.P. Assessing biological and chemical signatures related to nutrient removal by floating islands in stormwater mesocosms. Chemosphere 2012, 88, 736–743. [Google Scholar] [CrossRef] [PubMed]
- Yu, Z.; Bill, B.; Stenstrom, M.; Cohen, Y. Feasibility of a semi-batch vertical-flow wetland for onsite residential gray water treatment. Ecol. Eng. 2015, 82, 311–322. [Google Scholar] [CrossRef]
- Wang, Q.; Hu, Y.; Xie, H.; Yang, Z. Constructed wetlands: A review on the role of radial oxygen loss in the rhizosphere by macrophytes. Water 2018, 10, 678. [Google Scholar] [CrossRef]
- Hernández, M.E.; Galindo-Zetina, M.; Hernandez-Hernández, J.C. Greenhouse gas emissions and pollutant removal in treatment wetlands with ornamental plants under subtropical conditions. Ecol. Eng. 2018, 114, 88–95. [Google Scholar] [CrossRef]
- Lai, W.; Zhang, Y.; Chen, Z. Radial oxygen loss, photosynthesis, and nutrient removal of 35 wetland plants. Ecol. Eng. 2012, 39, 24–30. [Google Scholar] [CrossRef]
- Morgan, J.A.; Martin, J.F. Performance of an ecological treatment system at three strengths of dairy wastewater loading. Ecol. Eng. 2008, 33, 195–209. [Google Scholar] [CrossRef]
- Martínez, N.; Tejeda, A.; Del Toro, A.; Sánchez, M.P.; Zurita, F. Nitrogen removal in pilot-scale partially saturated vertical wetlands with and without and internal source of carbon. Sci. Total Environ. 2018, 645, 524–532. [Google Scholar] [CrossRef]
- Baptestini, G.; Matos, A.; Martinez, M.; Borges, A.; Matos, M. Hydraulic conductivity variability in horizontal subsurface flow constructed wetlands. J. Braz. Assoc. Agric. Eng. 2017, 37, 333–342. [Google Scholar] [CrossRef]
- Stottmeister, U.; Wiebner, A.; Kuschk, P.; Kappelmer, U.; Kästner, M.; Bederski, O.; Müler, R.A.; Moormann, H. Effects of plants and microotganisms in constructed wetlands for wastewater treatment. Biotecnol. Adv. 2003, 22, 93–117. [Google Scholar] [CrossRef]
- Tanner, C.C. Plants for constructed wetland treatment systems-a comparison of the growth and nutrient uptake of eigh emergent species. Ecol. Eng. 1996, 7, 59–83. [Google Scholar] [CrossRef]
- Liu, X.; Huang, S.; Tang, T.; Liu, X.; Scholz, M. Growth characteristic and nutrient removal capability of plants in subsurface vertical flow constructed wetlands. Ecol. Eng. 2012, 44, 189–198. [Google Scholar] [CrossRef]
- Paulo, P.L.; Begosso, L.; Pansonato, N.; Shrestha, R.R.; Bonez, M.A. Design and configuration criteria for wetland systems treating greywater. Water Sci. Technol. 2009, 60, 2001–2007. [Google Scholar] [CrossRef] [PubMed]
- Paulo, P.L.; Azevedo, C.; Begosso, L.; Galbiati, A.F.; Boncz, M.A. Natural systems treating greywater and blackwater on-site: Integrating treatment, reuse and landscaping. Ecol. Eng. 2013, 50, 95–100. [Google Scholar] [CrossRef]
- Sarmento, A.P.; Borges, A.C.; Matos, A.T. Effect of cultivated species and retention time on the performance of constructed wetlands. Environ. Technol. 2013, 35, 961–965. [Google Scholar] [CrossRef] [PubMed]
- Prata, R.; Matos, A.; Cecon, P.; Monaco, P.; Pimenta, L. Sewage treatment in wetlands cultivated with yellow lilly. Eng. Agrícola 2013, 33, 1144–1155. [Google Scholar] [CrossRef]
- Teodoro, A.; Boncz, M.; Júnior, A.; Paulo, P. Disinfection of greywater pretreated by constructed wetlands using photo-Fenton: Influence of pH on the decay of Pseudomonas aeruginosa. J. Environ. Chem. Eng. 2014, 2, 958–962. [Google Scholar] [CrossRef]
- Shi, L.; Wang, B.Z.; Cao, X.D.; Wang, J.; Lei, Z.H.; Wang, Z.R.; Liu, Z.Y.; Lu, B.N. Performance of a subsurface-flow constructed wetland in Southern China. J. Environ. Sci. 2004, 16, 476–481. [Google Scholar]
- Li, G.; Wu, Z.; Cheng, S.; Liang, W.; He, F.; Fu, G.; Zhong, F. Application of constructed wetlands on wastewater treatment for aquaculture ponds. Wuhan Univ. J. Nat. Sci. 2007, 12, 1131–1135. [Google Scholar] [CrossRef]
- Yang, Q.; Chen, Z.; Zhao, J.; Gu, B. Contaminant removal of domestic wastewater by constructed wetlands: Effects of plant species. J. Integr. Plant Biol. 2007, 49, 437–446. [Google Scholar] [CrossRef]
- Zhang, Z.H.; Rengel, Z.; Meney, K. Nutrient removal from simulated wastewater using Canna indica and Schoenoplectus validus in mono- and mixed culture in wetland microcosms? Water Air Soil Pollut. 2007, 183, 95–105. [Google Scholar] [CrossRef]
- Zhang, X.B.; Liu, P.; Yang, Y.S.; Chen, W.R. Phytoremediation of urban wastewater by model wetlands with ornamental hydrophytes. J. Environ. Sci. (China) 2007, 19, 902–909. [Google Scholar] [CrossRef]
- Sun, L.P.; Liu, Y.; Jin, H. Nitrogen removal from polluted river by enhanced floating bed grown canna. Ecol. Eng. 2009, 35, 135–140. [Google Scholar] [CrossRef]
- Cui, L.; Ouyang, Y.; Lou, Q.; Yang, F.; Chen, Y.; Zhu, W.; Luos, S. Removal of nutrients from wastewater with Canna indica L. under different vertical-flow constructed wetland conditions. Ecol. Eng. 2010, 36, 1083–1088. [Google Scholar] [CrossRef]
- Zhang, S.; Zhou, Q.; Xu, D.; He, F.; Cheng, S.; Liang, W.; Du, C.; Wu, Z. Vertical-flow constructed wetlands applied in a recirculating aquaculture system for channel catfish culture: Effects on water quality and zooplankton. Pol. J. Environ. Stud. 2010, 19, 1063–1070. [Google Scholar]
- Qiu, Z.; Wang, M.; Lai, W.; He, F.; Chen, Z. Plant growth and nutrient removal in constructed monoculture and mixed wetlands related to stubble attributes. Hydrobiologia 2011, 661, 251–260. [Google Scholar] [CrossRef]
- Wen, L.; Hua, C.; Ping, Z.; Xiang, L. Removal of total phosphorus from septic tank effluent by the hybrid constructed wetland system. Procedia Environ. Sci. 2011, 10, 2102–2107. [Google Scholar] [CrossRef]
- Wu, H.; Zhang, J.; Li, P.; Zhang, J.; Xie, H.; Zhang, B. Nutrient removal in constructed microcosm wetlands for treating polluted river water in northern China. Ecol. Eng. 2011, 37, 560–568. [Google Scholar] [CrossRef]
- Xie, X.; He, F.; Xu, D.; Dong, J.; Cheng, S.; Wu, Z. Application of large scale integrated vertical-flow constructed wetland in Beijing Olympic forest park: Design, operation and performance. Water Environ. J. 2012, 26, 100–107. [Google Scholar] [CrossRef]
- Chang, J.J.; Wu, S.Q.; Dai, Y.D.; Liang, W.; Wu, Z.B. Treatment performance of integrated vertical-flow constructed wetland plots for domestic wastewater. Ecol. Eng. 2012, 44, 152–159. [Google Scholar] [CrossRef]
- Gao, J.; Wang, W.; Guo, X.; Zhu, S. Nutrient removal capability and growth characteristics of iris sibrica in subsurface vertical flow constructed wetlands in winter. Ecol. Eng. 2014, 70, 351–361. [Google Scholar] [CrossRef]
- Li, J.; Liu, X.; Yu, Z.; Yi, X.; Ju, Y.; Huang, J.; Liu, R. Removal of fluoride and arsenic by pilot vertical-flow constructed wetlands using soil and coal cinder as substrate. Water Sci. Technol. 2014, 70, 620–626. [Google Scholar] [CrossRef] [PubMed]
- Gao, J.; Zhang, J.; Ma, N.; Wang, W.; Ma, C.; Zhang, R. Cadmium removal capability and growth characteristics of iris sibrica in subsurface vertical flow constructed wetlands. Ecol. Eng. 2015, 84, 443–450. [Google Scholar] [CrossRef]
- Hu, Y.; He, F.; Ma, L.; Zhang, Y.; Wu, Z. Microbial nitrogen removal patways in integrated vertical-flow constructed wetland systems. Bioresour. Technol. 2016, 207, 339–345. [Google Scholar] [CrossRef] [PubMed]
- Wang, W.; Ding, Y.; Ullman, J.; Ambrose, R.; Wang, Y.; Song, X.; Zhao, Z. Nitrogen removal performance in planted and unplanted horizontal subsurface flow constructed wetlands treating different influent COD/N ratios. Environ. Sci. Pollut. Res. 2016, 23, 9012–9018. [Google Scholar] [CrossRef] [PubMed]
- Morales, G.; López, D.; Vera, I.; Vidal, G. Humedales construidos con plantas ornamentales para el tratamiento de materia orgánica y nutrientes contenidos en aguas servidas. Theoria 2013, 22, 33–46. [Google Scholar]
- Burgos, V.; Araya, F.; Reyes-Contreras, C.; Vera, I.; Vidal, G. Performance of ornamental plants in mesocosm subsurface constructed wetlands under different organic sewage loading constructed wetlands under different organic sewage loading. Ecol. Eng. 2017, 99, 246–255. [Google Scholar] [CrossRef]
- Leiva, A.; Núñez, R.; Gómez, G.; López, D.; Vidal, G. Performance of ornamental plants in monoculture and polyculture horizontal subsurface flow constructed wetlands for treating wastewater. Ecol. Eng. 2018, 120, 116–125. [Google Scholar] [CrossRef]
- Gutiérrez-Mosquera, H.; Peña-Varón, M. Eliminación de nitrógeno en un humedal construido subsuperficial, plantado con Heliconia psíttacorum. Tecnol. Cienc. Agua 2011, 11, 49–60. [Google Scholar]
- Madera-Parra, C.A.; Peña-Salamanca, E.J.; Peña, M.R.; Rousseau, D.P.L.; Lens, P.N. Phytoremediation of landfill leachate with Colocasia esculenta, Gynerum sagittatum and Heliconia psittacorum in Constructed Wetlands. Int. J. Phytoremediat. 2015, 17, 16–24. [Google Scholar] [CrossRef]
- Marrugo-Negrete, J.; Ortega-Ruíz, J.; Navarro-Frómeta, A.; Enamorado-Montes, G.; Urango-Cárdenas, I.; Pinedo-Hernández, J.; Durango-Hernández, J.; Estrada-Martínez, A. Remoción de cipermetrina presente en el baño de ganado utilizando humedales construidos. Corpoica Cienc. Tecnol. Agrop. 2016, 17, 203–216. [Google Scholar] [CrossRef]
- Toro-Vélez, A.F.; Madera-Parra, C.A.; Peñón-Varón, M.R.; Lee, W.Y.; Bezares-Cruz, J.C.; Walker, W.S.; Cárdenas-Henao, H.; Quesada-Calderón, S.; García-Hernández, H.; Lens, P.N.I. BPA and NP removal from municipal wastewater by tropical horizontal subsurface constructed wetlands. Sci. Total Environ. 2016, 542, 93–101. [Google Scholar] [CrossRef] [PubMed]
- León, C.; Cháves, D. Tratamiento de residual vacuno utilizando microalgas, la lenteja de agua Lemna aequinoctiales y un humedal subsuperficial en Costa Rica. Rev. Latinoam. Biotecnol. Ambient. Algal 2010, 1, 155–177. [Google Scholar] [CrossRef]
- Abou-Elela, S.; Hellal, M. Municipal wastewater treatment using vertical flow constructed wetlands planted with Canna, Phragmites and Cyprus. Ecol. Eng. 2012, 47, 209–213. [Google Scholar] [CrossRef]
- Abou-Elela, S.; Golinielli, G.; Abou-Taleb, E.; Hellal, M. Municipal wastewater treatment in horizontal and vertical flows constructed wetlands. Ecol. Eng. 2013, 61, 460–468. [Google Scholar] [CrossRef]
- Choudhary, A.K.; Kumar, S.; Sharma, C. Removal of chlorinated resin and fatty acids from paper mill wastewater through constructed wetland. World Acad. Sci. Eng. Technol. 2010, 80, 67–71. [Google Scholar]
- Yadav, A.; Dash, P.; Mohanty, A.; Abbassi, R.; Mishra, B. Performance assessment of innovative constructed wetland-microbial fuel cell for electricity production and dye removal. Ecol. Eng. 2012, 47, 126–131. [Google Scholar] [CrossRef]
- Saumya, S.; Akansha, A.; Rinaldo, J.; Jayasri, M.A.; Suthindhiran, K. Construction and evaluation of prototype subsurface flow wetland planted with Heliconia angusta for the treatment of synthetic greywater. J. Clean. Prod. 2015, 91, 235–240. [Google Scholar] [CrossRef]
- Ojoawo, S.; Udayakuman, G.; Naik, P. Phytoremediation of phosphorus and nitrogen with Canna x generalis reeds in domestic wastewater through NMAMIT constructed wetlands. Aquat. Procedia 2015, 4, 349–356. [Google Scholar] [CrossRef]
- Haritash, A.K.; Sharma, A.; Bahel, K. The potential of Canna lily for wastewater treatment under Indian conditions. Int. J. Phytoremed. 2015, 17, 999–1004. [Google Scholar] [CrossRef]
- Patil, Y.M.; Munavalli, G.R. Performance evaluation of and integrated on-site greywater treatment system in a tropical region. Ecol. Eng. 2016, 95, 492–500. [Google Scholar] [CrossRef]
- Singh, M.; Srivastava, R. Horizontal subsurface flow constructed wetland for heavy metal removal from domestic wastewater. Environ. Prog. Sustain. Energy 2016, 35, 125–132. [Google Scholar] [CrossRef]
- Gill, L.W.; O’Luanaigh, N. Nutrient removal from on-site wastewater in horizontal subsurface flow constructed wetlands in Ireland. Water Pract. Technol. 2011, 6, wpt2011041. [Google Scholar] [CrossRef]
- Macci, C.; Peruzzi, E.; Doni, S.; Iannelli, R.; Masciandaro, G. Ornamental plants for micropollutant removal in wetland systems. Environ. Sci. Pollut. Res. 2015, 22, 2406–2415. [Google Scholar] [CrossRef] [PubMed]
- Kimani, R.W.; Mwangi, B.M.; Gichuki, C.M. Treatment of flower farm wastewater effluents using constructed wetlands in lake Naivasha Kenya. Indian J. Sci. Technol. 2012, 5, 1870–1878. [Google Scholar]
- Belmont, M.A.; Metcalfe, C.D. Feasibility of using ornamental plants (Zantedeschia aethiopica) in subsurface flow treatment wetlands to remove nitrogen, chemical oxygen demand and nonylphenol ethoxylate surfactants—A laboratory-scale study. Ecol. Eng. 2003, 21, 233–247. [Google Scholar] [CrossRef]
- Belmont, M.A.; Cantellano, E.; Thompson, S.; Williamson, M.; Sánchez, A.; Metcalfe, C.D. Treatment of domestic wastewater in a pilot scale natural treatment system in central Mexico. Ecol. Eng. 2004, 23, 299–311. [Google Scholar] [CrossRef]
- Orozco, C.; Cruz, A.; Rodríguez, M.; Pohlan, A. Humedal subsuperficial de flujo vertical como sistema de depuración terciaria en el proceso de beneficiado de café. Hig. Sanid. Ambient. 2006, 6, 190–196. [Google Scholar]
- Zurita, F.; De Anda, J.; Belmont, M. Performance of laboratory-scale wetlands planted with tropical ornamental plants to treat domestic wastewater. Water Qual. Res. J. Can. 2006, 41, 410–417. [Google Scholar] [CrossRef]
- Zurita, F.; Belmont, M.; De Anda, J.; Cervantes-Martínez, J. Stress detection by laser-induced fluorescence in Zantedeschia aethiopica planted in subsurface-flow treatment wetlands. Ecol. Eng. 2008, 33, 110–118. [Google Scholar] [CrossRef]
- Ramírez-Carrillo, H.F.; Luna-Pabello, V.M.; Arredondo-Figueroa, JL. Evaluación de un humedal artificial de flujo vertical intermitente, para obtener agua de buena calidad para la acuicultura. Rev. Mex. Ing. Quím. 2009, 8, 93–99. [Google Scholar]
- Zurita, F.; De Anda, J.; Belmont, M.A. Treatment of domestic wastewater and production of commercial flowers in vertical and horizontal subsurface-flow constructed wetlands. Ecol. Eng. 2009, 35, 861–869. [Google Scholar] [CrossRef]
- Zurita, F.; Del Toro-Sánchez, C.; Gutierrez-Lomelí, M.; Rodríguez-Sahagún, A.; Castellanos-Hernández, O.; Ramirez-Martínez, G.; White, J. Preliminary study on the potential of arsenic removal by subsurface flow constructed mesocosms. Ecol. Eng. 2012, 47, 101–104. [Google Scholar] [CrossRef]
- Castañeda, A.A.; Flores, H.E. Tratamiento de aguas residuales domésticas mediante plantas macrófitas típicas en Los Altos de Jalisco, México. Paakat Rev. Tecnol. Sociedad 2013, 3, 126–134. [Google Scholar]
- Zurita, F.; White, J. Comparative study of three two-stage hybrid ecological wastewater treatment systems for producing high nutrient, reclaimend water for irrigation reuse in developing countries. Water 2014, 6, 213–228. [Google Scholar] [CrossRef]
- Hallack, M.; Payan, J.C.; Mungaray, A.; López, A.; González, M.; Castañón, M.C.; Pérez-Banuet, M. Implementación y evaluación de un sistema de tratamiento de agua residual natural a través de humedales construidos en el noroeste de México. In Gestión de Humedales Españoles y Mexicanos: Apuesta Conjunta por su Futuro; Sastre, A., Díaz, I., Ramíres, J., Eds.; Universidad de Alcalá, 2015; ISBN 978-84-16599-15-8. Available online: http://www.redalyc.org/pdf/370/37012012004.pdf (accessed on 13 November 2018).
- Mendoza, A.; Bello-Mendoza, R.; Herrea-López, D.; Mejía-González, G.; Calixto-Romo, A. Performance of constructed wetlands with ornamental plants in the treatment of domestic wastewater under the tropical climate of south Mexico. Water Pract. Technol. 2015, 10, 110–123. [Google Scholar] [CrossRef]
- Merino-Solís, M.; Villegas, E.; de Anda, J.; López-López, A. The effect of the hydraulic retention time on the performance of an ecological wastewater treatment system: An anaerobic filter with a constructed wetland. Water 2015, 7, 1149–1163. [Google Scholar] [CrossRef]
- Zurita, F.; Carreón-Álvarez, A. Performance of three pilot-scale hybrid constructed wetlands for total coliforms and Escherichia coli removal from primary effluent—A 2-year study in subtropical climate. J. Water Health 2015, 13, 446–458. [Google Scholar] [CrossRef]
- Garzón, M.; González, J.; García, R. Evaluación de un sistema de tratamiento doméstico para reúso de agua residual. Rev. Int. Contam. Ambient. 2016, 32, 199–211. [Google Scholar] [CrossRef]
- Hernández, M.E. Humedales ornamentales con participación comunitaria para el saneamiento de aguas municipales en México. RINDERESU 2016, 1, 1–12. [Google Scholar]
- López-Rivera, A.; López-López, A.; Vallejo-Rodríguez, R.; León-Becerril, E. Effect of the organic loading rate in the stillage treatment in a constructed wetland with Canna indica. Environ. Prog. Sustain. Energy 2016, 35, 411–415. [Google Scholar] [CrossRef]
- Tejeda, A.; Torres-Bojorges, A.; Zurita, F. Carbamazepine removal in three pilot-scale hybrid wetlands planted with ornamental species. Ecol. Eng. 2017, 98, 410–417. [Google Scholar] [CrossRef]
- Marín-Muñiz, J.L.; García-González, M.C.; Ruelas-Monjardín, L.C.; Moreno-Casasola, P. Influence of different porous media and ornamental vegetation on wastewater pollutant removal in vertical subsurface flow wetland microcosms. Environ. Eng. Sci. 2018, 35, 88–94. [Google Scholar] [CrossRef]
- Sandoval-Herazo, L.C.; Alvarado-Lassman, A.A.; Marín-Muñiz, J.L.; Méndez-Contreras, J.M.; Zamora-Castro, S.A. Effects of the use of ornamental plants and different substrates in the removal of wastewater pollutants through microcosms of constructed wetlands. Sustainability 2018, 10, 1594. [Google Scholar] [CrossRef]
- Singh, S.; Haberl, R.; Moog, O.; Shrestha, R.R.; Shrestha, P.; Shrestha, R. Performance of an anaerobic baffled reactor and hybrid constructed wetland treating high-strength wastewater in Nepal—A model for DEWATs. Ecol. Eng. 2009, 35, 654–660. [Google Scholar] [CrossRef]
- Calheiros, C.S.; Rangel, O.S.S.; Castro, P.K.L. Constructed wetland systems vegetated with different plants applied to the treatment of tannery wastewater. Water Res. 2007, 41, 1790–1798. [Google Scholar] [CrossRef] [PubMed]
- Calheiros, C.; Bessa, V.; Mesquita, R.; Brix, H.; Rangel, A.; Castro, P. Constructed wetlands with a polyculture of ornamental plants for wastewater treatment at a rural tourism facility. Ecol. Eng. 2015, 79, 1–7. [Google Scholar] [CrossRef]
- García, M.; Soto, F.; González, J.M.; Bécares, E. A comparison of bacterial removal efficiencies in constructed wetlands and algae-based systems. Ecol. Eng. 2008, 32, 238–243. [Google Scholar] [CrossRef]
- Ansola, G.; González, J.M.; Cortijo, R.; de Luis, E. Experimental and full-scale pilot plant constructed wetlands for municipal wastewaters treatment. Ecol. Eng. 2003, 21, 43–52. [Google Scholar] [CrossRef]
- Weragoda, S.K.; Jinadasa, K.B.S.N.; Zhang, D.Q.; Gersberg, R.M.; Tan, S.K.; Ng, W.J. Tropical application of floating treatment wetlands. Wetlands 2012, 32, 955–961. [Google Scholar] [CrossRef]
- Chyan, J.M.; Lu, C.C.; Shiu, R.F.; Bellotindos, L. Purification of landscape water by using an innovative application of subsurface flow constructed wetlands. Environ. Sci. Pollut. Res. 2016, 23, 535–545. [Google Scholar] [CrossRef]
- Chyan, J.M.; Jhu, Y.X.; Chen, I.; Shiu, R. Improvement of nitrogen removal by external aeration and intermittent circulation in a subsurface flow constructed wetland of landscape garden ponds. Process Saf. Environ. Prot. 2016, 104, 587–597. [Google Scholar] [CrossRef]
- Sirianuntapiboon, S.; Jitvimolnimit, S. Effect of plantation pattern on the efficiency of subsurface flow constructed wetland (SFCW) for sewage treatment. Afr. J. Agric. Res. 2007, 2, 447–454. [Google Scholar] [CrossRef]
- Sohsalam, P.; Englande, A.; Sirianuntapiboon, S. Seafood wastewater treatment in constructed wetlands: Tropical case. Bioresour. Technol. 2008, 99, 1218–1224. [Google Scholar] [CrossRef] [PubMed]
- Konnerup, D.; Koottatep, T.; Brix, H. Treatment of domestic wastewater in tropical subsurface flow constructed wetlands planted with Canna and Heliconia. Ecol. Eng. 2009, 35, 248–257. [Google Scholar] [CrossRef]
- Kantawanichkul, S.; Karnchanawong, S.; Jing, S.H. Treatment of fermented fish production wastewater by constructed wetland system in Thailand. Chiang Mai J. Sci. 2009, 36, 149–157. [Google Scholar]
- Brix, H.; Koottatep, T.; Fryd, O.; Laugesen, C.H. The flower and the butterfly constructed wetland system at Koh Phi Phi—System design and lessons learned during implementation and operation. Ecol. Eng. 2011, 37, 729–735. [Google Scholar] [CrossRef]
- Torit, J.; Siangdung, W.; Thiravetyan, P. Phosphorus removal from domestic wastewater by Echinodorus cordifolius L. J. Environ. Sci. Health Part A 2012, 47, 794–800. [Google Scholar] [CrossRef]
- Tunçsiper, B. Nitrogen removal in a combined vertical and horizontal subsurface-flow constructed wetland system. Desalination 2009, 247, 466–475. [Google Scholar] [CrossRef]
- Neralla, S.; Weaver, R.W.; Lesikar, B.J.; Persyn, R.A. Improvement of domestic waste water quality by subsurface flow constructed wetlands. Bioresour. Technol. 2000, 75, 19–25. [Google Scholar] [CrossRef]
- Polomski, R.F.; Bielenberg, D.G.; Whitwell, T. Nutrient Recovery by Seven Aquatic Garden Plants in a Laboratory-scale Subsurface-constructed Wetland. Hortscience 2007, 42, 1674–1680. [Google Scholar] [CrossRef]
- Zachritz, W.H.; Hanson, A.T.; Sauceda, J.A.; Fitzsimmons, K.M. Evaluation of submerged surface flow (SSF) constructed wetlands for recirculating tilapia production systems. Aquac. Eng. 2008, 39, 16–23. [Google Scholar] [CrossRef]
- Chen, Y.; Bracy, R.; Owings, A. Nitrogen and phosphorous removal by ornamental and wetland plants in a greenhouse recirculation research system. HortScience 2009, 44, 1704–1711. [Google Scholar] [CrossRef]
- Konnerup, D.; Trang, N.T.D.; Brix, H. Treatment of fishpond water by recirculating horizontal and vertical flow constructed wetlands in the tropics? Aquaculture 2011, 313, 57–64. [Google Scholar] [CrossRef]
- McKinlay, R.G.; Kasperek, K. Observations on decontamination of herbicide polluted water by marsh plant system. Water Res. 1999, 33, 505–511. [Google Scholar] [CrossRef]
- Gersberg, R.M.; Elkins, B.V.; Lyon, S.R.; Goldman, C.R. Role of aquatic plants in wastewater treatment by artificial wetlands. Water Res. 1986, 20, 363–368. [Google Scholar] [CrossRef]
- Duarte, A.; Canais-Seco, T.; Peres, J.; Bentes, I.; Pinto, J. Sustainability indicators of subsusrface flow constructed wetlands in Portuguese small communities. WSEAS Trans. Environ. Dev. 2010, 9, 625–634. [Google Scholar]
- Prata, R.C.; Matos, A.T.D.; Cecon, P.R.; Monaco, P.A.; Pimenta, L.A. Sewage treatment in wetlands cultivated with yellow lily. Eng. Agríc. 2013, 33, 1144–1155. [Google Scholar] [CrossRef]
- Patra, B.; Acharya, L.; Mukherjee, A.K.; Panda, M.K.; Panda, C.P. Molecular characterization of ten cultivars of Canna lilies (Canna Linn.) using PCR based molecular markers (RAPDs and ISSRs). Int. J. Integr. Biol. 2008, 2, 129–137. [Google Scholar]
- Gupta, A.; Maurya, R.; Roy, R.K.; Sawant, S.; Yadav, H. AFLP based genetic relationship and population structure analysis of Canna-An ornamental plant. Sci. Hortic. 2013, 154, 1–7. [Google Scholar] [CrossRef]
- Kulig, M.; Wronski, M.; Ostafin, K. The characteristics of flowers, and of clumps of selected iris species and varieties, from the Limniris section. Hortic. Landsc. Archit. 2013, 34, 3–12. [Google Scholar]
- Kulig, M. Characteristics of flowers of selected iris species and varieties from Limniris section. Electron. J. Pol. Agric. Univ. 2012, 15, 04. [Google Scholar]
- Maas, P.J.M. Renealmia (Zingiberaceae—Zingiberoideae); Costoideae (Zingiberaceae). Flora Neotrop. Monogr. 1977, 18, 1–218. [Google Scholar]
- Kress, W.J. The diversity and distribution of Heliconia (Heliconiaceae) in brazil). Acta Bot. Bras. 1990, 4, 159–167. [Google Scholar] [CrossRef]
- Bogner, J.; Nicolson, D.H. A revised classification of Araceae with dichotomous keys. Willdenowia 1991, 21, 35–50. [Google Scholar]
- Letty, C. The Genus Zantedeschia. Bothalia 1973, 11, 5–26. [Google Scholar] [CrossRef]
- Rodríguez, M.; Brisson, J. Pollutant removal efficiency of native versus exotic common reed (Phragmites australis) in North American treatment wetlands. Ecol. Eng. 2015, 74, 364–370. [Google Scholar] [CrossRef]
- Zhang, D.; Jinadasa, K.; Gersberg, R.; Liu, Y.; Ng, W.; Tan, S. Application of constructed wetlands for wastewater treatment in developing countries—A review of recent developments. J. Environ. Manag. 2014, 141, 116–131. [Google Scholar] [CrossRef]
- Zhang, D.; Jinadasa, K.; Gersberg, R.; Liu, Y.; Tan, S.; Ng, W. Application of constructed wetlands for wastewater treatment in tropical and subtropical regions (2000–2013). J. Environ. Sci. 2015, 30, 30–46. [Google Scholar] [CrossRef]
- Machado, A.I.; Beretta, M.; Fragoso, R.; Duarte, E. Overview of the state of the art of constructed wetlands for decentralized wastewater management in Brazil. J. Environ. Manag. 2017, 187, 560–570. [Google Scholar] [CrossRef]
- Frazer-Williams, R. A review of the influence of design parameters on the performance of constructed wetlands. J. Chem. Eng. 2010, 25, 29–42. [Google Scholar] [CrossRef][Green Version]


| Country | Type of Wastewater | Vegetation | Removal Efficiency of Pollutants (%) | Reference |
|---|---|---|---|---|
| Brazil | Domestic | Heliconia psittacorum | TSS: 88, COD: 95, BOD: 95 | Paulo et al. [26] |
| Domestic | Alpinia purpurataArundina bambusifoliaCanna spp. Heliconia psittacorum L.F. | COD: 48-90, PO4-P: 20, TKN: 31 and TSS: 34. | Paulo et al. [27] | |
| Swine | Hedychium coronarium Heliconia rostrata | COD: 59, TP: 44, TKN: 34 and NHx 35 COD: 57, TP: 38, TKN: 34 and NHx: 37 | Sarmento et al. [28] | |
| Hemerocallis flava | COD: 72, BOD: 90, TN: 52, TP: 41 and SST: 72. | Prata et al. [29] | ||
| Heliconia psittacorum L.F. | Teodoro et al. [30] | |||
| China | Municipal | Canna indica | COD: 77, BOD: 86, TP: >82, TN: >45 | Shi et al. [31] |
| Aquaculture ponds | Canna indica mixed with other species | BOD: 71, TSS: 82, chlorophyll-a: 91.9, NH4-N: 62, NO3-N: 68 and TP: 20. | Li et al. [32] | |
| Domestic | Canna indica Linn | COD: 82.31, BOD: 88.6, TP: >80, TN: >85 | Yang et al. [33] | |
| Municipal | Canna indica | NH4-N: 99, PO4-P: 87 | Zhang et al. [34] | |
| Drain of some factories | R. carnea, I. pseudacorus, L. salicaria | COD: 58-92, BOD: 60-90 TN: 60-92, TP: 50-97, | Zhang et al. [35] | |
| River | Canna sp | COD: 95, N-NH4: 100, N-NO3: 76, TN: 72 | Sun et al. [36] | |
| Domestic | Canna indica | TP: 60, NH4-N: 30-70, TN: ~25 | Cui et al. [37] | |
| Aquaculture ponds | Canna indica mixed with other natural wetland plants | BOD: 56, COD: 26, TSS: 58, TP: 17, TN: 48 and NH4-N: 34. | Zhang et al. [38] | |
| Wastewater from a student dormitory (University) | Canna indica mixed with other natural wetland plants | COD: 50–70, BOD: 60–80, N-NO3: 65–75, TP: 50–80 | Qiu et al. [39] | |
| Domestic | Canna indica and Hedychium coronarium | TP: 40–70 | Wen et al. [40] | |
| Polluted river | Iris pseudacorus mixed with other natural wetland plants | TN: 68, NH4-N: 93, TP: 67 | Wu et al. [41] | |
| Sewage | Iris pseudacorus, mixed with other plants of natural wetlands | TN: 20 and TP: 44 | Xie et al. [42] | |
| Municipal | Canna indica | COD: 60, NO3-N: 80, TN: 15, TP: 52 | Chang et al. [43] | |
| Simulated polluted river water | Iris sibirica | COD: 22, TN: 46, NH4-N: 62, TP: 58 | Gao et al. [44] | |
| Synthetic | Canna sp | Fluoride: 51, Arsenic: 95 | Li et al. [45] | |
| Simulated polluted river water | Iris sibirica | Cd: 92 | Gao et al. [46] | |
| Synthetic | Canna indica L. | N: 56–60 | Hu et al. [47] | |
| Synthetic (hydrophonic sol.) | Canna indica L. | TN: 40–60, N-NO3: 20–95, NH4-N: 20–55 | Wang et al. [48] | |
| Chile | Sewage | Zantedeschia aethiopica, Canna spp. and Iris spp | BOD: 82, TN: 53, TP: 60. | Morales et al. [49] |
| Sewage | Tulbaghia violácea, and Iris pseudacorus. | BOD: 57–88, COD: 45–72, TSS: 70–93, PO4-P: 6–20. | Burgos et al. [50] | |
| Ww rural community | Zantedeschia aethiopica | Organic matter: 60%, TSS: 90% | Leyva et al. [51] | |
| Colombia | Domestic | Heliconia psíttacorum | NH3: 57 COD: 70 | Gutiérrez-Mosquera and Peña-Varón [52] |
| Synthetic landfill leachate | Heliconia psittacorum | COD, TKN and NH4 (all: 65–75) | Madera-Parra et al. [53] | |
| Cattle bath | Alpinia purpurata | SST: 58, TP: 85, COD: 63 | Marrugo-Negrete et al. [54] | |
| Municipal | Heliconia psitacorum | Bisphenol A: 73, Nonylphenols: 63 | Toro-Vélez et al. [55] | |
| Costa Rica | Dairy raw manure | Ludwigia inucta, Zantedechia aetiopica, Hedychium coronarium and Canna generalis | BOD: 62, NO3-N: 93, PO4-P: 91, TSS: 84 | León and Cháves [56] |
| Egypt | Municipal | Canna sp | TSS: 92, COD: 88, BOD: 90 | Abou-Elela and Hellal [57] |
| Municipal | Canna sp | TSS: 92, COD: 92, BOD: 92 | Abou-Elela et al. [58] | |
| India | Paper mill effluent | Canna indica | 9,10,12,13-tetrachlor- ostearic acid: 92 and 9,10-dichlorostearic acid: 96 | Choudhary et al. [59] |
| Synthetic | Canna indica | Dye: 70–90 COD: 75 | Yadav et al. [60] | |
| Synthetic greywater | Heliconia angusta | COD:40, BOD: 70, TSS: 62, TDS: 19 | Saumya et al. [61] | |
| Domestic | Canna generalis | TN: 52, T-PO3: 9 | Ojoawo et al. [62] | |
| Collection pond | Canna Lily | BOD: 70–96, COD: 64–99 | Haritash et al. [63] | |
| Hostel greywater | Canna indica | COD, TKN and Pathogen all up 70 | Patil and Munavalli, [64] | |
| Domestic | Polianthus tuberosa L. | Heavy metals (Pb and Fe: 73–87), (Cu and Zn: 31–34) and Ni and Al: 20–26 | Singh and Srivastava [65] | |
| Ireland | Domestic | Iris pseudacorus | TN: 30, TP:28 | Gill and O’Luanaigh [66] |
| Italy | Synthetic | Zantedeschia aethiopica, Canna indica | N: 65–67, P: 63–74, Zn and Cu: 98–99, Carbamazepine: 25–51, LAS: 60–72 | Macci et al. [67] |
| Kenya | Flower farm | Canna spp. | BOD: 87, COD: 67, TSS: 90, TN: 61 | Kimani et al. [68] |
| Mexico | Municipal | Zantedeschia aethiopoca | COD: 35, TN: 45.6 | Belmont and Metcalfe [69] |
| Domestic | ZantedeschiaAethiopica and Canna flaccid | SST: 85.9, COD: 85.8, NO3-N: 81.7, NH4-N: 65.5, NT: 72.6 | Belmont et al. [70] | |
| Coffee processing | Heliconia psittacorum | COD: 91, Coliformes: 93 | Orozco et al. [71] | |
| Domestic | Strelitzia reginae, Zantedeschia esthiopica, Canna hybrids, Anthurium andreanum, Hemerocallis Dumortieri | COD: >75, P: 66, Coliforms: 99 | Zurita et al. [72] | |
| Domestic | Zantedeschia aethiopica | BOD: 79, TN: 55, PT: 50 | Zurita et al. [73] | |
| Wastewater form canals | Zantedeschia aethiopica | COD: 92, N-NH4: 85, P-PO4: 80 | Ramírez-Carrillo et al. [74] | |
| Municipal | Strelitzia reginae, Anthurium, andreanum. | TSS: 62, COD: 80, BOD: 82, TP: >50, TN: >49 | Zurita et al. [75] | |
| Groundwater | Zantedeschia aethiopica and Anemopsis californica | As: 75–78 | Zurita et al. [76] | |
| Domestic | Gladiolus spp | BOD: 33, TN: 53, TP: 75 | Castañeda and Flores [77] | |
| Mixture of greywater (from a cafeteria and research laboratories) | Zantedeschia aethiopica and Canna indica | COD: 65, NT: 22.4, PT: 5. | Zurita and White [78] | |
| Domestic | Zantedeschia aethiopica | BOD: 70 | Hallack et al. [79] | |
| Domestic | Heliconia stricta, Heliconia psittacorum and Alpinia purpurata | BOD: 48, COD: 64, TP: 39, TN: 39 | Méndez-Mendoza et al. [80] | |
| Municipal | Canna hybrids and Strelitzia reginae | DQO: 86, NT: 30–33, PT: 24–44 | Merino-Solís et al. [81] | |
| Municipal | Zantedeschia aethiopica and Strelitzia reginae | COD: 75, TN: 18, TP: 2, TSS: 88. | Zurita and Carreón-Álvarez [82] | |
| Domiciliar | Spathiphyllum wallisii, Zantedechia aethiopica, Iris japonica, Hedychium coronarium, Alocasia sp, Heliconia sp. and Strelitzia reginae. | N-NH4: 64-93 BOD: 22–96 COD: 25–64 | Garzón et al. [83] | |
| Community | Zantedeschia aethiopica, Lilium sp, Anturium spp and Hedychium coronarium | NT: 47, PT: 33, COD: 67 | Hernández [84] | |
| Stillage Treatment | Canna indica | BOD: 87, COD: 70 | López-Rivera et al. [85] | |
| Artificial | Iris sibirica and Zantedeschia aethiopica | Carbamazepine: 50–65 | Tejeda et al. [86] | |
| Community | Alpinia purpurata and Zantedeschia aethiopica | Marín-Muñiz et al. [87] | ||
| Polluted river | Zantedeschia aethiopica | NO3-N: 45, NH4-N: 70, PO4-P: 30 | Hernández et al. [18] | |
| Municipal | Spathiphyllum wallisii, and Zantedeschia aethiopica | Sandoval-Herazo et al. [88] | ||
| University | Strelitzia reginae | Martínez et al. [21] | ||
| Nepal | Municipal | Canna latifolia | TSS: 97, COD: 97, BOD: 89, TP: >30 | Sigh et al. [89] |
| Portugal | Tannery | Canna indica mixed with other plants | COD: 41–73, BOD: 41–58 | Calheiros et al. [90] |
| Community | Canna flaccida, Zantedeschia aethiopica, Canna indica, Agapanthus africanus and Watsonia borbonica | BOD, COD, P-PO4, NH4 and total coliform bacteria (all up to 84) | Calheiros et al. [91] | |
| Spain | Domestic | Iris spp | Bacteria: 37 | García et al. [92] |
| Municipal | Iris pseudacorus | Bacteria: 43 | Ansola et al. [93] | |
| Sri Lanka | Municipal | Canna iridiflora | BOD: 66, TP: 89, NH4-N: 82, N-NO3: 50 | Weragoda et al. [94] |
| Taiwan | Domestic | Canna indica | N-NH4: 73, BOD: 11 | Chyan et al. [95] |
| Canna indica | N-NH4: 57, N-NO3: 57 | Chyan et al. [96] | ||
| Thailand | Domestic | Canna spp | COD: 92, BOD: 93, TSS: 84, NH4-N: 88, TP: 90 | Sirianuntapiboon and Jitvimolnimit [97] |
| Seafood | Canna siamensis, Heliconia spp and Hymenocallis littoralis | BOD: 91–99, SS: 52–90, TN: 72–92 and TP: 72–77 | Sohsalam et al. [98] | |
| Domestic | Heliconia psittacorum L.f. and Canna generalis L. Bailey | TSS: Both > 88, COD: 42-83 | Konnerup et al. [99] | |
| Fermented fish production | Canna hybrid | BOD, COD, TKN: ~ 97 | Kantawanichkul et al. [100] | |
| Collection system for business and hotel | Cannae lilies, Heliconia | BOD: 92, TSS: 90, NO3-N: 50, TP: 46 | Brix et al. [101] | |
| Domestic | Crinum asiaticum, Spathiphyllum clevelandii Schott | PO4-P: ~20 | Torit et al. [102] | |
| Turkey | Municipal | Iris australis | NH4-N: 91, NO3-N: 89, TN: 91 | Tunçsiper [103] |
| USA | Domestic | Canna flaccida, Gladiolus sp., Iris sp. | Baceria: ~50 | Neralla et al. [104] |
| Nursery | Canna· generalis, Eleocharis dulcis, Iris Peltandravirginica. | N: ~50, P: ~60 | Palomsky et al. [105] | |
| Domestic | Iris pseudacorus L., Canna x. generalis L.H. Bail., Hemerocallis fulva L. and Hibiscus moscheutosL. | BOD > 75, TSS > 88, Fecal baceteria > 93 | Karathanasis et al. [14] | |
| Tilapia production | Canna sp. | TSS: 90, NO2-N: 91, NO3-N: 76, COD: 12.5 and NH3-N: 7.5 | Zachritz et al. [106] | |
| Stormwater runoff | Canna x generalis Bailey, Iris pseudacorus L., Zantedeschia aethiopica (L.) | N and P Canna (>90), Iris (>30) Zantedeschia (>90) | Chen et al. [107] | |
| Residential | Aeonium purpureum and Crassula ovate, Equisetum hyemale, Nasturtium, Narcissus impatiens, and Anigozanthos | TSS: 95 BOD: 97 | Yu et al. [16] | |
| Vietnam | Fishpond | Canna generalis | BOD: 50, COD: 25–55 | Konnerup et al. [108] |
| United Kingdom | Herbicide polluted water | Iris pseudacorus | Atrazine: 90–100 | McKinlay and Kasperek. [109] |
| Asia | Europe | America | Africa | Total | |||
|---|---|---|---|---|---|---|---|
| North America | Central and South America | ||||||
| USA | Mexico | ||||||
| Canna | 22 | 4 | 5 | 4 | 2 | 2 | 39 |
| Iris | 5 | 5 | 4 | 2 | 2 | 18 | |
| Heliconia | 4 | 4 | 4 | 12 | |||
| Zantedeschia | 2 | 1 | 13 | 3 | 1 | 20 | |
© 2019 by the authors. Licensee MDPI, Basel, Switzerland. This article is an open access article distributed under the terms and conditions of the Creative Commons Attribution (CC BY) license (http://creativecommons.org/licenses/by/4.0/).
Share and Cite
Sandoval, L.; Zamora-Castro, S.A.; Vidal-Álvarez, M.; Marín-Muñiz, J.L. Role of Wetland Plants and Use of Ornamental Flowering Plants in Constructed Wetlands for Wastewater Treatment: A Review. Appl. Sci. 2019, 9, 685. https://doi.org/10.3390/app9040685
Sandoval L, Zamora-Castro SA, Vidal-Álvarez M, Marín-Muñiz JL. Role of Wetland Plants and Use of Ornamental Flowering Plants in Constructed Wetlands for Wastewater Treatment: A Review. Applied Sciences. 2019; 9(4):685. https://doi.org/10.3390/app9040685
Chicago/Turabian StyleSandoval, Luis, Sergio Aurelio Zamora-Castro, Monserrat Vidal-Álvarez, and José Luis Marín-Muñiz. 2019. "Role of Wetland Plants and Use of Ornamental Flowering Plants in Constructed Wetlands for Wastewater Treatment: A Review" Applied Sciences 9, no. 4: 685. https://doi.org/10.3390/app9040685
APA StyleSandoval, L., Zamora-Castro, S. A., Vidal-Álvarez, M., & Marín-Muñiz, J. L. (2019). Role of Wetland Plants and Use of Ornamental Flowering Plants in Constructed Wetlands for Wastewater Treatment: A Review. Applied Sciences, 9(4), 685. https://doi.org/10.3390/app9040685
