Soil-Gas Concentrations and Flux Monitoring at the Lacq-Rousse CO2-Geological Storage Pilot Site (French Pyrenean Foreland): From Pre-Injection to Post-Injection
Abstract
1. Introduction
2. Monitoring Protocols and Methods
2.1. Defining the Monitoring Area
- Six baseline measurement campaigns, from September 2008 to December 2009, were done quarterly as required by the MMV plan, including the September 2008 campaign that was initially designed to select the monitoring locations and thus is only partially included in the database used for defining baseline values.
- Measurements during the CO2 injection period (January 2010 to March 2013) were set by the site operator at two sessions per year, one at the end of fall and the other at the end of winter. Seven campaigns, referred to as “low season” campaigns, were carried out during this phase. In order to complete the dataset, other data acquisitions—not required by French law—maintained the quarterly frequency of data acquisitions. Funding for these two additional campaigns was obtained from a related research project, leading to four additional “high season” campaigns in spring and summer.
- Finally, post-injection monitoring (March 2013 to December 2015) was restricted to “low season” data acquisitions performed three times as required by French law.
2.2. Choices of the Methods: What has Been Done and What has Not
- The monitoring of temperature, pressure and radon activity time changes (and not CO2) at one location (Point 24, Figure 1). Nowadays, under a cost/benefit approach, the use of such continuous monitoring systems is more developed [42] but these systems were only in use by the research groups who developed them in 2007/2008 [43].
- The monitoring of the atmosphere was done at one location (point 16A; Figure 1) by the eddy-covariance technique or by passive-infrared remote sensing [31,44,45]. Although the eddy-covariance technique was robust in the 2000s, the radius of the monitored area (1 to 2 km with a 10 m height pole) would have implied deploying numerous devices in order to monitor the entire 35 km². A single eddy-covariance system cannot detect leakage in an area it does not cover, or where the wind direction is not oriented toward the detection system. The use of such systems to locate leaks within a pre-defined surveillance area is of more recent application, relying on data from risk assessment of the plausible location of leaks [46]. The passive-infrared remote sensing system showed that the CO2 gas concentration in the atmosphere close to the RSE-1 pad was influenced mostly by photosynthetic processes and by particular wind dynamics.
2.3. Soil-Gas Concentrations
2.4. Soil-Gas Flux
2.5. Other Field Measurements
2.6. Laboratory Analyses
2.7. Regulatory Aspects
2.7.1. Regulations Governing Baseline Monitoring
2.7.2. Regulations Governing Injection Monitoring
- “Vigilance” mode (M + 2σ): This mode is activated if 5 different locations of the 35 show CO2-gas concentrations >5.4% vol. and CO2 fluxes >7.4 cm3·min−1·m−2. When this happens, the measurements are repeated to check if the threshold levels are permanently exceeded or not. The regulations did not provide for repeating the measurements, and repeat measurements were scheduled to be done during a different part of the day than the first one. If a vigilance situation occurred in the morning, the measurement was repeated during the afternoon or the day after if necessary, and if it happened during the afternoon, the repeat took place the day after. As concentration and flux are likely to vary throughout the day, measuring at different times may show whether the CO2 contribution is variable over time—probably indicating a near-surface origin—or not, and thus potentially indicating another contributing endmember.
- “Anomaly” mode (M + 3σ): This mode is activated if 5 different locations of the 35 show CO2 gas concentrations >7.3% vol. and CO2 fluxes >9.5 cm3·min−1·m−2. Another configuration that may indicate massive leakage, is if 1 location shows a CO2 concentration >50% vol. or if the CO2 flux is >100 cm3·min−1·m−2. Regardless of how the “anomaly” mode is reached, the measurements are repeated, to check the durability of the gas signals. A soil-gas sample is also taken for laboratory measurement of the δ13C isotope ratio of the CO2. A target value of −33.6‰ was calculated as a reference, corresponding to the mean value between the mean δ13C isotope ratio measured in the soil in 2008 and 2009, and the δ13C isotope ratio of the CH4 produced by the Lacq natural gas field. This carbon-13 isotope ratio has no regulatory significance and as the δ13C isotope ratio is measured in the laboratory, there may be a delay in knowing that the threshold was exceeded. If the values are confirmed, more measurements are made at neighbouring monitoring points to determine if the CO2-level increase is confined to a small area (where the anomaly is defined), or if the increase occurs at a wider geographic scale suggesting a leak from the reservoir.
- “Normal” mode: None of the above defined threshold levels is reached.
2.7.3. Regulations Governing Post-Injection Monitoring
3. Results
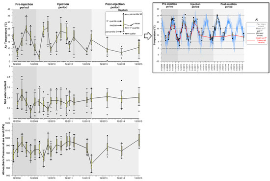
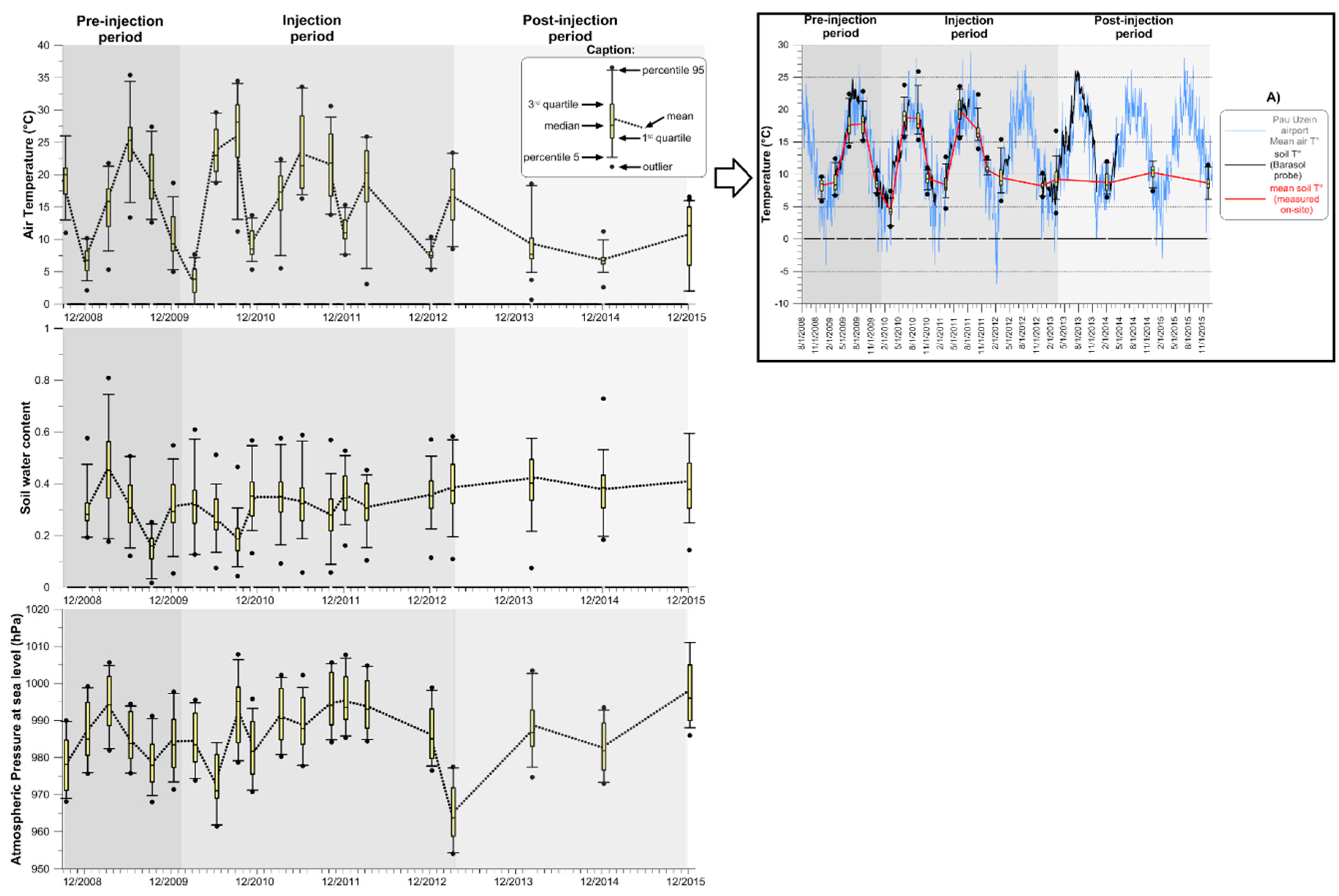
3.1. Influences of Meteorological Parameters (Temperature, Atmospheric Pressure, Rainfall)
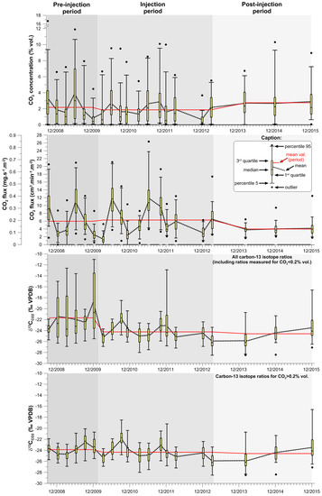
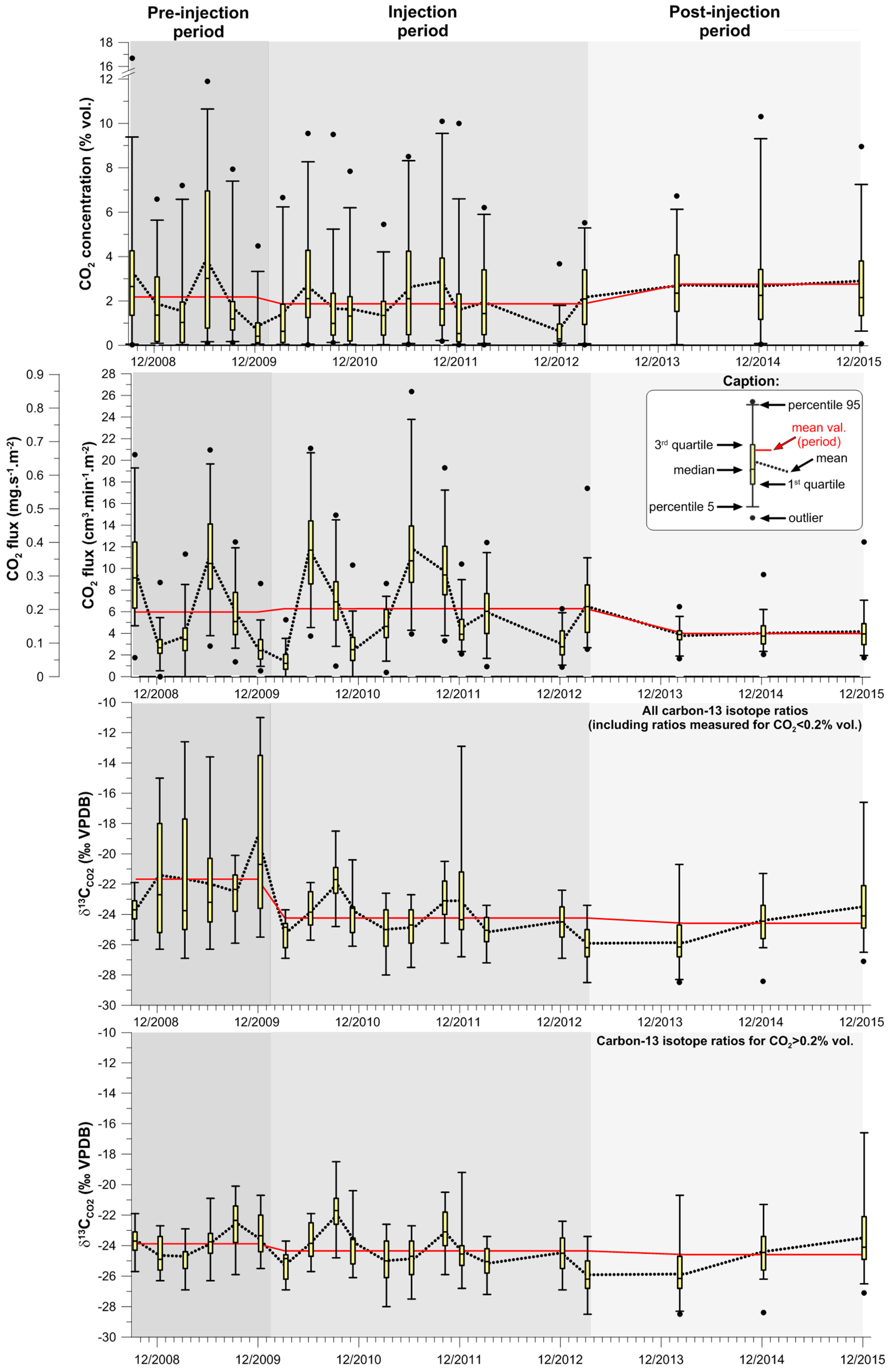
3.2. Soil Gas Concentrations—Spot Data
3.3. CH4 and CO2 Gas Flux
3.4. Carbon-Isotope Ratios of Soil-Gas CO2 (δ13CCO2)
4. Discussion
4.1. Relations between Parameters
4.1.1. Influences of Temperature, Pressure and Soil Water Content
4.1.2. Relationships between Gas Species
4.1.3. Carbon Isotope Ratios (δ13CCO2)
4.2. General Discussion
4.2.1. Monitoring Strategy—The Aims
4.2.2. Monitoring Strategy—Ways of Improvement
4.2.3. Are Baseline Acquisitions Important?
4.2.4. Are Threshold Levels Required?
5. Conclusions
Author Contributions
Funding
Conflicts of Interest
References
- Benson, S.M.; Dorchak, T.; Jacobs, G.; Ekmann, J.; Bishop, J.; Grahame, T. Carbon Dioxide Reuse and Sequestration: The State of the Art Today. 2000. Available online: http://escholarship.org/uc/item/30f3r8sf (accessed on 14 April 2017).
- Gentzis, T. Subsurface sequestration of carbon dioxide—An overview from an Alberta Canada perspective. Int. J. Coal Geol. 2000, 43, 287–305. [Google Scholar] [CrossRef]
- Bachu, S.; Gunter, W.D. Storage capacity of CO2 in geological media in sedimentary basins with application to the Alberta basin. In Greenhouse Gas Control Technologies; Riemer, P., Eliasson, B., Wokaun, A., Eds.; Elsevier: Amsterdam, The Netherlands, 1999; pp. 195–200. [Google Scholar]
- Chen, Z.; Huang, G.H.; Chakma, A.; Tontiwachwuthikul, P. Environmental risk assessment for aquifer disposal of carbon dioxide. In Greenhouse Gas Control Technologies; Riemer, P., Eliasson, B., Wokaun, A., Eds.; Elsevier: Amsterdam, The Netherlands, 1999; pp. 223–228. [Google Scholar]
- Kaarstad, O. Emission-free fossil energy from Norway. Energy Convers. Manag. 1992, 33, 781–786. [Google Scholar] [CrossRef]
- Korbol, R.; Kaddour, A. Sleipner Vest CO2 disposal—Injection of removed CO2 into the Utsira Formation. Energy Convers. Manag. 1995, 36, 509–512. [Google Scholar] [CrossRef]
- Gupta, N.; Sass, B.; Sminchak, J.; Naymik, T.; Bergman, P. Hydrodynamics of CO2 disposal in a deep saline formation in the midwestern United States. In Greenhouse Gas Control Technologies; Riemer, P., Eliasson, B., Wokaun, A., Eds.; Elsevier: Amsterdam, The Netherlands, 1999; pp. 157–162. [Google Scholar]
- Bachu, S.; Brulotte, M.; Grobe, M.; Stewart, S. Suitability of the Alberta Subsurface for Carbon-Dioxide Sequestration in Geological Media, Alberta Energy and Utilities Board and Alberta Geological Survey; Earth Sciences Report 00-11; Alberta Geological Survey: Edmonton, AB, Canada, 2000.
- Barnhart, W.; Coulthard, C. Weyburn CO2 miscible flood conceptual design and risk assessment. Pet. Soc. Can. 1999. [Google Scholar] [CrossRef]
- Hattenbach, R.P.; Wilson, M.; Brown, K.R. Capture of carbon dioxide from coal combustion and its utilization for enhanced oil recovery. In Greenhouse Gas Control Technologies; Riemer, P., Eliasson, B., Wokaun, A., Eds.; Elsevier: Amsterdam, The Netherlands, 1999; pp. 217–222. [Google Scholar]
- Byrer, C.W.; Guthrie, H.D. Coal deposits: Potential geological sink for sequestering carbon dioxide emissions from power plants. In Greenhouse Gas Control Technologies; Riemer, P., Eliasson, B., Wokaun, A., Eds.; Elsevier: Amsterdam, The Netherlands, 1999; pp. 181–187. [Google Scholar]
- Stevens, S.H.; Kuuskraa, V.A.; Spector, D.; Riemer, P. CO2 sequestration in deep coal seems: Pilot results and worldwide potential. In Greenhouse Gas Control Technologies; Riemer, P., Eliasson, B., Wokaun, A., Eds.; Elsevier: Amsterdam, The Netherlands, 1999; pp. 175–180. [Google Scholar]
- Riemer, P. Greenhouse gas mitigation technologies, an overview of the CO2 capture, storage and future – Activities of the IEA Greenhouse Gas R&D Programme. Energy Convers. Manag. 1996, 37, 665–670. [Google Scholar]
- Herzog, H.J. Ocean sequestration of CO2—An overview. In Greenhouse Gas Control Technologies; Riemer, P., Eliasson, B., Wokaun, A., Eds.; Elsevier: Amsterdam, The Netherlands, 1999; pp. 237–242. [Google Scholar]
- Herzog, H.J. What future for Carbon Capture and Sequestration? Environ. Sci. Technol. 2001, 35, 148–153. [Google Scholar] [CrossRef]
- IEAGHG Database. Available online: http://www.ieaghg.org/ccs-resources/rd-database (accessed on 14 April 2017).
- Herzog, H.J. Lessons Learned from CCS Demonstration and Large Pilot Projects. An MIT Energy Initiative Working Paper 2016. Available online: https://sequestration.mit.edu/bibliography/CCS%20Demos.pdf (accessed on 16 October 2017).
- Jenkins, C.; Chadwick, A.; Hovorka, S. The state of the art in monitoring and verification—Ten years on. Int. J. Greenh. Gas Control 2015, 40, 312–349. [Google Scholar] [CrossRef]
- Lupion, M.; Diego, R.; Loubeau, L.; Navarrete, B. CIUDEN CCS Project: Status of the CO2 capture technology development plant in power generation, GHGT-10. Energy Procedia 2011, 4, 5639–5646. [Google Scholar] [CrossRef]
- Flett, M.; Brantjes, J.; Gurton, R.; McKenna, J.; Tankersley, T.; Trupp, M. Subsurface development of CO2 disposal for the Gorgon Project, GHGT-9. Energy Procedia 2009, 1, 3031–3038. [Google Scholar] [CrossRef]
- Wildenborg, T.; Bentham, M.; Chadwick, A.; David, P.; Deflandre, J.P.; Dillen, M.; Groenenberg, H.; Kirk, K.; Le Gallo, Y. Large-scale CO2 injection demos for the development of monitoring and verification technology and guidelines (CO2ReMoVe), GHGT-9. Energy Procedia 2009, 1, 2367–2374. [Google Scholar] [CrossRef]
- Eiken, O.; Ringrose, P.; Hermanrud, C.; Nazarian, B.; Torp, T.A.; Høier, L. Lessons learned from 14 years of CCS operations: Sleipner, In Salah and Snøhvit, GHGT-10. Energy Procedia 2011, 4, 5541–5548. [Google Scholar] [CrossRef]
- Lescanne, M.; Hy-Billiot, J.; Aimard, N.; Prinet, C. The site monitoring of the Lacq industrial CCS reference project, GHGT-10. Energy Procedia 2011, 4, 3518–3525. [Google Scholar] [CrossRef]
- Sharma, S.; Cook, P.; Berly, T.; Lees, M. The CO2CRC Otway Project: Overcoming challenges from planning to execution of Australia’s first CCS project, GHGT-9. Energy Procedia 2009, 1, 1965–1972. [Google Scholar] [CrossRef]
- Preston, C.; Monea, M.; Jazrawi, W.; Brown, K.; Whittaker, S.; White, D.; Law, D.; Chalaturnyk, R.; Rostron, B. IEA GHG Weyburn CO2 monitoring and storage project. Fuel Process. Technol. 2005, 86, 1547–1568. [Google Scholar]
- Carbon Capture and Sequestration Technologies Program at MIT. Available online: https://sequestration.mit.edu/index.html (accessed on 21 October 2018).
- Feitz, A.J.; Leamon, G.; Jenkins, C.; Jones, D.G.; Moreira, A.; Bressan, L.; Melo, C.; Dobeck, L.M.; Repasky, K.; Spangler, L.H. Looking for leakage or monitoring for public assurance? Energy Procedia 2014, 63, 3881–3890. [Google Scholar] [CrossRef]
- Monne, J.; Prinet, C. Rousse-Lacq Industrial CCS reference project: Description and operational feedback after two and half years of operation, GHGT-11. Energy Procedia 2013, 37, 6444–6457. [Google Scholar] [CrossRef]
- French Mining Code. Available online: www.legifrance.gouv.fr/affichCode.do?cidTexte=LEGITEXT000023501962&dateTexte=20110511 (accessed on 16 October 2017).
- Environmental Protection Code. Available online: www.legifrance.gouv.fr/affichCode.do?cidTexte=LEGITEXT000006074220 (accessed on 16 October 2017).
- TOTAL. Carbon Capture and Storage: The Lacq Pilot. Project and Injection Period 2006–2013. Available online: https://www.globalccsinstitute.com/publications/carbon-capture-and-storage-lacq-pilot-project-and-injection-period-2006-2013 (accessed on 16 October 2017).
- Prinet, C.; Thibeau, S.; Lescanne, M.; Monne, J. Lacq-Rousse CO2 Capture and Storage demonstration pilot: Lessons learnt from two and a half years monitoring, GHGT-11. Energy Procedia 2013, 37, 3610–3620. [Google Scholar] [CrossRef]
- Gapillou, C.; Thibeau, S.; Mouronval, G.; Lescanne, M. Building a geocellular model of the sedimentary column at Rousse CO2 geological storage site (Aquitaine, France) as a tool to evaluate a theoretical maximum injection pressure, GHGT9. Energy Procedia 2009, 1, 2937–2944. [Google Scholar] [CrossRef]
- Thibeau, S.; Chiquet, P.; Prinet, C.; Lescanne, M. Rousse-Lacq CO2 Capture and Storage demonstration pilot: Lessons learnt from reservoir modelling studies, GHGT-11. Energy Procedia 2013, 37, 6306–6316. [Google Scholar] [CrossRef]
- Gal, F.; Michel, K.; Pokryszka, Z.; Lafortune, S.; Garcia, B.; Rouchon, V.; de Donato, P.; Pironon, J.; Barrès, O.; Taquet, N.; et al. Study of the environmental variability of gaseous emanations over a CO2 injection pilot—Application to the French Pyrenean foreland. Int. J. Greenh. Gas Control 2014, 21, 177–190. [Google Scholar] [CrossRef]
- Feitz, A.; Jenkins, C.; Schacht, U.; McGrath, A.; Berko, H.; Schroder, I.; Noble, R.; Kuske, T.; George, S.; Heath, C.; et al. An assessment of near surface CO2 leakage detection techniques under Australian conditions. Energy Procedia 2014, 63, 3891–3906. [Google Scholar] [CrossRef]
- Schloemer, S.; Furche, M.; Dumke, I.; Poggenburg, J.; Bahr, A.; Seeger, C.; Vidal, A.; Faber, E. A review of continuous soil gas monitoring related to CCS—Technical advances and lessons learned. Appl. Geochem. 2013, 30, 148–160. [Google Scholar] [CrossRef]
- Ha-Duong, M.; Gaultier, M.; De Guillebon, B. Social aspects of Total’s Lacq CO2 capture, transport and storage pilot project. In Proceedings of the 10th International Conference on Greenhouse Gas Control Technologies GHGT-10, Amsterdam, The Netherlands, 19–23 September 2010. [Google Scholar]
- Boyd, A.D.; Hmielowski, J.D.; Prabu, D. Public perceptions of carbon capture and storage in Canada: Results of a national survey. Int. J. Greenh. Gas Control 2017, 67, 1–9. [Google Scholar] [CrossRef]
- Pokryszka, Z.; Charmoille, A.; Bentivegna, G. Development of methods for gaseous phase geochemical monitoring on the surface and in the intermediate overburden strata of geological CO2 storage sites. Oil Gas Sci. Technol. 2010, 65, 653–666. [Google Scholar] [CrossRef]
- Spangler, L.H.; Dobeck, L.M.; Repasky, K.S.; Nehrir, A.R.; Humphries, S.D.; Barr, J.L.; Keith, C.J.; Shaw, J.A.; Rouse, J.H.; Cunningham, A.B.; et al. A shallow subsurface controlled release facility in Bozeman, Montana, USA, for testing near surface CO2 detection techniques and transport models. Environ. Earth Sci. 2010, 60, 227–239. [Google Scholar] [CrossRef]
- Jones, D.; Barlow, T.; Barkwith, A.; Hannis, S.; Lister, T.; Strutt, M.; Beaubien, S.; Bellomo, T.; Annunziatellis, A.; Graziani, S.; et al. Baseline variability in onshore near surface gases and implications for monitoring at CO2 storage sites, GHGT12. Energy Procedia 2014, 63, 4155–4162. [Google Scholar] [CrossRef]
- Carapezza, M.L.; Ricci, T.; Ranaldi, M.; Tarchini, L. Active degassing structures of Stromboli and variations in diffuse CO2 output related to the volcanic activity. J. Volcanol. Geotherm. Res. 2009, 182, 231–245. [Google Scholar] [CrossRef]
- De Donato, P.; Pironon, J.; Mouronval, G.; Hy-Billiot, J.; Lescanne, M.; Garcia, B.; Lucas, H.; Pokryszka, Z.; Lafortune, S.; Flamant, P.H.; et al. SENTINELLE: Research project on development of combined geochemical monitoring from geosphere to atmosphere. In Proceedings of the Experimentation on the site of Rousse (TOTAL CCS Pilot), GHGT-10, Amsterdam, The Netherlands, 19–23 September 2010. [Google Scholar]
- Taquet, N. Monitoring géochimique de la géosphère et de l’atmosphère: Application au stockage géologique du CO2. Ph.D. Thesis, University of Lorraine, Lorraine, France, 2012. [Google Scholar]
- Jenkins, C.; Kuske, T.; Zegelin, S. Simple and effective atmospheric monitoring for CO2 leakage. Int. J. Greenh. Gas Control 2016, 46, 158–174. [Google Scholar] [CrossRef]
- Tauziède, C.; Pokryszka, Z.; Jodart, A. Measurement of the Gas Flux from a Surface. European Patent EP 0 807 822 B1, 5 September 2001. [Google Scholar]
- Pokryszka, Z.; Tauziède, C. Evaluation of gas emission from closed mines surface to atmosphere. In Environmental Issues and Management Waste in Energy and Mineral Production; Balkema: Rotterdam, The Netherlands, 2000; pp. 327–329. ISBN 9789058090850. [Google Scholar]
- Toutain, J.P.; Baubron, J.C. Gas geochemistry and seismotectonics: A review. Tectonophysics 1999, 304, 1–27. [Google Scholar] [CrossRef]
- Kiefer, R.H.; Amey, R.G. Concentrations and controls of soil carbon dioxide in sandy soil in the North Carolina coastal plain. Catena 1992, 19, 539–559. [Google Scholar] [CrossRef]
- Raich, J.W.; Schlesinger, W.H. The global carbon dioxide flux in soil respiration and its relationship with vegetation and climate. Tellus 1992, 44B, 81–99. [Google Scholar] [CrossRef]
- Hinkle, M.E. Environmental conditions affecting concentrations of He, CO2, O2 and N2 in soil gases. Appl. Geochem. 1994, 9, 53–63. [Google Scholar] [CrossRef]
- Koerner, B.; Klopatek, J. Anthropogenic and natural CO2 emission sources in an arid urban environment. Environ. Pollut. 2002, 116, S45–S51. [Google Scholar] [CrossRef]
- Jassal, R.; Black, A.; Novak, M.; Morgenstern, K.; Nesic, Z.; Gaumont-Guay, D. Relationship between soil CO2 concentrations and forest-floor CO2 effluxes. Agric. For. Meteorol. 2005, 130, 176–192. [Google Scholar] [CrossRef]
- Klusman, R.W. Baseline studies of surface gas exchange and soil-gas composition in preparation for CO2 sequestration research: Teapot Dome, Wyoming. AAPG Bull. 2005, 89, 981–1003. [Google Scholar] [CrossRef]
- von Arnold, K.; Weslien, P.; Nilsson, M.; Svensson, B.H.; Klemedtsson, L. Fluxes of CO2, CH4 and N2O from drained coniferous forests on organic soils. For. Ecol. Manag. 2005, 210, 239–254. [Google Scholar] [CrossRef]
- Romanak, K.D.; Sherk, G.W.; Hovorka, S.D.; Yang, C. Assessment of alleged CO2 leakage at the Kerr farm using a simple process-based soil gas technique: Implications for carbon capture, utilization, and storage (CCUS) monitoring, GHGT-11. Energy Procedia 2013, 37, 4242–4248. [Google Scholar] [CrossRef]
- Romanak, K.D.; Wolaver, B.; Yang, C.; Sherk, G.W.; Dale, J.; Dobeck, L.M.; Spangler, L.H. Process-based soil gas leakage assessment at the Kerr Farm: Comparison of results to leakage proxies at ZERT and Mt. Etna. Int. J. Greenh. Gas Control 2014, 30, 42–57. [Google Scholar] [CrossRef]
- Romanak, K.D.; Bennett, P.C.; Yang, C.; Hovorka, S.D. Process-based approach to CO2 leakage detection by vadose zone gas monitoring at geologic CO2 storage sites. Geophys. Res. Lett. 2012, 39, L15405. [Google Scholar] [CrossRef]
- Gal, F.; Joublin, F.; Haas, H.; Jean-Prost, V.; Ruffier, V. Soil gas (222Rn, CO2, 4He) behaviour over a natural CO2 accumulation, Montmiral area (Drôme, France): Geographical, geological and temporal relationships. J. Environ. Radiat. 2011, 102, 107–118. [Google Scholar] [CrossRef]
- Gal, F.; Le Pierrès, K.; Brach, M.; Braibant, G.; Bény, C.; Battani, A.; Tocqué, E.; Benoît, Y.; Jeandel, E.; Pokryszka, Z.; et al. Surface gas geochemistry above the natural CO2 reservoir of Montmiral (Drôme-France), source tracking and gas exchange between soil, biosphere and atmosphere. Oil Gas Sci. Technol. 2010, 65, 635–652. [Google Scholar] [CrossRef]
- Pokryszka, Z. Reference Values of Naturally Occurring Biogenic CO2 and CH4 Fluxes from Soils, Ineris Study Report DRS-17-164646-05731A. 2017. Available online: https://www.ineris.fr (accessed on 13 March 2018).
- Gregory, R.G.; Durrance, E.M. Helium, carbon dioxide and oxygen soil gases: Small-scale variations over fractured ground. J. Geochem. Explor. 1985, 24, 29–49. [Google Scholar] [CrossRef]
- Born, M.; Dörr, H.; Levin, I. Methane consumption in aerated soils of the temperate zone. Tellus 1990, 42B, 2–8. [Google Scholar] [CrossRef]
- Le Mer, J.; Roger, P. Production, oxidation, emission and consumption of methane by soils: A review. Eur. J. Soil Biol. 2001, 37, 25–50. [Google Scholar] [CrossRef]
- Etiope, G. Subsoil CO2 and CH4 and their advective transfer from faulted grassland to the atmosphere. J. Geophys. Res. 1999, 104, 16889–16894. [Google Scholar] [CrossRef]
- Garcia, B.; Hy-Billiot, J.; Rouchon, V.; Mouronval, G.; Lescanne, M.; Lachet, V.; Aimard, N. A geochemical approach for monitoring a CO2 Pilot Site: Rousse, France. A major gases, CO2-carbon isotopes and noble gases combined approach. Oil Gas Sci. Technol. 2012, 67, 341–353. [Google Scholar] [CrossRef]
- Etiope, G.; Martinelli, G. Migration of carrier and trace gases in the geosphere: An overview. Phys. Earth Planet. Inter. 2002, 129, 185–204. [Google Scholar] [CrossRef]
- Etiope, G.; Klusman, R.W. Geologic emissions of methane to the atmosphere. Chemosphere 2002, 49, 777–789. [Google Scholar] [CrossRef]
- Garcia, B. A geochemical approach for monitoring a CO2 pilot site—Rousse, France. In Proceedings of the EAGE Meeting “Sustainable Earth Sciences 2013”, Pau, France, 30 September–4 October 2013. [Google Scholar]
- Amundson, R.; Stern, L.; Baisden, T.; Wang, Y. The isotopic composition of soil and soil respired CO2. Geoderma 1998, 82, 83–114. [Google Scholar] [CrossRef]
- Deines, P.; Langmuir, D.; Harmon, R.S. Stable carbon isotope ratios and the existence of a gas phase in the evolution of carbonate ground waters. Geochim. Cosmochim. Acta 1974, 38, 1147–1164. [Google Scholar] [CrossRef]
- Cerling, T.E. The stable isotopic composition of modern soil carbonate and its relationship to climate. Earth Planet. Sci. Lett. 1984, 71, 229–240. [Google Scholar] [CrossRef]
- Bakalowicz, M. Contribution de la géochimie des eaux à la connaissance de l’aquifère karstique et de la karstification. Ph.D. Thesis, Université Paris VI, Paris, France, 1979; 269p. [Google Scholar]
- Flude, S.; Györe, D.; Stuart, F.M.; Zurakowska, M.; Boyce, A.J.; Haszeldine, R.S.; Chalaturnyk, R.; Gilfillan, S.M.V. The inherent tracer fingerprint of captured CO2. Int. J. Greenh. Gas Control 2017, 65, 40–54. [Google Scholar] [CrossRef]
- Viveiros, F.; Cardellini, C.; Ferreira, T.; Caliro, S.; Chiodini, G.; Silva, C. Soil CO2 emissions at Furnas volcano, São Miguel Island, Azores archipelago: Volcano monitoring perspectives, geomorphologic studies, and land use planning application. J. Geophys. Res. 2010, 115, B12208. [Google Scholar] [CrossRef]
- Isotopic Data Gallery. Available online: http://scrippsco2.ucsd.edu/graphics_gallery/isotopic_data (accessed on 3 December 2018).
- Mayer, B.; Humez, P.; Becker, V.; Dalkhaa, C.; Rock, L.; Myrttinen, A.; Barth, J.A.C. Assessing the usefulness of the isotopic composition of CO2 for leakage monitoring at CO2 storage sites: A review. Int. J. Greenh. Gas Control 2015, 37, 46–60. [Google Scholar] [CrossRef]
- Gerlach, T.M.; Taylor, B.E. Carbon isotope constraints on degassing of carbon dioxide from Kilauea Volcano. Geochim. Cosmochim. Acta 1990, 54, 2051–2058. [Google Scholar] [CrossRef]
- May, F.; Waldmann, S. Tasks and challenges of geochemical monitoring. Greenh. Gas Sci. Technol. 2014, 4, 176–190. [Google Scholar] [CrossRef]
- Klusman, R.W. Comparison of surface and near-surface geochemical methods for detection of gas microseepage from carbon dioxide sequestration—Review. Int. J. Greenh. Gas Control 2011, 5, 1369–1392. [Google Scholar] [CrossRef]
- Jones, D.G.; Beaubien, S.E.; Blackford, J.C.; Foekema, E.M.; Lions, J.; De Vittor, C.; West, J.M.; Widdicombe, S.; Hauton, C.; Queirós, A.M. Developments since 2005 in understanding potential environmental impacts of CO2 leakage from geological storage. Int. J. Greenh. Gas Control 2015, 40, 350–377. [Google Scholar] [CrossRef]
- Beaubien, S.E.; Ruggiero, L.; Annunziatellis, A.; Bigi, S.; Ciotoli, G.; Deiana, P.; Graziani, S.; Lombardi, S.; Tartarello, M.C. The importance of baseline surveys of near-surface gas geochemistry for CCS monitoring, as shown from onshore case studies in northern and southern Europe. Oil Gas Sci. Technol. 2015, 70, 615–633. [Google Scholar] [CrossRef]
- Beaubien, S.E.; Jones, D.G.; Gal, F.; Barkwith, A.K.A.P.; Braibant, G.; Baubron, J.C.; Cardellini, C.; Ciotoli, G.; Graziani, S.; Lister, T.R.; et al. Monitoring of near-surface gas geochemistry at the Weyburn, Canada, CO2-EOR site, 2001-2011. Int. J. Greenh. Gas Control 2013, 16S, S236–S262. [Google Scholar] [CrossRef]
- Dixon, T.; Romanak, K.D. Improving monitoring protocols for CO2 geological storage with technical advances in CO2 attribution monitoring. Int. J. Greenh. Gas Control 2015, 41, 29–40. [Google Scholar] [CrossRef]
- Anderson, J.S.; Romanak, K.D.; Yang, C.; Lu, J.; Hovorka, S.D.; Young, M.H. Gas source attribution techniques for assessing leakage at geologic CO2 storage sites: Evaluating a CO2 and CH4 soil gas anomaly at the Cranfield CO2-EOR site. Chem. Geol. 2017, 454, 93–104. [Google Scholar] [CrossRef]
- Llauro, G.; Toutain, J.P.; Desfours, J.P.; Dupuy, C.; Baubron, J.C. A new device for monitoring of spring gases: Laboratory tests and in-situ validation at Pyrenean Eaux Chaudes spring. Sep. Purif. Technol. 2001, 21, 279–283. [Google Scholar] [CrossRef]
- Jenkins, C.R.; Cook, P.J.; Ennis-King, J.; Undershultz, J.; Boreham, C.; Dance, T.; de Caritat, P.; Etheridge, D.M.; Freifeld, B.M.; Hortle, A.; et al. Safe storage and effective monitoring of CO2 in depleted gas fields. PNAS 2012, 109, E35–E41. [Google Scholar] [CrossRef] [PubMed]
- Braun, C. Not in My Backyard: CCS sites and public perception of CCS. Risk Anal. 2017, 37, 2264–2275. [Google Scholar] [CrossRef] [PubMed]
- Pourtoy, D.; Onaisi, A.; Lescanne, M.; Thibeau, S.; Viaud, C. Seal integrity of the Rousse depleted gas field impacted by CO2 injection (Lacq industrial CCS reference project France). Energy Procedia 2013, 37, 5480–5493. [Google Scholar] [CrossRef]
- Flude, S.; Johnson, G.; Gilfillan, S.M.V.; Haszeldine, R.S. Inherent tracers for carbon capture and storage in sedimentary formations: Composition and applications. Environ. Sci. Technol. 2016, 50, 7939–7955. [Google Scholar] [CrossRef]
- Ehleringer, J.R.; Sage, R.F.; Flanagan, L.B.; Pearcy, R.W. Climate change and the evolution of C4 photosynthesis. Trends Ecol. Evol. 1991, 6, 95–99. [Google Scholar] [CrossRef]
- Chiodini, G.; Cioni, R.; Guidi, M.; Raco, B.; Marini, L. Soil CO2 flux measurements in volcanic and geothermal areas. Appl. Geochem. 1998, 13, 543–552. [Google Scholar] [CrossRef]
- Cardellini, C.; Chiodini, G.; Frondini, F. Application of stochastic simulation to CO2 flux from soil: Mapping and quantification of gas release. J. Geophys. Res. 2003, 108, 2425. [Google Scholar] [CrossRef]








© 2019 by the authors. Licensee MDPI, Basel, Switzerland. This article is an open access article distributed under the terms and conditions of the Creative Commons Attribution (CC BY) license (http://creativecommons.org/licenses/by/4.0/).
Share and Cite
Gal, F.; Pokryszka, Z.; Labat, N.; Michel, K.; Lafortune, S.; Marblé, A. Soil-Gas Concentrations and Flux Monitoring at the Lacq-Rousse CO2-Geological Storage Pilot Site (French Pyrenean Foreland): From Pre-Injection to Post-Injection. Appl. Sci. 2019, 9, 645. https://doi.org/10.3390/app9040645
Gal F, Pokryszka Z, Labat N, Michel K, Lafortune S, Marblé A. Soil-Gas Concentrations and Flux Monitoring at the Lacq-Rousse CO2-Geological Storage Pilot Site (French Pyrenean Foreland): From Pre-Injection to Post-Injection. Applied Sciences. 2019; 9(4):645. https://doi.org/10.3390/app9040645
Chicago/Turabian StyleGal, Frédérick, Zbigniew Pokryszka, Nadège Labat, Karine Michel, Stéphane Lafortune, and André Marblé. 2019. "Soil-Gas Concentrations and Flux Monitoring at the Lacq-Rousse CO2-Geological Storage Pilot Site (French Pyrenean Foreland): From Pre-Injection to Post-Injection" Applied Sciences 9, no. 4: 645. https://doi.org/10.3390/app9040645
APA StyleGal, F., Pokryszka, Z., Labat, N., Michel, K., Lafortune, S., & Marblé, A. (2019). Soil-Gas Concentrations and Flux Monitoring at the Lacq-Rousse CO2-Geological Storage Pilot Site (French Pyrenean Foreland): From Pre-Injection to Post-Injection. Applied Sciences, 9(4), 645. https://doi.org/10.3390/app9040645

