Design of a Liquid-Crystal-Tunable Terahertz Demultiplexer Based on a Metal-Insulator-Metal Waveguide
Abstract
1. Introduction
2. Theoretical Basis
3. Analysis and Results
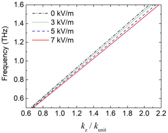
3.1. MIM Waveguide with Only the Main Channel
3.2. Demultiplexer Formed by the MIM Waveguide with Multiple Output Channels
4. Conclusions
Author Contributions
Funding
Conflicts of Interest
Appendix A
| Parameters | E = 0 kV/m | E = 3 kV/m | E = 5 kV/m | E = 7 kV/m |
|---|---|---|---|---|
| k0,0 | 1.61 | 1.64 | 1.67 | 1.69 |
| k1,0 | 1.51 × 10−1 | 3.48 × 10−2 | 1.18 × 10−2 | 2.35 × 10−2 |
| k2,0 | −3.66 × 10−1 | −8.00 × 10−2 | −2.48 × 10−2 | −7.55 × 10−3 |
| k3,0 | 3.05 × 10−1 | 3.85 × 10−2 | 5.59 × 10−3 | −2.53 × 10−2 |
| k4,0 | −1.06 × 10−1 | −1.54 × 10−3 | 5.00 × 10−3 | 1.93 × 10−2 |
| k5,0 | 1.34 × 10−2 | −1.45 × 10−3 | −1.66 × 10−3 | −3.73 × 10−3 |
| Parameters | E = 0 kV/m | E = 3 kV/m | E = 5 kV/m | E = 7 kV/m |
|---|---|---|---|---|
| h0,0 | 7.50 × 101 | 3.51 × 102 | 2.11 × 102 | −2.38 × 101 |
| h1,0 | −2.29 × 103 | −8.81 × 103 | −5.41 × 103 | 3.37 × 102 |
| h2,0 | 2.92 × 104 | 9.56 × 104 | 5.96 × 104 | −1.29 × 103 |
| h3,0 | −2.09 × 105 | −5.96 × 105 | −3.75 × 105 | −4.85 × 103 |
| h4,0 | 9.38 × 105 | 2.39 × 106 | 1.52 × 106 | 6.04 × 104 |
| h5,0 | −2.83 × 106 | −6.59 × 106 | −4.17 × 106 | −2.46 × 105 |
| h6,0 | 5.98 × 106 | 1.29 × 107 | 8.12 × 106 | 5.79 × 105 |
| h7,0 | −9.10 × 106 | −1.84 × 107 | −1.15 × 107 | −8.94 × 105 |
| h8,0 | 1.02 × 107 | 1.94 × 107 | 1.19 × 107 | 9.62 × 105 |
| h9,0 | −8.43 × 106 | −1.54 × 107 | −9.25 × 106 | −7.42 × 105 |
| h10,0 | 5.20 × 106 | 9.09 × 106 | 5.34 × 106 | 4.16 × 105 |
| h11,0 | −2.38 × 106 | −4.00 × 106 | −2.28 × 106 | −1.69 × 105 |
| h12,0 | 7.95 × 105 | 1.29 × 106 | 7.09 × 105 | 4.94 × 104 |
| h13,0 | −1.88 × 105 | −2.96 × 105 | −1.55 × 105 | −1.01 × 104 |
| h14,0 | 3.00 × 104 | 4.56 × 104 | 2.27 × 104 | 1.35 × 103 |
| h15,0 | −2.87 × 103 | −4.24 × 103 | −1.97 × 103 | −1.07 × 102 |
| h16,0 | 1.25 × 102 | 1.79 × 102 | 7.68 × 101 | 3.74 |
References
- Ma, J.J.; Karl, N.J.; Bretin, S.; Ducournau, G.; Mittleman, D.M. Frequency-division multiplexer and demultiplexer for terahertz wireless links. Nat. Commun. 2017, 8, 729. [Google Scholar] [CrossRef] [PubMed]
- Li, S.P.; Liu, H.J.; Sun, Q.B.; Huang, N. Multi-channel terahertz wavelength division demultiplexer with defects-coupled photonic crystal waveguide. J. Mod. Opt. 2016, 63, 955–960. [Google Scholar] [CrossRef]
- Zhang, X.L.; Wang, X.B.; Chan, C.T. Switching terahertz waves using exceptional points. Phys. Rev. Appl. 2018, 10, 034045. [Google Scholar] [CrossRef]
- Li, S.H.; Li, J.S. Terahertz modulator a using CsPbBr3 perovskite quantum dots heterostructure. Appl. Phys. B Lasers Opt. 2018, 124, 224. [Google Scholar]
- Tang, P.R.; Li, J.; Du, L.H.; Liu, Q.; Peng, Q.X.; Zhao, J.H.; Zhu, B.; Li, Z.R.; Zhu, L.G. Ultrasensitive specific terahertz sensor based on tunable plasmon induced transparency of a graphene micro-ribbon array structure. Opt. Express 2018, 26, 30655–30666. [Google Scholar] [CrossRef]
- Biabanifard, S.; Biabanifard, M.; Asgari, S.; Asadi, S.; Yagoub, M.C.E. Tunable ultra-wideband terahertz absorber based on graphene disks and ribbons. Opt. Commun. 2018, 427, 418–425. [Google Scholar] [CrossRef]
- Wang, W.; Yang, D.X.; Qian, Z.H.; Xu, C.S.; Wang, C. Tunable terahertz band-stop filter based on self-gated graphene monolayers with antidot arrays. Opt. Commun. 2018, 427, 21–26. [Google Scholar] [CrossRef]
- Wang, J.G.; Lin, W.H.; Xu, X.F.; Ma, F.C.; Sun, M.T. Plasmon-exciton coupling interaction for surface catalytic reactions. Chem. Rec. 2018, 18, 481–490. [Google Scholar] [CrossRef]
- Lai, W.E.; Abdulmunem, O.M.; del Pino, P.; Pelaz, B.; Parak, W.J.; Zhang, Q.; Zhang, H.W. Enhanced terahertz radiation generation of photoconductive antennas based on manganese ferrite nanoparticles. Sci. Rep. 2017, 7, 46261. [Google Scholar] [CrossRef]
- Hou, Y.; Fan, F.; Wang, X.H.; Chang, S.J. Terahertz power splitter based on ferrite photonic crystal. Optik 2013, 124, 5285–5288. [Google Scholar] [CrossRef]
- Xu, Y.M.; Zhang, H.Y.; Li, X.S.; Wu, Q.B.; Wang, W.G.; Li, Z.H.; Li, J.L. Investigation of the improved performance with ferrites in TiO2 dye-sensitized solar cell. Appl. Surf. Sci. 2017, 424, 245–250. [Google Scholar] [CrossRef]
- Armand, H.; Ardakani, M.D. Theoretical study of liquid crystal dielectric-loaded plasmonic waveguide. Int. J. Microw. Wirel. Technol. 2017, 9, 275–280. [Google Scholar] [CrossRef]
- Zhao, M.J.; Zhang, Y. Compact wearable 5-GHz flexible filter. Electron. Lett. 2017, 53, 661–662. [Google Scholar] [CrossRef]
- Tiwari, A.K.; Pattelli, L.; Torre, R.; Wiersma, D.S. Remote control of liquid crystal elastomer random laser using external stimuli. Appl. Phys. Lett. 2018, 113, 013701. [Google Scholar] [CrossRef]
- Fernandez, R.; Gallego, S.; Marquez, A.; Frances, J.; Martinez, F.J.; Pascual, I.; Belendez, A. Analysis of holographic polymer-dispersed liquid crystals (HPDLCs) for tunable low frequency diffractive optical elements recording. Opt. Mater. 2018, 76, 295–301. [Google Scholar] [CrossRef]
- Li, X.; Jiang, D.; Yu, H.F. Electrical biasing substrate integrated waveguide tunable band-pass filter with liquid crystal technology. Optik 2017, 140, 718–723. [Google Scholar] [CrossRef]
- Chlieh, O.L.; Papapolymerou, J. Hybrid integrated microfluidic channels on multilayer organic substrate and on copper for tuning and cooling an RF reconfigurable S-/C-Band GaN-Based power amplifier. IEEE Trans. Microw. Theory Tech. 2017, 65, 156–164. [Google Scholar] [CrossRef]
- Fan, D.; Wang, C.; Zhang, B.; Tong, Q.; Lei, Y.; Xin, Z.W.; Wei, D.; Zhang, X.Y.; Xie, C.S. Arrayed optical switches based on integrated liquid-crystal microlens arrays driven and adjusted electrically. Appl. Opt. 2017, 56, 1788–1794. [Google Scholar] [CrossRef] [PubMed]
- Ahmadian, D.; Ghobadi, C.; Nourinia, J. Tunable plasmonic sensor with metal-liquid crystal-metal structure. IEEE Photonics J. 2015, 7, 4800310. [Google Scholar] [CrossRef]
- Yang, C.S.; Kuo, C.; Tang, C.C.; Chen, J.C.; Pan, R.P.; Pan, C.L. Liquid-crystal terahertz quarter-wave plate using chemical-vapor-deposited graphene electrodes. IEEE Photonics J. 2015, 7, 2200808. [Google Scholar] [CrossRef]
- Wang, L.; Ge, S.J.; Hu, W.; Nakajima, M.; Lu, Y.Q. Tunable reflective liquid crystal terahertz waveplates. Opt. Mater. Express 2017, 7, 2023–2029. [Google Scholar] [CrossRef]
- Vasic, B.; Zografopoulos, D.C.; Isic, G.; Beccherelli, R.; Gajic, R. Electrically tunable terahertz polarization converter based on overcoupled metal-isolator-metal metamaterials infiltrated with liquid crystals. Nanotechnology 2017, 28, 124002. [Google Scholar] [CrossRef] [PubMed]
- Zhang, L.; Fan, Y.X.; Liu, H.; Xu, L.L.; Xue, J.L.; Tao, Z.Y. Hypersensitive and tunable terahertz wave switch based on non-Bragg structures filled with liquid crystals. J. Lightwave Technol. 2017, 35, 3092–3098. [Google Scholar] [CrossRef]
- Hameed, M.F.O.; Hussain, F.F.K.; Obayya, S.S.A. Ultracompact polarization rotator based on liquid crystal channel on silicon. J. Lightwave Technol. 2017, 35, 2190–2199. [Google Scholar] [CrossRef]
- Dai, J.; Zhang, M.M.; Zhou, F.Y.; Liu, D.M. Highly efficient tunable optical filter based on liquid crystal micro-ring resonator with large free spectral range. Front. Optoelectron. 2016, 9, 112–120. [Google Scholar] [CrossRef]
- Yang, L.; Fan, F.; Chen, M.; Zhang, X.Z.; Bai, J.J.; Chang, S.J. Magnetically induced birefringence of randomly aligned liquid crystals in the terahertz regime under a weak magnetic field. Opt. Mater. Express 2016, 6, 2803–2811. [Google Scholar] [CrossRef]
- Prasetiadi, A.E.; Karabey, O.H.; Weickhmann, C.; Franke, T.; Hu, W.; Jost, M.; Nickel, M.; Jakoby, R. Continuously tunable substrate integrated waveguide bandpass filter in liquid crystal technology with magnetic biasing. Electron. Lett. 2015, 51, 1584–1585. [Google Scholar] [CrossRef]
- Sautter, J.; Staude, I.; Decker, M.; Rusak, E.; Neshev, D.N.; Brener, I.; Kivshar, Y.S. Active tuning of all-dielectric metasurfaces. ACS Nano 2015, 9, 4308–4315. [Google Scholar] [CrossRef]
- Chodorow, U.; Parka, J.; Garbat, K. Spectral and photorefractive properties of nematic liquid crystals from the CHBT family in the terahertz range. Liq. Cryst. 2013, 40, 1089–1094. [Google Scholar] [CrossRef]
- Zografopoulos, D.C.; Beccherelli, R. Liquid-crystal-tunable metal-insulator-metal plasmonic waveguides and Bragg resonators. J. Opt. 2013, 15, 055009. [Google Scholar] [CrossRef]
- Zhu, J.H.; Huang, X.G.; Tao, J.; Jin, X.P.; Mei, X.A.; Zhu, Y.J. Integrated liquid crystal optical switch based on double teeth-shaped structure at telecom wavelengths. J. Mod. Opt. 2011, 58, 32–37. [Google Scholar] [CrossRef]
- Tong, K.; Wang, J.; Zhou, C.L.; Wang, M.T. IMI long-range surface plasmon Bragg micro-cavity. Mod. Phys. Lett. B 2016, 30, 1650355. [Google Scholar] [CrossRef]
- Lee, D.H.; Lee, M.H. Gapped surface plasmon polariton waveguide device based on a liquid crystal. J. Nanosci. Nanotechnol. 2015, 15, 7711–7716. [Google Scholar] [CrossRef] [PubMed]
- Chikhi, N.; Lisitskiy, M.; Papari, G.; Tkachenko, V.; Andreone, A. A hybrid tunable THz metadevice using a high birefringence liquid crystal. Sci. Rep. 2016, 6, 34536. [Google Scholar] [CrossRef] [PubMed]
- Yang, L.; Fan, F.; Chen, M.; Zhang, X.Z.; Chang, S.J. Active terahertz metamaterials based on liquid-crystal induced transparency and absorption. Opt. Commun. 2017, 382, 42–48. [Google Scholar] [CrossRef]
- Yang, C.S.; Lin, C.J.; Pan, R.P.; Que, C.T.; Yamamoto, K.; Tani, M.; Pan, C.L. The complex refractive indices of the liquid crystal mixture E7 in the terahertz frequency range. J. Opt. Soc. Am. B Opt. Phys. 2010, 27, 1866–1873. [Google Scholar] [CrossRef]
- Maier, S.A. Plasmonics: Metal nanostructures for subwavelength photonic devices. IEEE J. Sel. Top. Quantum Electron. 2006, 12, 1214–1220. [Google Scholar] [CrossRef]
- Mou, Y.; Wu, Z.S.; Zhang, G.; Gao, Y.Q.; Yang, Z.Q. Establishment of THz dispersion model of metals based on Kramers-Kronig relation. Acta Phys. Sin. 2017, 66, 120202. [Google Scholar]
- Wen, K.H.; Yan, L.S.; Pan, W.; Luo, B.; Guo, Z.; Guo, Y.H. Transmission characteristics and applications of plasmonic slit waveguide based on metal-insulator-metal structure. Opt. Eng. 2012, 51, 104601. [Google Scholar] [CrossRef]
- Ge, S.J.; Liu, J.C.; Chen, P.; Hu, W.; Lu, Y.Q. Tunable terahertz filter based on alternative liquid crystal layers and metallic slats. Chin. Opt. Lett. 2015, 13, 120401. [Google Scholar]








| Bias E Field (kV/m) | Channel 1 | Channel 2 | Channel 3 | ||||||
|---|---|---|---|---|---|---|---|---|---|
| Original Reson. f. (THz) | Shift (THz) | Rela. Shift (%) | Original Reson. f. (THz) | Shift (THz) | Rela. Shift (%) | Original Reson. f. (THz) | Shift (THz) | Rela. Shift (%) | |
| 0 | 0.7315 | - | - | 1.068 | - | - | 1.429 | - | - |
| 3 | 0.6895 | 0.042 | 5.7 | 1.038 | 0.030 | 2.8 | 1.387 | 0.042 | 2.9 |
| 5 | 0.6654 | 0.066 | 9.0 | 0.996 | 0.072 | 6.7 | 1.333 | 0.096 | 6.7 |
| 7 | 0.6414 | 0.090 | 12.3 | 0.966 | 0.102 | 9.6 | 1.291 | 0.138 | 9.7 |
© 2019 by the authors. Licensee MDPI, Basel, Switzerland. This article is an open access article distributed under the terms and conditions of the Creative Commons Attribution (CC BY) license (http://creativecommons.org/licenses/by/4.0/).
Share and Cite
Li, X.-S.; Feng, N.; Xu, Y.-M.; Cheng, L.-L.; Liu, Q.H. Design of a Liquid-Crystal-Tunable Terahertz Demultiplexer Based on a Metal-Insulator-Metal Waveguide. Appl. Sci. 2019, 9, 644. https://doi.org/10.3390/app9040644
Li X-S, Feng N, Xu Y-M, Cheng L-L, Liu QH. Design of a Liquid-Crystal-Tunable Terahertz Demultiplexer Based on a Metal-Insulator-Metal Waveguide. Applied Sciences. 2019; 9(4):644. https://doi.org/10.3390/app9040644
Chicago/Turabian StyleLi, Xue-Shi, Naixing Feng, Yuan-Mei Xu, Liang-Lun Cheng, and Qing Huo Liu. 2019. "Design of a Liquid-Crystal-Tunable Terahertz Demultiplexer Based on a Metal-Insulator-Metal Waveguide" Applied Sciences 9, no. 4: 644. https://doi.org/10.3390/app9040644
APA StyleLi, X.-S., Feng, N., Xu, Y.-M., Cheng, L.-L., & Liu, Q. H. (2019). Design of a Liquid-Crystal-Tunable Terahertz Demultiplexer Based on a Metal-Insulator-Metal Waveguide. Applied Sciences, 9(4), 644. https://doi.org/10.3390/app9040644

