Next Article in Journal
Effect of Freeze-Thaw Cycles on Mechanical Characteristics of Bitumens and Stone Mastic Asphalts
Next Article in Special Issue
The Cascade Control of Natural Gas Pipeline Systems
Previous Article in Journal
An Embedded Gateway with Communication Extension and Backup Capabilities for ZigBee-Based Monitoring and Control Systems
Previous Article in Special Issue
Capacity Credit Evaluation of Correlated Wind Resources Using Vine Copula and Improved Importance Sampling
 
 
Font Type:
Arial Georgia Verdana
Font Size:
Aa Aa Aa
Line Spacing:
Column Width:
Background:
Article

Distributed Control Strategy for Smart Home Appliances Considering the Discrete Response Characteristics of the On/Off Loads

1
NARI School of Electrical Engineering and Automation, Nanjing Normal University, Nanjing 210023, China
2
Department of Electrical Engineering, Chung Yuan Christian University, Chung Li 320, Taiwan
3
School of Electrical Engineering, Southeast University, Nanjing 210096, China
*
Author to whom correspondence should be addressed.
Appl. Sci. 2019, 9(3), 457; https://doi.org/10.3390/app9030457
Submission received: 19 December 2018 / Revised: 21 January 2019 / Accepted: 24 January 2019 / Published: 29 January 2019

Abstract

With the development of smart home technology, more and more electrical appliances can participate in demand response, providing support for active power balance of the power grid. However, the conventional centralized control method faces vast amounts of electrical appliances, resulting in problems such as communication congestion and dimension curse. This paper proposes a distributed control strategy for electrical appliances based on a multi-agent consensus algorithm. Considering the discrete response characteristics of the on/off loads, a priority ranking mechanism is established, and the customer cost function is established by a fitting method. Based on the incremental cost consensus (ICC) algorithm, the optimal power allocation of customers is realized through distributed control. Simulation and analysis of the examples verify the effectiveness of the proposed strategy.

1. Introduction

The rapid development of smart electricity utilization techniques has enabled more and more electrical appliances to participate in demand response. Through electricity price or economic incentives, electrical appliances are used to respond to grid dispatching and operation needs, and the stability of power systems is improved [1,2,3].
Incentive-based demand response encourages and guides customers to participate in demand response projects by adopting economic compensation or preferential price policies. Direct load control (DLC) is a common method of demand response that switches on/off the electrical appliances or adjusts the power consumption of the electrical appliances by remote control [4,5,6]. The customers participating in the control will receive economic compensation or electricity price discount. An intelligent home provides more advanced technology for the interaction between customers and the power grid. The control of the electrical appliances is according to the types of electrical appliances, the characteristics of the electrical appliances, and the usage habits of the customers.
The conventional centralized control method requires the control center to operate the entire system. It not only imposes a heavy burden on the control center, but also is unable to guarantee the reliability of the systems. When the number of customers changes, the parameters in the system need to be changed. Compared with the drawbacks of the conventional centralized control method, one of the advantages of the distributed control strategy is that the various parts of the system can be flexibly distributed without centralized management of the control center. Only one or several controlled nodes in the system need to be taken as the dominant nodes to receive control information. Global information is shared between two adjacent nodes, which is beneficial to improve the reliability of the system and avoid communication congestion in the control center. This distributed control strategy is adopted in DLC, and the objective load power of the DLC is allocated to each customer according to the incremental cost consensus (ICC) algorithm, so that the optimal power allocation of the DLC is realized. Therefore, the distributed management and scheduling methods will be able to replace the conventional centralized scheduling mode to a certain extent.
A distributed optimal resource management based on the consensus algorithm is proposed in [7,8]. A distributed consensus-based economic dispatch with transmission losses is presented in [9]. The decentralized control of thermostatic loads for flexible demand response is considered in [10]. The conventional power generation units for power allocation according to the ICC algorithm under the different conditions of centralized control and distributed control is considered in [11]. Other research works on consensus control of demand-side resources can be found in [12,13,14,15,16,17]. However, the references mentioned above do not consider comprehensively the load modeling. The managing of the loads only considers the continuous response characteristics of the loads, but does not consider the discrete response characteristics of the on/off loads [18,19,20]. In view of the above problems, this paper proposes a distributed control strategy based on a multi-agent consensus algorithm.
The rest of this paper is as follows: Section 2 provides the overall framework of the proposed method. The objective function and the ICC algorithm formulations are provided in Section 3. Section 4 contains the simulation results and the convergence analysis. Finally, Section 5 concludes this paper.

2. The Overall Framework of the Proposed Method

The customers participating in the DLC will receive economic compensation or electricity discount. The incremental cost (IC) of each customer can be obtained according to the discrete relationship between customer costs and power. The priority ranking mechanism of the on/off loads is established based on the IC. The discrete cost function can be obtained. By the fitting method, the continuous fitting cost function can be established. Based on the ICC algorithm [11], the optimal aggregate power can be obtained. According to the priority ranking of the on/off loads of each customer, the objective load power of the DLC is sent to the on/off loads. Therefore, the economic efficiency is improved. The overall flowchart of the proposed method is shown in Figure 1.
Smart home loads that can participate in the DLC include air conditioners, refrigerators, humidifiers and water heaters, most of which can only control the on/off states and cannot continuously adjust the power. According to the discrete response characteristics of the on/off loads, the priority order of appliances for each customer is ranked from low to high according to the incremental cost of each customer. The customer cost function model is established by a fitting method. According to the relationship between the total objective load power and ICs, the overall customer cost functions can be derived. The customer cost function presents discrete characteristics due to the discrete response characteristics of the on/off loads. The on/off loads sequentially perform full load power accumulation according to the priority order, and the customer costs do not change until the full power of the next electrical appliance is reached. Therefore, the relationship between the customer costs and the load power is a ladder diagram, and the customer costs change only when the response load power reaches the accumulated value of the full load power of the appliances. The continuous fitting cost function can be obtained by the fitting method.

3. ICC Algorithm Formulations

The relationship between the customer costs and the load power can be obtained by the fitting method as a quadratic function:
F i ( P R i ) = c i + b i P R i + a i P R i 2 ,
where F i ( P R i ) denotes the costs of the customer i and P R i denotes the output power of the customer i .
The total costs of customers participating in the DLC are written as following:
F t o t a l = i = 1 n F i ( P R i ) ,
with the power balance constraint and customer power capacity limit constraint:
P D i = 1 n P R i = 0 ,
P R i , min P R i P R i , max ,
where P D denotes the objective load power of the DLC. The objective of optimal power allocation is that the economic efficiency can be improved under the conditions of Equations (3) and (4).
In the ICC algorithm, the definition of IC for each customer is defined as following:
I F _ i = F i ( P R i ) P R i = λ i , i = 1 , 2 , , n .
Selecting IC (also known as λ ) as the consensus variable, and according to the first-order discrete consensus algorithm [21], the updating of λ for the non-dominated nodes can be formulated as following:
λ i [ k + 1 ] = j = 1 n d i j λ [ k ] , i = 1 , 2 , , n ,
where d i j is the ( i , j ) entry of the row-stochastic matrix D n .
It can be known from Equation (5) that the current power information of each customer can be obtained by the IC of the customer as following:
P R i = λ i b i 2 a i .
In order to satisfy the power balance constraint (3), define Δ P to indicate the mismatch between the objective load power of the DLC and the total output power of the customers as following:
Δ P = P D i = 1 n P R i .
After introducing the mismatch, the update rule for the customer located at the dominant node is obtained as following:
λ i [ k + 1 ] = j = 1 n d i j λ j [ k ] + ε Δ P , i = 1 , 2 , , n ,
where ε is the convergence coefficient, which controls the convergence speed of the dominant node. The increases or decreases of λ will follow the sign of Δ P . If Δ P > 0 ( P D > P R ) , it means that the DLC needs to reduce the objective load power, so the current λ should be decreased; and vice versa.
By following the update rules described by Equations (6) and (9), all the customers are able to converge to a common IC asymptotically.
According to the Equations (4) and (7), the customer power capacity limit constraint also needs to be considered as following:
{ λ i = λ i _ l o w e r ,         w h e n λ i b i 2 a i P R i , min λ i [ k + 1 ] = j = 1 n d i j λ j [ k ] , w h e n P R i , min λ i b i 2 a i P R i , max λ i = λ i _ u p p e r ,         w h e n λ i b i 2 a i P R i , max .
Equations (5)–(9) are mathematical representations of the ICC algorithm, Equation (5) is used for consensus variable calculation, and Equations (6) and (9) represent consensus algorithm iterative processes. Figure 2 is a flowchart which represents the procedure of the ICC algorithm. The dominant node needs to make an adjustment for the power balance constraints as shown in Equation (3). If the total output power of customers reaches the objective load power of the DLC, the consensus algorithm is stopped, and each customer outputs power according to the current information. Otherwise, the consensus algorithm is continued. Thus, the optimal power allocation of customers can be realized based on the ICC algorithm [11]. According to the priority ranking of the on/off loads of each customer, the objective load power of the DLC is sent to the on/off loads.

4. Simulation Results and Convergence Analysis

4.1. Optimal Power Allocation of Smart Home Appliances

In this section, we take a small system of six customers for case study. The network topology of the system is shown in the Figure 3. Each customer is connected with the rest of the customers through power lines and communication links. The electrical appliances used by each customer include air conditioners, water heaters, refrigerators and so on. In this paper, the on/off loads participating in the DLC are used as case studies, and they are sorted according to the priority order of different electrical appliances of each customer. According to the priority order of these home appliances, the load power of the higher priority is more likely to be activated.
Assume that the power capacity parameters of the home appliances of the customers are as shown in Table 1. The priority order of appliances is Appliance 1 to Appliance 10.
Assume that the customer compensation for participating in the DLC is randomly distributed between 0.1–1.5 ¥/kW according to the types of appliances. Considering the discrete response characteristics of the on/off loads, the priority ranking is implemented, and the customer cost function can be established by the fitting method. The parameters of six customer cost functions are shown in Table 2.
Taking Customer 3 as an example, the cost function is drawn by the curve fitting method. The relationship between the customer costs and the load power is shown in Figure 4, and the fitting function is obtained as following:
F 3 ( P R 3 ) = 0.0372 P R 3 2 + 0.2163 P R 3 + 0.3157 .
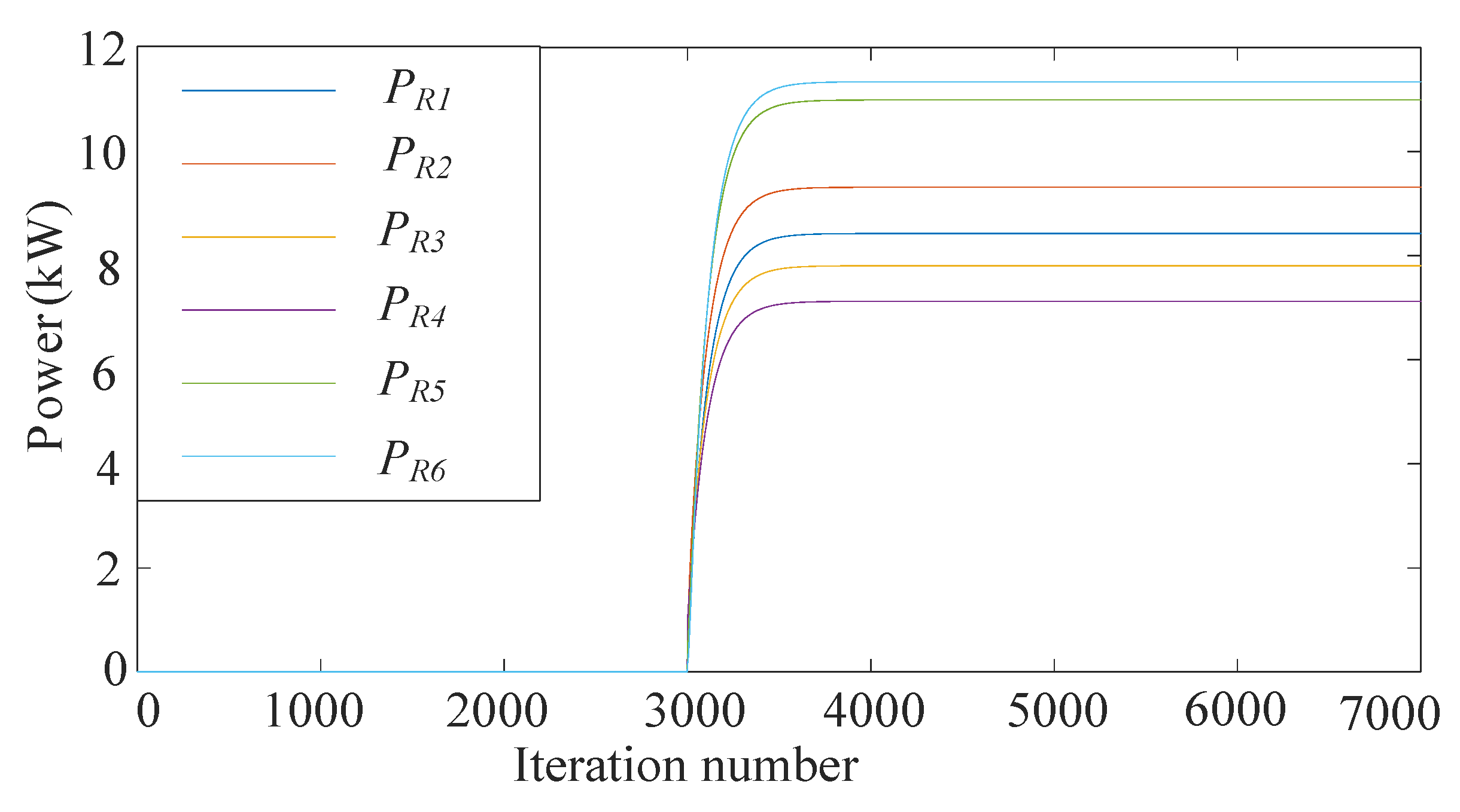
In this example, it is assumed that the initial objective load power is 0. When the objective load power of the DLC is increased to 55 kW, the customers achieve optimal power allocation through the distributed control method. Customer 3 is selected as the dominant node with a fixed step size of 0.0002 s and a convergence coefficient of ε = 0.0005. As shown in Figure 5, all the customers are able to converge to the optimal IC asymptotically under the neighbor interconnection topology. This also proves that the distributed control strategy is able to make each customer get the global state information through the local information exchange. As shown in Figure 6, each customer in the system achieves the optimal power allocation according to the distributed control strategy. As the simulation result shows in Figure 7, when the objective load power of the DLC increases from 0 to 55 kW, the total output power of the customers reaches the objective load power of the DLC after the iteration process.
As shown in Table 1, the power is allocated according to the priority order of appliances of each customer. When the objective load power is increased to 55 kW, the actual working status of the home appliances of each customer is shown in Table 3.
In order to verify the economic efficiency of the proposed strategy, the following three scenarios are compared.
Scenario 1: The distributed control strategy is used for power allocation of customers based on the ICC algorithm.
Scenario 2: The objective power of the DLC is allocated proportionally according to the power capacity of each customer.
Scenario 3: The objective power of the DLC is equally sent to each customer.
Scenario 2 and Scenario 3 can be realized through non-IC-based consensus control. The consensus variable is the objective power of the DLC.
The total costs of customers in different scenarios are shown in Table 4. It is able to be found that the total costs to customers is the minimum in Scenario 1. It also proves that the economic efficiency is improved based on the ICC algorithm through the distributed control strategy.

4.2. Convergence Analysis Based on ICC Algorithm

In the following, the ICC-based distributed control method is tested. In this section, we focus on convergence analysis based on the ICC algorithm. There are several factors that can affect the convergence rate of the ICC algorithm, such as the relationship between communication topology and convergence speed. We can use the node centrality measurement to make the dominant node election. We also discuss the performance of the ICC algorithm under large-scale systems in this section.
In order to verify the location of the dominant node, which can affect the convergence rate, Customer 1 is selected as the dominant node of the system, and this is compared with the case where Customer 3 is the dominant node. The simulation results are shown in Figure 8 and Figure 9.
Figure 8 and Figure 9 show that when the Customer 3 is selected as the dominant node, the convergence rate (0–96%) of the average value of ICs is 190 iterations faster than selecting Customer 1 as the dominant node, and the convergence rate (0–96%) of output power of customers is 210 iterations faster. The location of the dominant node is a significant factor influencing the convergence rate of the ICC algorithm. Table 5 shows the response time of the system when Customers 1–6 are selected as the dominant node, respectively. It can be found that the more adjacent nodes of the selected dominant node exist, the faster the convergence rate of the system. It is a typical problem for the type of algorithm to determine how to select the appropriate node as the dominant node to achieve a faster convergence rate. We can use the existing node centrality indices for dominant node selection, such as degree centrality and closeness centrality. We can use these centrality indices as indicators for the selecting the dominant node.
The ICC algorithm can handle a wide range of communication networks, so the topology of the communication network and the location of the dominant node can affect the convergence rate. As mentioned in the previous section, the dominant node will increase or decrease the group IC based on the mismatch Δ P . Thus, the convergence rate can be controlled by adjusting the convergence coefficient ε .
Figure 10 and Figure 11 show two different convergence rates using different values for ε . Using the same step size, the system with ε = 0.001 converges faster than the system with ε = 1/6000. Thus, the larger ε is related to a faster convergence speed. However, we should also consider its influence on system stability in practical working conditions.
As the previous section mentioned, the convergence rate is based on the topology of the system’s communication network. Consider the six-customer system with a chain connection, which is shown in Figure 12 and a neighbor interconnection, which shown in Figure 3.
The Laplacian graphs of neighbor interconnection topology and chain connection topology are obtained as following:
L N = [ 3 1 1 1 0 0 1 3 1 1 0 0 1 1 5 1 1 1 1 1 1 5 1 1 0 0 1 1 3 1 0 0 1 1 1 3 ]
L C = [ 1 1 0 0 0 0 1 2 1 0 0 0 0 1 2 1 0 0 0 0 1 2 1 0 0 0 0 1 2 1 0 0 0 0 1 1 ]
Figure 5, Figure 6, Figure 13 and Figure 14 show the simulation results under different communication topologies when Customer 3 is selected as the dominant node, and chain connection topology has a faster convergence rate than neighbor interconnection topology. This result suggests that the topology of the system’s communication network can affect the convergence rate of the ICC algorithm.
In general, when the number of nodes increases, the ICC algorithm needs more iterations to reach a consensus. The convergence rate under a different number of nodes is a very important performance measure. We will discuss the performance of the ICC algorithm under a larger-scale system. Take a community with 32 residential customers, as shown in the Figure 15 as an example. As shown in Figure 16, when the objective load power of the DLC increases from 0 to 300 kW, all customers are able to converge to the optimal IC asymptotically based on the ICC algorithm. The optimal power allocation of customers is realized as shown in Figure 17. The ICC algorithm can handle a larger scale of communication network. Hence, the ICC algorithm is able to handle a relatively large number of customers in a reasonable period of time.

5. Conclusions

This paper focuses on the distributed control strategy of domestic appliances for demand response. The contributions of this paper can be summarized as following:
Based on the ICC algorithm, this paper proposes a distributed control strategy to realize optimal power allocation of customers.
The discrete cost function can be obtained through calculating a fitting function according to the priority ordering, and the ICC algorithm is implemented for the on/off loads.
With the rapid development of the smart grid, the future power system will develop toward larger scales and wider ranges. Therefore, the distributed control strategy will certainly play a greater role in the future. Further research will mainly consider the uncertainty of the response of the on/off loads. At the same time, it is necessary to have a more realistic experiment platform to conduct more in-depth research and verification, so that the distributed control strategy will be further verified.

Author Contributions

D.-Y.K. contributed system modeling and optimization design. Y.-Q.B. contributed to the original concept of this work. Y.-Y.H. and B.-B.W. contributed to revising the manuscript. H.-B.H. contributed investigation. L.L. and H.-H.J. contributed data analysis. D.-Y.K. wrote the paper.

Funding

This research was funded by National Natural Science Foundation of China (Grant No. 51707099), Natural Science Fund for Colleges and Universities of Jiangsu Province (Grant No. 16KJB470009) and China Postdoctoral Science Foundation (Grant No. 2017M611859).

Conflicts of Interest

The authors declare no conflict of interest.

References

  1. Eksin, C.; Delic, H.; Ribeiro, A. Demand Response Management in Smart Grids with Heterogeneous Consumer Preference. IEEE Trans. Smart Grid 2015, 6, 3082–3094. [Google Scholar] [CrossRef]
  2. He, Y.; Chen, Y.; Yang, Z.; He, H.; Liu, L. A Review on the Influence of Intelligent Power Consumption Technologies on the Utilization Rate of Distribution Network Equipment. Prot. Control Mod. Power Syst. 2018, 3, 18. [Google Scholar] [CrossRef]
  3. Althaher, S.; Mancarella, P.; Mutale, J. Automated Demand Response from Home Energy Management System under Dynamic Pricing and Power and Comfort Constraints. IEEE Trans. Smart Grid 2015, 6, 1874–1883. [Google Scholar] [CrossRef]
  4. Ng, K.H.; Sheble, G.B. Direct Load Control-A Profit-based Load Management Using Linear Programming. IEEE Trans. Power Syst. 1998, 13, 688–694. [Google Scholar] [CrossRef]
  5. Facchinetti, T.; Della-Vedova, M.L. Real-Time Modeling for Direct Load Control in Cyber-Physical Power Systems. IEEE Trans. Ind. Inform. 2011, 7, 689–698. [Google Scholar] [CrossRef]
  6. Chen, Q.; Zhao, X.; Gan, D. Active-reactive Scheduling of Active Distribution System Considering Interactive Load and Battery Storage. Prot. Control Mod. Power Syst. 2017, 2, 29. [Google Scholar] [CrossRef]
  7. Domínguez-García, A.D.; Cady, S.T.; Hadjicostis, C.N. Decentralized Optimal Dispatch of Distributed Energy Resources. In Proceedings of the 2012 IEEE 51st IEEE Conference on Decision and Control, Maui, HI, USA, 10–13 December 2012; pp. 3688–3693. [Google Scholar]
  8. Xu, Y.; Li, Z. Distributed Optimal Resource Management Based on the Consensus Algorithm in a Micro-grid. IEEE Trans. Ind. Electron. 2015, 62, 2584–2592. [Google Scholar] [CrossRef]
  9. Binetti, G.; Davoudi, A.; Lewis, F.L.; Naso, D.; Turchiano, B. Distributed Consensus-based Economic Dispatch with Transmission Losses. IEEE Trans. Power Syst. 2014, 29, 1711–1720. [Google Scholar] [CrossRef]
  10. Tindemans, S.H.; Trovato, V.; Strbac, G. Decentralized Control of Thermostatic Loads for Flexible Demand Response. IEEE Trans. Control Syst. Technol. 2015, 23, 1685–1700. [Google Scholar] [CrossRef]
  11. Zhang, Z.; Chow, M.Y. Convergence Analysis of the Incremental Cost Consensus Algorithm under Different Communication Network Topologies in a Smart Grid. IEEE Trans. Power Syst. 2012, 27, 1761–1768. [Google Scholar] [CrossRef]
  12. Xu, Y.; Liu, W. Novel Multi-agent Based Load Restoration Algorithm for Micro-grids. IEEE Trans. Smart Grid 2011, 2, 152–161. [Google Scholar] [CrossRef]
  13. Lin, P.; Ren, W.; Gao, H. Distributed Velocity-Constrained Consensus of Discrete-Time Multi-Agent Systems With Non-convex Constraints, Switching Topologies, and Delays. IEEE Trans. Autom. Control 2017, 62, 5788–5794. [Google Scholar] [CrossRef]
  14. Sun, Q.; Han, R.; Zhang, H.; Zhou, J.; Guerrero, J.M. A Multi-agent Based Consensus Algorithm for Distributed Coordinated Control of Distributed Generators in the Energy Internet. IEEE Trans. Smart Grid 2015, 6, 3006–3019. [Google Scholar] [CrossRef]
  15. Yang, S.; Tan, S.; Xu, J. Consensus Based Approach for Economic Dispatch Problem in a Smart Grid. IEEE Trans. Power Syst. 2013, 28, 4416–4426. [Google Scholar] [CrossRef]
  16. Hug, G.; Kar, S.; Wu, C. Consensus + Innovations Approach for Distributed Multi-agent Coordination in a Micro-grid. IEEE Trans. Smart Grid 2015, 6, 1893–1903. [Google Scholar] [CrossRef]
  17. Rahbari-Asr, N.; Ojha, U.; Zhang, Z.; Chow, M.Y. Incremental Welfare Consensus Algorithm for Cooperative Distributed Generation/Demand Response in Smart Grid. IEEE Trans. Smart Grid 2014, 5, 2836–2845. [Google Scholar] [CrossRef]
  18. Yang, Z.; Xiang, J.; Li, Y. Distributed Consensus Based Supply-Demand Balance Algorithm for Economic Dispatch Problem in a Smart Grid with Switching Graph. IEEE Trans. Ind. Electron. 2017, 64, 1600–1610. [Google Scholar] [CrossRef]
  19. Wen, G.; Yu, X.; Liu, Z.; Yu, W. Adaptive Consensus-Based Robust Strategy for Economic Dispatch of Smart Grids Subject to Communication Uncertainties. IEEE Trans. Ind. Inform. 2018, 14, 2484–2496. [Google Scholar] [CrossRef]
  20. Sarker, M.R.; Ortega-Vazquez, M.A.; Kirschen, D.S. Optimal Coordination and Scheduling of Demand Response via Monetary Incentives. IEEE Trans. Smart Grid 2015, 6, 1341–1352. [Google Scholar] [CrossRef]
  21. Ren, W.; Beard, R.W. Distributed Consensus in Multi-Vehicle Cooperative Control Theory and Application; Springer: London, UK, 2008. [Google Scholar]
Figure 1. The overall flowchart of the proposed method.
Figure 1. The overall flowchart of the proposed method.
Applsci 09 00457 g001
Figure 2. Flowchart of incremental cost consensus (ICC) algorithm.
Figure 2. Flowchart of incremental cost consensus (ICC) algorithm.
Applsci 09 00457 g002
Figure 3. Communication topology of the six-customer system: neighbor interconnection.
Figure 3. Communication topology of the six-customer system: neighbor interconnection.
Applsci 09 00457 g003
Figure 4. The fitting function plot of Customer 3.
Figure 4. The fitting function plot of Customer 3.
Applsci 09 00457 g004
Figure 5. The incremental cost (IC) of each customer with neighbor interconnection.
Figure 5. The incremental cost (IC) of each customer with neighbor interconnection.
Applsci 09 00457 g005
Figure 6. The power of each customer with neighbor interconnection.
Figure 6. The power of each customer with neighbor interconnection.
Applsci 09 00457 g006
Figure 7. The total output power of customers when the objective load power is changed.
Figure 7. The total output power of customers when the objective load power is changed.
Applsci 09 00457 g007
Figure 8. The IC when choosing different dominant nodes.
Figure 8. The IC when choosing different dominant nodes.
Applsci 09 00457 g008
Figure 9. The total output power of customers when choosing different dominant nodes.
Figure 9. The total output power of customers when choosing different dominant nodes.
Applsci 09 00457 g009
Figure 10. The power of each customer with ε = 1/6000.
Figure 10. The power of each customer with ε = 1/6000.
Applsci 09 00457 g010
Figure 11. The power of each customer with ε = 0.001.
Figure 11. The power of each customer with ε = 0.001.
Applsci 09 00457 g011
Figure 12. Communication topology of the chain connection.
Figure 12. Communication topology of the chain connection.
Applsci 09 00457 g012
Figure 13. The power of each customer with chain connection.
Figure 13. The power of each customer with chain connection.
Applsci 09 00457 g013
Figure 14. The IC of each customer with chain connection.
Figure 14. The IC of each customer with chain connection.
Applsci 09 00457 g014
Figure 15. Communication topology of the 32 customers’ system.
Figure 15. Communication topology of the 32 customers’ system.
Applsci 09 00457 g015
Figure 16. The IC of each customer of the 32 customers’ system.
Figure 16. The IC of each customer of the 32 customers’ system.
Applsci 09 00457 g016
Figure 17. The power of each customer of the 32 customers’ system.
Figure 17. The power of each customer of the 32 customers’ system.
Applsci 09 00457 g017
Table 1. The power capacity parameters of home appliances of six customers.
Table 1. The power capacity parameters of home appliances of six customers.
Appliances No.Customer 1Customer 2Customer 3Customer 4Customer 5Customer 6
Appliance 1/kW2.320.111.333.330.080.72
Appliance 2/kW1.942.642.150.291.940.63
Appliance 3/kW1.212.721.140.381.311.88
Appliance 4/kW1.092.371.040.511.252.38
Appliance 5/kW1.110.301.740.592.360.97
Appliance 6/kW0.760.780.492.212.061.72
Appliance 7/kW0.671.001.081.791.140.60
Appliance 8/kW1.872.031.950.442.243.48
Appliance 9/kW2.040.411.253.322.100.02
Appliance 10/kW1.982.151.832.601.511.10
Total capacity/kW15.0014.5014.0015.5016.0013.50
Table 2. Parameters of six customer cost functions.
Table 2. Parameters of six customer cost functions.
Customer No. a i ( ¥ / kW 2 ) b i ( ¥ / kW ) c i ( ¥ )
10.03470.20930.6321
20.03310.17730.2518
30.03720.21630.3157
40.04590.14020.4869
50.02730.19380.0132
60.02560.21330.0098
Table 3. Actual work status of home appliances of each customer.
Table 3. Actual work status of home appliances of each customer.
Customer No.Normal Working Appliance Serial NumbersTotal Output Power/kW
11, 2, 3, 4, 5, 68.43
21, 2, 3, 4, 5, 68.92
31, 2, 3, 4, 57.40
41, 2, 3, 4, 55.10
51, 2, 3, 4, 5, 6, 710.14
61, 2, 3, 4, 5, 6, 710.68
Table 4. Costs to customers in different scenarios.
Table 4. Costs to customers in different scenarios.
Scenario No.Costs/¥
125.6717
227.1818
328.5946
Table 5. System response time when choosing different dominant nodes.
Table 5. System response time when choosing different dominant nodes.
Dominant Node No.Numbers of Adjacent NodesIteration Number
Customer 131455
Customer 231467
Customer 35876
Customer 45874
Customer 531481
Customer 631483

Share and Cite

MDPI and ACS Style

Kong, D.-Y.; Bao, Y.-Q.; Hong, Y.-Y.; Wang, B.-B.; Huang, H.-B.; Liu, L.; Jiang, H.-H. Distributed Control Strategy for Smart Home Appliances Considering the Discrete Response Characteristics of the On/Off Loads. Appl. Sci. 2019, 9, 457. https://doi.org/10.3390/app9030457

AMA Style

Kong D-Y, Bao Y-Q, Hong Y-Y, Wang B-B, Huang H-B, Liu L, Jiang H-H. Distributed Control Strategy for Smart Home Appliances Considering the Discrete Response Characteristics of the On/Off Loads. Applied Sciences. 2019; 9(3):457. https://doi.org/10.3390/app9030457

Chicago/Turabian Style

Kong, De-Yin, Yu-Qing Bao, Ying-Yi Hong, Bei-Bei Wang, Hong-Bin Huang, Ling Liu, and Huan-Huan Jiang. 2019. "Distributed Control Strategy for Smart Home Appliances Considering the Discrete Response Characteristics of the On/Off Loads" Applied Sciences 9, no. 3: 457. https://doi.org/10.3390/app9030457

APA Style

Kong, D.-Y., Bao, Y.-Q., Hong, Y.-Y., Wang, B.-B., Huang, H.-B., Liu, L., & Jiang, H.-H. (2019). Distributed Control Strategy for Smart Home Appliances Considering the Discrete Response Characteristics of the On/Off Loads. Applied Sciences, 9(3), 457. https://doi.org/10.3390/app9030457

Note that from the first issue of 2016, this journal uses article numbers instead of page numbers. See further details here.

Article Metrics

Back to TopTop