Changes in Ground Reaction Forces, Joint Mechanics, and Stiffness during Treadmill Running to Fatigue
Abstract
1. Introduction
2. Materials and Methods
2.1. Participants
2.2. Instrumentation
2.3. Running-Induced Fatigue Protocol
2.4. Data Processing
2.5. Statistics
3. Results
3.1. Running-Induced Fatigue Intervention
3.2. Ground Reaction Force
3.3. Joint Mechanics
3.4. Stiffness
4. Discussion
4.1. Fatigue Intervention
4.2. Ground Reaction Force
4.3. Joint Mechanics
4.4. Stiffness
4.5. Limitations
5. Conclusions
Author Contributions
Funding
Conflicts of Interest
References
- Williams, P.T. Dose of exercise and health benefit. Arch. Intern. Med. 1997, 157, 1774. [Google Scholar] [CrossRef] [PubMed]
- Saragiotto, B.T.; Yamato, T.P.; Hespanhol Junior, L.C.; Rainbow, M.J.; Davis, I.S.; Lopes, A.D. What are the main risk factors for running-related injuries? Sports Med. 2014, 44, 1153–1163. [Google Scholar] [CrossRef] [PubMed]
- Van Middelkoop, M.; Kolkman, J.; Van Ochten, J.; Bierma-Zeinstra, S.M.; Koes, B.W. Risk factors for lower extremity injuries among male marathon runners. Scand. J. Med. Sci. Sports 2008, 18, 691–697. [Google Scholar] [CrossRef] [PubMed]
- van Gent, R.N.; Siem, D.; van Middelkoop, M.; van Os, A.G.; Bierma-Zeinstra, S.M.; Koes, B.W. Incidence and determinants of lower extremity running injuries in long distance runners: A systematic review. Br. J. Sports Med. 2007, 41, 469–480. [Google Scholar] [CrossRef] [PubMed]
- Buist, I.; Bredeweg, S.W.; Bessem, B.; van Mechelen, W.; Lemmink, K.A.; Diercks, R.L. Incidence and risk factors of running-related injuries during preparation for a 4-mile recreational running event. Br. J. Sports Med. 2010, 44, 598–604. [Google Scholar] [CrossRef] [PubMed]
- Bonacci, J.; Saunders, P.U.; Hicks, A.; Rantalainen, T.; Vicenzino, B.G.; Spratford, W. Running in a minimalist and lightweight shoe is not the same as running barefoot: A biomechanical study. Br. J. Sports Med. 2013, 47, 387–392. [Google Scholar] [CrossRef]
- Lieberman, D.E.; Venkadesan, M.; Werbel, W.A.; Daoud, A.I.; D’Andrea, S.; Davis, I.S.; Mang’eni, R.O.; Pitsiladis, Y. Foot strike patterns and collision forces in habitually barefoot versus shod runners. Nature 2010, 463, 531–535. [Google Scholar] [CrossRef]
- Lieber, R.L. Biomechanical response of skeletal muscle to eccentric contractions. J. Sport Health Sci. 2018, 7, 294–309. [Google Scholar] [CrossRef]
- Derrick, T.R.; Dereu, D.; McLean, S.P. Impacts and kinematic adjustments during an exhaustive run. Med. Sci. Sports Exerc. 2002, 34, 998–1002. [Google Scholar] [CrossRef]
- Zadpoor, A.A.; Nikooyan, A.A. The effects of lower extremity muscle fatigue on the vertical ground reaction force: A meta-analysis. Proc. Inst. Mech. Eng. H 2012, 226, 579–588. [Google Scholar] [CrossRef]
- Morin, J.B.; Samozino, P.; Edouard, P.; Tomazin, K. Effect of fatigue on force production and force application technique during repeated sprints. J. Biomech. 2011, 44, 2719–2723. [Google Scholar] [CrossRef] [PubMed]
- Christina, K.A.; White, S.C.; Gilchrist, L.A. Gilchrist. Effect of localized muscle fatigue on vertical ground reaction forces and ankle joint motion during running. Hum. Mov. Sci. 2001, 20, 257–276. [Google Scholar] [CrossRef]
- Gerlach, K.E.; White, S.C.; Burton, H.W.; Dorn, J.M.; Leddy, J.J.; Horvath, P.J. Kinetic changes with fatigue and relationship to injury in female runners. Med. Sci. Sports Exerc. 2005, 37, 657–663. [Google Scholar] [CrossRef] [PubMed]
- Slawinski, J.; Heubert, R.; Quievre, J.; Billat, V.; Hanon, C. Changes in spring-mass model parameters and energy cost during track running to exhaustion. J. Strength Cond. Res. 2008, 22, 930–936. [Google Scholar] [CrossRef] [PubMed]
- Radzak, K.N.; Putnam, A.M.; Tamura, K.; Hetzler, R.K.; Stickley, C.D. Asymmetry between lower limbs during rested and fatigued state running gait in healthy individuals. Gait Posture 2017, 51, 268–274. [Google Scholar] [CrossRef] [PubMed]
- Kuhman, D.; Melcher, D.; Paquette, M.R. Ankle and knee kinetics between strike patterns at common training speeds in competitive male runners. Eur. J. Sport Sci. 2016, 16, 433–440. [Google Scholar] [CrossRef]
- Brown, A.M.; Zifchock, R.A.; Hillstrom, H.J.; Song, J.; Tucker, C.A. The effects of fatigue on lower extremity kinematics, kinetics and joint coupling in symptomatic female runners with iliotibial band syndrome. Clin. Biomech. 2016, 39, 84–90. [Google Scholar] [CrossRef]
- John, P.; Abt, A.S.M.L.; Sell, T.C. Running kinematics and shock absorption do not change after brief exhaustive running. J. Strength Cond. Res. 2011, 25, 1479–1485. [Google Scholar]
- Clansey, A.C.; Hanlon, M.; Wallace, E.S.; Lake, M.J. Effects of fatigue on running mechanics associated with tibial stress fracture risk. Med. Sci. Sports Exerc. 2011, 44, 1917–1923. [Google Scholar] [CrossRef]
- Jan Hoff, Y.S. Arnstein finstad, eivind wang, and jan helgerud increased blood lactate level deteriorates running economy in world class endurance athletes. J. Ofstrength Cond. Res. 2016, 30, 1373–1378. [Google Scholar] [CrossRef]
- Hsu, W.-C.; Tseng, L.-W.; Chen, F.-C.; Wang, L.-C.; Yang, W.-W.; Lin, Y.-J.; Liu, C. Effects of compression garments on surface EMG and physiological responses during and after distance running. J. Sport Health Sci. 2017. [Google Scholar] [CrossRef]
- Weist, R.; Eils, E.; Rosenbaum, D. The Influence of Muscle Fatigue on Electromyogram and Plantar Pressure Patterns as an Explanation for the Incidence of Metatarsal Stress Fractures. Am. J. Sports Med. 2004, 32, 1893–1898. [Google Scholar] [CrossRef] [PubMed]
- Tanner, R.K.; Fuller, K.L.; Ross, M.L. Evaluation of three portable blood lactate analysers: Lactate Pro, Lactate Scout and Lactate Plus. Eur. J. Appl. Physiol. 2010, 109, 551–559. [Google Scholar] [CrossRef] [PubMed]
- Devlin, J.; Paton, B.; Poole, L.; Sun, W.; Ferguson, C.; Wilson, J.; Kemi, O.J. Blood lactate clearance after maximal exercise depends on active recovery intensity. J. Sports Med. Phys. Fit. 2014, 54, 271–278. [Google Scholar]
- Maas, E.; De Bie, J.; Vanfleteren, R.; Hoogkamer, W.; Vanwanseele, B. Novice runners show greater changes in kinematics with fatigue compared with competitive runners. Sports Biomech. 2018, 17, 350–360. [Google Scholar] [CrossRef]
- Koblbauer, I.F.; van Schooten, K.S.; Verhagen, E.A.; van Dieen, J.H. Kinematic changes during running-induced fatigue and relations with core endurance in novice runners. J. Sci. Med. Sport 2014, 17, 419–424. [Google Scholar] [CrossRef]
- Fu, W.; Fang, Y.; Gu, Y.; Huang, L.; Li, L.; Liu, Y. Shoe cushioning reduces impact and muscle activation during landings from unexpected, but not self-initiated, drops. J. Sci. Med. Sport 2017. [Google Scholar] [CrossRef]
- Futrell, E.E.; Jamison, S.T.; Tenforde, A.S.; Davis, I.S. Relationships between Habitual Cadence, Footstrike, and Vertical Loadrates in Runners. Med. Sci. Sports Exerc. 2018, 50, 1837–1841. [Google Scholar] [CrossRef]
- Hamill, J.; Moses, M.; Seay, J. Lower extremity joint stiffness in runners with low back pain. Res. Sports Med. 2009, 17, 260–273. [Google Scholar] [CrossRef]
- Liu, Y.; Peng, C.H.; Wei, S.H.; Chi, J.C.; Tsai, F.R.; Chen, J.Y. Active leg stiffness and energy stored in the muscles during maximal counter movement jump in the aged. J. Electromyogr. Kinesiol. 2006, 16, 342–351. [Google Scholar] [CrossRef]
- Dutto, D.J.; Smith, G.A. Changes in spring-mass characteristics during treadmill running to exhaustion. Med. Sci. Sports Exerc. 2002, 34, 1324–1331. [Google Scholar] [CrossRef]
- Stajer, V.; Vranes, M.; Ostojic, S.M. Correlation between biomarkers of creatine metabolism and serum indicators of peripheral muscle fatigue during exhaustive exercise in active men. Res. Sports Med. 2018. [Google Scholar] [CrossRef] [PubMed]
- Zhang, X.; Xia, R.; Dai, B.; Sun, X.; Fu, W. Effects of Exercise-Induced Fatigue on Lower Extremity Joint Mechanics, Stiffness, and Energy Absorption during Landings. J. Sports Sci. Med. 2018, 17, 640–649. [Google Scholar] [PubMed]
- Avela, J.; Kyröläinen, H.; Komi, P.V.; Rama, D. Reduced reflex sensitivity persists several days after long-lasting stretch-shortening cycle exercise. J. Appl. Physiol. 1999, 86, 1292–1300. [Google Scholar] [CrossRef] [PubMed]
- Bazuelo-Ruiz, B.; Dura-Gil, J.V.; Palomares, N.; Medina, E.; Llana-Belloch, S. Effect of fatigue and gender on kinematics and ground reaction forces variables in recreational runners. Peer J. 2018, 6, e4489. [Google Scholar] [CrossRef] [PubMed]
- Hreljac, A.; Marshall, R.N.; Hume, P.A. Evaluation of lower extremity overuse injury potential in runners. Med. Sci. Sports Exerc. 2000, 32, 1635–1641. [Google Scholar] [CrossRef]
- Pohl, M.B.; Hamill, J.; Davis, I.S. Biomechanical and anatomic factors associated with a history of plantar fasciitis in female runners. Clin. J. Sport Med. 2009, 19, 372–376. [Google Scholar] [CrossRef]
- Milner, C.E.; Ferber, R.; Pollard, C.D.; Hamill, J.; Davis, I.S. Biomechanical factors associated with tibial stress fracture in female runners. Med. Sci. Sports Exerc. 2006, 38, 323–328. [Google Scholar] [CrossRef]
- Zadpoor, A.A.; Nikooyan, A.A. The relationship between lower-extremity stress fractures and the ground reaction force: A systematic review. Clin. Biomech. 2011, 26, 23–28. [Google Scholar] [CrossRef]
- Winter, S.; Gordon, S.; Watt, K. Effects of fatigue on kinematics and kinetics during overground running: A systematic review. J. Sports Med. Phys. Fit. 2017, 57, 887–899. [Google Scholar]
- Kim, W.; Voloshin, A.S.; Johnson, S.H. Modeling of heel strike transients during running. Hum. Mov. Sci. 1994, 13, 221–244. [Google Scholar] [CrossRef]
- Mercer, J.A.; Bates, B.T.; Dufek, J.S.; Hreljac, A. Characteristics of shock attenuation during fatigued running. J. Sports Sci. 2003, 21, 911–919. [Google Scholar] [CrossRef] [PubMed]
- Jordan, M.J.; Aagaard, P.; Herzog, W. A comparison of lower limb stiffness and mechanical muscle function in ACL-reconstructed, elite, and adolescent alpine ski racers/ski cross athletes. J. Sport Health Sci. 2018, 7, 416–424. [Google Scholar] [CrossRef] [PubMed]
- Jonathan, S.; Goodwin, J.T.B.; Todd, A.; Schwartz, D.S. Blaise Williams III. Clinical predictors of dynamic lower extremity stiffness during running. J. Orthop. Sports Phys. Ther. 2018, 49, 98–104. [Google Scholar]
- Kuitunen, S.; Komi, P.V.; Kyröläinen, H. Knee and ankle joint stiffness in sprint running. Med. Sci. Sports Exerc. 2002, 34, 166–173. [Google Scholar] [CrossRef]
- Perl, D.P.; Daoud, A.I.; Lieberman, D.E. Effects of footwear and strike type on running economy. Med. Sci. Sports Exerc. 2012, 44, 1335–1343. [Google Scholar] [CrossRef]





| Parameter | Beginning | 33% | 67% | 100% | p-Value | |
|---|---|---|---|---|---|---|
| Fzmax1 (BW) | 1.93 ± 0.21 | 1.87 ± 0.22 | 1.90 ± 0.21 | 1.88 ± 0.22 | 0.45 | 0.07 |
| t_Fzmax1 (s) | 0.03 ± 0.01 | 0.03 ± 0.01 | 0.03 ± 0.00 | 0.03 ± 0.01 | 0.11 | 0.14 |
| LRmax (BW/s) | 120.88 ± 25.71 | 112.58 ± 24.20 | 118.80 ± 26.14 | 121.62 ± 27.15 | 0.04 | 0.19 |
| LRavg (BW/s) | 102.34 ± 22.72 | 99.58 ± 20.58 | 102.82 ± 23.09 | 106.64 ± 25.64 | 0.16 | 0.12 |
| Fzmax2 (BW) | 2.48 ± 0.20 | 2.45 ± 0.14 | 2.52 ± 0.15 | 2.51 ± 0.16 | 0.25 | 0.10 |
| t_Fzmax2 (s) | 0.09 ± 0.01 | 0.09 ± 0.00 | 0.09 ± 0.01 | 0.09 ± 0.01 | 0.85 | 0.02 |
| CT (s) | 0.22 ± 0.01 | 0.22 ± 0.01 | 0.23 ± 0.01 * | 0.23 ± 0.01 | 0.01 | 0.25 |
| Fymax (BW) | 0.32 ± 0.03 | 0.32 ± 0.03 | 0.32 ± 0.03 | 0.32 ± 0.03 | 0.89 | 0.02 |
| Fymin (BW) | −0.47 ± 0.06 | −0.48 ± 0.06 | −0.49 ± 0.08 | −0.48 ± 0.07 | 0.76 | 0.03 |
| Joint | Parameter | Beginning | 33% | 67% | 100% | p-Value | |
|---|---|---|---|---|---|---|---|
| Ankle | θ0 (°) | 2.11 ± 2.80 | 0.87 ± 3.57 | 0.92 ± 3.32 | 0.84 ± 3.41 | 0.05 | 0.18 |
| θmax-ext (°) | 19.40 ± 3.09 | 19.49 ± 3.52 | 19.88 ± 3.08 | 19.90 ± 2.98 | 0.25 | 0.10 | |
| θmax-flex (°) | −21.61 ± 4.01 | −21.07 ± 2.75 | −22.06 ± 3.90 | −21.73 ± 2.77 | 0.51 | 0.06 | |
| θROM (°) | 41.01 ± 4.06 | 40.56 ± 3.18 | 41.94 ± 3.49 | 41.63 ± 2.37 | 0.24 | 0.12 | |
| ∆θ (°) | 23.72 ± 4.14 | 21.94 ± 3.49 | 22.98 ± 3.46 | 22.57 ± 3.17 | 0.23 | 0.10 | |
| ωmax-ext (°/s) | 584.90 ± 56.63 | 577.63 ± 48.96 | 584.13 ± 46.71 | 567.19 ± 64.55 | 0.77 | 0.03 | |
| Mmax (N·m/kg) | −3.69 ± 0.42 | −3.65 ± 0.53 | −3.71 ± 0.48 | −3.76 ± 0.61 | 0.83 | 0.02 | |
| Knee | θ0 (°) | −17.08 ± 5.81 | −18.15 ± 4.90 | −18.89 ± 5.09 | −18.67 ± 5.00 | 0.04 | 0.24 |
| θmax-ext (°) | −14.16 ± 4.30 | −13.15 ± 5.27 | −13.56 ± 5.06 | −14.54 ± 5.30 | 0.09 | 0.15 | |
| θmax-flex (°) | −37.63 ± 5.34 | −38.60 ± 5.56 | −37.92 ± 8.63 | −39.47 ± 5.54 | 0.37 | 0.08 | |
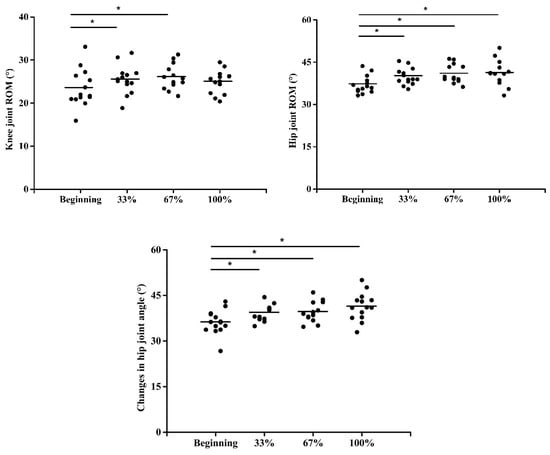
| θROM (°) | 23.47 ± 4.17 | 25.45 ± 3.17 * | 25.97 ± 2.76 * | 24.93 ± 2.59 | <0.01 | 0.32 | |
| ∆θ (°) | 20.56 ± 3.80 | 20.45 ± 3.45 | 19.03 ± 7.36 | 20.81 ± 3.30 | 0.46 | 0.06 | |
| ωmax-ext (°/s) | 492.84 ± 78.22 | 460.21 ± 91.37 | 479.65 ± 95.40 | 462.48 ± 83.61 | 0.12 | 0.14 | |
| Mmax (N·m/kg) | −1.77 ± 0.48 | −1.79 ± 0.38 | −1.84 ± 0.60 | −1.91 ± 0.56 | 0.69 | 0.04 | |
| Hip | θ0 (°) | 26.93 ± 8.88 | 29.48 ± 3.83 * | 29.70 ± 9.68 * | 30.74 ± 9.98 * | <0.01 | 0.47 |
| θmax-ext (°) | 27.78 ± 8.35 | 30.05 ± 8.58 * | 30.92 ± 8.64 * | 30.47 ± 9.69 * | <0.01 | 0.45 | |
| θmax-flex (°) | −9.24 ± 8.22 | −9.8 ± 9.41 | −9.87 ± 8.34 | −10.60 ± 10.18 | 0.28 | 0.09 | |
| θROM (°) | 37.02 ± 3.00 | 39.88 ± 2.84 * | 40.79 ± 3.10 * | 40.07 ± 4.27 * | <0.01 | 0.44 | |
| ∆θ (°) | 36.17 ± 3.83 | 39.31 ± 2.84 * | 39.57 ± 3.13 * | 41.34 ± 4.38 * | <0.01 | 0.41 | |
| ωmax-ext (°/s) | 307.81 ± 30.56 | 311.94 ± 23.54 | 316.99 ± 28.24 | 308.58 ± 29.92 | 0.62 | 0.04 | |
| Mmax (N·m/kg) | 2.97 ± 0.50 | 3.23 ± 0.86 | 3.22 ± 0.86 | 3.45 ± 0.74 | 0.09 | 0.15 |
| Parameter | Beginning | 33% | 67% | 100% | p-Value | |
|---|---|---|---|---|---|---|
| kvert (N/kg/m) | 67.41 ± 10.54 | 65.65 ± 6.97 | 63.05 ± 8.23 | 61.32 ± 6.67 | 0.06 | 0.17 |
| ∆y (m) | 0.038 ± 0.004 | 0.038 ± 0.004 | 0.040 ± 0.005 | 0.041 ± 0.004 | 0.03 | 0.20 |
| khip (N·m/kg/°) | 0.55 ± 0.35 | 0.62 ± 0.22 | 0.56 ± 0.28 | 0.77 ± 0.45 | 0.07 | 0.16 |
| kknee (N·m/kg/°) | 0.04 ± 0.03 | 0.06 ± 0.03 * | 0.05 ± 0.03 | 0.06 ± 0.03 | <0.01 | 0.33 |
| kankle (N·m/kg/°) | 0.21 ± 0.03 | 0.19 ± 0.03 | 0.20 ± 0.03 *# | 0.20 ± 0.04 *#& | 0.03 | 0.20 |
© 2019 by the authors. Licensee MDPI, Basel, Switzerland. This article is an open access article distributed under the terms and conditions of the Creative Commons Attribution (CC BY) license (http://creativecommons.org/licenses/by/4.0/).
Share and Cite
Luo, Z.; Zhang, X.; Wang, J.; Yang, Y.; Xu, Y.; Fu, W. Changes in Ground Reaction Forces, Joint Mechanics, and Stiffness during Treadmill Running to Fatigue. Appl. Sci. 2019, 9, 5493. https://doi.org/10.3390/app9245493
Luo Z, Zhang X, Wang J, Yang Y, Xu Y, Fu W. Changes in Ground Reaction Forces, Joint Mechanics, and Stiffness during Treadmill Running to Fatigue. Applied Sciences. 2019; 9(24):5493. https://doi.org/10.3390/app9245493
Chicago/Turabian StyleLuo, Zhen, Xini Zhang, Junqing Wang, Yang Yang, Yongxin Xu, and Weijie Fu. 2019. "Changes in Ground Reaction Forces, Joint Mechanics, and Stiffness during Treadmill Running to Fatigue" Applied Sciences 9, no. 24: 5493. https://doi.org/10.3390/app9245493
APA StyleLuo, Z., Zhang, X., Wang, J., Yang, Y., Xu, Y., & Fu, W. (2019). Changes in Ground Reaction Forces, Joint Mechanics, and Stiffness during Treadmill Running to Fatigue. Applied Sciences, 9(24), 5493. https://doi.org/10.3390/app9245493

