Effects of Atmospheric Turbulence on OAM-POL-FDM Hybrid Multiplexing Communication System
Abstract
:1. Introduction
2. Methods
2.1. Vortex Beam in Turbulence
2.2. Structure of 32-Channel-Hybrid-Multiplexing System
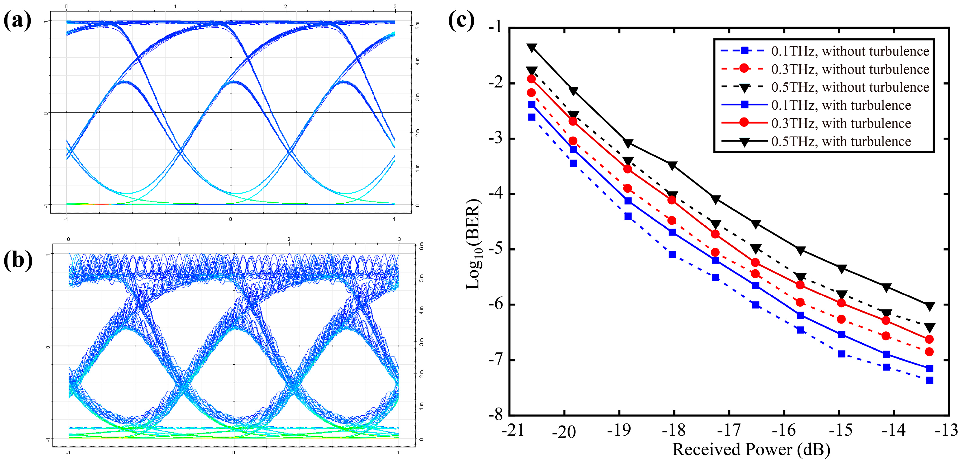
3. Discussion on Transmission Performance under the Turbulence
4. Conclusions
Author Contributions
Funding
Conflicts of Interest
References
- Yan, Y.; Xie, G.; Lavery, M.P.; Huang, H.; Ahmed, N.; Bao, C.; Ren, Y.; Cao, Y.; Li, L.; Zhao, Z.; et al. High-capacity millimetre-wave communications with orbital angular momentum multiplexing. Nat. Commun. 2014, 5, 1–9. [Google Scholar] [CrossRef] [PubMed]
- Li, C.; Yang, Q. High capacity optical communication systems using mode division multiplexing. In Proceedings of the Progress in Electromagnetic Research Symposium (PIERS), Shanghai, China, 8–11 August 2016; pp. 4851–4855. [Google Scholar]
- Zhou, X.; Yu, J. Multi-level, multi-dimensional coding for high-speed and high-spectral-efficiency optical transmission. J. Lightwave Technol. 2009, 27, 3641–3653. [Google Scholar] [CrossRef]
- Wada, N.; Puttnam, B.J.; Luis, R.S.; Klaus, W.; Sakaguchi, J.; Mendinueta, J.M.; Awaji, Y.; Shinada, S.; Furukawa, H. Huge capacity spacial division multiplexing transmission and integrated optical switching technologies. Chin. Opt. Lett. 2016, 14, 120004. [Google Scholar] [CrossRef]
- Kobayashi, T.; Sano, A.; Matsuura, A.; Miyamoto, Y.; Ishihara, K. High-order QAM transmission for spectrally-efficient and high-capacity transport. In Proceedings of the OFC/NFOEC, Los Angeles, CA, USA, 4–8 March 2012; pp. 1–3. [Google Scholar]
- Li, L.; Zhang, R.; Zhao, Z.; Xie, G.; Liao, P.; Pang, K.; Song, H.; Liu, C.; Ren, Y.; Labroille, G. High-capacity free-space optical communications between a ground transmitter and a ground receiver via a UAV using multiplexing of multiple orbital-angular-momentum beams. Sci. Rep. 2017, 7, 1–12. [Google Scholar] [CrossRef]
- Wang, J.; Yang, J.-Y.; Fazal, I.M.; Ahmed, N.; Yan, Y.; Huang, H.; Ren, Y.; Yue, Y.; Dolinar, S.; Tur, M. Terabit free-space data transmission employing orbital angular momentum multiplexing. Nat. Photon. 2012, 6, 488–496. [Google Scholar] [CrossRef]
- Wang, J.; Li, S.; Luo, M.; Liu, J.; Zhu, L.; Li, C.; Xie, D.; Yang, Q.; Yu, S.; Sun, J. N-dimentional multiplexing link with 1.036-Pbit/s transmission capacity and 112.6-bit/s/Hz spectral efficiency using OFDM-8QAM signals over 368 WDM pol-muxed 26 OAM modes. In Proceedings of the European Conference on Optical Communication (ECOC), Cannes, France, 21–25 September 2014; pp. 1–3. [Google Scholar]
- Bozinovic, N.; Yue, Y.; Ren, Y.; Tur, M.; Kristensen, P.; Huang, H.; Willner, A.E.; Ramachandran, S. Terabit-scale orbital angular momentum mode division multiplexing in fibers. Science 2013, 340, 1545–1548. [Google Scholar] [CrossRef]
- Wang, J.; Liu, J.; Lv, X.; Zhu, L.; Wang, D.; Li, S.; Wang, A.; Zhao, Y.; Long, Y.; Du, J. Ultra-high 435-bit/s/Hz spectral efficiency using N-dimentional multiplexing and modulation link with pol-muxed 52 orbital angular momentum (OAM) modes carrying Nyquist 32-QAM signals. In Proceedings of the European Conference on Optical Communication (ECOC), Valencia, Spain, 27 September–1 October 2015; pp. 1–3. [Google Scholar]
- Wang, J.; Li, S.; Li, C.; Zhu, L.; Gui, C.; Xie, D.; Qiu, Y.; Yang, Q.; Yu, S. Ultra-high 230-bit/s/Hz spectral efficiency using OFDM/OQAM 64-QAM signals over pol-muxed 22 orbital angular momentum (OAM) modes. In Proceedings of the OFC 2014, San Francisco, CA, USA, 9–13 March 2014; pp. 1–3. [Google Scholar]
- Shen, Y.; Wang, X.; Xie, Z.; Min, C.; Fu, X.; Liu, Q.; Gong, M.; Yuan, X. Optical vortices 30 years on: OAM manipulation from topological charge to multiple singularities. Light Sci. Appl. 2019, 8, 1–29. [Google Scholar] [CrossRef]
- Zheng, D.; Li, Y.; Zhou, H.; Bian, Y.; Yang, C.; Li, W.; Qiu, J.; Guo, H.; Hong, X.; Zuo, Y. Performance enhancement of free-space optical communications under atmospheric turbulence using modes diversity coherent receipt. Opt. Express 2018, 26, 28879–28890. [Google Scholar] [CrossRef]
- Qu, Z.; Djordjevic, I.B. 500 Gb/s free-space optical transmission over strong atmospheric turbulence channels. Opt. Lett. 2016, 41, 3285–3288. [Google Scholar] [CrossRef]
- Yousif, B.B.; Elsayed, E.E. Performance Enhancement of an Orbital-Angular-Momentum-Multiplexed Free-Space Optical Link Under Atmospheric Turbulence Effects Using Spatial-Mode Multiplexing and Hybrid Diversity Based on Adaptive MIMO Equalization. IEEE Access 2019, 7, 84401–84412. [Google Scholar] [CrossRef]
- Xie, Z.; Gao, S.; Lei, T.; Feng, S.; Zhang, Y.; Li, F.; Zhang, J.; Li, Z.; Yuan, X. Integrated (de) multiplexer for orbital angular momentum fiber communication. Photonics Res. 2018, 6, 743–749. [Google Scholar] [CrossRef]
- Oubei, H.M.; Duran, J.R.; Janjua, B.; Wang, H.-Y.; Tsai, C.-T.; Chi, Y.-C.; Ng, T.K.; Kuo, H.-C.; He, J.-H.; Alouini, M.-S. 4.8 Gbit/s 16-QAM-OFDM transmission based on compact 450-nm laser for underwater wireless optical communication. Opt. Express 2015, 23, 23302–23309. [Google Scholar] [CrossRef] [PubMed]
- Huang, H.; Xie, G.; Yan, Y.; Ahmed, N.; Ren, Y.; Yue, Y.; Rogawski, D.; Tur, M.; Erkmen, B.; Birnbaum, K. 100 Tbit/s free-space data link using orbital angular momentum mode division multiplexing combined with wavelength division multiplexing. In Proceedings of the Optical Fiber Communication Conference and Exposition and the National Fiber Optic Engineers Conference (OFC/NFOEC), Anaheim, CA, USA, 17–21 March 2013; pp. 1–3. [Google Scholar]
- Li, S.; Chen, S.; Gao, C.; Willner, A.E.; Wang, J. Atmospheric turbulence compensation in orbital angular momentum communications: Advances and perspectives. Opt. Commun. 2018, 408, 68–81. [Google Scholar] [CrossRef]
- Allen, L.; Beijersbergen, M.W.; Spreeuw, R.; Woerdman, J. Orbital angular momentum of light and the transformation of Laguerre-Gaussian laser modes. Phys. Rev. A 1992, 45, 8185–8190. [Google Scholar] [CrossRef] [PubMed]
- Desyatnikov, A.S.; Torner, L.; Kivshar, Y.S. Optical vortices and vortex solitons. arXiv 2005, arXiv:nlin/0501026. [Google Scholar]
- Rozas, D.; Sacks, Z.; Swartzlander, G., Jr. Experimental observation of fluidlike motion of optical vortices. Phys. Rev. Lett. 1997, 79, 3399–3402. [Google Scholar] [CrossRef]
- Tatarski, V.I. Wave Propagation in a Turbulent Medium; Dover Publications Inc.: New York, NY, USA, 2016. [Google Scholar]
- Fu, S.; Gao, C. Influences of atmospheric turbulence effects on the orbital angular momentum spectra of vortex beams. Photonics Res. 2016, 4, B1–B4. [Google Scholar] [CrossRef]
- Nye, J.F. Natural Focusing and the Fine Structure of Light; Institute of Physics and the Physical Society: London, UK, 1999. [Google Scholar]
- Zhang, H.; Mao, B.; Han, Y.; Wang, Z.; Yue, Y.; Liu, Y. Generation of orbital angular momentum modes using fiber systems. Appl. Sci. 2019, 9, 1033. [Google Scholar] [CrossRef]
- Qu, Z.; Djordjevic, I. Orbital angular momentum multiplexed free-space optical communication systems based on coded modulation. Appl. Sci. 2018, 8, 2179. [Google Scholar] [CrossRef]
- Padgett, M.J.; Miatto, F.M.; Lavery, M.P.; Zeilinger, A.; Boyd, R.W. Divergence of an orbital-angular-momentum-carrying beam upon propagation. New J. Phys. 2015, 17, 1–6. [Google Scholar] [CrossRef]
- Zhao, S.; Leach, J.; Gong, L.; Ding, J.; Zheng, B. Aberration corrections for free-space optical communications in atmosphere turbulence using orbital angular momentum states. Opt. Express 2012, 20, 452–461. [Google Scholar] [CrossRef] [PubMed]
- Anguita, J.A.; Neifeld, M.A.; Vasic, B.V. Turbulence-induced channel crosstalk in an orbital angular momentum-multiplexed free-space optical link. Appl. Opt. 2008, 47, 2414–2429. [Google Scholar] [CrossRef] [PubMed]
- Pors, B.-J.; Monken, C.; Eliel, E.R.; Woerdman, J. Transport of orbital-angular-momentum entanglement through a turbulent atmosphere. Opt. Express 2011, 19, 6671–6683. [Google Scholar] [CrossRef] [PubMed]
- Lavery, M.P.; Heim, B.; Peuntinger, C.; Magaña-Loaiza, O.S.; Karimi, E.; Bauer, T.; Banzer, P.; Marquardt, C.; Willner, A.E.; Boyd, R.W. Study of turbulence induced orbital angular momentum channel crosstalk in a 1.6 km free-space optical link. In Proceedings of the CLEO: Science and Innovations, San Jose, CA, USA, 10–15 May 2015; p. STu1L. 4. [Google Scholar]
- Indebetouw, G. Optical Vortices and Their Propagation. J. Mod. Opt. 1993, 40, 73–87. [Google Scholar] [CrossRef]
- Ren, Y.; Huang, H.; Xie, G.; Ahmed, N.; Yan, Y.; Erkmen, B.I.; Chandrasekaran, N.; Lavery, M.P.; Steinhoff, N.K.; Tur, M. Atmospheric turbulence effects on the performance of a free space optical link employing orbital angular momentum multiplexing. Opt. Lett. 2013, 38, 4062–4065. [Google Scholar] [CrossRef] [PubMed]









© 2019 by the authors. Licensee MDPI, Basel, Switzerland. This article is an open access article distributed under the terms and conditions of the Creative Commons Attribution (CC BY) license (http://creativecommons.org/licenses/by/4.0/).
Share and Cite
Zhao, L.; Liu, H.; Hao, Y.; Sun, H.; Wei, Z. Effects of Atmospheric Turbulence on OAM-POL-FDM Hybrid Multiplexing Communication System. Appl. Sci. 2019, 9, 5063. https://doi.org/10.3390/app9235063
Zhao L, Liu H, Hao Y, Sun H, Wei Z. Effects of Atmospheric Turbulence on OAM-POL-FDM Hybrid Multiplexing Communication System. Applied Sciences. 2019; 9(23):5063. https://doi.org/10.3390/app9235063
Chicago/Turabian StyleZhao, Lin, Hongzhan Liu, Yuan Hao, Haoying Sun, and Zhongchao Wei. 2019. "Effects of Atmospheric Turbulence on OAM-POL-FDM Hybrid Multiplexing Communication System" Applied Sciences 9, no. 23: 5063. https://doi.org/10.3390/app9235063
APA StyleZhao, L., Liu, H., Hao, Y., Sun, H., & Wei, Z. (2019). Effects of Atmospheric Turbulence on OAM-POL-FDM Hybrid Multiplexing Communication System. Applied Sciences, 9(23), 5063. https://doi.org/10.3390/app9235063

