An Octahedric Regression Model of Energy Efficiency on Residential Buildings
Abstract
Featured Application
Abstract
1. Introduction
- 1.
- Minimization of least squared error defined on the dataset.
- a.
- Problems: Derived linear system is usually underdetermined.
- 2.
- Minimization of an energy associated with the deformation of the mesh defined on the problem domain.
- b.
- Advantages: Associated linear system results always determined.
- c.
- Problems: Computational time order of solving a symmetric linear system of size .
- 3.
- Introduction of multi-indexes dimensional decomposition over a Galerkin optimization scheme.
- d.
- Advantages: Computational time order is .
- e.
- Problems: Dependence of computational time as a dimensional power of complexity.
- 4.
- Local average of simple radial functions based estimators calculated on the finite element meshing nodes.
- f.
- Advantages: Independence between the time of computation and the complexity.
- g.
- Problems: Computational time order of with a power dependence on the dimension.
2. Materials and Methods
2.1. Computational Algorithm
| Algorithm 1. Octahedric regression algorithm |
| 1: for i in Integers{1 .. P} 2. Real estimation[i] = 0 3. for k in Integers{1 .. dimension} 4. Real estim_plus = 0, estim_minus = 0 5. Real dist_plus = 0, dist_minus = 0 6. for j in Integers{1 .. P} 7. dist_plus = dist_plus + Radial_Kernel(X[i] + h × ei, X[j]) 8. dist_minus = dist_minplus + Radial_Kernel(X[i] − h × ei, X[j]) 9. estim_plus = estim_plus + Z[j] × Radial_Kernel(X[i] + h × ei, X[j]) 10. estim_minus = estim_min + Z[j] × Radial_Kernel(X[i] – h × ei, X[j]) 11.. estim_plus = estim_plus/dist_plus 12.. estim_minus = estim_minus/dist_minus 13. estimation[i] = estimation[i] + (estim_plus + estim_minus)/(2 × dimension); |
2.2. Full and Restricted Models as a Prevention of Overfitting
3. Results
- Mean squared error:
- Mean absolute error:
- Mean absolute percentage error:
- Regression error characteristic (REC) curve: It is a curve obtained plotting the error tolerance on the X-axis versus the percentage of points predicted within the tolerance on the Y-axis.
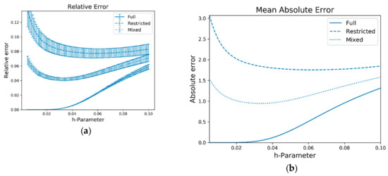
3.1. Heating Load Models
3.1.1. Initial Dataset Variables
3.1.2. Reduced Models—Separated Models by Number of Floors
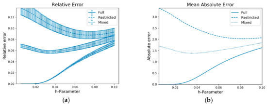
3.2. Cooling Load Models
3.2.1. Complete and Reduced Datasets
3.2.2. Separated Models by Number of Floors
4. Discussion
Author Contributions
Funding
Conflicts of Interest
References
- Baldi, S.; Yuan, S.; Endel, P.; Holub, O. Dual estimation: Constructing building energy models from data sampled at low rate. Appl. Energy 2016, 169, 81–92. [Google Scholar] [CrossRef]
- Wang, Z.; Srinivasan, R.S.; Shi, J. Artificial intelligent models for improved prediction of residential space heating. J. Energy Eng. 2016, 142, 04016006. [Google Scholar] [CrossRef]
- Lü, X.; Lu, T.; Kibert, C.J.; Viljanen, M. Modeling and forecasting energy consumption for heterogeneous buildings using a physical–statistical approach. Appl. Energy 2015, 144, 261–275. [Google Scholar] [CrossRef]
- Chou, J.S.; Pham, A.D. Smart artificial firefly colony algorithm-based support vector regression for enhanced forecasting in civil engineering. Comput. Aided Civ. Infrastruct. Eng. 2015, 30, 715–732. [Google Scholar] [CrossRef]
- Meng, Z.; Zhang, P.J. A Simplified and Scalable Heat-Flow Based Approach for Optimizing the Form, Massing and Orientation for High Performance Building Design. Available online: https://www.researchgate.net/profile/Zhaozhou_Meng/publication/323639680_A_simplified_and_scalable_heat-flow_based_approach_for_optimizing_the_form_massing_and_orientation_for_high_performance_building_design/links/5aa145c00f7e9badd9a42f3a/A-simplified-and-scalable-heat-flow-based-approach-for-optimizing-the-form-massing-and-orientation-for-high-performance-building-design.pdf (accessed on 10 October 2019).
- Westermann, P.; Evins, R. Surrogate modelling for sustainable building design-A review. Energy Build. 2019, 198, 170–186. [Google Scholar] [CrossRef]
- Dua, D.; Graff, C. UCI Machine Learning Repository; School of Information and Computer Science, University of California: Irvine, CA, USA, 2019. [Google Scholar]
- Tsanas, A.; Xifara, A. Accurate quantitative estimation of energy performance of residential buildings using statistical machine learning tools. Energy Build. 2012, 49, 560–567. [Google Scholar] [CrossRef]
- Sholahudin, S.S.S.; Alam, A.G.; Baek, C.I.B.C.I.; Han, H. Prediction and analysis of building energy efficiency using artificial neural networks and design of experiments. J. Mek. 2014, 37, 37–41. [Google Scholar] [CrossRef]
- Roy, S.S.; Roy, R.; Balas, V.E. Estimating heating load in buildings using multivariate adaptive regression splines, extreme learning machine, a hybrid model of MARS and ELM. Renew. Sustain. Energy Rev. 2018, 82, 4256–4268. [Google Scholar]
- Chou, J.S.; Bui, D.K. Modeling heating and cooling loads by artificial intelligence for energy-efficient building design. Energy Build. 2014, 82, 437–446. [Google Scholar] [CrossRef]
- Pietrzykowski, M. Application of the Mini-Models Based on n-Dimensional Simplex for Modeling of Buildings Energy Performance. Int. J. Comput. Technol. Appl. 2015, 6, 695–700. [Google Scholar]
- Dan, T.X.; Phuc, P.N.K. Application of Machine Learning in Forecasting Energy Usage of Building Design. In Proceedings of the 2018 4th International Conference on Green Technology and Sustainable Development (GTSD), Ho Chi Minh City, Vietnam, 23–24 November 2018; pp. 53–59. [Google Scholar]
- Jitkongchuen, D.; Pacharawongsakda, E. Prediction Heating and Cooling Loads of Building Using Evolutionary Grey Wolf Algorithms. In Proceedings of the 2019 Joint International Conference on Digital Arts, Media and Technology with ECTI Northern Section Conference on Electrical, Electronics, Computer and Telecommunications Engineering (ECTI DAMT-NCON), Nan, Thailand, 30 January–2 February 2019; pp. 93–97. [Google Scholar]
- Alam, A.G.; Baek, C.I.; Han, H. Prediction and Analysis of Building Energy Efficiency Using Artificial Neural Network and Design of Experiments. In Applied Mechanics and Materials; Trans Tech Publications: Baech, Switzerland, 2016; Volume 819, pp. 541–545. [Google Scholar]
- Nwulu, N.I. An artificial neural network model for predicting building heating and cooling loads. In Proceedings of the 2017 International Artificial Intelligence and Data Processing Symposium (IDAP), Malatya, Turkey, 16–17 September 2017; pp. 1–5. [Google Scholar]
- Tien Bui, D.; Moayedi, H.; Anastasios, D.; Kok Foong, L. Predicting Heating and Cooling Loads in Energy-Efficient Buildings Using Two Hybrid Intelligent Models. Appl. Sci. 2019, 9, 3543. [Google Scholar] [CrossRef]
- Le, L.T.; Nguyen, H.; Dou, J.; Zhou, J. A Comparative Study of PSO-ANN, GA-ANN, ICA-ANN, and ABC-ANN in Estimating the Heating Load of Buildings’ Energy Efficiency for Smart City Planning. Appl. Sci. 2019, 9, 2630. [Google Scholar] [CrossRef]
- Cheng, M.Y.; Cao, M.T. Accurately predicting building energy performance using evolutionary multivariate adaptive regression splines. Appl. Soft Comput. 2014, 22, 178–188. [Google Scholar] [CrossRef]
- Duarte, G.R.; Fonseca, L.G.D.; Goliatt, P.V.Z.C.; Lemonge, A.C.D.C. Comparison of machine learning techniques for predicting energy loads in buildings. Ambiente Construído 2017, 17, 103–115. [Google Scholar] [CrossRef]
- Reddy, A.V.R.; Kumar, M.S. A Comparative Analysis of Regression Algorithms for Energy Estimation in Residential Buildings. In International Conference on Intelligent Computing and Communication Technologies; Springer: Singapore, 2019; pp. 300–311. [Google Scholar]
- Le, L.T.; Nguyen, H.; Zhou, J.; Dou, J.; Moayedi, H. Estimating the heating load of buildings for smart city planning using a Novel Artificial Intelligence Technique PSO-XGBoost. Appl. Sci. 2019, 9, 2714. [Google Scholar] [CrossRef]
- Yang, L.; Liu, S.; Tsoka, S.; Papageorgiou, L.G. Mathematical programming for piecewise linear regression analysis. Expert Syst. Appl. 2016, 44, 156–167. [Google Scholar] [CrossRef]
- Papadopoulos, S.; Azar, E.; Woon, W.L.; Kontokosta, C.E. Evaluation of tree-based ensemble learning algorithms for building energy performance estimation. J. Build. Perform. Simul. 2018, 11, 322–332. [Google Scholar] [CrossRef]
- Seyedzadeh, S.; Rahimian, F.P.; Rastogi, P.; Glesk, I. Tuning machine learning models for prediction of building energy loads. Sustain. Cities Soc. 2019, 47, 101484. [Google Scholar] [CrossRef]
- Gupta, A.; Kohli, M.; Malhotra, N. Classification based on Data Envelopment Analysis and supervised learning: A case study on energy performance of residential buildings. In Proceedings of the 2016 IEEE 1st International Conference on Power Electronics, Intelligent Control and Energy Systems (ICPEICES), Delhi, India, 4–6 July 2016; pp. 1–5. [Google Scholar]
- Gao, W.; Alsarraf, J.; Moayedi, H.; Shahsavar, A.; Nguyen, H. Comprehensive preference learning and feature validity for designing energy-efficient residential buildings using machine learning paradigms. Appl. Soft Comput. 2019, 84, 105748. [Google Scholar] [CrossRef]
- Toprak, A.; Koklu, N.; Toprak, A.; Ozcan, R. Comparison of Classification Techniques on Energy Efficiency Dataset. Int. J. Intell. Syst. Appl. Eng. 2017, 5, 81–85. [Google Scholar] [CrossRef]
- Manimaran, S.; AlBastaki, I.; Mangai, J.A. An ensemble model for predicting energy performance in residential buildings using data mining techniques. ASHRAE Trans. 2015, 121, 402–410. [Google Scholar]
- Mocanu, E.; Nguyen, P.H.; Gibescu, M.; Kling, W.L. Optimized parameter selection for assessing building energy efficiency. In Proceedings of the 7th IEEE Young Researchers Symposium in Electrical Power Engineering (YRS 2014), Ghent, Belgium, 24–25 April 2014. [Google Scholar]
- Al-Rakhami, M.; Gumaei, A.; Alsanad, A.; Alamri, A.; Hassan, M.M. An Ensemble Learning Approach for Accurate Energy Load Prediction in Residential Buildings. IEEE Access 2019, 7, 48328–48338. [Google Scholar] [CrossRef]
- Ertugrul, Ö.F.; Kaya, Y. Smart city planning by estimating energy efficiency of buildings by extreme learning machine. In Proceedings of the 2016 4th International Istanbul Smart Grid Congress and Fair (ICSG), Istanbul, Turkey, 20–21 April 2016; pp. 1–5. [Google Scholar]
- Kumar, S.; Pal, S.K.; Singh, R.P. Intra ELM variants ensemble based model to predict energy performance in residential buildings. Sustain. Energy Grids Netw. 2018, 16, 177–187. [Google Scholar] [CrossRef]
- Kavaklioglu, K. Robust modeling of heating and cooling loads using partial least squares towards efficient residential building design. J. Build. Eng. 2018, 18, 467–475. [Google Scholar] [CrossRef]
- Permai, S.D.; Tanty, H. Linear regression model using bayesian approach for energy performance of residential building. Procedia Comput. Sci. 2018, 135, 671–677. [Google Scholar] [CrossRef]
- Sonmez, Y.; Guvenc, U.; Kahraman, H.T.; Yilmaz, C. A comperative study on novel machine learning algorithms for estimation of energy performance of residential buildings. In Proceedings of the 2015 3rd International Istanbul Smart Grid Congress and Fair (ICSG), Istanbul, Turkey, 29–30 April 2015; pp. 1–7. [Google Scholar]
- Bui, X.N.; Moayedi, H.; Rashid, A.S.A. Developing a predictive method based on optimized M5Rules–GA predicting heating load of an energy-efficient building system. Eng. Comput. 2019, 1–10. [Google Scholar] [CrossRef]
- Goliatt, L.; Capriles, P.V.Z.; Duarte, G.R. Modeling heating and cooling loads in buildings using Gaussian processes. In Proceedings of the 2018 IEEE Congress on Evolutionary Computation (CEC), Rio de Janeiro, Brazil, 8–13 July 2018; pp. 1–6. [Google Scholar]
- Castelli, M.; Trujillo, L.; Vanneschi, L.; Popovič, A. Prediction of energy performance of residential buildings: A genetic programming approach. Energy Build. 2015, 102, 67–74. [Google Scholar] [CrossRef]
- Seyedzadeh, S.; Pour Rahimian, F.; Rastogi, P.; Oliver, S.; Glesk, I.; Kumar, B. Multi-objective optimisation for tuning building heating and cooling loads forecasting models. In Proceedings of the 36th CIB W78 2019 Conference, Northumbria University, Newcastle, UK, 18–20 September 2019. [Google Scholar]
- Urdaneta, S.; Juan Contreras, E.Z. Fuzzy Model for Estimation of Energy Performance of Residential Buildings. Int. J. Appl. Eng. Res. 2017, 12, 2766–2771. [Google Scholar]
- Tahmassebi, A.; Gandomi, A.H. Building energy consumption forecast using multi-objective genetic programming. Measurement 2018, 118, 164–171. [Google Scholar] [CrossRef]
- Nguyen, H.; Moayedi, H.; Jusoh, W.A.W.; Sharifi, A. Proposing a novel predictive technique using M5Rules-PSO model estimating cooling load in energy-efficient building system. Eng. Comput. 2019, 1–10. [Google Scholar] [CrossRef]
- Duarte, G.; Capriles, P.; Goliatt, L.; Lemonge, A. Prediction of energy load of buildings using machine learning methods. In Proceedings of the 4th Conference of Computational Interdisciplinary Science (CCIS), São José dos Campos-SP, Brazil, 7–10 November 2016. [Google Scholar]
- Nilashi, M.; Dalvi-Esfahani, M.; Ibrahim, O.; Bagherifard, K.; Mardani, A.; Zakuan, N. A soft computing method for the prediction of energy performance of residential buildings. Measurement 2017, 109, 268–280. [Google Scholar] [CrossRef]
- Reddy, J.N. Introduction to the Finite Element Method; Mechanical Engineering, 4th ed.; McGraw Hill Education: New York, NY, USA, 2019; ISBN 9781259861918 1259861910. [Google Scholar]
- Brenner, S.; Scott, R. The Mathematical Theory of Finite Element Methods; Springer Science & Business Media: Berlin, Germany, 2007; Volume 15, ISBN 0387759336. [Google Scholar]
- Aziz, A.K. The Mathematical Foundations of the Finite Element Method with Applications to Partial Differential Equations; Academic Press: Cambridge, MA, USA, 2014; ISBN 1483267989. [Google Scholar]
- Babuška, I.; Banerjee, U.; Osborn, J.E. Generalized finite element methods—Main ideas, results and perspective. Int. J. Comput. Methods 2004, 1, 67–103. [Google Scholar] [CrossRef]
- Whiteman, J.R. The Mathematics of Finite Elements and Applications: Proceedings of the Brunel University Conference of the Institute of Mathematics and Its Applications Held in April 1972; Academic Press: London, UK, 1973; ISBN 0127472509 9780127472508. Available online: https://ua.on.worldcat.org/oclc/764065 (accessed on 3 October 2019).
- Zienkiewicz, O.C.; Taylor, R.L.; Taylor, R.L. The Finite Element Method for Solid and Structural Mechanics; Butterworth-Heinemann: Oxford, UK, 2005; ISBN 0750663219. [Google Scholar]
- Villacampa, Y.; Navarro-González, F.J.; Llorens, J. A geometric model for the generation ofmodels defined in Complex Systems. WIT Trans. Ecol. Environ. 2009, 122, 71–82. [Google Scholar]
- Navarro-González, F.J.; Villacampa, Y. A new methodology for complex systems using n-dimensional finite elements. Adv. Eng. Softw. 2012, 48, 52–57. [Google Scholar] [CrossRef]
- Navarro-González, F.J.; Villacampa, Y. Generation of representation models for complex systems using Lagrangian functions. Adv. Eng. Softw. 2013, 64, 33–37. [Google Scholar] [CrossRef]
- Navarro-González, F.J.; Villacampa, Y. A finite element numerical algorithm for modelling and data fitting in complex systems. Int. J. Comput. Methods Exp. Meas. 2016, 4, 100–113. [Google Scholar] [CrossRef]
- Buhmann, M.D. Radial Basis Functions. Acta Numer. 2000, 9, 1–38. [Google Scholar] [CrossRef]
- Carlson, R.E.; Foley, T.A. Interpolation of track data with radial basis methods. Comput. Math. Appl. 1992, 24, 27–34. [Google Scholar] [CrossRef]
- Autodesk. Available online: www.autodesk.com/ecotect-analysis (accessed on 10 September 2011).
- Bishop, C.M. Pattern Recognition and Machine Learning; Springer: Berlin, Germany, 2006. [Google Scholar]
- Werner, P.; Ardeshir, M. Building Morphology, Transparency, and Energy Performance. In Proceedings of the 8th International IBPSA Conference, Eindhoven, The Netherlands, 11–14 August 2003; pp. 1025–1032. [Google Scholar]

























| Machine Learning Techniques | Papers |
|---|---|
| Artificial Neural Networks (ANN) | [2,9,10,11,12,13,14,15,16,17,18,19] |
| Decision Trees (DT) | [20] |
| Support Vector Regression (SVR) | [11,13,14,19,21,22,23] |
| Random Forest (RF) and Trees Ensemble | [8,13,14,20,21,22,23,24,25,26,27,28,29] |
| Multi-Layer Perceptron (MLP) | [14,20,23,27] |
| Gaussian Mixture Model (GMM) | [30] |
| Gradient Boosted Regression Trees (GBRT) | [24,31] |
| Extreme Learning Machine (ELM) | [10,32,33] |
| Linear Regression (LR) | [10,13,21,23,27,34,35] |
| Radial Basis Function Networks (RBFN) | [10,12,19,23,27] |
| Hybrid models | [10,11,19,22,28,36,37] |
| Multivariate Adaptive Regression Splines (MARS) | [10,19,23] |
| Gaussian Processes Regression (GPR) | [18,21,23,27,38] |
| k-Nearest Neighbor (k-NN) | [12,23] |
| Genetic and Evolutionary Techniques (GT) | [14,17,18,39,40] |
| Others | [11,17,18,21,27,28,35,41,42,43,44,45] |
| Input Variables | Output Variables |
|---|---|
| Relative compactness | Heating load |
| Surface area | Cooling load |
| Wall area | - |
| Roof area | - |
| Overall height | - |
| Orientation | - |
| Glazing area | - |
| Glazing area distribution | - |
| Variable | Model | MAE | MSE | MAPE |
|---|---|---|---|---|
| Heating load | IRLS | |||
| RF | ||||
| Cooling load | IRLS | |||
| RF |
| Model Type | Heating Load | Cooling Load | ||
|---|---|---|---|---|
| MAE (kW) | MAPE (%) | MAE | MAPE | |
| LR | ||||
| MLP | ||||
| ANN | ||||
| k-NN | - | |||
| SVR | ||||
| RBFN | - | |||
| RF and TE | ||||
| ELM | ||||
| GBRT | - | - | ||
| MARS | ||||
| GPR | - | |||
| Hybrid | ||||
| Genetic | ||||
| Other | - | - | - | |
| Input Variables | Output Variables |
|---|---|
| Wall area | Heating load |
| Roof area | Cooling load |
| Orientation | - |
| Glazing area | - |
| Glazing area distribution | - |
| 1_floor | 2_floors |
|---|---|
| Wall area | Wall area |
| Orientation | Roof area |
| Glazing area | Orientation |
| Glazing area distribution | Glazing area |
| - | Glazing area distribution |
| Parameter | All Variables | Reduced Variables | 1_floor | 2_floors |
|---|---|---|---|---|
| Number Points | 768 | 768 | 384 | 384 |
| MAE | 0.945 (1.847) | 1.382 (2.556) | 0.388 (0.777) | 1.152 (2.304) |
| MSE | 2.289 (8.773) | 4.293 (14.644) | 0.282 (1.125) | 2.803 (11.202) |
| MAPE | 4.182% (8.163%) | 5.744% (10.587%) | 2.855% (5.707%) | 3.953% (7.903%) |
| Parameter | All Variables | Reduced Variables | 1_floor | 2_floors |
|---|---|---|---|---|
| Number Points | 768 | 768 | 384 | 384 |
| MAE | 1.113 (2.175) | 1.538 (2.892) | 0.603 (1.206) | 1.210 (2.419) |
| MSE | 2.731 (10.453) | 4.774 (16.859) | 0.688 (2.748) | 3.109 (12.426) |
| MAPE | 4.554% (8.885%) | 6.058% (11.360%) | 3.646% (7.289%) | 3.661% (7.320%) |
© 2019 by the authors. Licensee MDPI, Basel, Switzerland. This article is an open access article distributed under the terms and conditions of the Creative Commons Attribution (CC BY) license (http://creativecommons.org/licenses/by/4.0/).
Share and Cite
Navarro-Gonzalez, F.J.; Villacampa, Y. An Octahedric Regression Model of Energy Efficiency on Residential Buildings. Appl. Sci. 2019, 9, 4978. https://doi.org/10.3390/app9224978
Navarro-Gonzalez FJ, Villacampa Y. An Octahedric Regression Model of Energy Efficiency on Residential Buildings. Applied Sciences. 2019; 9(22):4978. https://doi.org/10.3390/app9224978
Chicago/Turabian StyleNavarro-Gonzalez, Francisco J., and Yolanda Villacampa. 2019. "An Octahedric Regression Model of Energy Efficiency on Residential Buildings" Applied Sciences 9, no. 22: 4978. https://doi.org/10.3390/app9224978
APA StyleNavarro-Gonzalez, F. J., & Villacampa, Y. (2019). An Octahedric Regression Model of Energy Efficiency on Residential Buildings. Applied Sciences, 9(22), 4978. https://doi.org/10.3390/app9224978
