Research on Dynamic Modeling and Transition Flight Strategy of VTOL UAV
Abstract
Featured Application
Abstract
1. Introduction
1.1. Background
1.2. Formulation of the Problem
1.3. Literature Survey
1.4. Scope and Contribution of This Study
1.5. Organization of the Paper
2. Aerodynamic Expression
2.1. Aerodynamic Model of Lift Fan
- The presence of duct changes the slipstream state of the propeller downstream, such as increasing the slipstream area, and reducing the slipstream velocity and slipstream energy loss, so that more kinetic energy behind the propeller disc was converted into pressure energy.
- The duct wall improves the turbulence characteristics of the propeller tip and reduces the flow loss around it.
- A large zone with low pressure is formed at the leading edge of the inlet of the duct, generating additional tension.
- Due to coaxial rotation, the reaction torque from the engine to the aircraft is reduced to zero.
- Under the condition of Vmax, the total efficiency of coaxial propeller is higher than that of non-coaxial propeller with the same number of blades with the same flight conditions (V0, H, n, N and D).
- In high-speed flight, the efficiency of coaxial propeller is higher than that of the two isolated propellers with the same task.
- The take-off performance (in-situ tension) of a coaxial propeller is better than that of a single propeller.
- When , ;
- When , .
2.2. Aerodynamic Model of Lift Duct
2.3. Induced Wing Aerodynamic Model
2.4. Wing Aerodynamic Mode
3. Mathematical Model of Longitudinal Motion
3.1. Dynamic Model of Lift Fan and Lift Duct
3.2. Full Mechanical Model
4. Balancing Calculation Method
5. Flight Strategy Calculation Case
5.1. Transition Window
5.2. Slow Balancing State
5.3. The X Axis Open-Loop Slow Transition
5.4. The X Axis Open-Loop Rapid Transition
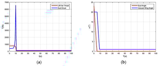
5.4.1. Rapid Deflecting Duct and Induced Wing
5.4.2. Rapid Deflecting Duct and Slow Deflecting Induced Wing
5.4.3. Arriving at Stall Speed Deflection Induced the Wing
6. Discussion
7. Conclusions
- In the transition balancing process, the transition can reach the terminal window of the transition gently by balancing the transition with a small pitch angle 2°, but it takes a long time in the transition process.
- By balancing the transition at a large pitch angle 7.21°, the high-speed deflection of the duct can be realized, but the control parameters change greatly, and the flight state is not smooth enough compared with the former.
- In the slow transition process, the UAV can achieve a faster transition in 50 s through the deflecting lift fan longitudinal grille. However, this transition strategy requires a larger lift fan and bypass thrust and consumes more energy.
- In the process of rapid transition, the rapid transition of UAV can be realized through the fast deflection of lift duct and the slow deflection of induced wing surface, so as to ensure smooth transition of UAV within 35 s.
Author Contributions
Funding
Conflicts of Interest
References
- Tang, Z.F.; Xu, G.H. Key technology analysis of tilt-rotor aircraft. In Proceedings of the 16th National Helicopter Conference CAAC, Shanghai, China, 18 October 2000; pp. 29–32. [Google Scholar]
- Cao, Y. Research on Mathematical Modeling Method for Tilt Rotor Aircraft; Nanjing University of Aeronautics and Astronautics: Nanjing, China, 2012; pp. 11–14. [Google Scholar]
- Okan, A.; Tekinalp, O.; Kavsaoglu, M.S.; Armutcuoglu, O.; Tulunay, E. Flight mechanics analysis of a tiltrotor UAV, AIAA-99-4255. In Proceedings of the 24th Atmospheric Flight Mechanics Conference, Portland, OR, USA, 9–11 August 1999. [Google Scholar]
- Leishman, J.G.; Ananthan, S. Aerodynamic optimization of a coaxial proprotor. In Annual Forum Proceedings-American Helicopter Society; American Helicopter Society, Inc.: Fairfax, VI, USA, 2006; Volume 62, p. 64. [Google Scholar]
- Leishman, J.G.; Ananthan, S. An optimum coaxial rotor system for axial flight. J. Am. Helicopter Soc. 2008, 53, 366–381. [Google Scholar] [CrossRef]
- Yuksek, B.; Vuruskan, A.; Ozdemir, U.; Yukselen, M.A.; Inalhan, G. Transition flight modeling of a fixed-wing VTOL UAV. J. Intell. Robot. Syst. 2016, 84, 83–105. [Google Scholar] [CrossRef]
- Shi, X. Research on Longitudinal Flight Control of Transition of Tilt-Rotor Aircraft; Nanchang Hangkong University: Nanchang, China, 2017. [Google Scholar]
- Cao, Y.; Chen, R. Control strategy and balancing method of tilt-rotor aircraft. J. Nanjing Univ. Aeronaut. Astronaut. 2009, 41, 6–10. [Google Scholar]
- Wan, H. Simulation Study on Transition of Tilt-Rotor Aircraft; Nanjing University of Aeronautics and Astronautics: Nanjing, China, 2011. [Google Scholar]
- Zhang, J.; Ren, Z.; Deng, C.; Wen, B. Adaptive fuzzy global sliding mode control for trajectory tracking of quadrotor UAVs. Nonlinear Dyn. 2019, 97, 609–627. [Google Scholar] [CrossRef]
- Khaligh, S.P.; Fahimi, F.; Koch, C.R. A fast inverse kinematic solution for the nonlinear actuating mechanisms of a small-scale helicopter. Multibody Syst. Dyn. 2015, 35, 257–275. [Google Scholar] [CrossRef]
- Froude, W. On the Elementary Relation between Pitch, Slip, and Propulsive Efficiency; Technical Report Archive & Image Library: Washington, DC, USA, 1920; pp. 3–5. [Google Scholar]
- Gessow, A. Effect of Rotor-Blade Twist and Plan-Form Taper on Helicopter Hovering Performance; Technical Report Archive & Image Library: Washington, DC, USA, 1948. [Google Scholar]
- Liu, P. Air Propeller Theory and Its Application; Beijing University of Aeronautics and Astronautics Press: Beijing, China, 2006. [Google Scholar]
- Harun-Or-Rashid, M.; Song, J.B.; Byun, Y.S.; Kang, B.S. Inflow prediction and first principles modeling of a coaxial rotor unmanned aerial vehicle in forward flight. Int. J. Aeronaut. Space Sci. 2015, 16, 614–623. [Google Scholar] [CrossRef]
- Harun-Or-Rashid, M.; Song, J.B.; Chae, S.; Byun, Y.S.; Kang, B.S. Unmanned coaxial rotor helicopter dynamics and system parameter estimation. J. Mech. Sci. Technol. 2014, 28, 3797–3805. [Google Scholar] [CrossRef]
- Yoon, S.; Chan, W.M.; Pulliam, T.H. Computations of torque-balanced coaxial rotor flows. In Proceedings of the 55th AIAA Aerospace Sciences Meeting, Grapevine, TX, USA, 9–13 January 2017; p. 52. [Google Scholar]
- Leishman, J.G. Principles of Helicopter Aerodynamics, 2nd ed.; Cambridge University Press: New York, NY, USA, 2006. [Google Scholar]
- Zheng, Z.; Zhou, Z. Analysis of lift fan estimation model in vertical take-off and landing aircraft design. Flight Mech. 2010, 28, 21–23. [Google Scholar]
- Kriebel, A.R.; Sacks, A.H.; Nielsen, J.N. Theoretical Investigation of Dynamic Stability Derivatives of Ducted Propellers; Ft. Belvoir Defense Technical Information Center: Fort Belvoir, VA, USA, 1963. [Google Scholar]
- Fang, Z. Flight Dynamics of Aircraft; Beijing University of Aeronautics and Astronautics Press: Beijing, China, 2005. [Google Scholar]
- Pinilla, L.S.; Rodríguez, R.L.; Gandarias, N.T.; de Lacalle, L.N.L.; Farokhad, M.R. TRLs 5–7 Advanced Manufacturing Centres, Practical Model to Boost Technology Transfer in Manufacturing. Sustainability 2019, 11, 4890. [Google Scholar] [CrossRef]















© 2019 by the authors. Licensee MDPI, Basel, Switzerland. This article is an open access article distributed under the terms and conditions of the Creative Commons Attribution (CC BY) license (http://creativecommons.org/licenses/by/4.0/).
Share and Cite
Wang, C.; Zhou, Z.; Wang, R. Research on Dynamic Modeling and Transition Flight Strategy of VTOL UAV. Appl. Sci. 2019, 9, 4937. https://doi.org/10.3390/app9224937
Wang C, Zhou Z, Wang R. Research on Dynamic Modeling and Transition Flight Strategy of VTOL UAV. Applied Sciences. 2019; 9(22):4937. https://doi.org/10.3390/app9224937
Chicago/Turabian StyleWang, Chunyang, Zhou Zhou, and Rui Wang. 2019. "Research on Dynamic Modeling and Transition Flight Strategy of VTOL UAV" Applied Sciences 9, no. 22: 4937. https://doi.org/10.3390/app9224937
APA StyleWang, C., Zhou, Z., & Wang, R. (2019). Research on Dynamic Modeling and Transition Flight Strategy of VTOL UAV. Applied Sciences, 9(22), 4937. https://doi.org/10.3390/app9224937

