Experimental Study on Mechanical Properties, Failure Behavior and Energy Evolution of Different Coal-Rock Combined Specimens
Abstract
1. Introduction
2. Testing Program
2.1. Specimen Preparation and Descriptions
2.2. Testing Apparatus and Testing Program
3. Experimental Results
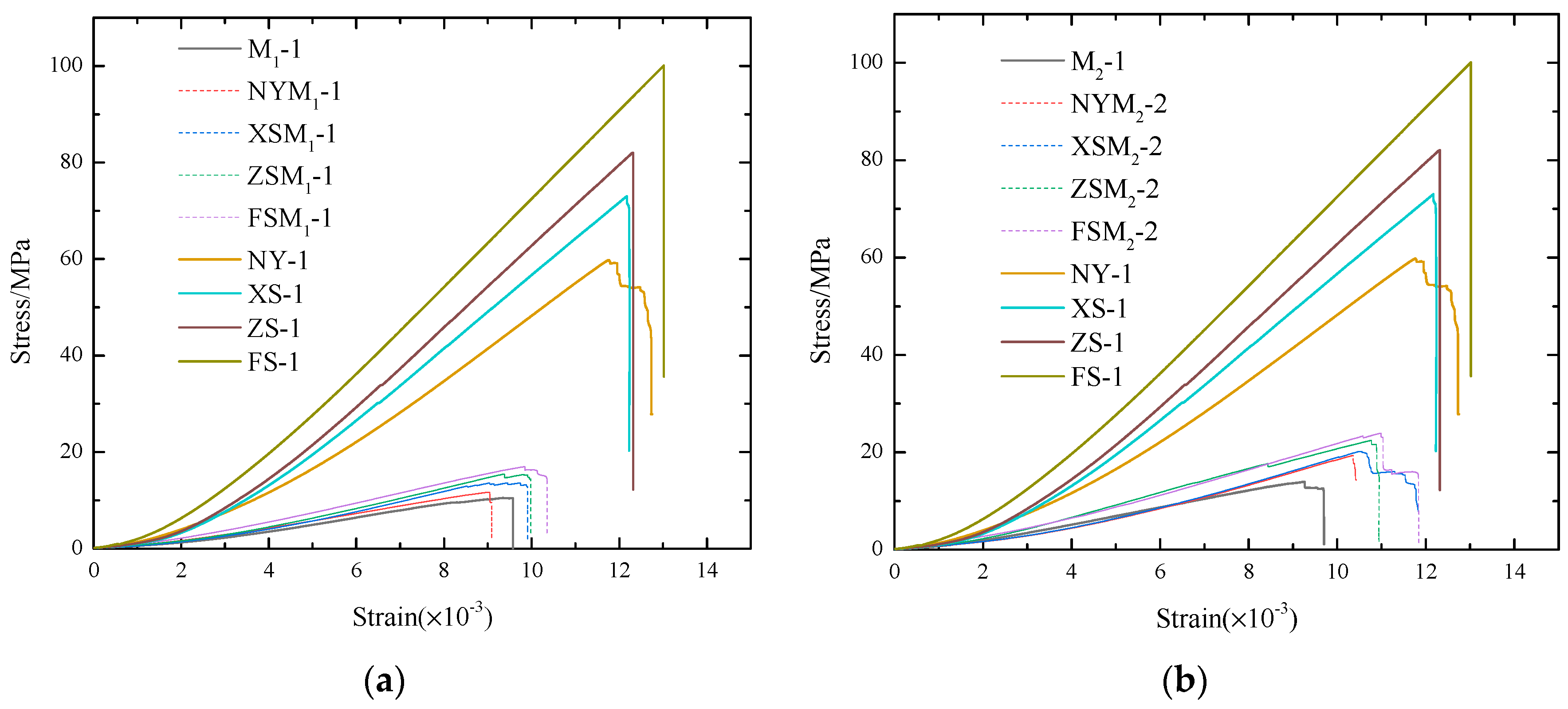
3.1. Stress–Strain Curve under Uniaxial Compressive Loading
3.2. Young’s Modulus, Uniaxial Compressive Strength and Axial Strain at Peak Stress
3.3. Failure Mode
4. Energy Evolution
4.1. Calculation of the Released Elastic Energy Ue, Dissipated Energy Ud and Kinetic Energy Ur in a Unit Coal-Rock Combined Specimen
4.2. Dissipated Energy and Released Elastic Energy at Peak Stress
4.3. Kinetic Energy at the Failure Stage
5. Conclusions
Author Contributions
Funding
Conflicts of Interest
References
- Ghasemi, E.; Shahriar, K. A new coal pillars design method in order to enhance safety of the retreat mining in room and pillar mines. Saf. Sci. 2012, 50, 579–585. [Google Scholar] [CrossRef]
- Mandal, P.K.; Singh, R.; Maiti, J.; Singh, A.K.; Kumar, R.; Sinha, A. Underpinning-based simultaneous extraction of contiguous sections of a thick coal seam under weak and laminated parting. Int. J. Rock Mech. Min. Sci. 2008, 45, 11–28. [Google Scholar] [CrossRef]
- Vardar, O.; Tahmasebinia, F.; Zhang, C.; Canbulat, I.; Saydam, S. A review of uncontrolled pillar failures. Proc. Eng. 2017, 191, 631–637. [Google Scholar] [CrossRef]
- Horst, W. Deep Mining: A Rock Engineering Challenge. Rock Mech. Rock Eng. 2019, 52, 1417–1446. [Google Scholar]
- Zipf, R.; Mark, C. Design methods to control violent pillar failures in room-and-pillar mines. Trans. Inst. Min. Metall.-Sect. A-Min. Ind. 1997, 106, A124–A132. [Google Scholar]
- Ghasemi, E.; Ataei, M.; Shahriar, K.; Sereshki, F.; Jalali, S.E.; Ramazanzadeh, A. Assessment of roof fall risk during retreat mining in room and pillar coal mines. Int. J. Rock Mech. Min. Sci. 2012, 54, 80–89. [Google Scholar] [CrossRef]
- Murphy, M. Shale Failure Mechanics and Intervention Measures in Underground Coal Mines: Results from 50 Years of Ground Control Safety Research. Rock Mech. Rock Eng. 2016, 49, 661–671. [Google Scholar] [CrossRef]
- Wang, J.; Ning, J.; Jiang, L.; Jiang, J.Q.; Bu, T. Structural characteristics of strata overlying of a fully mechanized longwall face: A case study. J. S. Afr. Inst. Min. Metall. 2018, 118, 1195–1204. [Google Scholar] [CrossRef]
- Stacey, T. Addressing the Consequences of Dynamic Rock Failure in Underground Excavations. Rock Mech. Rock Eng. 2016, 49, 4091–4101. [Google Scholar] [CrossRef]
- Wang, J.; Ning, J.; Qiu, P.; Yang, S.; Shang, H. Microseismic monitoring and its precursory parameter of hard roof collapse in longwall faces: A case study. Geomech. Eng. 2019, 17, 375–383. [Google Scholar]
- Kong, P.; Jiang, L.; Shu, J.; Sainoki, A.; Wang, Q. Effect of fracture heterogeneity on rock mass stability in a highly heterogeneous underground roadway. Rock Mech. Rock Eng. 2019, 1–18. [Google Scholar] [CrossRef]
- Butenuth, C. Comparison of Tensile Strength Values of Rocks Determined by Point Load and Direct Tension Tests. Rock Mech. Rock Eng. 1997, 30, 65–72. [Google Scholar] [CrossRef]
- Cai, M. Practical Estimates of Tensile Strength and Hoek–Brown Strength Parameter mi of Brittle Rocks. Rock Mech. Rock Eng. 2010, 43, 167–184. [Google Scholar] [CrossRef]
- Buzzi, O.; Sieffert, Y.; Mendes, J.; Liu, X.; Giacomini, A.; Seedsman, R. Strength of an Australian Coal under Low Confinement. Rock Mech. Rock Eng. 2014, 47, 2265–2270. [Google Scholar] [CrossRef]
- Guo, W.; Gu, Q.; Tan, Y.; Hu, S. Case studies of rock bursts in tectonic areas with facies change. Energies 2019, 12, 1330. [Google Scholar] [CrossRef]
- Taehyun, K.; Seokwon, J. Experimental Study on Shear Behavior of a Rock Discontinuity under Various Thermal, Hydraulic and Mechanical Conditions. Rock Mech. Rock Eng. 2019, 52, 2207–2226. [Google Scholar]
- Das, A.J.; Mandal, P.K.; Paul, P.S.; Sinha, R.K.; Tewari, S. Assessment of the Strength of Inclined Coal Pillars through Numerical Modelling Based on the Ubiquitous Joint Model. Rock Mech. Rock Eng. 2018, 1–27. [Google Scholar] [CrossRef]
- Guo, W.Y.; Tan, Y.L.; Yu, F.H.; Zhao, T.B.; Hu, S.C.; Huang, D.M.; Qin, Z. Mechanical behavior of rock-coal-rock specimens with different coal thicknesses. Geomech. Eng. 2018, 15, 1017–1027. [Google Scholar]
- Wang, N.; Xu, Y.; Zhu, D.; Wang, N.; Yu, B. Acoustic Emission and Failure Modes for Coal-Rock Structure under Different Loading Rates. Adv. Civ. Eng. 2018, 2018, 9391780. [Google Scholar] [CrossRef]
- Zhao, T.B.; Guo, W.Y.; Lu, C.P.; Zhao, G.M. Failure characteristics of combined coal-rock with different interfacial angles. Geomech. Eng. 2016, 3, 345–359. [Google Scholar] [CrossRef]
- Huang, B.X.; Liu, J.W. The effect of loading rate on the behavior of samples composed of coal and rock. Int. J. Rock Mech. Min. Sci. 2013, 61, 23–30. [Google Scholar] [CrossRef]
- Bai, J.; Feng, G.; Wang, Z.; Wang, S.; Qi, T.; Wang, P. Experimental investigations on the progressive failure characteristics of a sandwiched coal-rock system under uniaxial compression. Appl. Sci. 2019, 9, 1195. [Google Scholar] [CrossRef]
- Chen, S.J.; Yin, D.W.; Jiang, N.; Wang, F.; Zhao, Z.H. Mechanical properties of oil shale-coal composite samples. Int. J. Rock. Mech. Min. Sci. 2019, 123, 104120. [Google Scholar] [CrossRef]
- Cook, N.G.; Hoek, E.; Pretorius, J.P.; Ortlepp, W.D.; Salamon, M.D. Rock mechanics applied to the study of rockburst. J. S. Afr. I. Min. Metall. 1966, 66, 435–528. [Google Scholar]
- Xie, H.; Li, L.; Ju, Y.; Peng, R.; Yang, Y. Energy analysis for damage and catastrophic failure of rocks. Sci. China Technol. Sci. 2011, 54, 199–209. [Google Scholar] [CrossRef]
- Peng, R.; Ju, Y.; Wang, J.G.; Xie, H.; Gao, F.; Mao, L. Energy Dissipation and Release during Coal Failure Under Conventional Triaxial Compression. Rock Mech. Rock Eng. 2015, 48, 509–526. [Google Scholar] [CrossRef]
- Bagde, M.; Petros, V. Fatigue properties of intact sandstone samples subjected to dynamic uniaxial cyclical loading. Int. J. Rock Mech. Min. Sci. 2005, 42, 237–250. [Google Scholar] [CrossRef]
- Wasantha, P.; Ranjith, P.; Shao, S. Energy monitoring and analysis during deformation of bedded-sandstone: Use of acoustic emission. Ulrasonics 2014, 54, 217–226. [Google Scholar] [CrossRef]
- Liu, Y.; Lu, C.P.; Zhang, H.; Wang, H.Y. Numerical investigation of slip and fracture instability mechanism of coal rock parting-coal structure (CRCS). J. Struct. Geol. 2019, 118, 265–278. [Google Scholar] [CrossRef]
- Tan, Y.L.; Liu, X.S.; Shen, B.; Ning, J.G.; Gu, Q.H. New approaches to testing and evaluating the impact capability of coal seam with hard roof and/or floor in coal mines. Geomech. Eng. 2018, 4, 367–376. [Google Scholar]
- Liu, X.S.; Tan, Y.L.; Ning, J.G.; Lu, Y.W.; Gu, Q.H. Mechanical properties and damage constitutive model of coal in coal-rock combined body. Int. J. Rock Mech. Min. Sci. 2018, 110, 140–150. [Google Scholar] [CrossRef]
- Bieniawski, Z.T.; Bernede, M.J. Suggested methods for determining the uniaxial compressive strength and deformability of rock materials: Part 1. Suggested method for determination of the uniaxial compressive strength of rock materials. Int. J. Rock Mech. Min. Sci. Geomech. Abstr. 1979, 16, 137–139. [Google Scholar] [CrossRef]
- Liu, J.; Wang, E.Y.; Song, D.Z. Effect of rock strength on failure mode and mechanical behavior of composite samples. Arab. J. Geosci. 2015, 8, 4527–4539. [Google Scholar] [CrossRef]
- Wang, C.L. Identification of early-warning key point for rockmass instability using acoustic emission/microseismic activity monitoring. Int. J. Rock Mech. Min. Sci. 2014, 147, 171–175. [Google Scholar] [CrossRef]
- Zuo, J.P.; Chen, Y.; Cui, F. Investigation on mechanical properties and rock burst tendency of different coal-rock combined bodies. J. Chin. Univ. Min. Tech. 2018, 47, 81–87. (In Chinese) [Google Scholar]
- Meng, Q.; Zhang, M.; Han, L.; Pu, H.; Nie, T. Effects of Acoustic Emission and Energy Evolution of Rock Specimens under the Uniaxial Cyclic Loading and Unloading Compression. Rock Mech. Rock Eng. 2016, 49, 3873–3886. [Google Scholar] [CrossRef]
- Zhang, J.; Ai, C.; Li, Y.W.; Che, M.G.; Gao, R.; Zeng, J. Energy-Based Brittleness Index and Acoustic Emission Characteristics of Anisotropic Coal under Triaxial Stress Condition. Rock Mech. Rock Eng. 2018, 51, 3343–3360. [Google Scholar] [CrossRef]
- Yang, L.; Gao, F.Q.; Wang, X.Q.; Li, J.Z. Study on energy evolution law and failure mechanism of coal-rock combined specimen. J. Chin. Coal Soc. 2019. (In Chinese) [Google Scholar] [CrossRef]
- Valery, A.; Vladimir, A. Invariant kinetic approach to the description of a rock Fracture process and induced seismic events. Pure Appl. Geophys. 1996, 2, 367–375. [Google Scholar]
















| Specimen Label | Lithology | Rock-Coal Height (mm) |
|---|---|---|
| M1-1,2,3 | #1 coal | 0-100 |
| M2-1,2,3 | #2 coal | 0-100 |
| NY-1,2,3 | Mudstone | 100-0 |
| XS-1,2,3 | Fine sandstone | 100-0 |
| ZS-1,2,3 | Medium sandstone | 100-0 |
| FS-1,2,3 | Siltstone | 100-0 |
| NYM1-1,2,3,4,5 | Mudstone+#1 coal | 50-50 |
| NYM2-1,2,6,7,8 | Mudstone+#2 coal | 50-50 |
| XSM1-1,2,3,4,5 | Fine sandstone+#1 coal | 50-50 |
| XSM2-1,2,6,7,8 | Fine sandstone+#2 coal | 50-50 |
| ZSM1-1,2,3,4,5 | Medium sandstone sandstone+#1 coal | 50-50 |
| ZSM2-1,2,6,7,8 | Medium sandstone sandstone+#2 coal | 50-50 |
| FSM1-1,2,3,4,5 | Siltstone+#1 coal | 50-50 |
| FSM2-1,2,6,7,8 | Siltstone+#2 coal | 50-50 |
| Group | Specimen Label | Modulus/GPa | Average/GPa | Uniaxial Compressive Strength/MPa | Average/MPa | Axial Strain at Peak Stress (×10−3) | Average (×10−3) |
|---|---|---|---|---|---|---|---|
| M1 | M1-1 | 1.23 | 1.4 | 8.8 | 10.53 | 9.28 | 9.39 |
| M1-2 | 1.52 | 12.3 | 9.52 | ||||
| M1-3 | 1.45 | 10.5 | 9.37 | ||||
| M2 | M2-1 | 1.72 | 1.75 | 14.1 | 14.3 | 9.26 | 9.26 |
| M2-2 | 1.58 | 12.7 | 9.20 | ||||
| M2-3 | 1.85 | 16.2 | 9.33 | ||||
| NY | NY-1 | 6.82 | 6.86 | 59.14 | 59.7 | 11.95 | 11.95 |
| NY-2 | 7.05 | 62.32 | 12.04 | ||||
| NY-3 | 6.75 | 57.65 | 11.87 | ||||
| XS | XS-1 | 7.54 | 7.51 | 73.01 | 72.67 | 12.17 | 12.16 |
| XS-2 | 7.32 | 69.22 | 12.06 | ||||
| XS-3 | 7.67 | 75.78 | 12.24 | ||||
| ZS | ZS-1 | 8.37 | 8.33 | 82.04 | 81.87 | 12.31 | 12.41 |
| ZS-2 | 8.11 | 77.22 | 12.22 | ||||
| ZS-3 | 8.52 | 86.34 | 12.69 | ||||
| FS | FS-1 | 9.04 | 9.02 | 100.08 | 101.03 | 13.02 | 13.09 |
| FS-2 | 8.75 | 92.58 | 12.92 | ||||
| FS-3 | 9.26 | 110.43 | 13.32 |
| Specimen Label | Ue (y = axb) | Ud (y = axb) | |||||
|---|---|---|---|---|---|---|---|
| a | b | R2 | a | b | R2 | ||
| NYM1 | NYM1-3 | 21.540 | 1.7489 | 0.9830 | 4.8265 | 1.2123 | 0.9936 |
| NYM1-4 | 14.753 | 1.7808 | 0.9999 | 3.2803 | 1.4403 | 0.9746 | |
| NYM1-5 | 40.294 | 1.2797 | 0.9975 | 8.9718 | 1.1034 | 0.9658 | |
| NYM2 | NYM2-6 | 32.291 | 1.6328 | 0.9979 | 7.1048 | 1.7519 | 0.9684 |
| NYM2-7 | 32.975 | 1.6332 | 0.9998 | 7.2514 | 1.5806 | 0.9883 | |
| NYM2-8 | 35.861 | 1.6122 | 0.9985 | 7.9021 | 1.6552 | 0.9921 | |
| XSM1 | XSM1-3 | 50.066 | 1.6504 | 0.9972 | 11.020 | 1.2012 | 0.9951 |
| XSM1-4 | 58.152 | 1.5869 | 0.9991 | 12.864 | 1.6816 | 0.99 | |
| XSM1-5 | 47.253 | 1.6992 | 0.9986 | 9.9792 | 1.0972 | 0.9965 | |
| XSM2 | XSM2-6 | 45.674 | 1.7010 | 0.9996 | 9.6686 | 1.7790 | 0.9947 |
| XSM2-7 | 62.513 | 1.6668 | 0.9997 | 13.849 | 1.5155 | 0.9931 | |
| XSM2-8 | 56.652 | 1.6584 | 0.9958 | 12.4921 | 1.5854 | 0.9915 | |
| ZSM1 | ZSM1-3 | 58.566 | 1.6986 | 0.9995 | 12.842 | 1.6639 | 0.9977 |
| ZSM1-4 | 61.082 | 1.5318 | 0.9965 | 13.719 | 1.2926 | 0.9924 | |
| ZSM1-5 | 62.409 | 1.6031 | 0.9998 | 14.434 | 1.3630 | 0.9968 | |
| ZSM2 | ZSM2-6 | 54.130 | 1.7213 | 0.9994 | 12.101 | 1.6692 | 0.9904 |
| ZSM2-7 | 79.558 | 1.6149 | 0.9986 | 17.521 | 1.2570 | 0.9895 | |
| ZSM2-8 | 70.452 | 1.6583 | 0.9958 | 15.523 | 1.5825 | 0.9916 | |
| FSM1 | FSM1-3 | 58.169 | 1.6589 | 0.9994 | 12.856 | 1.2897 | 0.9984 |
| FSM1-4 | 88.075 | 1.5815 | 0.9875 | 19.093 | 1.5520 | 0.9964 | |
| FSM1-5 | 82.735 | 1.7108 | 0.9900 | 18.311 | 1.8993 | 0.9908 | |
| FSM2 | FSM2-6 | 77.877 | 1.9218 | 0.9544 | 17.310 | 1.8039 | 0.9949 |
| FSM2-7 | 88.877 | 1.6844 | 0.9996 | 19.529 | 1.7700 | 0.9835 | |
| FSM2-8 | 80.256 | 1.6524 | 0.9788 | 17.721 | 1.7965 | 0.9937 | |
| Specimen Label | Uec (kJ·m−3) | Average | Ued (kJ·m-3) | Average | Ur (kJ·m−3) | Average | |
|---|---|---|---|---|---|---|---|
| NYM1 | NYM1-3 | 21.54 | 25.53 | 11.25 | 13.24 | 10.29 | 12.29 |
| NYM1-4 | 14.75 | 8.82 | 5.93 | ||||
| NYM1-5 | 40.29 | 19.65 | 20.64 | ||||
| NYM2 | NYM2-6 | 32.29 | 33.71 | 11.25 | 11.14 | 21.04 | 22.57 |
| NYM2-7 | 32.98 | 12.05 | 20.93 | ||||
| NYM2-8 | 35.86 | 10.12 | 25.74 | ||||
| XSM1 | XSM1-3 | 50.07 | 51.82 | 8.25 | 8.44 | 41.82 | 43.38 |
| XSM1-4 | 58.15 | 9.62 | 48.53 | ||||
| XSM1-5 | 47.25 | 7.45 | 39.80 | ||||
| XSM2 | XSM2-6 | 45.67 | 54.95 | 7.52 | 7.80 | 38.15 | 47.15 |
| XSM2-7 | 62.51 | 7.86 | 54.65 | ||||
| XSM2-8 | 56.65 | 8.02 | 48.63 | ||||
| ZSM1 | ZSM1-3 | 58.57 | 60.69 | 6.32 | 6.62 | 52.25 | 54.07 |
| ZSM1-4 | 61.08 | 6.55 | 54.53 | ||||
| ZSM1-5 | 62.41 | 6.98 | 55.43 | ||||
| ZSM2 | ZSM2-6 | 54.13 | 68.05 | 6.05 | 5.52 | 48.08 | 62.52 |
| ZSM2-7 | 79.56 | 5.02 | 74.54 | ||||
| ZSM2-8 | 70.45 | 5.5 | 64.95 | ||||
| FSM1 | FSM1-3 | 58.17 | 76.33 | 3.25 | 3.28 | 54.92 | 73.05 |
| FSM1-4 | 88.08 | 3.55 | 84.53 | ||||
| FSM1-5 | 82.74 | 3.03 | 79.71 | ||||
| FSM2 | FSM2-6 | 77.88 | 82.34 | 3.11 | 2.57 | 74.78 | 79.77 |
| FSM2-7 | 88.88 | 2.12 | 86.78 | ||||
| FSM2-8 | 80.26 | 2.51 | 77.76 |
© 2019 by the authors. Licensee MDPI, Basel, Switzerland. This article is an open access article distributed under the terms and conditions of the Creative Commons Attribution (CC BY) license (http://creativecommons.org/licenses/by/4.0/).
Share and Cite
Yang, S.; Wang, J.; Ning, J.; Qiu, P. Experimental Study on Mechanical Properties, Failure Behavior and Energy Evolution of Different Coal-Rock Combined Specimens. Appl. Sci. 2019, 9, 4427. https://doi.org/10.3390/app9204427
Yang S, Wang J, Ning J, Qiu P. Experimental Study on Mechanical Properties, Failure Behavior and Energy Evolution of Different Coal-Rock Combined Specimens. Applied Sciences. 2019; 9(20):4427. https://doi.org/10.3390/app9204427
Chicago/Turabian StyleYang, Shang, Jun Wang, Jianguo Ning, and Pengqi Qiu. 2019. "Experimental Study on Mechanical Properties, Failure Behavior and Energy Evolution of Different Coal-Rock Combined Specimens" Applied Sciences 9, no. 20: 4427. https://doi.org/10.3390/app9204427
APA StyleYang, S., Wang, J., Ning, J., & Qiu, P. (2019). Experimental Study on Mechanical Properties, Failure Behavior and Energy Evolution of Different Coal-Rock Combined Specimens. Applied Sciences, 9(20), 4427. https://doi.org/10.3390/app9204427

