Supercontinuum Generation in the Cladding Modes of an Endlessly Single-Mode Fiber
Abstract
Featured Application
Abstract
1. Introduction
2. Materials and Methods
2.1. Numerical Simulation of Fiber Parameters
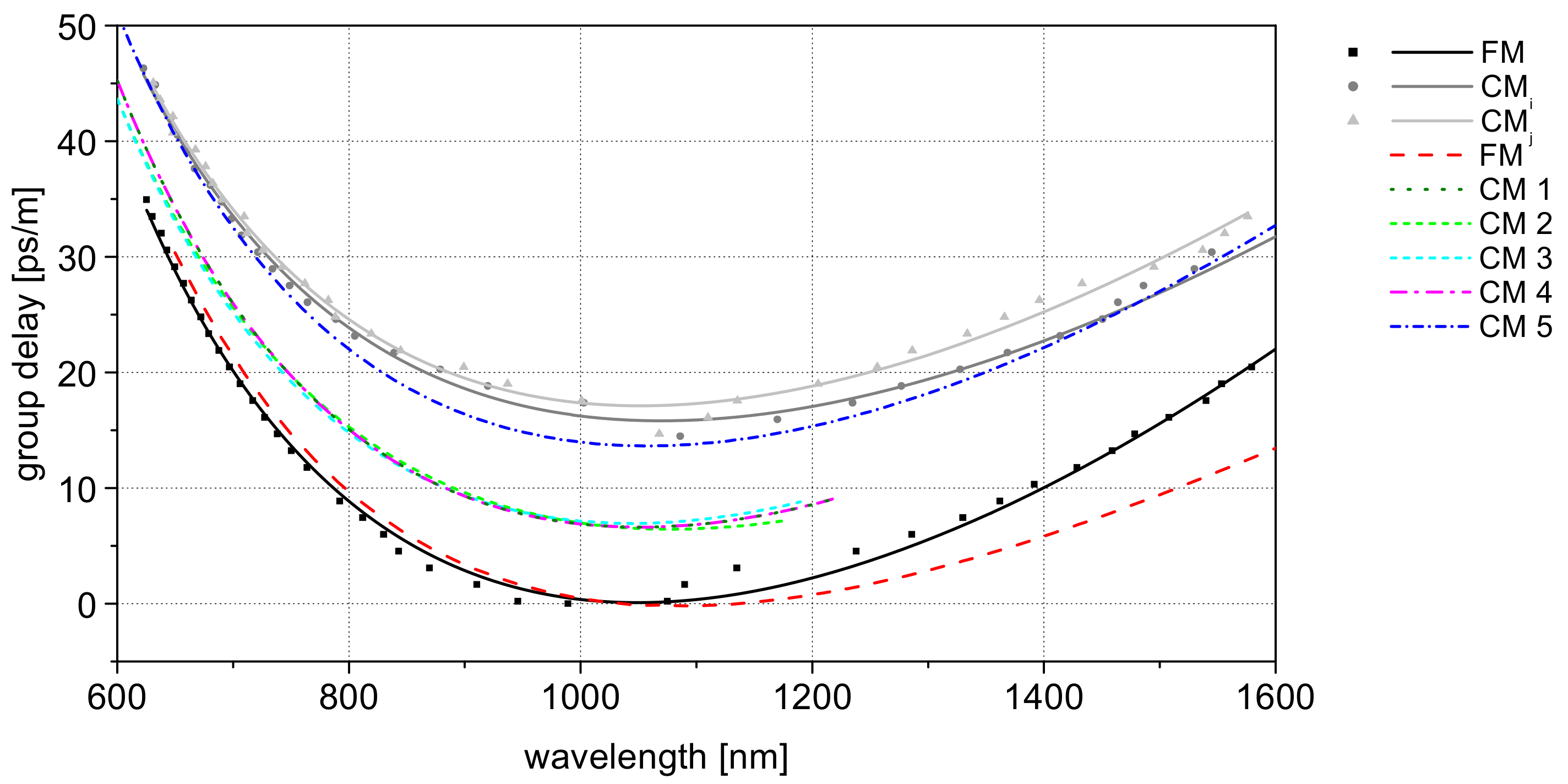
2.2. Characterization of Group-Velocity Dispersion
2.3. Supercontinuum Generation
3. Results
3.1. Linear Properties of the Endlessly Single-Mode Fiber
3.2. Nonlinear Properties of the Endlessly Single-Mode Fiber
3.3. Dispersion Properties
3.4. Supercontinuum in the Core and Cladding
4. Discussion
5. Conclusions
Author Contributions
Funding
Acknowledgments
Conflicts of Interest
References
- Zhao, Y.; Iftimia, N.V. Overview of supercontinuum sources for multiphoton microscopy and optical biopsy. In Neurophotonics and Biomedical Spectroscopy; Elsevier: Amsterdam, The Netherlands, 2019. [Google Scholar]
 - Battista, D.; Merino, D.; Zacharakis, G.; Loza-Alvarez, P.; Olarte, O.E. Enhanced light sheet elastic scattering microscopy by using a supercontinuum laser. Methods Protoc. 2019, 2, 57. [Google Scholar] [CrossRef]
 - Lichtenegger, A.; Gesperger, J.; Kiesel, B.; Muck, M.; Eugui, P.; Harper, D.J.; Salas, M.; Augustin, M.; Merkle, C.W.; Hitzenberger, C.K.; et al. Revealing brain pathologies with multimodal visible light optical coherence microscopy and fluorescence imaging. J. Biomed. Opt. 2019, 24, 066010. [Google Scholar] [CrossRef] [PubMed]
 - Holzwarth, R.; Udem, T.; Hansch, T.W.; Knight, J.C.; Wadsworth, W.J.; Russell, P.S.J. Optical frequency synthesizer for precision spectroscopy. Phys. Rev. Lett. 2000, 85, 2264–2267. [Google Scholar] [CrossRef] [PubMed]
 - Sollapur, R.; Kartashov, D.; Zürch, M.; Hoffmann, A.; Grigorova, T.; Sauer, G.; Hartung, A.; Schwuchow, A.; Bierlich, J.; Kobelke, J.; et al. Soliton explosion driven multi-octave supercontinuum generation by geometry-enforced dispersion design in antiresonant hollow-core fibers. Phys. Opt. 2017. [Google Scholar] [CrossRef]
 - Debord, B.; Amrani, F.; Vincetti, F.; Gérôme, F.; Benabid, F. Hollow-core fiber technology: The rising of “gas photonics”. Fibers 2019, 7, 16. [Google Scholar] [CrossRef]
 - Agrawal, G. Nonlinear Fiber Optics. In Nonlinear Science at the Dawn of the 21st Century; Springer: Berlin/Heidelberg, Germany, 2000; pp. 195–211. [Google Scholar]
 - Chauhan, P.; Kumar, A.; Kalra, Y. A dispersion engineered silica-based photonic crystal fiber for supercontinuum generation in near-infrared wavelength region. Optik 2019, 187, 230–237. [Google Scholar] [CrossRef]
 - Birks, T.A.; Knight, J.C.; Russell, P.S.J. Endlessly single-mode photonic crystal fiber. Opt. Lett. 1997, 22, 961–963. [Google Scholar] [CrossRef]
 - Jiang, X.; Gu, Z.; Zheng, L. Cladding modes in photonic crystal fiber: Characteristics and sensitivity to surrounding refractive index. Opt. Eng. 2016, 55, 017106. [Google Scholar] [CrossRef]
 - Park, H.C.; Hwang, I.K.; Yeom, D.I.; Kim, B.Y. Analyses of cladding modes in photonic crystal fiber. Opt. Express 2007, 15, 15154–15160. [Google Scholar] [CrossRef]
 - Baselt, T.; Taudt, C.; Nelsen, B.; Lasagni, A.F.; Hartmann, P. Experimental measurement and numerical analysis of group velocity dispersion in cladding modes of an endlessly single-mode photonic crystal fiber. SPIE Opt. Metrol. 2017, 10330, 103300E. [Google Scholar]
 - Vengelis, J.; Jarutis, V.; Franckevičius, M.; Gulbinas, V.; Sirutkaitis, V. Investigation of supercontinuum generated in the cladding of highly nonlinear photonic crystal fiber. JOSA B 2019, 36, A79–A85. [Google Scholar] [CrossRef]
 - Riishede, J.; Mortensen, N.A.; Gsgaard, J.L. A poor man s approach to modelling micro-structured optical fibres. Appl. Opt. 2003, 5, 534–538. [Google Scholar] [CrossRef][Green Version]
 - Böswetter, P.; Baselt, T.; Ebert, F.; Basan, F.; Hartmann, P. Evaluation of a time-frequency domain interferometer for simultaneous group-velocity dispersion measurements in multimode photonic crystal fibers. Appl. Opt. 2011, 50, E32–E37. [Google Scholar] [CrossRef]
 - Wang, Q.; Kong, L.; Dang, Y.; Xia, F.; Zhang, Y.; Zhao, Y.; Hu, H.; Li, J. High sensitivity refractive index sensor based on splicing points tapered smf-pcf-smf structure mach-zehnder mode interferometer. Sens. Actuators B Chem. 2016, 225, 213–220. [Google Scholar] [CrossRef]
 - Wright, L.G.; Ziegler, Z.M.; Lushnikov, P.M.; Zhu, Z.; Eftekhar, M.A.; Christodoulides, D.N.; Wise, F.W. Multimode nonlinear fiber optics: Massively parallel numerical solver, tutorial, and outlook. IEEE J. Sel. Top. Quantum Electron 2018, 24, 1–16. [Google Scholar] [CrossRef]
 - Poletti, F.; Horak, P. Description of ultrashort pulse propagation in multimode optical fibers. J. Opt. Soc. Am. B 2008, 25, 1645–1654. [Google Scholar] [CrossRef]
 - Lopez-Galmiche, G.; Eznaveh, Z.S.; Eftekhar, M.A.; Lopez, J.A.; Wright, L.G.; Wise, F.; Christodoulides, D.; Correa, R.A. Visible supercontinuum generation in a graded index multimode fiber pumped at 1064 nm. Opt. Lett. 2016, 41, 2553–2556. [Google Scholar] [CrossRef]
 - Tegin, U.; Ortac, B. Cascaded raman scattering based high power octave-spanning supercontinuum generation in graded-index multimode fibers. Sci. Rep. 2018, 8, 12470. [Google Scholar] [CrossRef]
 - Cherif, R.; Zghal, M.; Tartara, L.; Degiorgio, V. Supercontinuum generation by higher-order mode excitation in a photonic crystal fiber. Opt. Express 2008, 16, 2147–2152. [Google Scholar] [CrossRef]
 - Tani, F.; Travers, J.C.; Russell, P.S. Multimode ultrafast nonlinear optics in optical waveguides: Numerical modeling and experiments in kagomé photonic-crystal fiber. J. Opt. Soc. Am. B 2014, 31, 311–320. [Google Scholar] [CrossRef]
 - Perret, S.; Fanjoux, G.; Bigot, L.; Fatome, J.; Millot, G.; Dudley, J.M.; Sylvestre, T. Supercontinuum generation by intermodal four-wave mixing in a step-index few-mode fibre. APL Photonics 2019, 4, 022905. [Google Scholar] [CrossRef]
 - Pourbeyram, H.; Agrawal, G.P.; Mafi, A. Stimulated raman scattering cascade spanning the wavelength range of 523 to 1750 nm using a graded-index multimode optical fiber. Appl. Phys. Lett. 2013, 102, 201107. [Google Scholar] [CrossRef]
 - Fujisawa, T.; Koshiba, M. Finite element characterization of chromatic dispersion in nonlinear holey fibers. Opt. Express 2003, 11, 1481–1489. [Google Scholar] [CrossRef] [PubMed]
 - Coen, S.; Chau, A.H.L.; Leonhardt, R.; Harvey, J.D.; Knight, J.C.; Wadsworth, W.J.; Russell, P.S.J. Supercontinuum generation by stimulated raman scattering and parametric four-wave mixing in photonic crystal fibers. J. Opt. Soc. Am. B 2002, 19, 753–764. [Google Scholar] [CrossRef]
 - Wadsworth, W.J.; Joly, N.; Knight, J.C.; Birks, T.A.; Biancalana, F.; Russell, P.S.J. Supercontinuum and four-wave mixing with q-switched pulses in endlessly single-mode photonic crystal fibres. Opt. Express 2004, 12, 299–309. [Google Scholar] [CrossRef]
 - Shen, Y.; Voronin, A.A.; Zheltikov, A.M.; O’Conner, S.P.; Yakovlev, V.V.; Sokolov, A.V.; Scully, M.O. Picosecond supercontinuum generation in large mode area photonic crystal fibers for coherent anti-stokes raman scattering microspectroscopy. Sci. Rep. 2018, 8, 9526. [Google Scholar] [CrossRef]
 - Wang, W.; Qiu, S.; Xu, H.; Lin, T.; Meng, F.; Han, Y.; Qi, Y.; Wang, C.; Hou, L. Trench-assisted multicore fiber with single supermode transmission and nearly zero flattened dispersion. Appl. Sci. 2018, 8, 2483. [Google Scholar] [CrossRef]
 






© 2019 by the authors. Licensee MDPI, Basel, Switzerland. This article is an open access article distributed under the terms and conditions of the Creative Commons Attribution (CC BY) license (http://creativecommons.org/licenses/by/4.0/).
Share and Cite
Baselt, T.; Nelsen, B.; Lasagni, A.F.; Hartmann, P. Supercontinuum Generation in the Cladding Modes of an Endlessly Single-Mode Fiber. Appl. Sci. 2019, 9, 4428. https://doi.org/10.3390/app9204428
Baselt T, Nelsen B, Lasagni AF, Hartmann P. Supercontinuum Generation in the Cladding Modes of an Endlessly Single-Mode Fiber. Applied Sciences. 2019; 9(20):4428. https://doi.org/10.3390/app9204428
Chicago/Turabian StyleBaselt, Tobias, Bryan Nelsen, Andrés Fabián Lasagni, and Peter Hartmann. 2019. "Supercontinuum Generation in the Cladding Modes of an Endlessly Single-Mode Fiber" Applied Sciences 9, no. 20: 4428. https://doi.org/10.3390/app9204428
APA StyleBaselt, T., Nelsen, B., Lasagni, A. F., & Hartmann, P. (2019). Supercontinuum Generation in the Cladding Modes of an Endlessly Single-Mode Fiber. Applied Sciences, 9(20), 4428. https://doi.org/10.3390/app9204428
        
