Command-Filtered Backstepping Integral Sliding Mode Control with Prescribed Performance for Ship Roll Stabilization
Abstract
1. Introduction
- To the best of the author’s knowledge, the result in this paper is the first attempt to incorporate a prescribed performance control strategy in the ship rolling system control with adaptive sliding mode control.
- Compared to some existing methods, the impact caused by the external disturbances and the system uncertainty is taken into account, even with the estimation delay problem that is eliminated by the adaptive control strategy.
2. Problem Formulation
2.1. System Dynamic
2.2. Command Filter
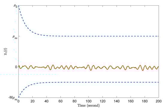
2.3. Prescribed Performance Control and Error Transformation
- (1)
- is positive and decreasing
- (2)
- .
2.4. Problem Formulation
- (1)
- By designing a proper backstepping control method that integrates the command-filter technique, the system output , namely the rolling angle, can be uniformly ultimately bounded.
- (2)
- The compensated tracking error can obtain the prescribed transient and steady-state performance with respect to the proposed control strategy.
- (3)
- In order to offset the impact caused by external disturbances, a disturbance observer is proposed in this paper to provide the estimation of the external disturbances during the design of the command-filter backstepping controller.
3. Main Result
3.1. Command-Filter Based Controller Design with Prescribed Performance
3.2. Command-Filter Based Controller Design with Prescribed Performance and Disturbance Observer
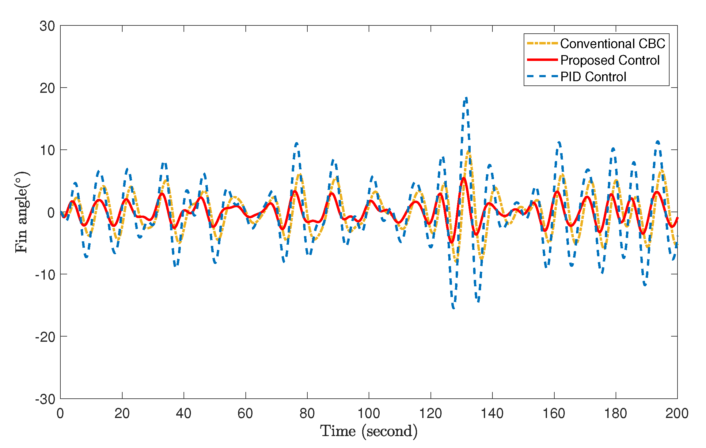
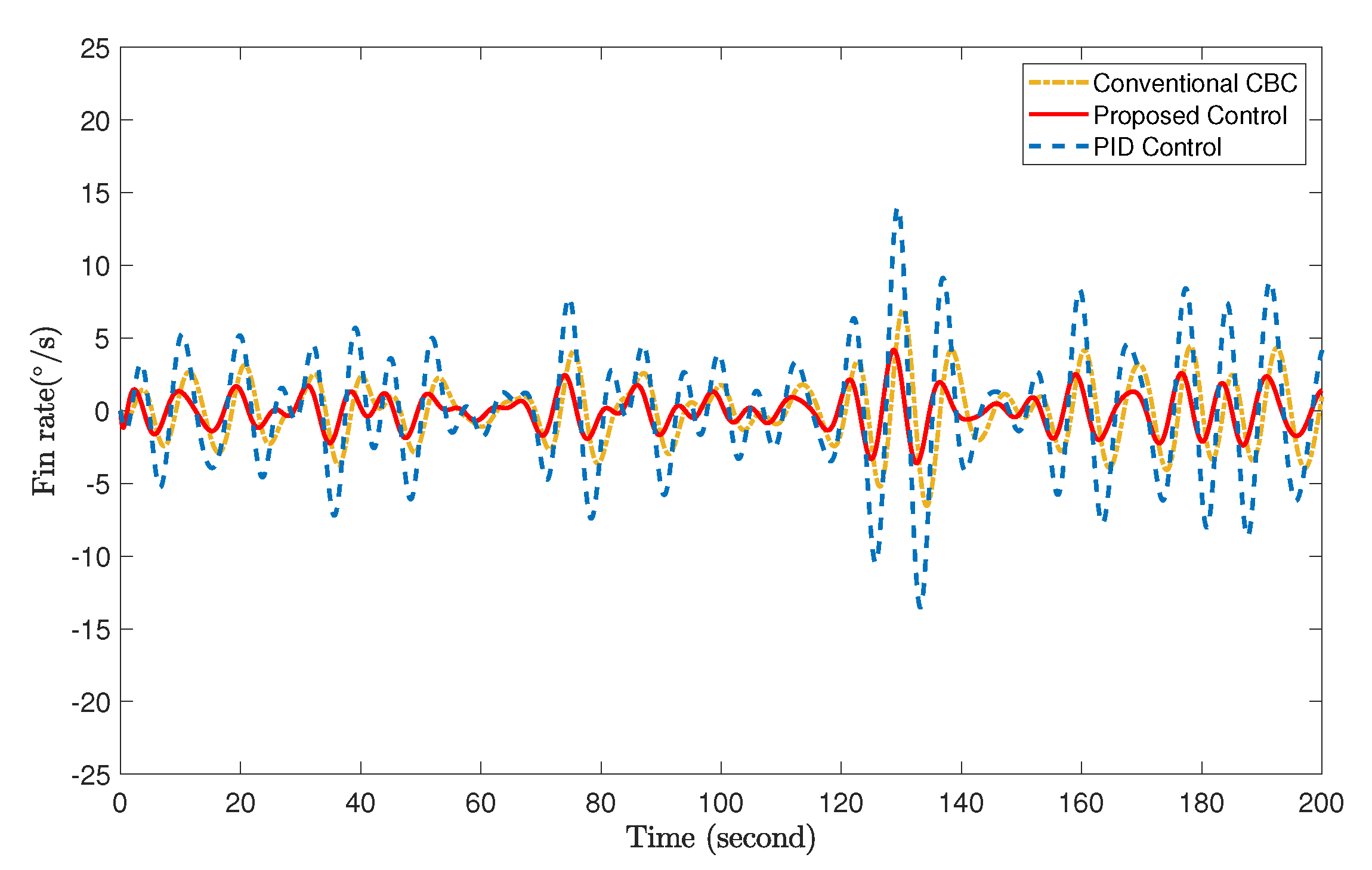
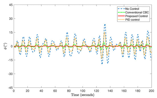
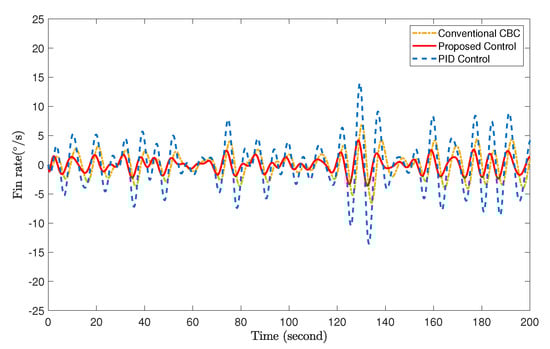
4. Simulation
5. Conclusions
Author Contributions
Funding
Conflicts of Interest
References
- Sun, M.; Luan, T.; Liang, L. RBF neural network compensation-based adaptive control for lift-feedback system of ship fin stabilizers to improve anti-rolling effect. Ocean Eng. 2018, 163, 307–321. [Google Scholar] [CrossRef]
- Perez, T.; Blanke, M. Ship roll damping control. Annu. Rev. Control 2012, 36, 129–147. [Google Scholar] [CrossRef]
- Sun, M.; Luan, T. A novel control system of ship fin stabilizer using force sensor to measure dynamic lift. IEEE Access 2018, 6, 60513–60531. [Google Scholar] [CrossRef]
- Ghaemi, R.; Sun, J.; Kolmanovsky, I.V. Robust control of ship fin stabilizers subject to disturbances and constraints. In Proceedings of the American Control Conference, St. Louis, MO, USA, 10–12 June 2009; pp. 537–542. [Google Scholar]
- Fang, M.; Zhuo, Y.Z.; Lee, Z.Y. The application of the self-tuning neural network pid controller on the ship roll reduction in random waves. Ocean Eng. 2010, 37, 537–542. [Google Scholar] [CrossRef]
- Liang, L.; Sun, M.; Shi, H.; Luan, T. Design and analyze a new measuring lift device for fin stabilizers using stiffness matrix of euler-bernoulli beam. PLoS ONE 2017, 12, e0168972. [Google Scholar] [CrossRef] [PubMed]
- Liang, L.; Zhao, P.; Zhang, S.; Ji, M.; Yuan, J. Simulation analysis of fin stabilizer on ship roll control during turning motion. Ocean Eng. 2018, 164, 733–748. [Google Scholar]
- Liang, L.; Wen, Y. Integrated rudder/fin control with disturbance compensation distributed model predictive control. IEEE Access 2018, 6, 72925–72938. [Google Scholar] [CrossRef]
- Chen, W.; Ballance, D.J.; Gawthrop, P.J.; Oreilly, J. A nonlinear disturbance observer for robotic manipulators. IEEE Trans. Ind. Electron. 2000, 47, 932–938. [Google Scholar] [CrossRef]
- Zhang, C.; Ma, G.; Sun, Y.; Li, C. Observer-based prescribed performance attitude control for flexible spacecraft with actuator saturation. ISA Trans. 2019, 89, 84–95. [Google Scholar] [CrossRef]
- Bechlioulis, C.P.; Rovithakis, G.A. Adaptive control with guaranteed transient and steady state tracking error bounds for strict feedback systems. Automatica 2009, 45, 532–538. [Google Scholar] [CrossRef]
- Bechlioulis, C.P.; Rovithakis, G.A. Robust adaptive control of feedback linearizable MIMO nonlinear systems with pre-scribed performance. IEEE Trans. Autom. Control 2008, 53, 2090–2099. [Google Scholar] [CrossRef]
- Bu, X.; Wu, X.; Zhu, F.; Huang, J.; Ma, Z.; Zhang, R. Novel prescribed performance neural control of a flexible air-breathing hypersonic vehicle with unknown initial errors. ISA Trans. 2015, 59, 149–159. [Google Scholar] [CrossRef] [PubMed]
- Psomopoulou, E.; Theodorakopoulos, A.; Doulgeri, Z.; Rovithakis, G.A. Prescribed performance tracking of a variable stiffness actuated robot. IEEE Trans. Control Syst. Technol. 2015, 23, 1914–1926. [Google Scholar] [CrossRef]
- Wang, W.; Wen, C. Adaptive actuator failure compensation control of uncertain nonlinear systems with guaranteed transient performance. Automatica 2010, 46, 2082–2091. [Google Scholar] [CrossRef]
- Bechlioulis, C.P.; Rovithakis, G.A. Decentralized robust synchronization of unknown high order nonlinear multi-agent systems with prescribed transient and steady state performance. IEEE Trans. Autom. Control 2017, 62, 123–134. [Google Scholar] [CrossRef]
- Li, R.; Li, T.; Bai, W.; Du, X. An adaptive neural network approach for ship roll stabilization via fin control. Neuro-Computing 2016, 173, 953–957. [Google Scholar] [CrossRef]
- Zhou, J.; Wen, C.; Wang, W.; Yang, F. Adaptive backstepping control of nonlinear uncertain systems with quantized states. IEEE Trans. Autom. Control 2019. [Google Scholar] [CrossRef]
- Xu, D.; Wang, G.; Yan, W.; Yan, X. A novel adaptive command-filtered backstepping sliding mode control for PV grid-connected system with energy storage. Sol. Energy 2019, 178, 222–230. [Google Scholar] [CrossRef]
- Mazenc, F.; Burlion, L.; Malisoff, M. Backstepping design for output feedback stabilization for a class of uncertain systems. Syst. Control Lett. 2019, 123, 134–143. [Google Scholar] [CrossRef]
- Kim, Y.; Oh, T.H.; Park, T.; Lee, J.M. Backstepping control integrated with lyapunov-based model predictive control. J. Process Control 2019, 73, 137–146. [Google Scholar] [CrossRef]
- Xu, D.; Huang, J.; Su, X.; Shi, P. Adaptive command-filtered fuzzy backstepping control for linear induction motor with unknown end effect. Inf. Sci. 2019, 477, 118–131. [Google Scholar] [CrossRef]
- Kang, C.M.; Kim, W.; Chung, C.C. Observer-based backstepping control method using reduced lateral dynamics for autonomous lane-keeping system. ISA Trans. 2018, 83, 214–226. [Google Scholar] [CrossRef] [PubMed]
- Yu, J.; Shi, P.; Zhao, L. Finite-time command filtered backstepping control for a class of nonlinear systems. Automatica 2018, 92, 173–180. [Google Scholar] [CrossRef]
- Dong, W.; Farrell, J.A.; Polycarpou, M.M.; Djapic, V.; Sharma, M. Command filtered adaptive backstepping. IEEE Trans. Control Syst. Technol. 2012, 20, 566–580. [Google Scholar] [CrossRef]
- Farrell, J.A.; Polycarpou, M.; Sharma, M.; Dong, W. Command filtered backstepping. IEEE Trans. Autom. Control 2009, 54, 1391–1395. [Google Scholar] [CrossRef]








© 2019 by the authors. Licensee MDPI, Basel, Switzerland. This article is an open access article distributed under the terms and conditions of the Creative Commons Attribution (CC BY) license (http://creativecommons.org/licenses/by/4.0/).
Share and Cite
Jin, Z.; Zhang, W.; Liu, S.; Gu, M. Command-Filtered Backstepping Integral Sliding Mode Control with Prescribed Performance for Ship Roll Stabilization. Appl. Sci. 2019, 9, 4288. https://doi.org/10.3390/app9204288
Jin Z, Zhang W, Liu S, Gu M. Command-Filtered Backstepping Integral Sliding Mode Control with Prescribed Performance for Ship Roll Stabilization. Applied Sciences. 2019; 9(20):4288. https://doi.org/10.3390/app9204288
Chicago/Turabian StyleJin, Zhongjia, Weiming Zhang, Sheng Liu, and Min Gu. 2019. "Command-Filtered Backstepping Integral Sliding Mode Control with Prescribed Performance for Ship Roll Stabilization" Applied Sciences 9, no. 20: 4288. https://doi.org/10.3390/app9204288
APA StyleJin, Z., Zhang, W., Liu, S., & Gu, M. (2019). Command-Filtered Backstepping Integral Sliding Mode Control with Prescribed Performance for Ship Roll Stabilization. Applied Sciences, 9(20), 4288. https://doi.org/10.3390/app9204288

