Effects of Diverging Nozzle Downstream on Flow Field Parameters of Rotating Detonation Combustor
Abstract
Featured Application
Abstract
1. Introduction
2. Numerical Model and Method
2.1. Physical Model
2.2. Numerical Method
2.3. Initial and Boundary Conditions
- (a) In the case of pw ≥ pin, = 0;
- (b) In the case of pin > pw > pcr, ;
- (c) In the case of pw ≤ pcr, .
2.4. Independence Test and Model Validation
3. Numerical Results and Discussion
3.1. Effect of Diverging Nozzle on the Formation and Propagation Process of Detonation Wave
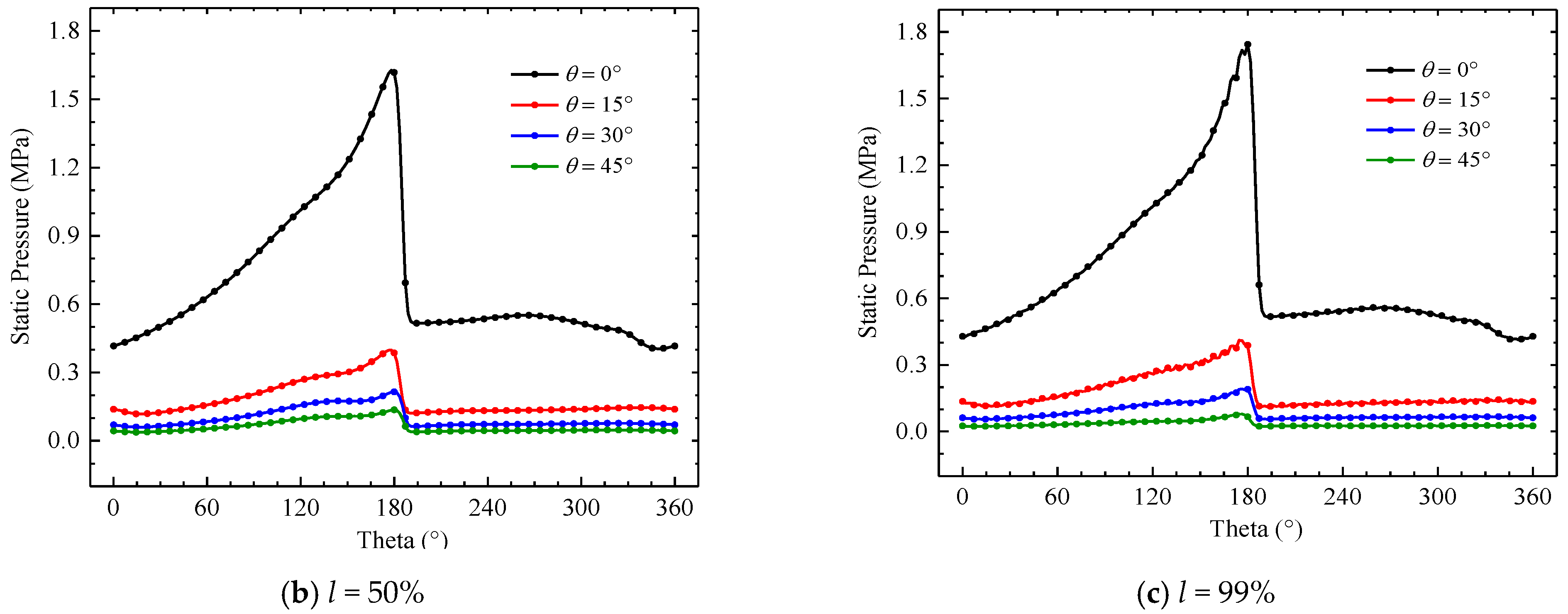
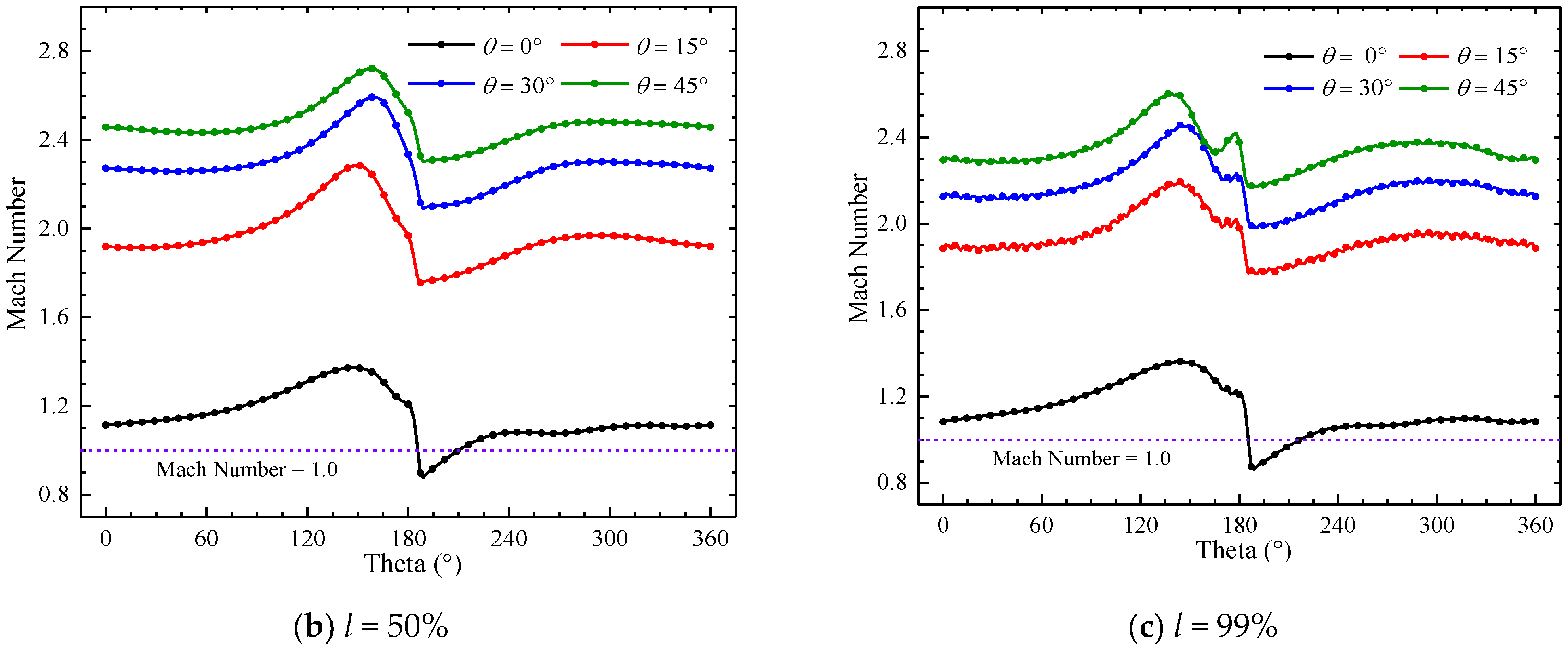
3.2. Effect of Different Diverging Nozzles on Pressure Parameters
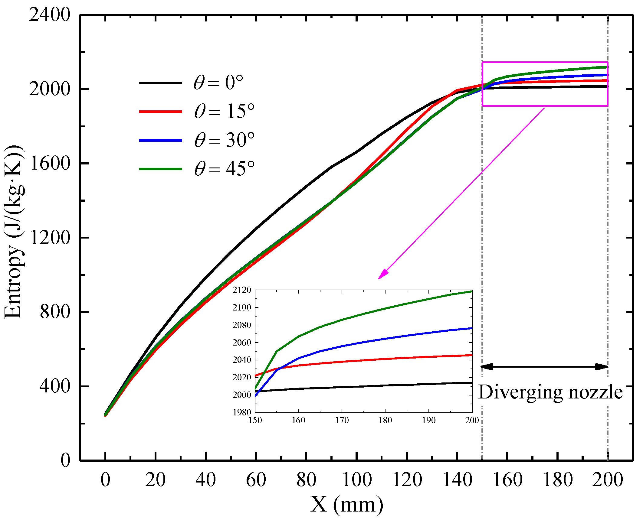
3.3. Effect of Different Diverging Nozzles on Temperature Parameters
4. Conclusions
Author Contributions
Funding
Conflicts of Interest
| Nomenclature | |
| e | internal energy (J/kmol) |
| et | total energy (J/kmol) |
| E | activation energy in the reaction (J/kmol) |
| mass flow rate (kg/s) | |
| h | height of detonation wave (mm) |
| time-averaged height of detonation wave (mm) | |
| Δi | grid size (mm) |
| j | the label of species |
| l | the ruler of the width between the inner wall and outer wall |
| M | molecular weight (kg/kmol) |
| Nn | total number of the reactions |
| Ns | total number of the species |
| P | pressure (MPa) |
| average pressure (MPa) | |
| r | chemical reaction |
| R | universal gas constant (J/(kmol·K)) |
| S | source vector |
| t | time (μs) |
| trot | propagating period of detonation wave (μs) |
| Δt | time step (μs) |
| T | Temperature (K) |
| average temperature (K) | |
| u, v, w | velocities in the x, y, and z directions (m/s) |
| U, V, W | convective flux vectors |
| Greek letters | |
| β | temperature exponent |
| γ | specific heat ratio |
| efficiency | |
| κ | reaction rate constant |
| ξ | molar concentration (kmol/m3) |
| total pressure ratio | |
| ρ | total density of the premixed gas (kg/m3) |
| ρj | density of the specie j (kg/m3) |
| υ | stoichiometric coefficient |
| Φ | physical variable vector |
| ω | production rate (kmol/(m3·s)) |
| Superscripts | |
| ′ | backward reaction |
| ″ | forward reaction |
| Subscripts | |
| cr | critical |
| d | detonation |
| w | injection |
| in | inlet of combustor |
| out | outlet of combustor |
| 1 | inner wall of combustor |
| 2 | outer wall of combustor |
References
- Sabia, P.P.; Sorrentino, G.; Bozza, P.; Ceriello, G.; Ragucci, R.; De Joannon, M. Fuel and thermal load flexibility of a MILD burner. Proc. Combus. Inst. 2019, 37, 4547–4554. [Google Scholar] [CrossRef]
- Sorrentino, G.; Ceriello, G.; De Joannon, M.; Sabia, P.; Ragucci, R.; Van Oijen, J.; Cavaliere, A.; De Goey, L.P.H. Numerical investigation of moderate or intense low-oxygen dilution combustion in a cyclonic burner using a flamelet-generated manifold approach. Energy Fuels 2018, 32, 10242–10255. [Google Scholar] [CrossRef]
- Rankin, B.A.; Fotia, M.L.; Naples, A.G.; Stevens, C.A.; Hoke, J.L.; Kaemming, T.A. Overview of performance, application, and analysis of rotating detonation engine technologies. J. Propul. Power 2016, 33, 131–143. [Google Scholar] [CrossRef]
- Wolański, P. Detonative propulsion. Proc. Combust. Inst. 2013, 34, 125–158. [Google Scholar] [CrossRef]
- Anand, V.; George, A.S.; Luzan, C.F.D.; Gutmark, E. Rotating detonation wave mechanics through ethylene-air mixtures in hollow combustors, and implications to high frequency combustion instabilities. Exp. Therm. Fluid Sci. 2018, 92, 314–325. [Google Scholar] [CrossRef]
- Saha, P.; Strakey, P.; Ferguson, D. Numerical investigations of instabilities in a natural gas-air fueled rotating detonationengine. In Proceedings of the ASME Turbo Expo 2019: Turbomachinery Technical Conference and Exposition (ASME GT2019–91643), Phoenix, AZ, USA, 17–21 June 2019. [Google Scholar]
- Jourdaine, N.; Tsuboi, N.; Ozawa, K.; Kojimab, T.; Hayashic, A.K. Three-dimensional numerical thrust performance analysis of hydrogen fuel mixture rotating detonation engine with aerospike nozzle. Proc. Combust. Inst. 2019, 37, 3443–3451. [Google Scholar] [CrossRef]
- Fotia, M.; Kaemming, T.A.; Hoke, J.; Codoni, J.R.; Schauer, F. Experimental thrust sensitivity of a rotating detonation engine to various aerospike plug-nozzle configurations. In Proceedings of the 57th AIAA Science and Technology Forum and Exposition (AIAA 2019–1743), San Diego, CA, USA, 7–11 January 2019. [Google Scholar]
- Sousa, J.; Paniagua, G.; Morata, E.C. Thermodynamic analysis of a gas turbine engine with a rotating detonation combustor. Appl. Energy 2017, 195, 247–256. [Google Scholar] [CrossRef]
- Qi, L.; Zhao, N.B.; Wang, Z.T.; Yang, J.L.; Zheng, H.T. Pressure gain characteristic of continuously rotating detonation combustion and its influence on gas turbine cycle performance. IEEE Access 2018, 6, 70236–70247. [Google Scholar] [CrossRef]
- Qi, L.; Wang, Z.T.; Zhao, N.B.; Dai, Y.Q.; Zheng, H.T.; Meng, Q.Y. Investigation of the pressure gain characteristics and cycle performance in gas turbines based on interstage bleeding rotating detonation combustion. Entropy 2019, 21, 265. [Google Scholar] [CrossRef]
- Paxson, D.E.; Naples, A. Numerical and analytical assessment of a coupled rotating detonation engine and turbine experiment. In Proceedings of the 55th AIAA Aerospace Sciences Meeting (AIAA 2017–1746), Grapevine, TX, USA, 9–13 January 2017. [Google Scholar]
- Liu, Z.; Braun, J.; Paniagua, G. Characterization of a supersonic turbine downstream of a rotating detonation combustor. J. Eng. Gas Turbines Power 2019, 141, 031501. [Google Scholar] [CrossRef]
- Sousa, J.; Paniagua, G.; Saavedra, J. Aerodynamic response of internal passages to pulsating inlet supersonic conditions. Comput. Fluids 2017, 149, 31–40. [Google Scholar] [CrossRef]
- Depperschmidt, D.; Miller, R.; Tobias, J.; Uddi, M.; Agrawal, A.K.; Stout, J.B. Time-Resolved PIV diagnostics to measure flow field exiting methane-fueled rotating detonation combustor. In Proceedings of the 57th AIAA Science and Technology Forum and Exposition (AIAA 2019–1514), San Diego, CA, USA, 7–11 January 2019. [Google Scholar]
- Rankin, B.A.; Hoke, J.; Schauer, F. Periodic exhaust flow through a converging-diverging nozzle downstream of a rotating detonation engine. In Proceedings of the 52nd Aerospace Sciences Meeting (AIAA 2014–1015), National Harbor, MD, USA, 13–17 January 2014. [Google Scholar]
- Tellefsen, J.R. Build up and Operation of an Axial Turbine Driven by a Rotary Detonation Engine. Master’s thesis, Air Force Institute of Technology, Dayton, OH, USA, January 2011. [Google Scholar]
- Zhou, S.; Ma, H.; Liu, D.; Yan, Y.; Li, S.; Zhou, C. Experimental study of a hydrogen-air rotating detonation combustor. Int. J. Hydrogen Energy 2017, 42, 14741–14749. [Google Scholar] [CrossRef]
- Zhou, S.; Ma, H.; Li, S.; Liu, D.; Yan, Y.; Zhou, C. Effects of a turbine guide vane on hydrogen-air rotating detonation wave propagation characteristics. Int. J. Hydrogen Energy 2017, 42, 20297–20305. [Google Scholar] [CrossRef]
- Fotia, M.; Schauer, F.; Kaemming, T.A.; Hoke, J. Study of the experimental performance of a rotating detonation engine with nozzled exhaust flow. In Proceedings of the 53rd AIAA Aerospace Sciences Meeting (AIAA 2015–0631), Kissimmee, FL, USA, 5–9 January 2015. [Google Scholar]
- Naples, A.; Hoke, J.; Battelle, R.; Schauer, F. T63 Turbine response to rotating detonation combustor exhaust flow. J. Eng. Gas Turbines Power 2019, 141, 021029. [Google Scholar] [CrossRef]
- Naples, A.; Hoke, J.; Battelle, R.; Wagner, M. RDE implementation into an open-loop T63 gas turbine engine. In Proceedings of the 55th AIAA Aerospace Sciences Meeting (AIAA 2017–1747), Grapevine, TX, USA, 9–13 January 2017. [Google Scholar]
- Dunn, I.B.; Thurmond, K.; Ahmed, K.A.; Vasu, S. Exploration of measuring pressure gain combustion within a rotating detonation engine. In Proceedings of the 54th AIAA/ASME/SAE/ASEE Joint Propulsion Conference and Exhibit (AIAA 2018–4566), Cincinnati, OH, USA, 9–11 July 2018. [Google Scholar]
- Bach, E.; Bohon, M.D.; Paschereit, C.O.; Stathopoulos, P. Impact of outlet restriction on RDC performance and stagnation pressure rise. In Proceedings of the 57th AIAA Science and Technology Forum and Exposition (AIAA 2019–0476), San Diego, CA, USA, 7–11 January 2019. [Google Scholar]
- Braun, J.; Saracoglu, B.H.; Paniagua, G. Unsteady performance of rotating detonation engines with different exhaust nozzles. J. Propul. Power 2016, 33, 121–130. [Google Scholar] [CrossRef]
- Bykovskii, F.A.; Zhdan, S.A.; Vedernikov, E.F. Continuous spin detonation of fuel-air mixtures. Combust. Explos. Shock Waves 2006, 42, 463–471. [Google Scholar] [CrossRef]
- Kindracki, J. Experimental research on rotating detonation in liquid fuel–gaseous air mixtures. Aerosp. Sci. Technol. 2015, 43, 445–453. [Google Scholar] [CrossRef]
- Andrus, I.Q.; Polanka, M.D.; King, P.I.; Schauer, F.R.; Hoke, J.L. Experimentation of premixed rotating detonation engine using variable slot feed plenum. J. Propuls. Power 2017, 33, 1448–1458. [Google Scholar] [CrossRef]
- Welch, C.; Depperschmidt, D.; Miller, R.; Tobias, J.; Uddi, M.; Agrawal, A.K.; Lowe, S. Experimental analysis of wave propagation in a methane-fueled rotating detonation combustor. In Proceedings of the ASME Turbo Expo 2018: Turbomachinery Technical Conference and Exposition (ASME GT2018–77258), Oslo, Norway, 11–15 June 2018. [Google Scholar]
- Ciccarelli, G.; Dorofeev, S. Flame acceleration and transition to detonation in ducts. Prog. Energy Combust. Sci. 2008, 34, 499–550. [Google Scholar] [CrossRef]
- Pintgen, F.; Eeckett, C.A.; Austin, J.M.; Shepherd, J.E. Direct observations of reaction zone structure in propagating detonations. Combust. Flame 2003, 133, 211–229. [Google Scholar] [CrossRef]
- Hu, X.Y.; Khoo, B.C.; Zhang, D.L.; Jiang, Z.L. The cellular structure of a two-dimensional h2/o2/air detonation wave. Combust. Theory Model. 2004, 8, 339–359. [Google Scholar] [CrossRef] [PubMed]
- Hu, X.Y.; Zhang, D.L.; Khoo, B.C.; Jiang, Z.L. The structure and evolution of a two-dimensional h2/o2/air cellular detonation. Shock Waves 2005, 14, 37–44. [Google Scholar] [CrossRef]
- Zhang, B.; Pang, L.; Shen, X.; Gao, Y. Measurement and prediction of detonation cell size in binary fuel blends of methane/hydrogen mixtures. Fuel 2016, 172, 196–199. [Google Scholar] [CrossRef]
- Peng, H.Y.; Liu, W.D.; Liu, S.J.; Zhang, H.L.; Zhou, W.Y. Realization of methane-air continuous rotating detonation wave. Acta Astronaut. 2019, 164, 1–8. [Google Scholar] [CrossRef]
- Zheng, H.T.; Qi, L.; Zhao, N.B.; Li, Z.M.; Liu, X. A thermodynamic analysis of the pressure gain of continuously rotating detonation combustor for gas turbine. Appl. Sci. 2018, 8, 535. [Google Scholar] [CrossRef]
- Choi, J.Y.; Shin, E.J.; Jeung, I.S. Unstable combustion induced by oblique shock waves at the non-attaching condition of the oblique detonation wave. Proc. Combust. Inst. 2009, 32, 2387–2396. [Google Scholar] [CrossRef]
- Heidari, A.; Ferraris, S.; Wen, J.X.; Tam, V.H. Numerical simulation of large scale hydrogen detonation. Int. J. Hydrogen Energy. 2011, 36, 2538–2544. [Google Scholar] [CrossRef]
- Melguizo-Gavilanes, J.; Rezaeyan, N.; Tian, M.; Bauwens, L. Shock-induced ignition with single step Arrhenius kinetics. Int. J. Hydrogen Energy 2011, 36, 2374–2380. [Google Scholar] [CrossRef]
- Swiderski, K.; Folusiak, M.; Lukasik, B.; Kobiera, K.; Kindracki, J.; Wolanski, P. Three dimensional numerical study of the propulsion system based on rotating detonation using Adaptive Mesh Refinement. In Proceedings of the 24th International Colloquium on the Dynamics of Explosions and Reactive Systems, Taipei, Taiwan, 28 July–2 August 2013. [Google Scholar]
- Nordeen, C.; Schwer, D.; Schauer, F.; Hoke, J.; Barber, T.; Cetegen, B. Energy transfer in a rotating detonation engine. In Proceedings of the 47th AIAA/ASME/SAE/ASEE Joint Propulsion Conference and Exhibit (AIAA 2011–6045), San Diego, CA, USA, 31 July–3 August 2013. [Google Scholar]
- Schwer, D.; Kailasanath, K. Numerical study of the effects of engine size on rotating detonation engines. In Proceedings of the 49th AIAA Aerospace Sciences Meeting Including the New Horizons Forum and Aerospace Exposition (AIAA 2011–6045), Oriando, FL, USA, 4–7 January 2011. [Google Scholar]
- Liu, L.; Zhang, Q.; Shen, S.; Li, D.; Lian, Z.; Wang, Y. Evaluation of detonation characteristics of aluminum/jp-10/air mixtures at stoichiometric concentrations. Fuel 2016, 169, 41–49. [Google Scholar] [CrossRef]
- Wang, Y. Rotating detonation in a combustor of trapezoidal cross section for the hydrogen-air mixture. Int. J. Hydrogen Energy 2016, 41, 5605–5616. [Google Scholar] [CrossRef]
- CEARUN. Available online: https://cearun.grc.nasa.gov (accessed on 17 September 2019).
- Pan, Z.; Fan, B.; Zhang, X.; Gui, M.; Dong, G. Wavelet pattern and self-sustained mechanism of gaseous detonation rotating in a coaxial cylinder. Combust. Flame 2011, 158, 2220–2228. [Google Scholar] [CrossRef]
- Katta, V.R. Structure of Rotating Detonation Wave in Methane-Oxygen Mixtures. In Proceedings of the AIAA Scitech 2019 Forum (AIAA 2019–1499), San Diego, CA, USA, 7–11 January 2019. [Google Scholar]
- Bykovskii, F.A.; Vedernikov, E.F. Continuous detonation of a subsonic flow of a propellant. Combust. Explos. Shock Waves 2003, 39, 323–334. [Google Scholar] [CrossRef]
- Walters, I.; Journel, C.L.; Lemcherfi, A.; Gejji, R.; Heister, S.; Slabaugh, C.D. Parametric survey of a natural gas-air rotating detonation engine at elevated pressure. In Proceedings of the AIAA Scitech 2019 Forum (AIAA 2019–1510), San Diego, CA, USA, 7–11 January 2019. [Google Scholar]
- Ishii, K.; Itoh, K.; Tsuboi, T. A study on velocity deficits of detonation waves in narrow gaps. Proc. Combust. Inst. 2002, 29, 2789–2794. [Google Scholar] [CrossRef]
- Fay, J.A. Two-dimensional gaseous detonations: Velocity deficit. Phys. Fluids 1959, 2, 283–289. [Google Scholar] [CrossRef]
- Yellapantula, S.; Tangirala, V.; Singh, K.; Haynes, J. A numerical study of H2-air rotating detonation combustor. In Proceedings of the 26th International Colloquium on the Dynamics of Explosions and Reactive Systems, Boston, MA, USA, 30 July–4 August 2017. [Google Scholar]
- Zhou, R.; Wang, J.P. Numerical investigation of shock wave reflections near the head ends of rotating detonation engines. Shock Waves 2013, 23, 461–472. [Google Scholar] [CrossRef]
- Schwer, D.; Kailasanath, K. Numerical investigation of the physics of rotating-detonation-engines. Proc. Combust. Inst. 2011, 33, 2195–2202. [Google Scholar] [CrossRef]




























| Δi (mm) | trot (μs) | |Δtrot | (%) | ||||
|---|---|---|---|---|---|---|
| 0.25 | 443.0 | - | 1.55278 | - | 2592.1 | - |
| 0.5 | 444.3 | 0.3% | 1.54657 | 0.4% | 2589.5 | 0.1% |
| 1.2 | 445.6 | 0.3% | 1.53574 | 0.7% | 2586.9 | 0.1% |
| 2 | 448.7 | 0.7% | 1.49120 | 2.9% | 2563.6 | 0.9% |
| Δt (μs) | trot (μs) | |Δtrot | (%) | ||||
|---|---|---|---|---|---|---|
| 0.05 | 443.4 | - | 1.54811 | - | 2587.2 | - |
| 0.1 | 443.8 | 0.1% | 1.54501 | 0.4% | 2587.6 | 0% |
| 0.2 | 445.6 | 0.4% | 1.53574 | 0.7% | 2586.9 | 0% |
| 0.4 | 457.6 | 2.7% | 1.48352 | 2.9% | 2579.1 | 0.3% |
| θ | 0° | 15° | 30° | 45° |
|---|---|---|---|---|
| hd/mm | 106.68 | 106.54 | 105.23 | 105.02 |
© 2019 by the authors. Licensee MDPI, Basel, Switzerland. This article is an open access article distributed under the terms and conditions of the Creative Commons Attribution (CC BY) license (http://creativecommons.org/licenses/by/4.0/).
Share and Cite
Sun, C.; Zheng, H.; Li, Z.; Zhao, N.; Qi, L.; Guo, H. Effects of Diverging Nozzle Downstream on Flow Field Parameters of Rotating Detonation Combustor. Appl. Sci. 2019, 9, 4259. https://doi.org/10.3390/app9204259
Sun C, Zheng H, Li Z, Zhao N, Qi L, Guo H. Effects of Diverging Nozzle Downstream on Flow Field Parameters of Rotating Detonation Combustor. Applied Sciences. 2019; 9(20):4259. https://doi.org/10.3390/app9204259
Chicago/Turabian StyleSun, Chengwen, Hongtao Zheng, Zhiming Li, Ningbo Zhao, Lei Qi, and Hongbo Guo. 2019. "Effects of Diverging Nozzle Downstream on Flow Field Parameters of Rotating Detonation Combustor" Applied Sciences 9, no. 20: 4259. https://doi.org/10.3390/app9204259
APA StyleSun, C., Zheng, H., Li, Z., Zhao, N., Qi, L., & Guo, H. (2019). Effects of Diverging Nozzle Downstream on Flow Field Parameters of Rotating Detonation Combustor. Applied Sciences, 9(20), 4259. https://doi.org/10.3390/app9204259
