Next Article in Journal
Microwave Photonic Devices Based on Liquid Crystal on Silicon Technology
Previous Article in Journal
Clamping Resonators for Low-Frequency S0 Lamb Wave Reflection
 
 
Font Type:
Arial Georgia Verdana
Font Size:
Aa Aa Aa
Line Spacing:
Column Width:
Background:
Article

Identification and Representation of Multi-Pulse Near-Fault Strong Ground Motion Using Adaptive Wavelet Transform

1
Institute of Earthquake Engineering, Faculty of Infrastructure Engineering, Dalian University of Technology, Dalian 116024, China
2
State Key Laboratory of Coastal and Offshore Engineering, Dalian University of Technology, Dalian 116024, China
*
Author to whom correspondence should be addressed.
Appl. Sci. 2019, 9(2), 259; https://doi.org/10.3390/app9020259
Submission received: 30 November 2018 / Revised: 30 December 2018 / Accepted: 3 January 2019 / Published: 12 January 2019

Abstract

Featured Application

The proposed adaptive wavelet transform algorithm can be used to identify the prominent pulse embedded in near-fault earthquake motion.

Abstract

In order to identify the horizontal seismic motion owning the largest pulse energy, and represent the dominant pulse-like component embedded in this seismic motion, we used the adaptive wavelet transform algorithm in this paper. Fifteen candidate mother wavelets were evaluated to select the optimum wavelet based on the similarities between the candidate mother wavelet and the target seismic motion, evaluated by the minimum cross variance. This adaptive choosing algorithm for the optimum mother wavelet was invoked before identifying both the horizontal direction owning the largest pulse energy and every dominant pulse, which provides the optimum mother wavelet for the continuous wavelet transform. Each dominant pulse can be represented by its adaptively selected optimum mother wavelet. The results indicate that the identified multi-pulse component fits well with the seismic motion. In most cases, mother wavelets in one multi-pulse seismic motion were different from each other. For the Chi-Chi event (1999-Sep-20 17:47:16 UTC, Mw = 7.6), 62.26% of the qualified pulse-like earthquake motions lay in the horizontal direction ranging from ±15° to ±75°. The Daubechies 6 (db6) mother wavelet was the most frequently used type for both the first and second pulse components.

1. Introduction

There has been a constant focus on the characteristic of near-fault earthquake motion since the Northridge event in the U.S., the Kobe event in Japan, and the Chi-Chi event in Taiwan [1]. The increased availability of recorded ground motions from these seismic events suggests that the dynamic characteristics of ground shaking can significantly vary as a function of the recording station’s location with respect to the fault and evolution of the rupture process [2]. The long pulse period and large velocity amplitude of the near-fault earthquake motion may cause severe damage to massive engineering structures [3]. The empirical mode decomposition (EMD) is used to identify and separate the dominant pulse [4]. Wen et al. [5] found that the pulse-like near-fault ground motions can significantly increase the displacement demand of structures under a medium period.
The near-fault earthquake motion is roughly defined by the record whose closest distance-to-fault is within 20–30 km. The effect of rupture direction and the permanent ground displacement, are two significant features of the near-fault earthquake motion [6]. Larger pulse motions exist in the direction normal to the fault than that parallel to it, due to the radiation pattern of shear dislocation on the fault [7]. The rupture source propagates into the surrounding medium at a speed close to shear velocity, which causes rupture energy arrival in a few pulse patterns. The horizontal component, perpendicular to the fault, contains the long period pulse-like motion [8]. This type of phenomenon is very similar to the Doppler Effect concept in acoustics. The peak ground acceleration, velocity, and displacement are the critical parameters that influence the structural seismic response [9]. Near-fault recordings from recent earthquakes indicate that the pulse is a narrow band waveform, whose period increases with magnitude [10]. The closest distance-to-fault (R) is just a convenient engineering parameter that roughly identifies the pulse-like motion. A more rigorous identification and representation approach should be considered to quantitatively classify the near-fault pulse-like motions.
No universal accepted criteria exist regarding how to identify the most unfavorable seismic input direction with the largest pulse energy, and the knowledge about the characteristic of the seismic signal in that unfavorable direction is limited. Many researchers have investigated the characteristic of the pulse-like earthquake motion, and its influence on the seismic response of structures: Alavi et al., input the equivalent pulse into the elastic and elastic–plastic frame structure to investigate the influence of pulse motion on frame structure. They found that frame structures behave differently depending on whether their base frequency is smaller or larger than pulse frequency [11]. Arghya et al. investigated the influence of bidirectional near-fault excitations on reinforced concrete (RC) bridge piers. The influence of bidirectional shaking is accounted for by using a simplified 30% rule. Bidirectional interaction under near-fault motion is observed to substantially amplify damage, particularly for a stiff system [12]. Sehhati et al. studied the effect of near-fault ground motions on the multi-story structures. They found that pulse-like forward-directivity ground motions impose a larger ductility demand on the structure compared to ordinary ground motions [13]. Based on the value of maximum fractional signal energy contribution by any half-cycle of the velocity time-history, Mukhopadhyay et al. proposed an objective criterion to differentiate directivity pulse-like motions from the available suite of recorded ground motions [14]. Ghahari et al. utilized the moving average filtering with appropriate cut-off frequency to decompose the near-fault ground motions into two components: Pulse-Type record and BackGround record. They found that the spectra of near-fault ground motions typically have two distinct local peaks that are representatives of the high- and low-frequency components [15]. Tang et al. proposed an approach to identify the pulse-like motions in earthquake recordings, based on the congruence relationship between the response spectrum and the dimensionless Π-response spectrum [16]. However, only one channel of the recorded signals was considered in this approach. Baker proposed a wavelet-based approach to quantitatively classify near-fault earthquake records. Pulse-related parameters can be extracted based on the one pulse waveform with the largest pulse energy [1]. This approach is quite useful at identifying whether the one set near-fault earthquake motion is pulse-like or not. However, the pulse component extracted by this method is composed of one pulse waveform, which is not an adequate representation of the interested pulse feature of earthquake motion records if the multi-pulse waveform is of concern.
For an earthquake event with highly non-uniform slip distribution, such as the Chi-Chi event in Taiwan (1999-September-20 17:47:16 UTC, Mw = 7.6), the type of pulse sequence observed depends on the instrument’s distance relative to the asperities. These factors contribute to the existence of the multi-pulse near-fault earthquake motion [17]. The number of dominant pulses in the velocity time-history might be related to the number of finite asperities in a fault. However, it is difficult to estimate the slip distribution pattern in a destructive fault a priori [18].
Many attempts have been made to investigate the characteristics of the near-fault earthquake motion by identifying or extracting the multi-pulse components in the recorded seismic signal. For example, a sum of two and three velocity pulses was utilized to create pulse representations for two records [19]. However, only one component from strike-normal or strike-parallel was considered. The strike-normal or strike-parallel direction may not be the one containing the largest pulse energy, the unfavorable horizontal direction with the largest pulse energy should be first obtained before analyzing the corresponding characteristic of multi-pulse components [1]. M&P [20] and DB4 [14], are adopted as the mother wavelet to transform near-fault earthquake motions with variant profiles, respectively. This manually selected mother wavelet cannot fit the variant characteristic of near-fault earthquake motions. Furthermore, the most unfavorable horizontal direction is not considered in Reference [20].
In order to identify and extract the most unfavorable multi-pulse components embedded in the near-fault earthquake motion, we propose a novel adaptive wavelet transform algorithm. Instead of using one fixed mother wavelet for all seismic signals, an iterative algorithm was proposed to obtain the optimum mother wavelet for each potential pulse. Thus, the resulting multi-pulse component could be represented in higher quality.

2. Source Seismic Records

Many factors may influence the character of the near-fault earthquake motion, including the mechanism of the fault rupture, the complex soil and rock condition around the source of rupture, the relative direction with respect to the seismic station, and the closest distance-to-fault of the seismic station. The Chi-Chi event (1999-September-20 17:47:16 UTC) with a 7.6 magnitude was chosen as the single target earthquake event in this paper, to alleviate the influence of those complex aspects. All of its 221 sets of records collected from the Strong-Motion Virtual Data Center (VDC; www.strongmotioncenter.org), were used as source data. The Chi-Chi event in Taiwan was just a numerical example in this paper. The proposed method could also be applied to identify the pulse-like seismic motion from other earthquake events.
Figure 1 shows the relative frequency distribution of the closest distance-to-fault for these source records. The majority of these traces were recorded within a distance range of 130 km, among which 36.65% were located within a distance range of 30 km. The method proposed in this paper was applied to these records to identify the unfavorable direction, and extract the dominant pulse components embedded in the seismic records. The pulse parameters for each identified set of pulse-like earthquake records were also obtained, such as the identified horizontal direction, number of dominant pulses, the mother wavelet for each pulse, and the frequency for each pulse. These pulse parameters will help in the interpretation of characters from the identified pulse-like earthquake motions.

3. Adaptive Mother Wavelet Choosing

Wavelet analysis is used as a method of transforming time-sequential data into data on a time-frequency plane [21]. During the last thirty years, this analysis technique has been under rapid theoretical development and has been used to solve many problems [22]. The fundamental principle of wavelet transform can be found in numerous textbooks. Thus only the near-fault earthquake-related aspects will be discussed in this section.
It is beneficial for the interpretation of the fundamental principle of wavelet transform to be compared with the Fourier transform. In Fourier transform, seismic signals are approximated by summarizing a series of infinite sinusoid signals with solo frequencies. This method uses the time averaging technique to decompose signals, thus phase information cannot be reserved by the Fourier transform. While in the wavelet transform, recorded seismic signals are represented by summarizing a group of wavelet waveforms, each being a narrow-band signal located at the specific time point, which is best suited for the representation of the nonlinear and non-stationary seismic pulse. The dominant pulse waveforms of interest can be represented briefly by just a few wavelets, with the elaborately selected mother wavelets, time, and scale parameters. Both the amplitude and phase information can be reserved by the wavelet transform.
The wavelet function at time t is defined mathematically by Equation (1), where Φ ( ) is the mother wavelet, s is the scale factor, l is time location parameter. The parameter s is intended to dilate the mother wavelet, which scales the central frequency of the mother wavelet to match the interested pulse waveform embedded in the signal. Parameter l is intended to translate the wavelet along the time axis. There are many kinds of mother wavelets used in scientific research. Different mother wavelets result in different time–frequency planes [23]. In order to represent the dominant pulse waveform embedded in the strong ground motion with the best resolution, careful selection of the optimum mother wavelet is always necessary. If the profile of the chosen mother wavelet is close to the interested pulse waveform, then a limited number of wavelets is enough to represent the main profile of the signal, with relatively high resolution. Considering the variant feature of the near-fault earthquake motions, different mother wavelets should be adaptively used to extract each individual dominant pulse embedded in the near-fault earthquake motion, instead of using a single mother wavelet for all seismic signals as in References [1,20].
Φ s , l ( t ) = 1 s Φ ( t l s )
Regarding the typical profile of near-fault earthquake motions, the mother wavelets shown in Figure 2 were used in this paper as the candidate mother wavelets. The repository was composed of 15 types of mother wavelet, including the Haar wavelet, the Gaussian wavelet family from orders 1 to 8, the Daubechies wavelet family from orders 2 to 6, and the Morlet wavelet. These mother wavelets were adequate for the majority of pulse-like seismic signals.
An adaptive procedure when choosing a mother wavelet is necessary to achieve the best resolution for the time–frequency plane by continuous wavelet transform (CWT). For the specific seismic signal f ( t ) , the waveform of extracted dominant pulses should represent the main profile of the source signal to the maximum extent. In order to evaluate the level of similarity for each mother wavelet Φ i ( ) , i = 1 , 2 , 15 in the wavelet repository, an iteration process was carried out to extract the dominant pulse p 1 embedded in the source signal f ( t ) by CWT, using mother wavelet Φ i ( ) , i = 1 , 2 , 15 .
Many quantitative approaches have been proposed in recent years to evaluate the similarity between the signal and candidate mother wavelets, such as the minimum description length criterion, maximum cross-correlation coefficient criterion, the mean squared error of wavelet coefficients, the evaluation criterion, etc. [23]. In this paper, the level of similarity was evaluated by determining the minimum cross variance (MCV) between the source signal f ( t ) and the extracted pulse p 1 . The mother wavelet corresponding to the minimum cross variance was regarded as the optimum mother wavelet Φ i , o p t ( ) . This adaptive procedure was invoked in two situations within the whole analysis procedure: in Section 4.1, before identifying the most unfavorable horizontal direction, to obtain the optimum mother wavelet for both East-West (EW) and North-South (NS) components; and in Section 4.2, the procedure was invoked before extracting the individual pulse p i from the residual signal S θ , i in every iteration until the termination criterion was reached.

4. Identification and Representation of Multi-Pulse Near-Fault Earthquake Motion

At the seismic station, only the two horizontal recorded components were of concern, effects of the vertical component were not considered in the present work. There are two types of wavelet transforms when decomposing a signal into its time–frequency plane: the continuous wavelet transform (CWT), and the discrete wavelet transform (DWT). The main difference is the arrangement of the number of scales and locations used to calculate the wavelet coefficients. CWT continuously calculates the coefficients at every point of the scale-location map, while DWT calculates the coefficients at selected points but with a relatively efficient algorithm. If the profile of the chosen mother wavelet is close to the feature of interest, the corresponding wavelet coefficient will be larger than that around it. Although redundant coefficients are produced by CWT, it is helpful to locate the exact point in the time–frequency plane with the maximum wavelet coefficient, which can be used to represent the dominant pulses embedded in the signal. Usually, the non-pulse part of the signal corresponds to smaller wavelet coefficients. With well-arranged scales and locations, the CWT is capable of providing a high-resolution time–frequency plane. Thus, in this paper, the CWT was adopted instead of DWT to project the seismic signal into its time–frequency plane.

4.1. Identification of the Most Unfavorable Horizontal Direction

Specific directions in the horizontal plane may contain larger pulse energies compared to other horizontal directions [1]. The most unfavorable horizontal direction (denoted as θ m a x hereinafter) may not be the seismic station direction. The structural response was controlled by the structure’s period ratio and the input seismic signal. However, for one specific structure, whose basic period is a specific value, the seismic signal at the direction of θ m a x was responsible for the most unfavorable seismic response. Therefore, it is important to identify this direction and investigate its engineering features. In this paper, the horizontal direction ( θ ) was defined as zero toward the direction of channel 1 at a seismic station, and positive clockwise. Some seismic stations’ main axis were set according to the local fault direction. While, some other seismic station’s main axis were set perpendicular to NS/EW. This paper rotates the seismic station to the NS/EW direction for convenience. Namely, the EW component corresponded to θ = 90 ° / 270 ° , and the NS component corressponded to θ = 0 ° / 180 ° .
To identify the most unfavorable horizontal direction θ m a x , the two-source horizontal components S E W and S N S were projected into their time-frequency planes CEW and CNS, respectively. In the time–frequency plane, the x-axis was time and the y-axis was the scale value predefined. The scale value in the y-axis was converted into the instantaneous frequency by Equation (2), where f 0 is the central frequency of the chosen mother wavelet, s is the scale value in the y-axis, and Δ t is the sampling period of the signal. A reasonable period band should be set to cover the whole interested range of the period for the multi-pulse near-fault earthquake motion. In the proposed method, this period band was set from 0.25 s to 15 s, which was adequate to cover all periods of interest.
f = f 0 / ( s · Δ t )
C ( l , s ) = + f ( t ) 1 s Φ ( t l s ) d t
The wavelet coefficient at location ( l , s ) in the time–frequency plane is defined by Equation (3), where f ( t ) is one of the source signals ( S E W or S N S ). The absolute value of the wavelet coefficient C ( l , s ) in the time–frequency plane is an indicator of the pulse energy level. The two time–frequency planes obtained above ( C E W and C N S ) can be combined into the resultant time–frequency plane C R S T by the square sum, since the energy coefficient is a kind of scalar value. The wavelet coefficient corresponding to the maximum pulse energy (denoted by C m a x ( l 0 , s 0 ) ) was obtained by finding the largest absolute value of the coefficient in the plane C R S T , where l 0 and s 0 are the time and scale locations for C m a x ( l 0 , s 0 ) , respectively. Because the scope of the predefined scale gave a time–frequency plane with low resolution, it was difficult to locate the exact scale location of C m a x ( l 0 , s 0 ) . Thus a “zoom-in” approach was carried out by refining the scale around s 0 to get the more precise maximum wavelet coefficient in C R S T . Finally, θ m a x was calculated using Equation (4), and the corresponding signal S θ at the direction of θ m a x was obtained by Equation (5).
Figure 3 summarizes the procedure discussed above. The procedure of identifying the most unfavorable horizontal direction θ m a x was identical to that verified and used by [1], despite the newly designed procedure of adaptive mother wavelet selection being adopted before projecting the seismic signal into its time–frequency plane. Since a different mother wavelet would surely result in a different pattern of the time–frequency plane [23], it was necessary to evaluate the level of similarity for different mother wavelets before conducting the CWT to achieve better resolution in the time–frequency plane.
θ m a x = tan 1 ( C E W ( l 0 , s 0 ) / C N S ( l 0 , s 0 ) )
S θ = S N S cos ( θ m a x ) + S E W   sin ( θ m a x )

4.2. Representation of Dominant Pulses

The strong ground motion may contain single or multiple pulse-like components featured by the long period and large velocity amplitude. For example, the recorded horizontal seismic signals at station TCU075 during the Chi-Chi event shown in Figure 4a, are representative of the single one pulse waveform. Its closest distance-to-fault was 3.4 km. The closest distance-to-fault for seismic station NSY, TCU060, and TCU128 were 9.1 km, 8.1 km, and 9.1 km, respectively. The multiple pulse waveform can be easily spotted in the recorded horizontal seismic signals as shown in Figure 4b–d. Thus, the dominant pulse-like components indeed exist in the recorded seismic signals.
Representation of the dominant multi-pulse waveform embedded in the signal S θ was carried out by applying the CWT to the residual signal S θ , i = 0 = S θ in an iterative manner. The purpose of CWT was to extract dominant pulses, which was different from stage 1 aimed at identifying θ m a x . Before extracting the individual dominant pulses, the optimum mother wavelet was determined first by the adaptive mother wavelet selection procedure, considering the specific feature of the signal S θ , i . The largest wavelet coefficient C i , m a x ( l 0 , i , s 0 , i ) in the time–frequency plane C i ( l , s ) produced by the CWT, based on the optimum mother wavelet was used to extract the individual wavelet waveform using Equation (6), where p i is the ith individual pulse corresponding to C i , m a x ( l 0 , i , s 0 , i ) , and y b a s e , i is the base value of the mother wavelet adaptively selected by the mother wavelet selection procedure. Due to the varied profile of signal S θ , i , the actually adopted mother wavelets were different from each other within the iteration process. The residual seismic signal after the ith iteration of extraction was updated by S θ , i = S θ k = 1 k = i p k , and it was used as the new target signal for the next iteration.
p i = y b a s e , i C i , m a x ( l 0 , i , s 0 , i ) / s 0 , i
A criterion for terminating the extraction iteration reasonably was required. For this purpose, two types of criteria with different threshold values were verified with the help of some common pulse-like near-fault seismic signals. One type of criterion was designed as the peak ground velocity (PGV) ratio between p i and S θ , i . The other type of criterion was designed as the energy ratio between p i and S θ , i . The energy signals p i and S θ , i was defined by E p i = p i ( t ) 2 d t and E S θ , i =   S θ , i ( t ) 2 d t , respectively. The energy ratio with a threshold 0.4 was found to behave best compared with the criteria for other threshold values or other types.
The resulting multi-pulse waveform P θ was obtained by superimposing the extracted individual pulse p i by Equation (7), where p i is the ith pulse waveform corresponding to the wavelet coefficient C i , m a x ( l 0 , i , s 0 , i ) , and N is the total number of dominant pulses embedded in the signal S θ . This approach can adaptively extract the varied number of dominant pulse components according to the diverse feature of the target signal S θ . The individual pulse waveform p i   ( i = 1 , 2 , N ) , with variant frequency f i , was located discretely along the time axis, which demonstrates the non-stationary feature of the near-fault earthquake motion.
P θ = i = 1 i = N p i
After obtaining the multi-pulse component P θ at the direction of θ m a x , the three criteria verified and used by Reference [1] were adopted in this paper to identify whether the extracted signal P θ should be qualified as pulse-like motion: (1) pulse index ( PI ), (2) early-arrival of pulse velocity, and (3) omitted small PGV. One signal qualified as pulse-like if the following criteria were reached: (1) PI > 0.85 , (2) t 10 % , pulse < t 20 % , original , and (3) PGV > 0.3   m / s . t 10 % , pulse is the time at which the extracted signal P θ reaches 10% of its cumulative square velocity (CSV), t 20 % , original is the time at which the original signal S θ reaches 20% of its CSV, and PGV is the peak ground velocity of the original signal S θ . The cumulative square velocity is defined by Equation (8), where V ( u ) is the velocity time–history for S θ or P θ . Detailed verification for these criteria can be found in [1], and is not covered in this paper for brevity.
CSV ( t ) = 0 t V 2 ( u ) d u
The extracted parameters for the signal P θ , such as the number of dominant pulses, pulse periods, and mother wavelets adopted, were collected to characterize these extracted pulse components. Specifically, the parameter N defines the number of significant pulses. The pulse period T i of each dominant pulse p i embedded in the signal S θ was calculated by Equation (9), where f i is the instantaneous frequency of p i in Hz, s 0 , i is the scale location that corresponds to the C i , max ( l 0 , i , s 0 , i ) , Δ t is the sampling period of p i , and f c , i is the central frequency of the specific mother wavelet selected to conduct the CWT in the ith iteration.
T i = 1 / f i = s 0 , i · Δ t / f c , i

5. Numerical Example

In this section, we present a numerical example of the identification and representation of multi-pulse near-fault seismic signals by the proposed method. The horizontal velocity time–histories at station TCU101, TCU131, CHY029, and TCU070 during the Chi-Chi event (1999-09-20 17:47:16 UTC, Mw = 7.6) are plotted in Figure 5. The closest distance-to-fault for these four sets of seismic records were 1.9 km, 26.2 km, 16.4 km, and 18.4 km, respectively. A few prominent pulse waveforms with large amplitude exist in the velocity traces. The signal S E W and S N S at station TCU101 reached their peak at the same phase, while this pattern was not so clear for the other three stations. The results from Section 6 indicate that the signal set at station TCU101 and TCU131 qualified as pulse-like earthquake motions, while the other two sets did not. Although some prominent, large amplitude velocity pulses exist in the two orthogonal channels at stations CHY029 and TCU070, the difference of peak phase may result in the offset of pulse energy when the two orthogonal horizontal records were composited at the specific direction in the horizontal plane. Therefore, it is unreliable to identify pulse-like earthquake motions by single, one channel signals recorded at the seismic station.
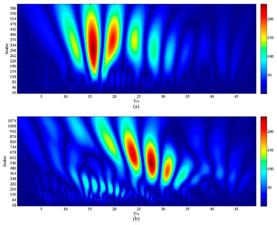
The signal set at station TCU101 was used as the numerical example to demonstrate the detailed analysis procedure of the proposed approach. Prior to identifying θ m a x , the variance values for all candidate mother wavelets in the repository were evaluated by the adaptive mother wavelet selection procedure. Based on the resulting variance shown in Figure 6, the mother wavelet ‘gaus3’ was the optimum mother wavelet for the signal set at station TCU101, thus it was used as the mother wavelet to project the signal set into the time–frequency planes C E W and C N S . Their resultant plane C R S T shown in Figure 7, was calculated by the square sum of C EW and C NS . In Figure 7, the x-axis is time, the y-axis is the scales (or frequencies), and the color bar illustrates the amplitude of the wavelet coefficients in the time–frequency plane. The column l 0 and row s 0 for the largest wavelet coefficient C m a x ( l 0 , s 0 ) in C R S T were 1558 and 318, respectively. The corresponding wavelet coefficient located at (1558, 318) in C NS and C EW were 447.0 and 746.5, respectively. Thus, the most unfavorable direction was identified by θ max = tan 1 ( 746.5 / 447.0 ) = 59.09 ° , and the resultant signal S θ m a x was easily obtained by S θ m a x = S N S cos ( θ m a x ) + S E W sin ( θ m a x ) as shown in Figure 8a.
The horizontal direction containing the largest pulse energy for the signals at station TCU101 was 59.09° from north to east, while the strike angle of the Chi-Chi event was 5°. The largest pulse energy theoretically lay in the direction normal to the strike line [7], at 95°. There was an error ~34.35% between the direction from analysis and theory. This error may result from both the unpredicted distribution of the rock medium between the hypocenter and seismic station, and the unevenly distributed slip direction in the rupture plane.
In order to identify the dominant pulse components embedded in S θ = 59.09 ° , it was projected by CWT into the time–frequency plane C i ( l , s ) by iteration pattern. The signal length of S θ was 49 s. The y-axis was the transient frequency of the signal converted from the central frequency of the mother wavelet, the scale value, and the sampling frequency.
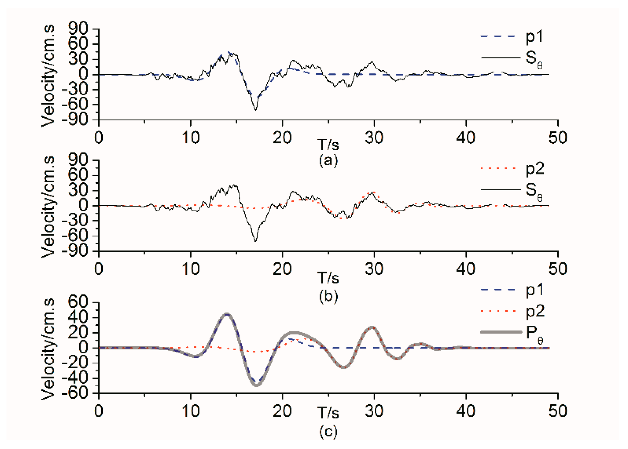
There were two dominant wavelet components embedded in the signal S θ . Each component comprised only one wavelet waveform, which was the result of translating and dilating the corresponding mother wavelet by the index l 0 , i and s 0 , i of the wavelet coefficient C i , max ( l 0 , i , s 0 , i ) in the time–frequency plane shown in Figure 9 as dictated by Equation (6). The signal P θ was obtained by superimposing the two extracted pulse components: p 1 and p 2 by Equation (7) as shown in Figure 10. These data show that the signal P θ captured all the dominant pulses in S θ . The parameters for these extracted pulse components are listed in Table 1, where f i is the central frequency of the pulse component calculated by Equation (9). The first pulse waveform p 1 was represented by the ‘gaus3’ mother wavelet located at 15.58 s with instantaneous frequency 0.1307 Hz (scale = 306), and the value of PGV is 44.9 cm/s. The second pulse waveform p 2 was represented by the ‘db6’ mother wavelet located at 27.6 s with instantaneous frequency 0.1388 Hz (scale = 524), and the value of PGV was 27.0 cm/s. Due to the the lower frequency and the higher PGV value of the extracted pulse component p 1 compared with that of p 2 , its energy was larger than that of p 2 . This was in accordance with the larger wavelet coefficient for p 1 compared to p 2 .
The criterion of early arrival of the pulse energy was required to ensure that the directivity pulse was of primary concern, as predicted by the theoretical seismology. The pulse index PI was 1.0 for signal S θ , which was in agreement with the criterion (1): PI > 0.85 . Figure 8 shows the resultant signal S θ and the pulse signal P θ embedded in S θ . The time required by signal S θ to reach 20% of its CSV was 14.59 s. While the time required by signal P θ to reach 10% of its CSV was 13.45 s. Thus, the signal S θ qualified as a pulse early-arriving signal as dictated by criterion (2): t 10 % , pulse < t 20 % , original . The PGV of signal P θ was 0.497 m/s, which was in agreement with criterion (3): PGV > 0.3   m / s . Finally, the recorded horizontal signals at station TCU101 qualified as multi-pulse near-fault earthquake motions.
Figure 11 shows comparison of the extracted signal by both the author’s and Baker’s methods [1]. The signal extracted by the author’s method captured all the dominant pulses embedded in the signal S θ . The signal extracted by Baker’s method only captured the first dominant pulse and failed to capture other dominant pulses after 20 s. Meanwhile, the large disagreement of the signal peak by Baker’s method at 17th second in Figure 11. This indicates that the author’s method made better representation compared with the Baker’s method, in the situation where the neighboring pulse components lay close to each other. This is because when large amplitude pulse components lie very close to each other, only one pulse is extracted by the Baker’s method, but several large wavelet coefficients are extracted by the author’s method.
The variance results in Figure 12, by the mother wavelet choosing procedure before extracting p 1 , show that the variance for ‘gaus3’ was 70.0796 and the variance for ‘db4’ was 127.0714. Thus, ‘gaus3’ was the best candidate mother wavelet compared with ‘db4’, which was originally used by Baker. The frequency of the extracted pulse by Baker’s method was 0.098 Hz, 25.02% smaller than the corresponding value for p 1 as listed in Table 1.

6. Characterization of the Pulse-Like Seismic Motion for Chi-Chi Event

In order to investigate the characterization of the multi-pulse near-fault seismic motion, the author’s method was applied to the 221 sets records for the Chi-Chi event collected from the Strong-Motion Virtual Data Center. Fifty-three sets of records qualified as pulse-like motions with a varied number of dominant pulses. Figure 13 shows the distribution of the closest distance-to-fault for the 53 sets pulse-like strong ground motions. The cumulative frequency for the records whose closest distance-to-fault was within 30 km was 92.45%, which took up the majority of the qualified records. This result agrees well with the commonly adopted engineering assumption that the near-fault earthquake motions are mainly located within 30 km from the epicenter. Nevertheless, it should be noted that there are still many records located within 30 km from the epicenter that do not qualify as pulse-like, such as the records shown in Figure 5c,d. Thus, the commonly used engineering assumption of 30 km is not suited for the classification of a specific set of strong ground motion.
For near-fault earthquake motions, the largest pulse energy theoretically lies in the direction normal to the strike line [7]. The strike angle is 5° for the Chi-Chi event, namely the horizontal direction corresponding to the largest pulse energy in the direction of 95°/275° for the Chi-Chi event. The identified directions containing the largest pulse energy are plotted in Figure 14 to illustrate the relationship between θ m a x and the closest distance-to-fault. In the figure, the theta axis is the value of the parameter θ m a x , the radius axis for the closest distance-to-fault is limited to 30 km to facilitate the comparison with the theoretical direction. The dashed line represents the direction that is perpendicular to the strike of the earthquake event. These data show that there are some seismic motions existing in the directions that are deviated from the dashed line, which indicate that the pulse-like seismic motions were not limited to the direction normal to the fault, other directions that were not perpendicular to the fault may still contain prominent pulse-like motions. Figure 14 also shows that the horizontal direction θ m a x was not limited to the EW/NS direction. Thirty-three set records were located within the range between ± 15 ° ± 75 ° , which took up 62.26% of the total number of the qualified pulse-like earthquake motions. Only 9.43% of the qualified earthquake motions lay in the direction with an error smaller than 10° with respect to the direction normal to the strike. This meant that the majority of horizontal directions containing the largest pulse energy did not coincide with the EW/NS direction at the seismic station for the Chi-Chi event. The use of single one components recorded at the seismic station (EW/NS) may underestimate the energy level of the input seismic signal. The varied relative orientation of the engineering structure with respect to the identified θ m a x may impose a different level of seismic energy on the structure.
The number of dominant pulses embedded in S θ was a key parameter that greatly influenced the seismic response of structures. The number of dominant pulses was closely related to the non-uniform distributed fracture along the fault, which was difficult to estimate a priori. For the Chi-Chi event, the extraction result using the author’s method showed that 29 sets of earthquake motions were represented by one mother wavelet (listed in Table 2), 18 sets were represented by two mother wavelets (listed in Table 3), and six sets were represented by three mother wavelets (listed in Table 4). No clear trend was found for the relationship between the number of pulses and the closest distance-to-fault.
In Table 2, the mother wavelets chosen for each station were different from each other. Of the frequencies, 79.31% were located within 0.1–0.2 Hz. In Table 3, all records (except for TCU068) used different types of mother wavelets to represent the profile of the pulse waveform in the seismic signals. The average frequency for f 1 was 0.128 Hz. The average frequency for f 2 was 0.176 Hz, 37.5% higher than that of f 1 . In Table 4, the average frequencies for f 1 , f 2 , and f 3 were 0.158 Hz, 0.164 Hz, and 0.227 Hz, respectively.
In Table 3, the wavelet coefficient for the component p 1 was always larger than that for the component p 2 , indicating that the extracted component p 1 was always the one containing larger pulse energy than component p 2 . A similar pattern was also found in Table 4. Thus, the individual pulse components extracted using the author’s method were sorted by the pulse energy from high to low.
Figure 15 shows the relative frequency distribution for the occurrence of the mother wavelets in the 53 sets qualified earthquake motions. The relative frequency of ‘db6’ for the first and second pulse components were 28.3% and 37.5%, respectively, which were the most frequently used types of mother wavelets for both the first and the second pulse components as shown in Figure 15a,b. The ‘morl’ mother wavelet was more frequently used compared with other mother wavelets for the third pulse component as shown in Figure 15c. Figure 15 also shows that the ‘haar’ mother wavelet was not used for any pulse extraction because its shape was not similar to the common profile of the pulse waveform embedded in the seismic signals.

7. Conclusions

This paper proposes a method for identifying and representing the multi-pulse near-fault strong ground motion using adaptive wavelet transform. Instead of using the fixed, one mother wavelet for all seismic signals, a novel adaptive mother wavelet selection procedure was proposed to choose the optimum mother wavelet from fifteen candidate mother wavelets. The minimum cross variance between the candidate mother wavelet and the target pulse waveform embedded in the seismic motion was adopted as the selection criterion for the optimum mother wavelet. This adaptive mother wavelet selection procedure can improve the resolution of the time–frequency plane of the target seismic motion by CWT.
The results indicate that all dominant pulses embedded in the seismic motion can be reasonably represented by different optimum mother wavelets based on CWT. The pulse energy decreases from the first to last extracted pulse waveform. The threshold value of 30 km is only a loose constraint for the qualification of the pulse-like strong ground motion. The practical direction normal to fault is not necessarily the most unfavorable direction as predicted by theory. The pulse energy of multi-pulse seismic motions is owned by several dominant pulse waveforms. The individual pulse components extracted using the author’s method are sorted by the pulse energy from high to low.
For the Chi-Chi event, the db6 mother wavelet is the most frequently used for both p1 and p2 components. The ‘morl’ mother wavelet is more frequently used for the p3 component compared to other mother wavelets.

Author Contributions

Introduction, C.X. and C.L.; methodology, C.X. and C.L.; software, C.X.; validation, C.L.; formal analysis, C.X.; writing—original draft preparation, C.X.; writing—review and editing, C.X. and C.L.; visualization, C.X.; supervision, C.L.; project administration, C.L.; funding acquisition, C.L.

Funding

This research was funded by the National Natural Science Foundation of China, grant numbers 51678107 and 51738007.

Acknowledgments

The authors would like to thank the COSMOS Virtual Data Center for providing the digital seismic records used in this paper.

Conflicts of Interest

The authors declare no conflicts of interest.

References

  1. Baker, J.W. Quantitative classification of near-fault ground motions using wavelet analysis. Bull. Seismol. Soc. Am. 2007, 97, 1486–1501. [Google Scholar] [CrossRef]
  2. Mollaioli, F.; Bruno, S.; Decanini, L.D.; Panza, G.F. Characterization of the Dynamic Response of Structures to Damaging Pulse-type Near-fault Ground Motions. Meccanica 2006, 41, 23–46. [Google Scholar] [CrossRef]
  3. Alavi, B.; Krawinkler, H. Consideration of near-fault ground motion effects in seismic design. In Proceedings of the 12th World Conference on Earthquake Engineering, Auckland, New Zealand, 30 January–4 February 2000; New Zealand Society for Earthquake Engineering: Wellington, New Zealand, 2000. [Google Scholar]
  4. Xu, Z.; Agrawal, A. Decomposition and Effects of Pulse Components in Near-Field Ground Motions. J. Struct. Eng. 2010, 136, 690–699. [Google Scholar] [CrossRef]
  5. Wen, W.-P.; Zhai, C.-H.; Li, S.; Chang, Z.; Xie, L.-L. Constant damage inelastic displacement ratios for the near-fault pulse-like ground motions. Eng. Struct. 2014, 59, 599–607. [Google Scholar] [CrossRef]
  6. Mavroeidis, G.P.; Dong, G.; Papageorgiou, A.S. Near-fault ground motions, and the response of elastic and inelastic single-degree-of-freedom (SDOF) systems. Earthq. Eng. Struct. Dyn. 2004, 33, 1023–1049. [Google Scholar] [CrossRef]
  7. Somerville, P. Development of an improved representation of near fault ground motions. In Proceedings of the SMIP98 Seminar on Utilization of Strong-Motion Data, Oakland, CA, USA, 15 September 1998. [Google Scholar]
  8. Somerville, P. Characterizing near fault ground motion for the design and evaluation of bridges. In Proceedings of the Third National Conference and Workshop on Bridges and Highways, Portland, Oregon, 28 April–1 May 2002; State University of New York at Buffalo: New York, NY, USA, 2002; pp. 137–148. [Google Scholar]
  9. Malhotra, P.K. Response of buildings to near-field pulse-like ground motions. Earthq. Eng. Struct. Dyn. 1999, 28, 1309–1326. [Google Scholar] [CrossRef]
  10. Somerville, P.G. Engineering characterization of near fault ground motions. In Proceedings of the Planning and Engineering for Performance in Earthquakes, Taupo, New Zealand, 11 March 2005; New Zealand Society for Earthquake Engineering: Wellington, New Zealand, 2005. [Google Scholar]
  11. Alavi, B.; Krawinkler, H. Behavior of moment-resisting frame structures subjected to near-fault ground motions. Earthq. Eng. Struct. Dyn. 2004, 33, 687–706. [Google Scholar] [CrossRef]
  12. Sengupta, A.; Quadery, L.; Sarkar, S.; Roy, R. Influence of Bidirectional Near-Fault Excitations on RC Bridge Piers. J. Bridge Eng. 2016, 21, 04016034. [Google Scholar] [CrossRef]
  13. Sehhati, R.; Rodriguez-Marek, A.; ElGawady, M.; Cofer, W.F. Effects of near-fault ground motions and equivalent pulses on multi-story structures. Eng. Struct. 2011, 33, 767–779. [Google Scholar] [CrossRef]
  14. Mukhopadhyay, S.; Gupta, V.K. Directivity pulses in near-fault ground motions—I: Identification, extraction and modeling. Soil Dyn. Earthq. Eng. 2013, 50, 1–15. [Google Scholar] [CrossRef]
  15. Farid Ghahari, S.; Jahankhah, H.; Ghannad, M.A. Study on elastic response of structures to near-fault ground motions through record decomposition. Soil Dyn. Earthq. Eng. 2010, 30, 536–546. [Google Scholar] [CrossRef]
  16. Tang, Y.; Zhang, J. Response spectrum-oriented pulse identification and magnitude scaling of forward directivity pulses in near-fault ground motions. Soil Dyn. Earthq. Eng. 2011, 31, 59–76. [Google Scholar] [CrossRef]
  17. Bray, J.D.; Rodriguez-Marek, A. Characterization of forward-directivity ground motions in the near-fault region. Soil Dyn. Earthq. Eng. 2004, 24, 815–828. [Google Scholar] [CrossRef]
  18. Somerville, P.G.; Smith, N.F.; Graves, R.W.; Abrahamson, N.A. Modification of empirical strong ground motion attenuation relations to include the amplitude and duration effects of rupture directivity. Seismol. Res. Lett. 1997, 68, 199–222. [Google Scholar] [CrossRef]
  19. Mavroeidis, G.P.; Papageorgiou, A.S. A mathematical representation of near-fault ground motions. Bull. Seismol. Soc. Am. 2003, 93, 1099–1131. [Google Scholar] [CrossRef]
  20. Lu, Y.; Panagiotou, M. Characterization and Representation of Near-Fault Ground Motions Using Cumulative Pulse Extraction with Wavelet Analysis. Bull. Seismol. Soc. Am. 2014, 104, 410–426. [Google Scholar] [CrossRef]
  21. Iyama, J.; Kuwamura, H. Application of wavelets to analysis and simulation of earthquake motions. Earthq. Eng. Struct. Dyn. 1999, 28, 255–272. [Google Scholar] [CrossRef]
  22. Al Atik, L.; Abrahamson, N. An Improved Method for Nonstationary Spectral Matching. Earthq. Spectra 2010, 26, 601–617. [Google Scholar] [CrossRef]
  23. Ngui, W.K.; Leong, M.S.; Hee, L.M.; Abdelrhman, A.M. Wavelet Analysis: Mother Wavelet Selection Methods. Appl. Mech. Mater. 2013, 393, 953–958. [Google Scholar] [CrossRef]
Figure 1. The relative frequency distribution of the closest distance-to-fault for all the 221 sets of seismic signals in the Chi-Chi event collected from the virtual data center (VDC).
Figure 1. The relative frequency distribution of the closest distance-to-fault for all the 221 sets of seismic signals in the Chi-Chi event collected from the virtual data center (VDC).
Applsci 09 00259 g001
Figure 2. The repository of the mother wavelets used in the adaptive selection of the optimum mother waveform in the wavelet transform.
Figure 2. The repository of the mother wavelets used in the adaptive selection of the optimum mother waveform in the wavelet transform.
Applsci 09 00259 g002
Figure 3. The procedure of identifying the horizontal direction θ m a x , and the corresponding seismic signal S θ .
Figure 3. The procedure of identifying the horizontal direction θ m a x , and the corresponding seismic signal S θ .
Applsci 09 00259 g003
Figure 4. The typical single and multiple pulse waveforms: (a) TCU075, (b) NSY, (c) TCU060, and (d) TCU128.
Figure 4. The typical single and multiple pulse waveforms: (a) TCU075, (b) NSY, (c) TCU060, and (d) TCU128.
Applsci 09 00259 g004
Figure 5. The recorded horizontal velocity time–histories: (a) station TCU101, (b) station TCU131, (c) station CHY029, and (d) station TCU070.
Figure 5. The recorded horizontal velocity time–histories: (a) station TCU101, (b) station TCU131, (c) station CHY029, and (d) station TCU070.
Applsci 09 00259 g005
Figure 6. The variance value for all candidate mother wavelets in the repository by the adaptive wavelet selection procedure.
Figure 6. The variance value for all candidate mother wavelets in the repository by the adaptive wavelet selection procedure.
Applsci 09 00259 g006
Figure 7. The resultant time–frequency plane C R S T for the signal set at station TCU101.
Figure 7. The resultant time–frequency plane C R S T for the signal set at station TCU101.
Applsci 09 00259 g007
Figure 8. The early arrival of pulse energy by the CSV curves for the signals at station TCU101, (a) S θ , (b) P θ , and (c) CSV curves for signal S θ and P θ .
Figure 8. The early arrival of pulse energy by the CSV curves for the signals at station TCU101, (a) S θ , (b) P θ , and (c) CSV curves for signal S θ and P θ .
Applsci 09 00259 g008
Figure 9. The time–frequency plane for the extracted pulse components at station TCU101: (a) p 1 with the guas3 mother wavelet, and (b) p 2 with db6 mother wavelet.
Figure 9. The time–frequency plane for the extracted pulse components at station TCU101: (a) p 1 with the guas3 mother wavelet, and (b) p 2 with db6 mother wavelet.
Applsci 09 00259 g009
Figure 10. The extracted dominant pulse components embedded in S θ at station TCU101: (a) p 1 , (b) p 2 , and (c) P θ .
Figure 10. The extracted dominant pulse components embedded in S θ at station TCU101: (a) p 1 , (b) p 2 , and (c) P θ .
Applsci 09 00259 g010
Figure 11. Comparison between the signals from Baker’s method and the proposed method in this paper.
Figure 11. Comparison between the signals from Baker’s method and the proposed method in this paper.
Applsci 09 00259 g011
Figure 12. The variance for the mother wavelets in the repository before extracting the p 1 pulse component.
Figure 12. The variance for the mother wavelets in the repository before extracting the p 1 pulse component.
Applsci 09 00259 g012
Figure 13. The relative frequency distribution of the closest distance-to-fault, for the 53 sets of seismic motions, qualified as pulse-like motions.
Figure 13. The relative frequency distribution of the closest distance-to-fault, for the 53 sets of seismic motions, qualified as pulse-like motions.
Applsci 09 00259 g013
Figure 14. The distribution of θ m a x for the identified pulse-like near-fault seismic motions during the Chi-Chi event.
Figure 14. The distribution of θ m a x for the identified pulse-like near-fault seismic motions during the Chi-Chi event.
Applsci 09 00259 g014
Figure 15. The relative frequency distribution for the occurrence of the mother wavelets in the 53 sets qualified earthquake motions (a) Wn1, (b) Wn2, and (c) Wn3.
Figure 15. The relative frequency distribution for the occurrence of the mother wavelets in the 53 sets qualified earthquake motions (a) Wn1, (b) Wn2, and (c) Wn3.
Applsci 09 00259 g015
Table 1. The parameters for the extracted pulse components at station TCU101.
Table 1. The parameters for the extracted pulse components at station TCU101.
p i Mother Wavelet l 0 , i s 0 , i C i , m a x ( l 0 , i , s 0 , i ) Timei/sfi/HzPGVi/cm·s
p1‘gaus3’1558306871.6015.580.130744.9
p2‘db6’2757524549.1827.570.138827.0
Table 2. The wavelet parameters for the earthquake motions qualified as pulse-like with one mother wavelet.
Table 2. The wavelet parameters for the earthquake motions qualified as pulse-like with one mother wavelet.
No.StationWn1Coef1f1/HzTime1/sNo.StationWn1Coef1f1/HzTime1/s
1CHY006‘gaus2’560.00.3634.7916TCU054‘gaus1’713.00.1034.83
2CHY024‘gaus8’681.00.1735.0617TCU063‘gaus6’1030.00.1843.03
3CHY035‘gaus7’337.00.7135.2318TCU065‘gaus7’1610.00.2030.60
4CHY092‘gaus3’846.00.2135.2219TCU075‘db2’1100.00.1628.71
5CHY101‘db5’1370.00.1739.2020TCU076‘db2’707.00.1827.83
6NSY‘morl’712.00.1434.2421TCU082‘gaus1’764.00.1034.74
7TCU‘db3’543.00.1720.0722TCU087‘db6’663.00.1141.70
8TCU029‘db6’829.00.1950.2523TCU088‘db6’272.00.1041.88
9TCU036‘gaus6’965.00.2147.0924TCU096‘db4’678.00.1142.40
10TCU038‘db3’737.00.1246.9625TCU102‘gaus1’1030.00.1536.09
11TCU040‘gaus6’761.00.1948.1526TCU103‘db6’941.00.1340.63
12TCU045‘db6’508.00.1244.8227TCU117‘gaus8’792.00.1653.54
13TCU046‘gaus5’611.00.1139.3528TCU122‘morl’585.00.1335.80
14TCU049‘gaus3’663.00.1136.0729WGK‘db6’744.00.2424.80
15TCU051‘gaus3’603.00.1235.08------
Table 3. The wavelet parameters for the earthquake motions qualified as pulse-like with two mother wavelets.
Table 3. The wavelet parameters for the earthquake motions qualified as pulse-like with two mother wavelets.
No.StationWn1Coef1f1/HzTime1/sWn2Coef2f2/HzTime2/s
1CHY002‘morl’1230.00.1560.71‘db6’783.00.1451.24
2TCU034‘db4’718.00.1146.94‘gaus2’483.00.1853.88
3TCU039‘morl’1010.00.1347.08‘db6’642.00.1958.75
4TCU042‘db6’761.00.1553.84‘gaus3’438.00.1041.91
5TCU048‘gaus5’680.00.1847.49‘db6’672.00.1359.40
6TCU050‘gaus8’732.00.1154.76‘db6’468.00.1639.99
7TCU052‘db6’2400.00.1135.28‘gaus2’1250.00.4233.81
8TCU053‘db6’631.00.1252.29‘gaus7’570.00.1537.69
9TCU056‘db6’741.00.1356.77‘gaus8’431.00.1642.90
10TCU057db6’757.00.1356.27‘gaus7’474.00.1944.52
11TCU059‘gaus4’975.00.1545.88‘gaus3’516.00.1558.39
12TCU060‘db6’678.00.1349.69‘gaus7’655.00.1436.08
13TCU068‘db6’3730.00.1037.77‘db6’2400.00.1636.94
14TCU100‘gaus8’712.00.1155.49‘morl’504.00.2042.33
15TCU101‘gaus3’872.00.1315.58‘db6’549.00.1427.57
16TCU104‘db6’868.00.1442.03‘gaus2’621.00.1354.69
17TCU128‘gaus8’1150.00.1246.36‘gaus6’426.00.2453.80
18TCU136‘morl’949.00.1244.01‘db6’810.00.1940.88
Table 4. The wavelet parameters for the earthquake motions qualified as pulse-like with three mother wavelets.
Table 4. The wavelet parameters for the earthquake motions qualified as pulse-like with three mother wavelets.
No.StationWn1Coef1f1/HzTime1/sWn2Coef2f2/HzTime2/sWn3Coef3f3/HzTime3/s
1ILA004‘morl’850.00.1968.37‘morl’596.00.2178.424‘morl’588.00.2058.16
2ILA056‘morl’1020.00.1973.88‘gaus8’641.00.1984.2‘gaus7’623.00.1864.40
3TCU055‘gaus3’685.00.1517.51‘db5’459.00.0936.17‘morl’381.00.2920.96
4TCU064‘gaus7’1290.00.1447.43‘db4’411.00.1658.34‘gaus5’385.00.0939.91
5TCU105‘gaus7’692.00.1259.01‘db6’554.00.1643.36‘db4’334.00.2354.19
6TCU131‘db6’772.00.1750.44‘db6’323.00.1741.57‘db6’248.00.3746.07

Share and Cite

MDPI and ACS Style

Xia, C.; Liu, C. Identification and Representation of Multi-Pulse Near-Fault Strong Ground Motion Using Adaptive Wavelet Transform. Appl. Sci. 2019, 9, 259. https://doi.org/10.3390/app9020259

AMA Style

Xia C, Liu C. Identification and Representation of Multi-Pulse Near-Fault Strong Ground Motion Using Adaptive Wavelet Transform. Applied Sciences. 2019; 9(2):259. https://doi.org/10.3390/app9020259

Chicago/Turabian Style

Xia, Chunxu, and Chunguang Liu. 2019. "Identification and Representation of Multi-Pulse Near-Fault Strong Ground Motion Using Adaptive Wavelet Transform" Applied Sciences 9, no. 2: 259. https://doi.org/10.3390/app9020259

APA Style

Xia, C., & Liu, C. (2019). Identification and Representation of Multi-Pulse Near-Fault Strong Ground Motion Using Adaptive Wavelet Transform. Applied Sciences, 9(2), 259. https://doi.org/10.3390/app9020259

Note that from the first issue of 2016, this journal uses article numbers instead of page numbers. See further details here.

Article Metrics

Back to TopTop