Comparison of Diagnostic Accuracy of Physical Examination and MRI in the Most Common Knee Injuries
Abstract
1. Introduction
2. Materials and Methods
2.1. Participants
- musculo–skeletal diseases that might affect clinical manifestation of symptoms;
- previous fractures of the distal femur or proximal tibia;
- metal implants that may impair the MRI evaluation;
- prior surgical treatment of the knee joint;
- tumors of the knee joint;
- incomplete physical examination due to pain experienced by the patient;
- viscosupplementation, platelet rich plasma (PRP) or steroid injections in the last three months; and
- lack of consent for storing and using medical images.
2.2. Physical Examination
2.3. Magnetic Resonance Imaging of the Knee Joint
2.4. Knee Arthrsocopy
2.5. Data and Statistical Analysis
- For categorical variables: number and percentages.
- For continuous variables: mean and standard deviation.
- Influence of variables on physical examination tests: Pearson correlation coefficient r.
- Comparison of logistic regression steps: chi-square test.
- Time passing from MRI to physical examination: classic one-way analysis of variance (ANOVA).
3. Results
3.1. Meniscal Lesions Diagnostic Accuracy of Physical Examinations and MRI
3.2. ACL Tears Diagnostic Accuracy of Physical Examination and MRI
4. Discussion
5. Conclusions
Author Contributions
Funding
Conflicts of Interest
References
- Cibere, J.; Sayre, E.C.; Guermazi, A.; Nicolaou, S.; Kopec, J.A.; Esdaile, J.M.; Thorne, A.; Singer, J.; Wong, H. Natural history of cartilage damage and osteoarthritis progression on magnetic resonance imaging in a population-based cohort with knee pain. Osteoarthr. Cartil. 2011, 19, 683–688. [Google Scholar] [CrossRef] [PubMed]
- Jones, M.H.; Spindler, K.P. Risk factors for radiographic joint space narrowing and patient reported outcomes of post-traumatic osteoarthritis after ACL reconstruction: Data from the MOON cohort. J. Orthop. Res. 2017, 35, 1366–1374. [Google Scholar] [CrossRef] [PubMed]
- Acevedo, R.J.; Rivera-Vega, A.; Miranda, G.; Micheo, W. Anterior Cruciate Ligament Injury: Identification of Risk Factors and Prevention Strategies. Curr. Sports Med. Rep. 2014, 13, 186–191. [Google Scholar] [CrossRef] [PubMed]
- Caine, D.J.; Golightly, Y.M. Osteoarthritis as an outcome of paediatric sport: an epidemiological perspective. Br. J. Sports Med. 2011, 45, 298–303. [Google Scholar] [CrossRef] [PubMed]
- Reyes, C.; Garcia-Gil, M.; Elorza, J.; Mendez-Boo, L.; Hermosilla, E.; Javaid, M.; Cooper, C.; Diez-Perez, A.; Arden, N.; Bolibar, B.; et al. Socio-economic status and the risk of developing hand, hip or knee osteoarthritis: a region-wide ecological study. Osteoarthr. Cartil. 2015, 23, 1323–1329. [Google Scholar] [CrossRef] [PubMed]
- Johnson, V.; Hunter, D. The epidemiology of osteoarhtritis. Best Pract. Res. Clin. Rheumatol. 2014, 28, 5–15. [Google Scholar] [CrossRef]
- Svoboda, S.J. ACL Injury and Posttraumatic Osteoarthritis. Clin. Sports Med. 2014, 33, 633–640. [Google Scholar] [CrossRef]
- Friel, N.A.; Chu, C.R. The role of ACL injury in the development of posttraumatic knee osteoarthritis. Clin. Sports Med. 2013, 32, 1–12. [Google Scholar] [CrossRef]
- Puig, S.; Kuruvilla, Y.C.K.; Ebner, L.; Endel, G. Magnetic resonance tomography of the knee joint. Skelet. Radiol. 2015, 44, 1427–1434. [Google Scholar] [CrossRef]
- Solivetti, F.M.; Guerrisi, A.; Salducca, N.; Desiderio, F.; Graceffa, D.; Capodieci, G.; Romeo, P.; Sperduti, I.; Canitano, S. Appropriateness of knee MRI prescriptions: Clinical, economic and technical issues. Radiol. Med. 2016, 121, 315–322. [Google Scholar] [CrossRef]
- Warwick, D.; Cavanagh, P.; Bell, M.; Marsh, C. Influence of magnetic resonance imaging on a knee arthroscopy waiting list. Injury 1993, 24, 380–382. [Google Scholar] [CrossRef]
- Gharaibeh, M.; Szomor, A.; Chen, D.B.; Macdessi, S.J. A Retrospective Study Assessing Safety and Efficacy of Bipolar Radiofrequency Ablation for Knee Chondral Lesions. Cartilage 2017, 9, 241–247. [Google Scholar] [CrossRef] [PubMed]
- McMurray, T.P. The semilunar cartilages. Br. J. Surg. 1942, 29, 407–414. [Google Scholar] [CrossRef]
- Apley, A.G. The diagnosis of meniscus injuries; some new clinical methods. JBJS 1947, 29, 78–84. [Google Scholar]
- Karachalios, T.; Hantes, M.; Zibis, A.H.; Zachos, V.; Karantanas, A.H.; Malizos, K.N. Diagnostic Accuracy of a New Clinical Test (the Thessaly Test) for Early Detection of Meniscal Tears. JBJS 2005, 87, 955–962. [Google Scholar] [CrossRef]
- Torg, J.S.; Conrad, W.; Kalen, V. Clinical I diagnosis of anterior cruciate ligament instability in the athlete. Am. J. Sports Med. 1976, 4, 84–93. [Google Scholar] [CrossRef]
- Paessler, H.H.; Michel, D. How new is the Lachman test? Am. J. Sports Med. 1992, 20, 95–98. [Google Scholar] [CrossRef]
- Galway, H.R.; MacIntosh, D.L. The lateral pivot Shift: A symptom and sign of anterior cruciate ligament insufficiency. Clin. Orthop. Relat. Res. 1980, 147, 45–50. [Google Scholar] [CrossRef]
- Lelli, A.; Di Turi, R.P.; Spenciner, D.B.; Dòmini, M. The “Lever Sign”: A new clinical test for the diagnosis of anterior cruciate ligament rupture. Knee Surg. Sports Traumatol. Arthrosc. 2016, 24, 2794–2797. [Google Scholar] [CrossRef]
- Shindle, M.K.; Foo, L.F.; Kelly, B.T.; Khanna, A.J.; Domb, B.G.; Farber, A.; Wanich, T.; Potter, H.G. Magnetic Resonance Imaging of Cartilage in the Athlete: Current Techniques and Spectrum of Disease. JBJS 2006, 88, 27. [Google Scholar] [CrossRef]
- Anderson, A.F.; Irrgang, J.J.; Dunn, W.; Beaufils, P.; Cohen, M.; Cole, B.J.; Coolican, M.; Ferretti, M.; Glenn, R.E.; Johnson, R.; et al. Interobserver Reliability of the International Society of Arthroscopy, Knee Surgery and Orthopaedic Sports Medicine (ISAKOS) Classification of Meniscal Tears. Am. J. Sports Med. 2011, 39, 926–932. [Google Scholar] [CrossRef] [PubMed]
- Hare, K.B.; Vinther, J.H.; Lohmander, L.S.; Thorlund, J.B. Large regional differences in incidence of arthroscopic meniscal procedures in the public and private sector in Denmark. BMJ Open 2015, 5, e006659. [Google Scholar] [CrossRef] [PubMed]
- Thorlund, J.B.; Hare, K.B.; Lohmander, L.S. Large increase in arthroscopic meniscus surgery in the middle-aged and older population in Denmark from 2000 to 2011. Acta Orthop. 2014, 85, 287–292. [Google Scholar] [CrossRef] [PubMed]
- Beaufils, P.; Becker, R.; Kopf, S.; Englund, M.; Verdonk, R.; Ollivier, M.; Seil, R. Surgical management of degenerative meniscus lesions: the 2016 ESSKA meniscus consensus. Knee Surg. Sports Traumatol. Arthrosc. 2017, 25, 335–346. [Google Scholar] [CrossRef] [PubMed]
- Galli, M.; Ciriello, V.; Menghi, A.; Aulisa, A.G.; Rabini, A.; Marzetti, E. Joint Line Tenderness and McMurray Tests for the Detection of Meniscal Lesions: What Is Their Real Diagnostic Value? Arch. Phys. Med. Rehabil. 2013, 94, 1126–1131. [Google Scholar] [CrossRef]
- Meserve, B.B.; Cleland, J.A.; Boucher, T.R. A meta-analysis examining clinical test utilities for assessing meniscal injury. Clin. Rehabil. 2008, 22, 143–161. [Google Scholar] [CrossRef]
- Hagino, T.; Ochiai, S.; Senga, S.; Yamashita, T.; Wako, M.; Ando, T.; Haro, H. Meniscal tears associated with anterior cruciate ligament injury. Arch. Orthop. Trauma Surg. 2015, 135, 1701–1706. [Google Scholar] [CrossRef]
- Speziali, A.; Placella, G.; Tei, M.M.; Georgoulis, A.; Cerulli, G. Diagnostic value of the clinical investigation in acute meniscal tears combined with anterior cruciate ligament injury using arthroscopic findings as golden standard. Musculoskelet. Surg. 2016, 100, 31–35. [Google Scholar] [CrossRef]
- Blyth, M.; Anthony, I.; Francq, B.; Brooksbank, K.; Downie, P.; Powell, A.; Jones, B.; MacLean, A.; McConnachie, A.; Norrie, J. Diagnostic accuracy of the Thessaly test, standardised clinical history and other clinical examination tests (Apley’s, McMurray’s and joint line tenderness) for meniscal tears in comparison with magnetic resonance imaging diagnosis. Health Technol. Assess. 2015, 19, 1–62. [Google Scholar] [CrossRef]
- Benjaminse, A.; Gokeler, A.; Van Der Schans, C.P. Clinical Diagnosis of an Anterior Cruciate Ligament Rupture: A Meta-analysis. J. Orthop. Sports Phys. Ther. 2006, 36, 267–288. [Google Scholar] [CrossRef]
- Sandberg, R.; Balkfors, B.; Henricson, A.; Westlin, N. Stability tests in knee ligament injuries. Arch. Orthop. Trauma Surg. 1986, 106, 5–7. [Google Scholar] [CrossRef] [PubMed]
- DeHaven, K.E. Diagnosis of acute knee injuries with hemarthrosis. Am. J. Sports Med. 1980, 8, 9–14. [Google Scholar] [CrossRef] [PubMed]
- Van Eck, C.F.; van den Bekerom, M.P.J.; Fu, F.H.; Poolman, R.W.; Kerkhoffs, G.M.M.J. Methods to diagnose acute anterior cruciate ligament rupture: A meta-analysis of physical examinations with and without anaesthesia. Knee Surg. Sports Traumatol. Arthrosc. 2013, 21, 1895–1903. [Google Scholar] [CrossRef] [PubMed]
- Ayeni, O.R.; Chahal, M.; Tran, M.N.; Sprague, S. Pivot shift as an outcome measure for ACL reconstruction: a systematic review. Knee Surg. Sports Traumatol. Arthrosc. 2012, 20, 767–777. [Google Scholar] [CrossRef] [PubMed]
- Kocher, M.S.; Steadman, J.R.; Briggs, K.K.; Sterett, W.I.; Hawkins, R.J. Relationships Between Objective Assessment of Ligament Stability and Subjective Assessment of Symptoms and Function After Anterior Cruciate Ligament Reconstruction. Am. J. Sports Med. 2004, 32, 629–634. [Google Scholar] [CrossRef]
- Massey, P.A.; Harris, J.D.; Winston, L.A.; Lintner, D.M.; Delgado, D.A.; McCulloch, P.C. Critical Analysis of the Lever Test for Diagnosis of Anterior Cruciate Ligament Insufficiency. Arthrosc. J. Arthrosc. Relat. Surg. 2017, 33, 1560–1566. [Google Scholar] [CrossRef] [PubMed]
- Jarbo, K.A.; Hartigan, D.E.; Scott, K.L.; Patel, K.A.; Chhabra, A. Accuracy of the Lever Sign Test in the Diagnosis of Anterior Cruciate Ligament Injuries. Orthop. J. Sports Med. 2017, 5, 2325967117729809. [Google Scholar] [CrossRef]
- Phelan, N.; Rowland, P.; Galvin, R.; O’Byrne, J.M. A systematic review and meta-analysis of the diagnostic accuracy of MRI for suspected ACL and meniscal tears of the knee. Knee Surgery, Sports Traumatol. Arthrosc. 2015, 24, 1525–1539. [Google Scholar] [CrossRef]
- Crawford, R.; Walley, G.; Bridgman, S.; Maffulli, N. Magnetic resonance imaging versus arthroscopy in the diagnosis of knee pathology, concentrating on meniscal lesions and ACL tears: a systematic review. Br. Med. Bull. 2007, 84, 5–23. [Google Scholar] [CrossRef]
- Yoon, K.H.; Yoo, J.H.; Kim, K.-I. Bone Contusion and Associated Meniscal and Medial Collateral Ligament Injury in Patients with Anterior Cruciate Ligament Rupture. JBJS 2011, 93, 1510–1518. [Google Scholar] [CrossRef]
- Wong, K.P.L.; Han, A.X.; Wong, J.L.Y.; Lee, D.Y.H. Reliability of magnetic resonance imaging in evaluating meniscal and cartilage injuries in anterior cruciate ligament-deficient knees. Knee Surg. Sports Traumatol. Arthrosc. 2017, 25, 411–417. [Google Scholar] [CrossRef] [PubMed]
- Ahn, J.; Kang, D.; Choi, K. Risk factors for radiographic progression of osteoarthritis after partial meniscectomy of discoid lateral meniscus tear. Orthop. Traumatol. Surg. Res. 2017, 103, 1183–1188. [Google Scholar] [CrossRef] [PubMed]
- Grevitt, M.; Pool, C.; Bodley, R.; Savage, P. Magnetic resonance imaging of the knee: initial experience in a district general hospital. Injury 1992, 23, 410–412. [Google Scholar] [CrossRef]
- Riel, K.-A.; Reinisch, M.; Kersting-Sommerhoff, B.; Hof, N.; Merl, T. 0.2-Tesla magnetic resonance imaging of internal lesions of the knee joint: a prospective arthroscopically controlled clinical study. Knee Surg. Sports Traumatol. Arthrosc. 1999, 7, 37–41. [Google Scholar] [CrossRef]
- Van Dyck, P.; De Smet, E.; Veryser, J.; Lambrecht, V.; Gielen, J.L.; Vanhoenacker, F.M.; Dossche, L.; Parizel, P.M. Partial tear of the anterior cruciate ligament of the knee: Injury patterns on MR imaging. Knee Surg. Sports Traumatol. Arthrosc. 2012, 20, 256–261. [Google Scholar] [CrossRef]
- Van Dyck, P.; Vanhoenacker, F.M.; Lambrecht, V.; Wouters, K.; Gielen, J.L.; Dossche, L.; Parizel, P.M. Prospective Comparison of 1.5 and 3.0-T MRI for Evaluating the Knee Menisci and ACL. JBJS 2013, 95, 916–924. [Google Scholar] [CrossRef]






| Parameter | |
|---|---|
| Age, year (mean ± SD) | 45 ± 16 |
| Sex, n (%) | Females 49 (51%), Males 47 (49%) |
| Duration of symptoms, months | 43.9 ± 70.8 |
| History of trauma, n (%) | 60 (62.5%) |
| Involvement of the dominant extremity, n (%) | 5 (31.25%), 50 (48%) |
| Opposite extremity involvement, n (%) | 14 (14.5%) |
| Physiotherapy prior to surgery, n (%) | 60 (62.5%) |
| Medial meniscus lesions, n (%) | 45 (46.8%) |
| Lateral meniscus lesions, n (%) | 17 (17.7%) |
| Bilateral meniscus lesions, n (%) | 3 (3.125%) |
| ACL tear, n (%) | 30 (31.25%) |
| Isolated ACL tear, n, (% of ACL tears) | 3 (10%) |
| ACL tear and MM lesion, n, (% of ACL tears) | 4 (13.3%) |
| ACL tear and LM lesion, n, (%of ACL tears) | 3 (10%) |
| ACL tear, MM and LM lesion, n, (% of ACL tears) | 0 (0%) |
| ACL tear and isolated chondral defect, n, (% of ACL tears) | 6 (20%) |
| ACL tear, MM lesion and chondral defect, n, (% of ACL tears) | 9 (30%) |
| ACL tear, LM lesion and chondral defect, n, (% of ACL tears) | 5 (16.6%) |
| ACL tear, LM and MM lesion and chondral defect, n, (% of ACL tears) | 2 (6.7%) |
| Area Under the Curve | |||||||
|---|---|---|---|---|---|---|---|
| Asymptotic 95% Confidence Interval | |||||||
| Tested Variables | Area Under the Curve | SD | Asymptotic Significance | Inferior Boundary Value | Superior Boundary Value | Sensitivity | 1-Specificity |
| Thessaly in extension MM | 0.604 | 0.058 | 0.079 | 0.491 | 0.718 | 0.604 | 0.395 |
| Thessaly in flexion for MM | 0.698 | 0.054 | 0.001 | 0.591 | 0.805 | 0.854 | 0.458 |
| McMurray for MM | 0.698 | 0.054 | 0.001 | 0.591 | 0.805 | 0.875 | 0.479 |
| Apley compression for MM | 0.635 | 0.057 | 0.022 | 0.524 | 0.747 | 0.668 | 0.417 |
| Apley distraction for MM | 0.583 | 0.058 | 0.159 | 0.469 | 0.698 | 0.417 | 0.250 |
| Medial joint line palpation | 0.594 | 0.058 | 0.113 | 0.480 | 0.708 | 0.583 | 0.396 |
| Thessaly in extension LM | 0.746 | 0.068 | 0.001 | 0.613 | 0.879 | 0.650 | 0.158 |
| Thessaly in flexion for LM | 0.771 | 0.065 | 0.000 | 0.644 | 0.898 | 0.700 | 0.158 |
| McMurray for LM | 0.739 | 0.068 | 0.001 | 0.606 | 0.873 | 0.650 | 0.171 |
| Apley compression for LM | 0.767 | 0.070 | 0.000 | 0.630 | 0.904 | 0.600 | 0.066 |
| Apley distraction for LM | 0.705 | 0.076 | 0.005 | 0.557 | 0.853 | 0.450 | 0.039 |
| Lateral joint line palpation | 0.568 | 0.07 | 0.348 | 0.423 | 0.714 | 0.400 | 0.263 |
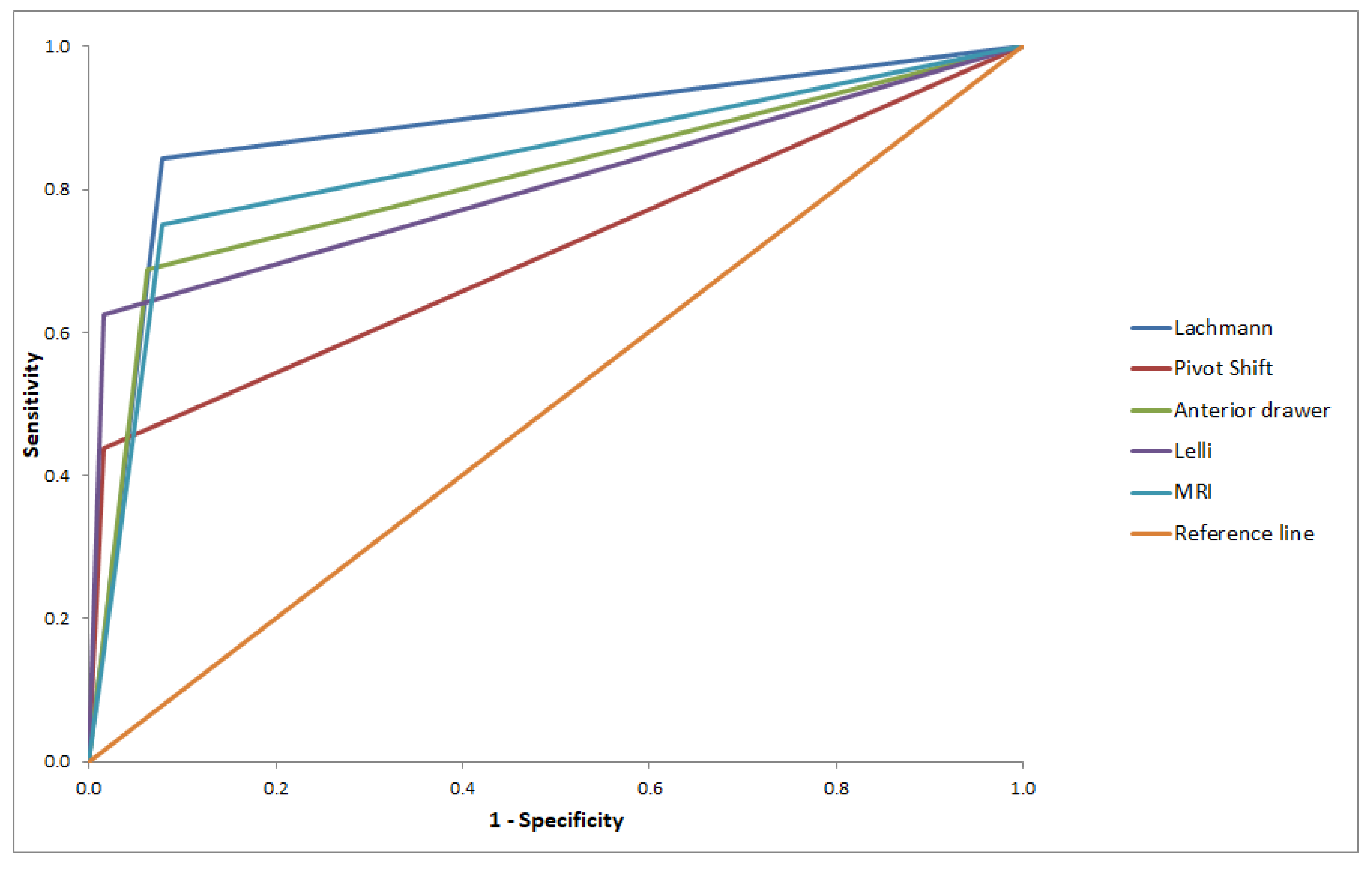
| Lachman | 0.883 | 0.042 | 0.000 | 0.800 | 0.966 | 0.844 | 0.078 |
| Pivot shift | 0.711 | 0.062 | 0.001 | 0.589 | 0.832 | 0.438 | 0.016 |
| Anterior drawer | 0.813 | 0.053 | 0.000 | 0.709 | 0.916 | 0.688 | 0.063 |
| Lelli | 0.805 | 0.055 | 0.000 | 0.696 | 0.913 | 0.625 | 0.016 |
| MRI for MM | 0.740 | 0.052 | 0.000 | 0.638 | 0.841 | 0.958 | 0.479 |
| Logistic model for MM | 0.726 | 0.053 | 0.000 | 0.623 | 0.830 | 0.917 | 0.542 |
| MRI for LM | 0.778 | 0.065 | 0.000 | 0.650 | 0.905 | 0.7 | 0.145 |
| Logistic model for LM | 0.767 | 0.070 | 0.000 | 0.630 | 0.904 | 0.6 | 0.066 |
| MRI for ACL | 0.836 | 0.050 | 0.000 | 0.739 | 0.933 | 0.75 | 0.078 |
| Logistic model for ACL | 0.914 | 0.050 | 0.000 | 0.739 | 0.933 | 0.875 | 0.078 |
© 2019 by the authors. Licensee MDPI, Basel, Switzerland. This article is an open access article distributed under the terms and conditions of the Creative Commons Attribution (CC BY) license (http://creativecommons.org/licenses/by/4.0/).
Share and Cite
Krakowski, P.; Nogalski, A.; Jurkiewicz, A.; Karpiński, R.; Maciejewski, R.; Jonak, J. Comparison of Diagnostic Accuracy of Physical Examination and MRI in the Most Common Knee Injuries. Appl. Sci. 2019, 9, 4102. https://doi.org/10.3390/app9194102
Krakowski P, Nogalski A, Jurkiewicz A, Karpiński R, Maciejewski R, Jonak J. Comparison of Diagnostic Accuracy of Physical Examination and MRI in the Most Common Knee Injuries. Applied Sciences. 2019; 9(19):4102. https://doi.org/10.3390/app9194102
Chicago/Turabian StyleKrakowski, Przemysław, Adam Nogalski, Andrzej Jurkiewicz, Robert Karpiński, Ryszard Maciejewski, and Józef Jonak. 2019. "Comparison of Diagnostic Accuracy of Physical Examination and MRI in the Most Common Knee Injuries" Applied Sciences 9, no. 19: 4102. https://doi.org/10.3390/app9194102
APA StyleKrakowski, P., Nogalski, A., Jurkiewicz, A., Karpiński, R., Maciejewski, R., & Jonak, J. (2019). Comparison of Diagnostic Accuracy of Physical Examination and MRI in the Most Common Knee Injuries. Applied Sciences, 9(19), 4102. https://doi.org/10.3390/app9194102

