Bödewadt Flow Over a Permeable Disk with Homogeneous-Heterogeneous Reactions: A Numerical Study
Abstract
1. Introduction
2. Problem Statement
2.1. Asymptotic Behavior
2.2. Exact Solution in Case of Large Suction When
3. Numerical Results and Discussion
4. Concluding Remarks
- (1)
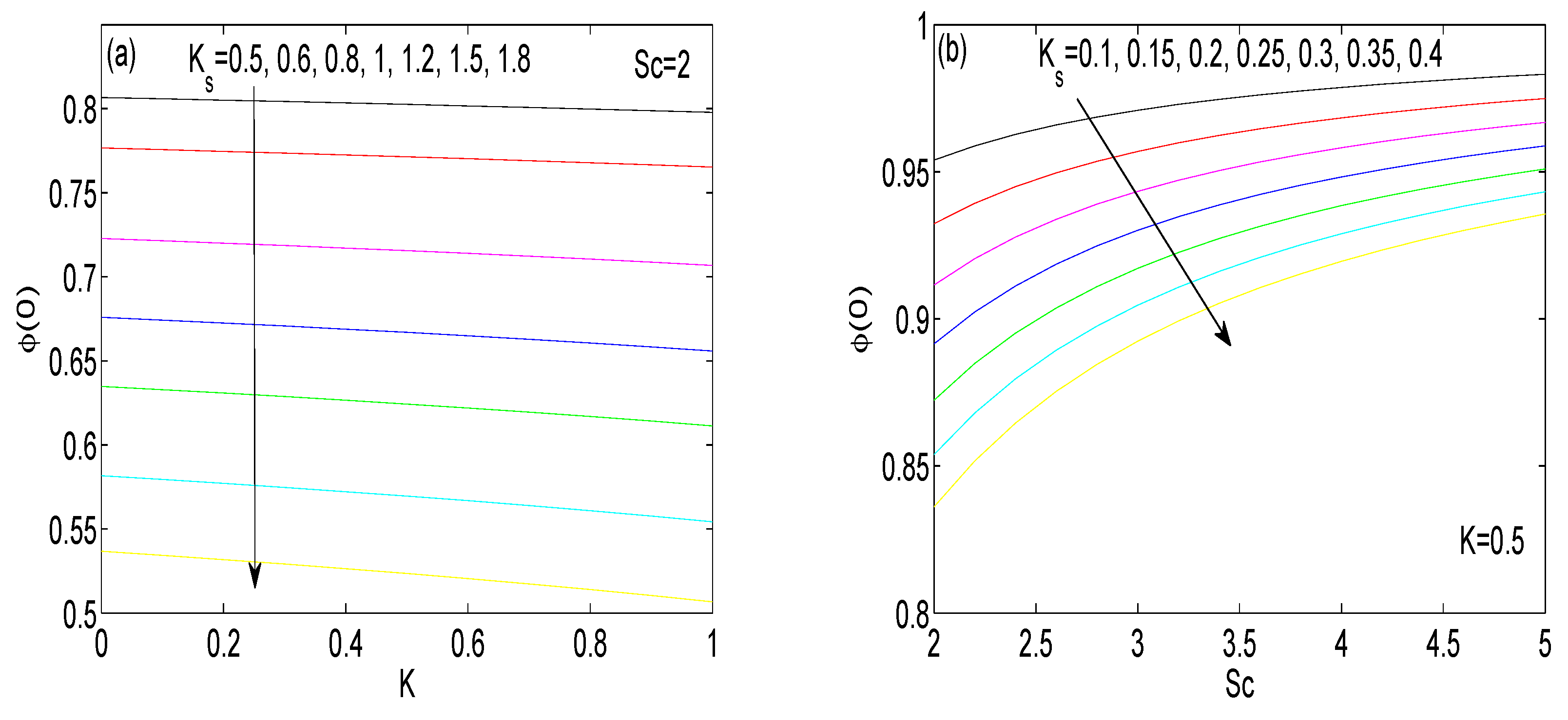
- A meaningful solution for concentration exists only when a permeable disk with sufficiently high suction is considered. This is also apparent from the asymptotic expression of valid for large axial distance .
- (2)
- Suction tends to suppress velocity and concentration profiles. These, in turn, elevate the concentration of chemical species at the disk.
- (3)
- In large suction case with , a closed form solution is obtained that supports the numerical solution obtained.
- (4)
- By increasing either or , the consumption of reactants within the boundary layer increases, thereby decreasing concentration.
- (5)
- The wall concentration gradient asymptotically vanishes when the rate of chemical reaction increases.
Author Contributions
Funding
Conflicts of Interest
References
- Von-Kármán, T. Uber laminare and turbulente Reibung. Z. Angew. Math. Mech. 1921, 1, 233–252. [Google Scholar]
- Bödewadt, U.T. Die Dreh stromunguber festem Grund. Z. Angew. Math. Mech. 1940, 20, 241–253. [Google Scholar] [CrossRef]
- Batchelor, G.K. Note on the class of solutions of the Navier–Stokes equations representing steady non-rotationally symmetric flow, Quart. J. Appl. Math. 1951, 4, 29–41. [Google Scholar]
- Rogers, M.H.; Lance, G.N. The rotationally symmetric flow of a viscous fluid in the presence of an infinite rotating disk. J. Fluid Mech. 1960, 7, 617–631. [Google Scholar] [CrossRef]
- Ackroyd, J.A.D. On steady flow produced by a rotating dick with either suction or injection. J. Eng. Math. 1978, 12, 207–220. [Google Scholar] [CrossRef]
- Watson, L.T.; Wang, C.Y. Deceleration of a rotating disk in a viscous fluid. Phys. Fluids 1979, 22, 2267–2269. [Google Scholar] [CrossRef]
- Fransaer, J.; Roos, J.R.; Cellis, J.P. Fluid Flow past a rotating disk. Chem. Eng. Sci. 1991, 46, 1194–1196. [Google Scholar] [CrossRef]
- Sahoo, B. Effects of slip on steady Bödewadt flow and heat transfer of an electrically conducting non-Newtonian fluid. Commun. Nonlinear Sci. Num. Simul. 2011, 16, 4284–4295. [Google Scholar] [CrossRef]
- Sahoo, B.; Gorder, R.A.V.; Andersson, H.I. Steady revolving flow and heat transfer of a non-Newtonian Reiner–Rivlin fluid. Int. Commun. Heat Mass Transf. 2012, 39, 336–342. [Google Scholar] [CrossRef]
- Turkyilmazoglu, M. Bödewadt flow and heat transfer over a stretching stationary disk. Int. J. Mech. Sci. 2015, 90, 246–250. [Google Scholar] [CrossRef]
- Mustafa, M.; Khan, J.A.; Hayat, T.; Alsaedi, A. On Bödewadt flow and heat transfer of nanofluids over a stretching stationary disk. J. Mol. Liq. 2015, 211, 119–125. [Google Scholar] [CrossRef]
- Rahman, M.; Andersson, H.I. On heat transfer in Bödewadt flow. Int. J. Heat Mass Transf. 2017, 112, 1057–1061. [Google Scholar] [CrossRef]
- Khan, J.A.; Mustafa, M.; Hayat, T.; Alzahrani, F. Numerical study for Bödewadt flow of water based nanofluid over a deformable disk: Buongiorno model. Ind. J. Phys. 2017, 91, 527–533. [Google Scholar] [CrossRef]
- Mustafa, M.; Pop, I.; Naganthran, K.; Nazar, R. Entropy generation analysis for radiative heat transfer to Bödewadt slip flow subject to strong suction-strength. Eur. J. Mech. B/Fluids 2018, 72, 179–188. [Google Scholar] [CrossRef]
- Chaudhary, M.A.; Merkin, J.H. A simple isothermal model for homogeneous-heterogeneous reactions in boundary layer flow. I Equal diffusivities. Fluid Dyn. Res. 1995, 16, 311–333. [Google Scholar] [CrossRef]
- Merkin, J.H. A model for isothermal homogenous-heterogeneous reaction in boundary-layer flow. Math. Comput. Model 1996, 24, 125–136. [Google Scholar] [CrossRef]
- Bachok, N.; Ishak, A.; Pop, I. On the stagnation-point flow towards a stretching sheet with homogeneous–heterogeneous reactions effects. Commun. Nonlinear Sci. Numer. Simul. 2011, 16, 4296–4302. [Google Scholar] [CrossRef]
- Khan, W.A.; Pop, I. Effects of homogeneous-heterogeneous reaction on the viscoelastic fluid towards a stretching sheet. ASME J. Heat Transf. 2012, 134, 064506. [Google Scholar] [CrossRef]
- Hayat, T.; Imtiaz, M.; Almezal, S. Modeling and analysis for three-dimensional flow with homogeneous-heterogeneous reactions. AIP Adv. 2015, 5, 107209. [Google Scholar] [CrossRef]
- Hayat, T.; Rashid, M.; Imtiaz, M.; Alsaedi, A. Nanofluid flow due to rotating disk with variable thickness and homogeneous-heterogeneous reactions. Int. J. Heat Mass Transf. 2017, 113, 96–105. [Google Scholar] [CrossRef]
- Maqsood, N.; Mustafa, M.; Khan, J.A. Numerical tackling for viscoelastic fluid flow in rotating frame considering homogeneous-heterogeneous reaction. Result Phys. 2017, 7, 3475–3481. [Google Scholar] [CrossRef]
- Khan, M.I.; Waqas, M.; Hayat, T.; Alsaedi, A. A comparative study of Casson fluid with homogeneous-heterogeneous reactions. J. Colloid Interf. 2017, 498, 85–90. [Google Scholar] [CrossRef]
- Khan, M.I.; Hayat, T.; Waqas, M.; Alsaedi, A. Outcome for chemically reactive aspect in flow of tangent hyperbolic material. J. Mol. Liq. 2017, 230, 143–151. [Google Scholar] [CrossRef]
- Khan, M.I.; Hayat, T.; Waqas, M.; Alsaedi, A. Impact of heat generation/absorption and homogeneous-heterogeneous reactions on flow of Maxwell fluid. J. Mol. Liq. 2017, 233, 465–470. [Google Scholar] [CrossRef]
- Xu, N.L.; Xu, H.; Raees, A. Homogeneous-heterogeneous reactions in flow of nanofluids near the stagnation region of a plane surface: The Buongiorno’s model. Int. J. Heat Mass Transf. 2018, 125, 604–609. [Google Scholar] [CrossRef]
- Mahdy, A. Impacts of homogeneous-heterogeneous chemical reactions and inclined magnetic field on unsteady nanofluids flow. AIP Adv. 2018, 8, 115109. [Google Scholar] [CrossRef]




| Present | [12] | Present | [12] | |
|---|---|---|---|---|
| 0 | 0.9419 | 0.9420 | 0.7728 | 0.7729 |
| 0.5 | 0.9033 | 0.9033 | 1.0650 | 1.0652 |
| 1 | 0.8351 | 0.8351 | 1.3883 | 1.3885 |
| 2 | 0.6468 | 0.6468 | 2.1560 | 2.1560 |
| 3 | 0.4800 | 0.4800 | 3.0611 | 3.0611 |
| Numerical | Analytical Equation (30) | Difference | |
|---|---|---|---|
| 1 | 0.451842 | 0.454545 | 0.002703 |
| 2 | 0.476083 | 0.476190 | 0.000107 |
| 3 | 0.483855 | 0.487871 | 0.000016 |
| 4 | 0.487801 | 0.487805 | 0.000004 |
| 5 | 0.490195 | 0.490196 | 0.000001 |
| 6 | 0.491803 | 0.491803 | 0.000000 |
| 1 | 1.312385 | −0.268272 | 0.7205807 | 0.360290 |
| 1.5 | 1.810597 | −1.023830 | 0.848774 | 0.424387 |
| 2 | 2.533371 | −1.703410 | 0.886562 | 0.443281 |
| 2.5 | 3.525320 | −2.316386 | 0.908228 | 0.454114 |
| 3 | 4.800394 | −2.883492 | 0.922698 | 0.461349 |
| 3.5 | 6.354416 | −3.423185 | 0.933146 | 0.466573 |
| 5 | 12.616804 | −4.972426 | 0.952344 | 0.476172 |
| 6 | 18.081658 | −5.983917 | 0.959984 | 0.479992 |
| 10 | 50.0295589 | −9.996503 | 0.975608 | 0.487804 |
| 0.5 | 0.5 | 0.5 | 0.432011 | 0.216005 |
| 1 | 0.618288 | 0.309144 | ||
| 2 | 0.802841 | 0.401421 | ||
| 5 | 0.920734 | 0.460367 | ||
| 10 | 0.959663 | 0.479832 | ||
| 2 | 0.1 | 0.806127 | 0.403064 | |
| 1 | 0.798183 | 0.399091 | ||
| 2 | 0.786050 | 0.393025 | ||
| 3 | 0.765414 | 0.382707 | ||
| 3.5 | 0.742473 | 0.371236 | ||
| 0.5 | 0.5 | 0.802841 | 0.401421 | |
| 1 | 0.667402 | 0.667402 | ||
| 2 | 0.497335 | 0.994669 | ||
| 5 | 0.281515 | 1.407573 | ||
| 10 | 0.163605 | 1.636049 |
© 2019 by the authors. Licensee MDPI, Basel, Switzerland. This article is an open access article distributed under the terms and conditions of the Creative Commons Attribution (CC BY) license (http://creativecommons.org/licenses/by/4.0/).
Share and Cite
Rafiq, T.; Hashmi, M.M. Bödewadt Flow Over a Permeable Disk with Homogeneous-Heterogeneous Reactions: A Numerical Study. Appl. Sci. 2019, 9, 4046. https://doi.org/10.3390/app9194046
Rafiq T, Hashmi MM. Bödewadt Flow Over a Permeable Disk with Homogeneous-Heterogeneous Reactions: A Numerical Study. Applied Sciences. 2019; 9(19):4046. https://doi.org/10.3390/app9194046
Chicago/Turabian StyleRafiq, Talat, and Meraj Mustafa Hashmi. 2019. "Bödewadt Flow Over a Permeable Disk with Homogeneous-Heterogeneous Reactions: A Numerical Study" Applied Sciences 9, no. 19: 4046. https://doi.org/10.3390/app9194046
APA StyleRafiq, T., & Hashmi, M. M. (2019). Bödewadt Flow Over a Permeable Disk with Homogeneous-Heterogeneous Reactions: A Numerical Study. Applied Sciences, 9(19), 4046. https://doi.org/10.3390/app9194046

