Development of a Metamodel for Predicting Near-Field Propagation of Hazardous and Noxious Substances Spilled From a Ship
Abstract
1. Introduction
2. Mathematical Representation
2.1. CFD Simulation
2.2. Metamodeling of HNS Propagation
3. Results and Discussion
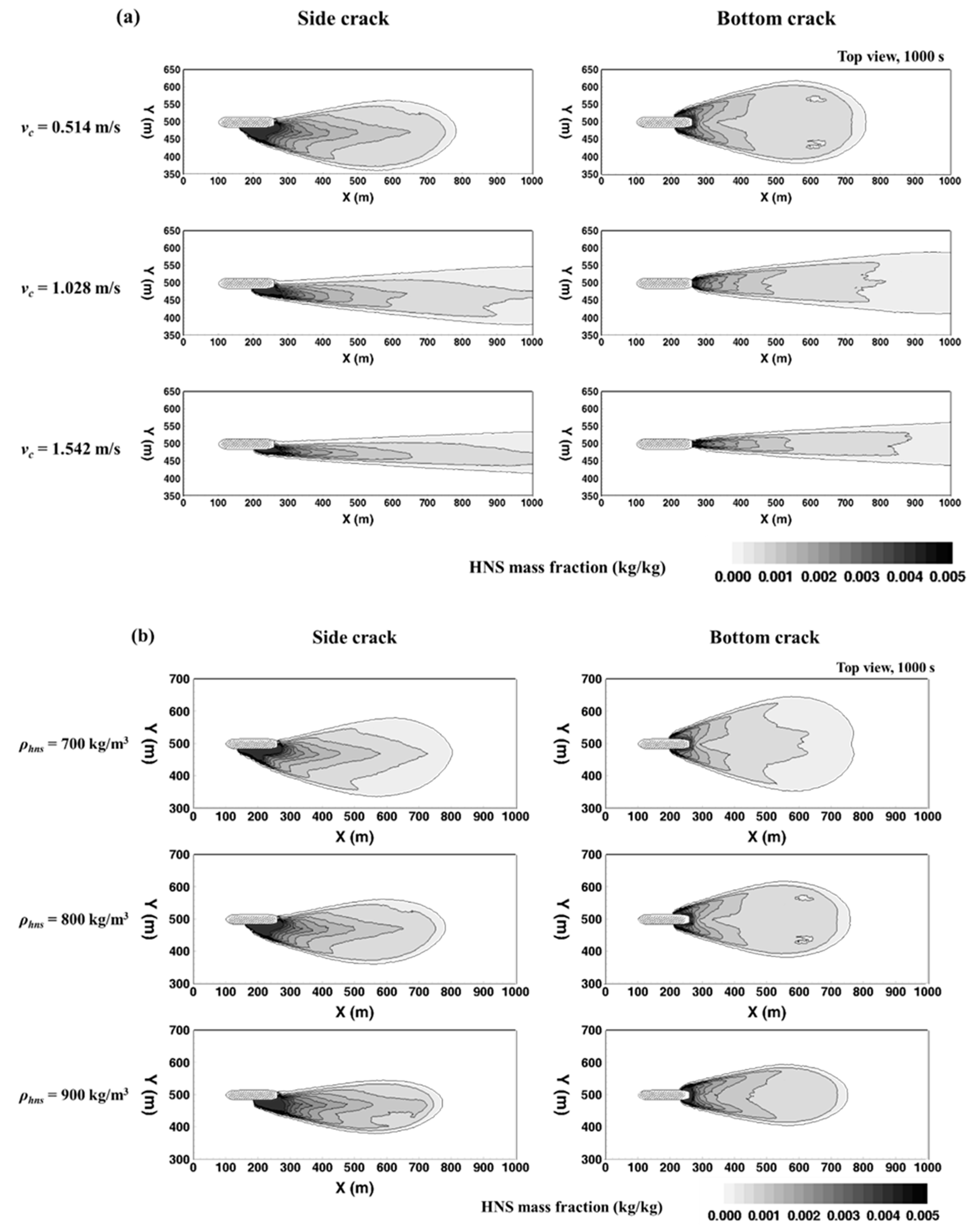
3.1. HNS Propagation Behaviors
3.2. Quantitative Analysis
3.3. Metamodeling Using Kriging Model
4. Conclusions
- (1)
- From the CFD results, it was found that the streamwise propagation velocity increases linearly with the current velocity because the advection effect is dominant, whereas the transverse propagation velocity decreases. Furthermore, the crack position did not cause a large difference in the streamwise propagation velocity.
- (2)
- As the current velocity increases, the averaged HNS mass fraction at sea level decreases because the HNS is actively transported by advection. In the case of the low HNS density, the buoyancy effect becomes stronger and the propagation in the radial direction is increased. Thus, the area occupied by spilled HNS increases, and the averaged HNS mass fraction decreases. For side cracks, the averaged HNS mass fraction decreases because the spilled HNS has lower area.
- (3)
- The metamodel was developed using the Kriging model for the key parameters, which were newly defined for the HNS propagation analysis. The hidden point tests for evaluation show that the mean error of the streamwise propagation velocity is 8.48%, the transverse propagation velocity is 5.38%, and the averaged HNS mass fraction is 6.71%, approximately. The current model is the first version developed under the restricted scenario. Thus, it could be updated continuously by adding further CFD results under various scenario.
Author Contributions
Funding
Acknowledgments
Conflicts of Interest
References
- IMO. Protocol on Preparedness, Response and Co-operation to Pollution Incidents by Hazardous and Noxious Substances, 2000 (OPRC-HNS Protocol); IMO: London, UK, 2000. [Google Scholar]
- Harold, P.D.; De Souza, A.S.; Louchart, P.; Russell, D.; Brunt, H. Development of a risk-based prioritisation methodology to inform public health emergency planning and preparedness in case of accidental spill at sea of hazardous and noxious substances (HNS). Environ. Int. 2014, 72, 157–163. [Google Scholar] [CrossRef] [PubMed]
- Neuparth, T.; Moreira, S.; Santos, M.M.; Reis-Enriques, M.A. Hazardous and noxious substances (HNS) in the marine environment: Prioritizing HNS that pose major risk in a European context. Mar. Pollut. Bull. 2011, 62, 21–28. [Google Scholar] [CrossRef] [PubMed]
- Gong, Y.; Zhao, X.; Cai, Z.; O’Reilly, S.E.; Hao, X.; Zhao, D. A review of oil, dispersed oil and sediment interactions in the aquatic environment: Influence on the fate, transport and remediation of oil spills. Mar. Pollut. Bull. 2014, 79, 16–33. [Google Scholar] [CrossRef] [PubMed]
- Zheng, L.; Pan, L.; Lin, P.; Miao, J.; Wang, X.; Lin, Y.; Wu, J. Evaluating the toxic effects of three priority hazardous and noxious substances (HNS) to rotifer Brachionus plicatilis. Environ. Sci. Pollut. Res. 2017, 24, 27277–27287. [Google Scholar] [CrossRef] [PubMed]
- Cunha, I.; Moreira, S.; Santos, M.M. Review on hazardous and noxious substances (HNS) involved in marine spill incidentsan online database. J. Hazard. Mater. 2015, 285, 509–516. [Google Scholar] [CrossRef] [PubMed]
- Kim, N.; Park, H. Air pollution risk assessment of hazardous and noxious substance-spill accidents: A case study of Ulsan port, Korea. WIT Trans. Built Environ. 2017, 173, 219–228. [Google Scholar]
- Fuhrer, M.; Peron, O.; Hofer, T.; Morrissette, M.; Le Floch, S. Offshore experiments on styrene spillage in marine waters for risk assessment. Mar. Pollut. Bull. 2012, 64, 1367–1374. [Google Scholar] [CrossRef] [PubMed]
- Janeiro, J.; Zacharioudaki, A.; Sarhadi, E.; Neves, A.; Martins, F. Enhancing the management response to oil spills in the Tuscany Archipelago through operational modelling. Mar. Pollut. Bull. 2014, 85, 574–589. [Google Scholar] [CrossRef] [PubMed]
- Elhakeem, A.A.; Elshorbagy, W.; Chebbi, R. Oil spill simulation and validation in the Arabian (Persian) Gulf with special reference to the UAE coast. Water Air Soil Pollut. 2007, 184, 243–254. [Google Scholar] [CrossRef]
- Berry, A.; Dabrowski, T.; Lyons, K. The oil spill model OILTRANS and its application to the Celtic Sea. Mar. Pollut. Bull. 2012, 64, 2489–2501. [Google Scholar] [CrossRef] [PubMed]
- Jeong, C.H.; Ko, M.K.; Lee, M.; Lee, S.H. Numerical simulation of propagation characteristics of hazardous noxious substances spilled from transport ships. Appl. Sci. 2018, 8, 2409. [Google Scholar] [CrossRef]
- Tavakoli, M.T.; Amdahl, J.; Leira, B.J. Experimental investigation of oil leakage from damaged ships due to collision and grounding. Ocean. Eng. 2011, 38, 1894–1907. [Google Scholar] [CrossRef]
- Friis-Hansen, P.; Simonsen, B.C. GRACAT: Software for grounding and collision risk analysis. Mar. Struct. 2002, 15, 383–401. [Google Scholar] [CrossRef]
- Ventikos, N.P.; Papanikolaou, A.D.; Louzis, K.; Koimtzoglou, A. Statistical analysis and critical review of navigational accidents in adverse weather conditions. Ocean. Eng. 2018, 163, 502–517. [Google Scholar] [CrossRef]
- Bae, S.W.; Kim, D.S. Understanding the flow properties by a numerical modeling in the South Sea of Korea. J. Korean Soc. Mar. Environ. Saf. 2012, 18, 295–307. [Google Scholar] [CrossRef]
- Griffies, S.M. Science of Ocean Climate Models; Princeton University Press: Princeton, NJ, USA, 2018; pp. 133–140. [Google Scholar]
- Matheron, G. Principles of geostatistics. Econ. Geol. 1963, 58, 1246–1266. [Google Scholar] [CrossRef]
- Ghosh, S.; Rao, C.R. Handbook of Statistics 13; North-Holland: Amsterdam, The Netherlands, 1996. [Google Scholar]
- Simpson, T.W.; Mistree, F. Kriging models for global approximation in simulation based multidisciplinary design optimization. AIAA J. 2001, 39, 2233–2241. [Google Scholar] [CrossRef]
- Ocupational Safety and Health Administration. OSHA Occupational Chemical Database. 2018. Available online: https://www.osha.gov/chemicaldata/chemResult.html?recNo=14 (accessed on 18 December 2018).










| Case No. | vc (m/s) | ρhns (kg/m3) | Crack Location |
|---|---|---|---|
| Case 1 | 0.514 | 700 | Side |
| Case 2 | 0.514 | 700 | Bottom |
| Case 3 | 0.514 | 800 | Side |
| Case 4 | 0.514 | 800 | Bottom |
| Case 5 | 0.514 | 900 | Side |
| Case 6 | 0.514 | 900 | Bottom |
| Case 7 | 1.028 | 700 | Side |
| Case 8 | 1.028 | 700 | Bottom |
| Case 9 | 1.028 | 800 | Side |
| Case 10 | 1.028 | 800 | Bottom |
| Case 11 | 1.028 | 900 | Side |
| Case 12 | 1.028 | 900 | Bottom |
| Case 13 | 1.542 | 700 | Side |
| Case 14 | 1.542 | 700 | Bottom |
| Case 15 | 1.542 | 800 | Side |
| Case 16 | 1.542 | 800 | Bottom |
| Case 17 | 1.542 | 900 | Side |
| Case 18 | 1.542 | 900 | Bottom |
| Key Parameters | Determined Coefficients | |||
|---|---|---|---|---|
| θcurrent | θdensity | θlocation | ||
| 1.0904 | 0.7 | 0.1 | 0.1 | |
| 0.1474 | 0.4 | 0.2 | 0.1 | |
| 0.8580 | 0.5 | 0.2 | 0.1 | |
| Case No. | vc (m/s) | ρhns (kg/m3) | Crack Location |
|---|---|---|---|
| Case 1 | 0.771 | 750 | Side |
| Case 2 | 0.771 | 750 | Bottom |
| Case 3 | 0.771 | 850 | Side |
| Case 4 | 0.771 | 850 | Bottom |
| Case 5 | 1.285 | 750 | Side |
| Case 6 | 1.285 | 750 | Bottom |
| Case 7 | 1.285 | 850 | Side |
| Case 8 | 1.285 | 850 | Bottom |
© 2019 by the authors. Licensee MDPI, Basel, Switzerland. This article is an open access article distributed under the terms and conditions of the Creative Commons Attribution (CC BY) license (http://creativecommons.org/licenses/by/4.0/).
Share and Cite
Ko, M.K.; Jeong, C.H.; Lee, M.; Lee, S.H. Development of a Metamodel for Predicting Near-Field Propagation of Hazardous and Noxious Substances Spilled From a Ship. Appl. Sci. 2019, 9, 3838. https://doi.org/10.3390/app9183838
Ko MK, Jeong CH, Lee M, Lee SH. Development of a Metamodel for Predicting Near-Field Propagation of Hazardous and Noxious Substances Spilled From a Ship. Applied Sciences. 2019; 9(18):3838. https://doi.org/10.3390/app9183838
Chicago/Turabian StyleKo, Min Kyu, Chan Ho Jeong, Moonjin Lee, and Seong Hyuk Lee. 2019. "Development of a Metamodel for Predicting Near-Field Propagation of Hazardous and Noxious Substances Spilled From a Ship" Applied Sciences 9, no. 18: 3838. https://doi.org/10.3390/app9183838
APA StyleKo, M. K., Jeong, C. H., Lee, M., & Lee, S. H. (2019). Development of a Metamodel for Predicting Near-Field Propagation of Hazardous and Noxious Substances Spilled From a Ship. Applied Sciences, 9(18), 3838. https://doi.org/10.3390/app9183838

