Analysis, Evaluation and Simulation of Railway Diesel-Electric and Hybrid Units as Distributed Energy Resources
Abstract
1. Introduction
1.1. Energy and Load Indicators
1.2. Energy Efficiency in Railways: The Use of Regenerative Braking
1.3. Storage Possibilities
1.3.1. On-Board Energy Storage Systems (OESS)
1.3.2. Stationary Energy Storage Systems (SESS)
1.4. Case of Study
1.4.1. Railway Route
1.4.2. Locomotives, Multiple Units and Rolling Stock
1.4.3. Electric Infrastructures: Substations
1.4.4. Timetables for the Route
1.5. Train Simulators
- It introduces a simulation tool that integrates different models for the main load (traction), ESS systems and secondary loads (DR load models for heating and ventilation loads) to evaluate the performance of real railway power systems. Load aggregation procedures used in Public Power Systems are considered;
- It proposes feasible solutions that allow increasing the energy efficiency of conventional railway systems by introducing ESS or applying DR policies that enable railways to make greater use of the energy generated through regenerative braking;
- It takes into account the natural stochastic nature of different events (train delays) to evaluate the changes in the potential of regenerative braking, and its opportunities.
- It defines load curves at several aggregation levels (substations, High Voltage feeders, etc.) taking into account train energy models, timetable for the route, track constraints, and the stochastic nature of some events into the system (train delays);
- It demonstrates the potential of new DER resources in railways (storage, for example, due to last-mile capacities in new vehicles and hybrid vehicles) and Load Management to improve the operation of Railway Power System. It also offers a new way to manage new resources to the management of Power Systems, and the improvement of their operation. This potential increases the flexibility of railway demand, operating this system as a smart grid.
2. Materials and Methods
2.1. General Equations of the Train Movement
- n—overall number of effects being considered.
- M—mass of the train
- a—acceleration of the train
- J—moment of inertia of the different rotating masses (wheels, cog wheels, motor rotors) in the transmission, which causes an apparent increase of mass.
- R—wheel radius.
- Ftk—propulsive force, tractive effort of locomotive/EMU k of u units in the train.
- Frk—resistance forces, due to the element r of the train, locomotive, coach, generator, etc.
- Fc—curve resistance
- Fg—grade resistance, due to the slope of the track (positive or negative for the acceleration)
- k—increment of mass, due to rotating inertia, a coefficient in the range (0, 0.30) depending on the type of vehicle. It is in the range (0.06, 0.10) for a complete train.
2.2. Traction Effort Curves and Dynamic Braking
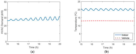
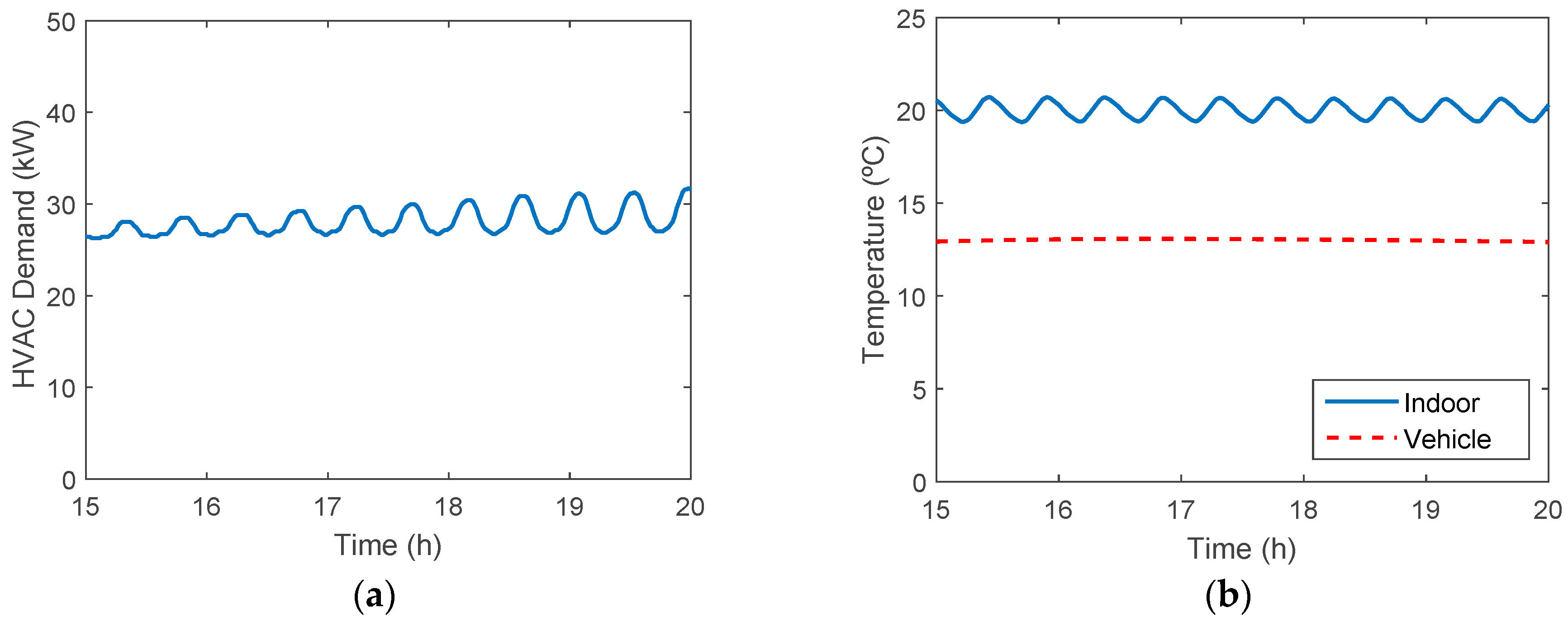
2.3. Hotel Power (Hotel Loads)
2.4. Energy Storage Technologies
2.5. Energy Storage Models
3. Results and Discussion
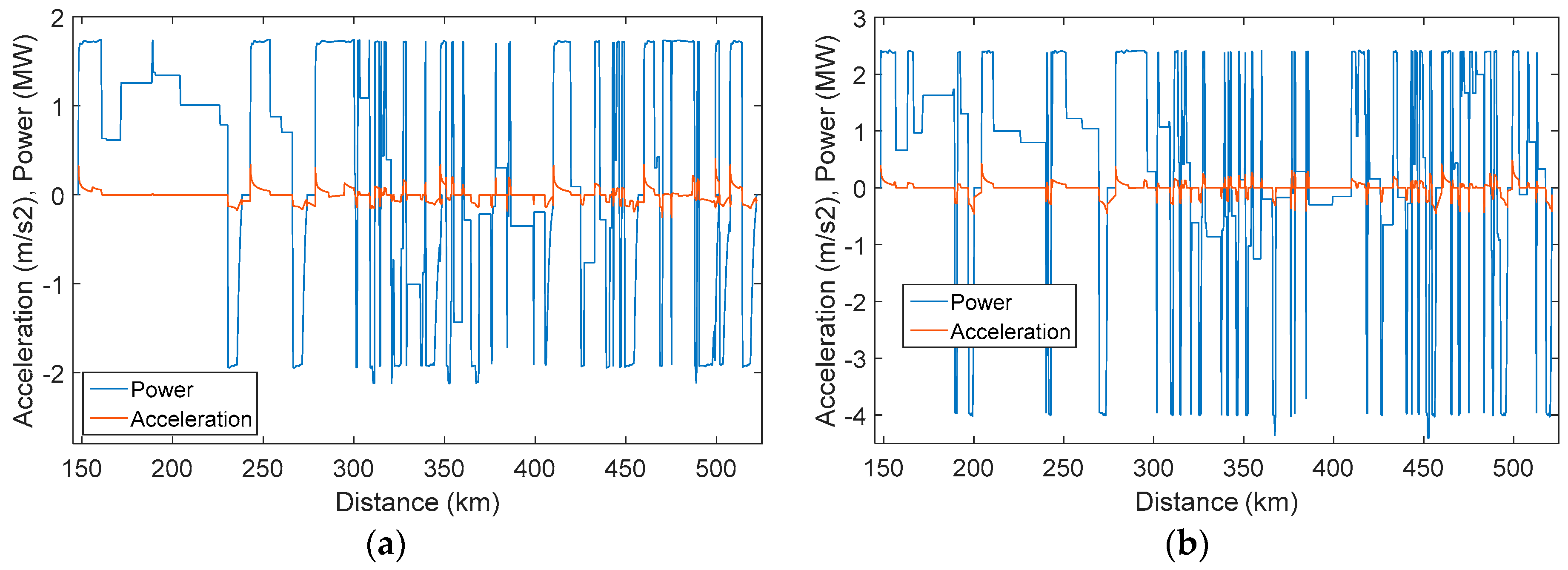
3.1. Acceleration and Power
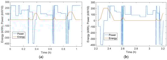
3.2. Cases of Study
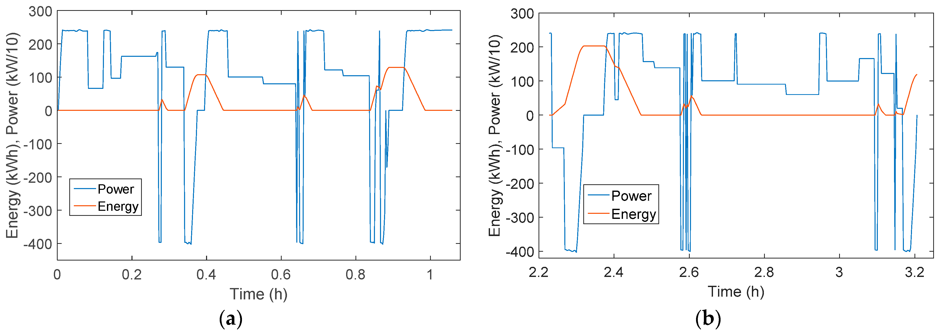
3.2.1. Diesel-Electric Locomotive (S-334)
3.2.2. Hybrid Diesel-Electric and Electric Unit (HDEMU S-730)
3.2.3. Electric Locomotives (S-252 and S-253)
3.2.4. Freight Transport with S-334 and S-252
3.2.5. Key Performance Indicators
Passenger Trains
Freight Trains
3.2.6. Downsizing Diesel-Electric Power Generation
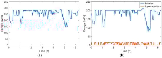
3.3. Last Mile Applications
3.4. Evaluation and Characteristics of Aggregated Demand
- Railway traffic in the route fulfills its timetable: This is theoretically possible, but difficult to accomplish in 100% of trains. In this case, trains usually use resistive braking to avoid incertitude and the possibility of an increase of voltage in catenary.
- Railway traffic present delays in some passenger and freight services (a delay from 1 to 5 min is considered with a uniform distribution) and average values of demand have been considered with the aggregation methodology described in Reference [56]. Trains use resistive braking as the main braking system. This case represents an average scenario from the point of view of the demand for planning and operation purposes.
- Railway traffic in the route fulfills its timetable, and electric trains use regenerative braking if the voltage remains around normal values.
- Railway traffic present delays in some passenger and freight services (a delay from 1 to 5 min is considered again, and average values have been considered) and vehicles deploy regenerative braking: Average values of demand and generation have been considered. In this case, some delay can improve energy recovery indices.
- Hybrid units (S-730) are able to change from conventional catenary supply to diesel-electric generator, in limited sections of the electrified route, to acts as a responsive load/generator (DER resource) for achieving an improved flexibility of demand and supply.
- Wayside storage: Substations have a partial storage system to limit power in peak periods and reduce LFs.
3.5. Synchronized Timetables and DR
4. Conclusions
Author Contributions
Funding
Acknowledgments
Conflicts of Interest
Abbreviations and Nomenclature
| AREA | American Railway Engineering Association |
| BESS | Battery Energy Storage System |
| CER | Community of European Railway and Infrastructure Companies |
| CF | Capacity Factor |
| DB | Deutsche Bahn (German Railway Operator) |
| DER | Distributed Energy Resources |
| DMU | Diesel Multiple Unit |
| DG | Distributed Generation |
| DR | Demand Response |
| DSF | Demand Side Flexibility |
| DSO | Distribution System Operator |
| EMD | Electro-Motive Division (USA) |
| EMU | Electric Multiple Unit |
| ESS | Energy Storage Systems |
| ICE | Internal Combustion Engine |
| HDEMU | Hybrid Diesel and Electric Multiple Unit |
| HESS | Hybrid Energy Storage System |
| HVAC | Heat, Ventilation and Air Conditioning |
| LF | Load Factor |
| OBOR | One Belt One Road Initiative (China) |
| OESS | On-board Energy Storage System |
| PBLM | Physically Based Load Modeling |
| RENFE | Spanish Railway Operator |
| RPS | Railway Power System |
| SBB | Swiss Federal Railways (Schweizerische Bundesbahnen, SBB-CFF-FFS) |
| SESS | Stationary Energy Storage System |
| SNCF | French Railway Operator (Société Nationale des Chemins de fer Français) |
| SoC | State of charge (water heater, battery of any ESS) |
| TCL | Thermostatically Controlled Loads |
| TSO | Transmission System Operator |
| UIC | International Union of Railways/Union International des Chemins de Fer |
| VSI | Voltage Source Inverter |
Symbols in PBLM Model
| A | Area of coach: Windows, body, ceiling, etc. (outdoor) |
| Ci | Thermal capacity of indoor masses (energy storage) |
| Cv | Thermal capacity of body/frame masses (energy storage) |
| D | Differential operator |
| ha | Thermal losses, external exchange by convection (variable value f(speed)) |
| aw0 | Thermal losses coefficient (conduction) between the body/frame and indoor (cabin) |
| awi | Thermal losses coefficient (conduction) between the body/frame and outdoor |
| m(t) | Thermostat state (discrete, 0/1, or continuous) |
| Kv | Heat transfer coefficient (vehicle) |
| K | Heat transfer coefficient, global (according EN 13129-1) |
| Hch | Input. Heat gains/extraction, due to electric energy conversion to thermal energy (HVAC) |
| Hv | Input. Heat gains, due to ventilation (air quality) and infiltrations |
| Hsw | Input. Heat gains, due to solar radiation (coach windows) |
| Hsw | Input. Heat gains, due to solar radiation (coach body) |
| Xi | State variable. Indoor temperature (cabin). |
| Xv | State variable. Vehicle temperature (body/frame) |
| Xext | Input. Temperature of water in the input pipeline |
| Xs | Thermostat setting. |
| XsMAX | Thermostat setting (maximum) |
Symbols in Energy Analysis
| EStB | Energy Supplied through braking |
| KPIi | Key Performance Indicators |
| MKPI5 | Key Performance Indicator (RPS) |
References
- Community of European Railway and Infrastructure Companies (CER). Key Policy Issues for the Railway Sector. Available online: http://www.cer.be/topics/sustainability (accessed on 14 June 2019).
- Craven, N.; Orsini, R.; Ciuffini, M.; Arena, D. UIC Low Carbon Rail Challenge; Technical Report; United Nations Climate Summit 2014: New York, NY, USA, 2014. [Google Scholar]
- Wiśnicki, B.; Milewski, D.; Chybowski, L.; Hełczyński, I. The Concept of the Development of Intermodal Transport Network Illustrated by Polish Market. Nase More 2017, 64, 33. [Google Scholar] [CrossRef]
- Li, S.; Lang, M.; Yu, X.; Zhang, M.; Jiang, M.; Tsai, S.; Wang, C.-K.; Bian, F. A Sustainable Transport Competitiveness Analysis of the China Railway Express in the Context of the Belt and Road Initiative. Sustainability 2019, 11, 2896. [Google Scholar] [CrossRef]
- Li, W.; Hilmola, O.P. Belt and Road Initiative and Railway Sector Efficiency—Application of Networked Benchmarking Analysis. Sustainability 2019, 11, 2070. [Google Scholar] [CrossRef]
- Deustche Bahn Supervisory Board Deutsche Bahn Is Focusing Solely on Strong Rail. Available online: https://www.deutschebahn.com/en/presse/press_releases/Deutsche-Bahn-is-focusing-solely-on-Strong-Rail--4204416 (accessed on 20 August 2019).
- Khayyam, S.; Berr, N.; Razik, L.; Fleck, M.; Ponci, F.; Monti, A. Railway System Energy Management Optimization Demonstrated at Offline and Online Case Studies. IEEE Trans. Intell. Transp. Syst. 2018, 19, 3570–3583. [Google Scholar] [CrossRef]
- Razik, L.; Berr, N.; Khayyam, S.; Ponci, F.; Monti, A.; Khayyamim, S. REM-S–Railway Energy Management in Real Rail Operation. IEEE Trans. Veh. Technol. 2019, 68, 1266–1277. [Google Scholar] [CrossRef]
- Arboleya, P.; Mohamed, B.; González-Morán, C.; El-Sayed, I. BFS Algorithm for Voltage-Constrained meshed DC Traction Networks with Nonsmooth Voltage-Dependent loads and Generators. In Proceedings of the IEEE Power & Energy Society General Meeting, Chicago, IL, USA, 16–20 July 2017; pp. 1526–1536. [Google Scholar]
- Takagi, R. Application of energy storage systems for DC electric railways. Energy Sustain. 2009, 121, 527–535. [Google Scholar]
- Khodaparastan, M.; Mohamed, A.A.; Brandauer, W. Recuperation of Regenerative Braking Energy in Electric Rail Transit Systems. IEEE Trans. Intell. Transp. Syst. 2019, 20, 2831–2847. [Google Scholar] [CrossRef]
- Hill, R.J. Traction Drives and Converters. In Proceedings of the 3rd IET Professional Development Course on Railway Electrification Infrastructure and Systems, Birmingham, UK, 14–18 May 2007; pp. 185–196. [Google Scholar]
- Cornic, D. Efficient Recovery of Braking Energy through a Reversible DC Substation. In Proceedings of the Electrical Systems for Aircraft, Railway and Ship Propulsion, Bologna, Italy, 19–21 October 2010; pp. 1–9. [Google Scholar]
- Corman, F.; Meng, L. A Review of Online Dynamic Models and Algorithms for Railway Traffic Management. IEEE Trans. Intell. Transp. Syst. 2015, 16, 1–11. [Google Scholar] [CrossRef]
- Fournier, D.; Fages, F.; Mulard, D. A Greedy Heuristic for Optimizing Metro Regenerative Energy Usage. In Proceedings of the 2nd International Conference on Railway Technology: Research, Development and Maintenance, Ajaccio, France, 8–11 April 2014; Volume 104. [Google Scholar]
- Okui, A.; Hase, S.; Shigeeda, H.; Konishi, T.; Yoshi, T. Application of Energy Storage System for Railway Transportation in Japan. In Proceedings of the International Power Electronics Conference ECCE ASIA, Sapporo, Japan, 21–24 June 2010; pp. 3117–3123. [Google Scholar]
- Perin, I.; Walker, G.R.; Ledwich, G. Load Sharing and Wayside Battery Storage for Improving AC Railway Network Performance, With Generic Model for Capacity Estimation, Part 1. IEEE Trans. Ind. Electron. 2019, 66, 1791–1798. [Google Scholar] [CrossRef]
- Arboleya, P.; Mohamed, B.; El-Sayed, I. DC Railway Simulation Including Controllable Power Electronic and Energy Storage Devices. IEEE Trans. Power Syst. 2018, 33, 5319–5329. [Google Scholar] [CrossRef]
- Yoshida, Y.; Figueroa, H.P.; Dougal, R.A. Comparison of Energy Storage Configurations in Railway Microgrids. In Proceedings of the IEEE Second International Conference on DC Microgrids (ICDCM), Nuremburg, Germany, 27–29 June 2017; pp. 133–138. [Google Scholar]
- Sjöholm, M. Benefits of Regenerative Braking and Eco Driving for High-Speed Trains; Royal Institute of Technology, (KTH): Stockholm, Sweden, 2011. [Google Scholar]
- Bombardier Transportation. Available online: http://www.transportation.bombardier.com/en/home.html (accessed on 14 June 2019).
- Siemens Mobility. Available online: https://new.siemens.com/es/es/productos/siemens-mobility/ferrocarril.html (accessed on 14 June 2019).
- Alstom Transportation. Available online: https://www.alstom.com/ (accessed on 14 June 2019).
- CAF-Construcciones y Auxiliar de Ferrocarriles. Available online: https://www.caf.net/en/index.php (accessed on 14 June 2019).
- Parry People Movers. Available online: http://friendlycreatives.co.uk/ppm/ (accessed on 19 June 2019).
- ABB ENVILINE—ESS-Energy Management (DC Traction Power Supply)-ABB. Available online: https://new.abb.com/medium-voltage/switchgear/railway-switchgear/dc-traction-power-supply/energy-management/enviline-ess (accessed on 19 June 2019).
- Siemens, A.G. Siemens SITRAS SES Energy Storage System for Mass Transit Systems. 2014. Available online: https://w3.usa.siemens.com/mobility/us/Documents/en/rail-solutions/railway-electrification/dc-traction-power-supply/sitras-ses2-en.pdf (accessed on 31 August 2019).
- VYCON. Los Angeles Metro Way Side Energy Storage System (WESS). Available online: https://vyconenergy.com/2017/06/07/los-angeles-metro-way-side-energy-storage-system-wess/ (accessed on 19 June 2019).
- Radcliffe, P.; Wallace, J.S.; Shu, L.H. Stationary Applications of Energy Storage Technologies for Transit Systems. In Proceedings of the IEEE Canada Electric Power Conference, Halifax, NS, Canada, 25–27 August 2010; pp. 1–7. [Google Scholar]
- Patentes Talgo. Available online: https://www.talgo.com/ (accessed on 14 June 2019).
- Stadler Rail. Available online: https://www.stadlerrail.com/en/ (accessed on 14 June 2019).
- Agenjos, E.; Gabaldon, A.; Franco, F.; Molina, R.; Valero, S.; Ortiz, M.; Gabaldon, R. Energy Efficiency in Railways: Energy Storage and Electric Generation in Diesel Electric Locomotives; IET Conference Publications: Hertfordshire, UK, 2009; p. 402. [Google Scholar]
- Gabaldón, A.; García-franco, F.J.; Agenjos, E.; Ortiz, M.; Valero, S. Energy Efficiency, Storage and Generation in a Railway Electrical Distribution System through Hybrid Diesel-Electric Locomotives. In Proceedings of the 21st International Conference on Electricity Distribution, Frankfurt, Germany, 6–9 June 2011; IET Conference Publications: Hertfordshire, UK, 2011. paper 0651. [Google Scholar]
- LTK Engineering Services. TrainOps. Available online: https://www.ltk.com/trainops#excellence (accessed on 14 June 2019).
- Siemens, A.G. Sitras Sidytrac Railway Simulation Software 2016. Available online: https://w1.siemens.ch/mobility/global/en/rail-solutions/rail-electrification/consulting-planning/pages/simulation.aspx (accessed on 1 September 2019).
- Rail Systems Center. Software and program manual for the Train Operation Model (TOM) 2016. Available online: http://www.railsystemscenter.com/tom.htm (accessed on 31 August 2019).
- Institut fur Bahntechnik GmbH. OpenPowerNet-Simulation of Railway Power Supply Systems. Available online: https://openpowernet.de/downloads/Stephan_080915_OpenPowerNet_engl.pdf (accessed on 31 August 2019).
- OpenTrack Railway Technology. Open Track Railway Simulation Software. Available online: http://www.opentrack.ch/opentrack/opentrack_e/opentrack_e.html (accessed on 1 September 2019).
- Vanmierlo, J.; Maggetto, G.; Van Mierlo, J. Innovative Iteration Algorithm for a Vehicle Simulation Program. IEEE Trans. Veh. Technol. 2004, 53, 401–412. [Google Scholar] [CrossRef]
- Szanto, F. Rolling Resistance Revisited. In Proceedings of the CORE Maintaining the Momentum, Railway Technical Society of Australasia, Melbourne, Australia, 16–18 May 2016; pp. 628–633. [Google Scholar]
- Rochard, B.P.; Schmid, F. A review of methods to measure and calculate train resistances. Proc. Inst. Mech. Eng. Part F J. Rail Rapid Transit 2000, 214, 185–199. [Google Scholar] [CrossRef]
- Allenbach, J.M.; Chapas, P.; Comte, M.; Kaller, R. Traction Électrique; Presses Polytechniques et Universitaires Romandes: Lausanne, Switzerland, 2008; ISBN 2880746744. [Google Scholar]
- Canadian National Transportation Services. Available online: https://www.cn.ca/en/ (accessed on 14 June 2019).
- SBB. Available online: https://www.sbb.ch/ (accessed on 21 June 2019).
- Load Management–Smart Grid at SBB. Available online: https://company.sbb.ch/en/sbb-as-business-partner/services-rus/energy/load-management.html (accessed on 14 June 2019).
- Federal Energy Regulatory Commission (FERC). Assessment of Demand Response and Advanced Metering Staff Report Federal Energy Regulatory Commission; Federal Energy Regulatory Commission (FERC): Washington, DC, USA, 2016. [Google Scholar]
- Vrettos, E.; Koch, S.; Andersson, G. Load Frequency Control by Aggregations of Thermally Stratified Electric Water Heaters. In Proceedings of the 3rd IEEE PES Innovative Smart Grid Technologies Europe (ISGT Europe), Berlin, Germany, 14–17 October 2012; pp. 1–8. [Google Scholar]
- Zhang, W.; Lian, J.; Chang, C.Y.; Kalsi, K. Aggregated Modeling and Control of Air Conditioning Loads for Demand Response. IEEE Trans. Power Syst. 2013, 28, 4655–4664. [Google Scholar] [CrossRef]
- Hu, M.; Xiao, F.; Wang, L. Investigation of demand response potentials of residential air conditioners in smart grids using grey-box room thermal model. Appl. Energy 2019, 207, 324–335. [Google Scholar] [CrossRef]
- Konstantinov, M.; Wagner, C. Flow and Thermal Comfort Simulations for Double Decker Train Cabins with Passengers. In Proceedings of the 3rd International Conference on Railway Technology: Research, Development and Maintenance, Sardinia, Italy, 5–8 April 2016; Volume 110. [Google Scholar]
- US Department of Energy (DoE) eQUEST. The Quick Energy Simulation Tool. Available online: http://doe2.com/equest/ (accessed on 14 June 2019).
- Chatzivasileiadis, S.; Bonvini, M.; Matanza, J.; Yin, R.; Nouidui, T.S.; Kara, E.C.; Parmar, R.; Lorenzetti, D.; Wetter, M.; Kiliccote, S. Cyber–Physical Modeling of Distributed Resources for Distribution System Operations. Proc. IEEE 2016, 104, 789–806. [Google Scholar] [CrossRef]
- García-Garre, A.; Gabaldón, A.; Álvarez-Bel, C.; Ruiz-Abellón, M.; Del, C.; Guillamón, A. Integration of Demand Response and Photovoltaic Resources in Residential Segments. Sustainability 2018, 10, 3030. [Google Scholar] [CrossRef]
- Gabaldon, A.; Valero-Verdu, S.; Garcia-Garre, A.; Senabre, C.; Alvarez-Bel, C.; Lopez, M.; Penalvo, E.; Sanchez, E.P. A Physically-Based Model of Heat Pump Water Heaters for Demand Respose Policies: Evaluation and Testing. In Proceedings of the International Conference on Smart Energy Systems and Technologies (SEST), Sevilla, Spain, 10–12 September 2018; pp. 1–6. [Google Scholar]
- Li, X.; Wen, J. Review of building energy modeling for control and operation. Renew. Sustain. Energy Rev. 2014, 37, 517–537. [Google Scholar] [CrossRef]
- Demand Response (DR) Web Page. Available online: http://www.demandresponse.eu/ (accessed on 14 June 2019).
- Hofstädter, R.N.; Zero, T.; Dullinger, C.; Richter, G.; Kozek, M. Heat capacity and heat transfer coefficient estimation for a dynamic thermal model of rail vehicles. Math. Comput. Model. Dyn. Syst. 2017, 23, 439–452. [Google Scholar] [CrossRef]
- Rail Tec Arsenal Fahrzeugversuchsanlage, Wien, Austria. Available online: https://www.rta.eu/en/ (accessed on 14 June 2019).
- Santiago Villar, J. Modelado dinámico de autobuses para el cálculo de la carga térmica. Master’s Thesis, Universidad de Sevilla, Seville, Spain, 2015. Available online: http://bibing.us.es/proyectos/abreproy/70613/fichero/1.+Introducci%F3n+y+objetivos.pdf (accessed on 31 July 2019).
- UIC-International Union of Railways. Available online: https://uic.org/ (accessed on 21 June 2019).
- Jae Woong, S.; Youngho, C.; Seog-Joo, K.; Sang Won, M.; Kyeon, H. Synergistic Control of SMES and Battery Energy Storage for Enabling Dispatchability of Renewable Energy Sources. IEEE Trans. Appl. Supercond. 2013, 23, 5701205. [Google Scholar] [CrossRef]
- Sustrail EU 7th Framework Research Project Web Page. Report on Hybrid Locomotives. Available online: http://www.sustrail.eu/deliverables (accessed on 31 August 2019).
- Kalaiselvam, S.; Parameshwaran, R. Energy Storage. In Thermal Energy Storage Technologies for Sustainability; Elsevier: Amsterdam, The Netherlands, 2014; Volume 4, pp. 21–56. [Google Scholar]
- Shibuya, H.; Kondo, K. Designing Methods of Capacitance and Control System for a Diesel Engine and EDLC Hybrid Powered Railway Traction System. IEEE Trans. Ind. Electron. 2011, 58, 4232–4240. [Google Scholar] [CrossRef]
- Zhang, L.; Hu, X.; Wang, Z.; Sun, F.; Dorrell, D.G. A review of supercapacitor modeling, estimation, and applications: A control/management perspective. Renew. Sustain. Energy Rev. 2018, 81, 1868–1878. [Google Scholar] [CrossRef]
- Mayet, C.; Bouscayrol, A.; Delarue, P.; Chattot, E.; Verhille, J.N. Electrokinematical Simulation for Flexible Energetic Studies of Railway Systems. IEEE Trans. Ind. Electron. 2018, 65, 3592–3600. [Google Scholar] [CrossRef]
- Fu, R.; Remo, T.; Margolis, R. 2018 US Utility-Scale Photovoltaics—Plus-Energy Storage System Costs Benchmark; National Renewable Energy Laboratory: Lakewood, CO, USA. Available online: https://www.nrel.gov/docs/fy19osti/71714.pdf (accessed on 31 August 2019).
- IRENA. Electricity Storage and Renewables: Costs and Markets to 2030; IRENA: Abu Dhabi, United Arab Emirates, 2017; ISBN 9789292600389. [Google Scholar]
- Maxwell Technologies Ultracapacitors and Supercapacitors. Available online: https://www.maxwell.com/ (accessed on 14 June 2019).
- García, A. Informe 2015 del Observatorio del Ferrocarril en España, Ministerio de Fomento (Spanish Government). 2016. Available online: https://www.fomento.gob.es/ferrocarriles/observatorios/observatorio-del-ferrocarril-en-espana (accessed on 31 August 2019).
- Noda, T.; Koseki, T. Full Regenerative Braking in a Train at High Speed and Enhancement of Voltage, Powered by DC-electrification with Regenerative Substations. In Proceedings of the International Conference on Electrical Engineering, Hammamet, Tunisia, 8–10 November 2008; pp. 3–6. [Google Scholar]
- Singh, V. Efficient Utilization of Regenerative Braking in Railway Operations. Int. Res. J. Eng. Technol. 2017, 4, 1421–1428. [Google Scholar]
- Sumpavakup, C.; Ratniyomchai, T.; Kulworawanichpong, T. Optimal energy saving in DC railway system with on-board energy storage system by using peak demand cutting strategy. J. Mod. Transp. 2017, 25, 223–235. [Google Scholar] [CrossRef]
- Tauler, A. Informe 2017 del Observatorio del Ferrocarril en España, Ministerio de Fomento (Spanish Government). 2018. Available online: https://www.fomento.gob.es/ferrocarriles/observatorios/observatorio-del-ferrocarril-en-espana (accessed on 31 August 2019).




























| Locomotive | S-334 | S-730 | S-253 | S-252 |
|---|---|---|---|---|
| UIC Type | Diesel-electric Bo’Bo’ | Dual hybrid unit 2*Bo’Bo’ | Electric Bo’Bo’ | Electric Bo’Bo’ |
| Service | Passenger | Passenger | Freight | Passenger/Freight |
| Weight (ton) | 90 | 140 | 87 | 86 |
| Rail gauge (mm) | 1668 | 1435 and 16681 | 1668 | 1668 |
| Max. tractive effort (kN) | 92 | 220 | 300 | 300 |
| Max. Speed (km/h) | 200 | 250/220/180 | 140 | 200 |
| Power (MW) | 2.5 | 4.8/4.0/2.4 | 5.4 | 5.6 |
| Voltage (kV) | - | 25/3/NA | 3 | 3 |
| Coaches/Waggons | Units | Weight (t) | Max. Speed (km/h) | UIC Type |
|---|---|---|---|---|
| Talgo IV | 9 | 118 | 180 1 | 1 + 1,1,1,1,1,1,1,1,1,1,1,1 + 1 |
| Talgo (HDEMU) | 11 | 176 | 250 | 2,1,1,1,1,1,1,1,1,1,1,2 |
| Flat bogie wagon (containers) | 1 | 87 t | 120/100 | Sgg-nns |
| Station | Substation | Km from Madrid and Substation Distance 1 (km) | Acronym | Max. Speed (km/h) | Trains Flow 2 (Weekly, 2010) |
|---|---|---|---|---|---|
| Alcazar SJ | Alcazar SJ | 148.5; 0 | AJ | 160 | 110 + 105 + 164 |
| Rio Záncara | Rio Záncara | 171.9; 23.4 | RZ | 200 | 69 + 57 + 168 |
| Socuéllamos | Socuéllamos | 188.1; 16.2 | SO | 200 | 69 + 57 + 168 |
| Villarrobledo | Villarrobledo | 201.8; 13.7 | VB | 160 | 69 + 57 + 169 |
| Minaya | Minaya | 223.6; 21.8 | MY | 160 | 69 + 57 + 169 |
| La Roda | La Roda | 240.4; 16.8 | LR | 160 | 69 + 57 + 169 |
| La Gineta | La Gineta | 257.7; 17.3 | LG | 160 | 69 + 57 + 169 |
| Albacete | Albacete | 276.2; 18.5 | AB | 200 | 69 + 57 + 180 |
| Chinchilla | Chinchilla | 292.2; 16.0 | CH | 200 | 69 + 32 + 180 |
| Murcia | NA | 460; NA | MU | <160 | 61 + 0 + 29 |
| Cartagena | NA | 525; NA | CT | <160 | 66 + 80 + 23 |
| Series | Converter (3 kVDC-380 VAC) | HVAC | Heat (Resistors) | Lighting | Hotel Load/Passenger |
|---|---|---|---|---|---|
| 9000 (2nd class, saloon) | 45 kVA | 30000 kcal/h 22 kW | 11 kW | 1400 W | 510 W |
| B-10000 (couchette) | 45 kVA | 30000 kcal/h 22 kW | 14.5 kW | 590 W | 562 W |
| Zone of the Vehicle | Material Name | Thermal Conductivity (W/m2K) | Density (kg/m3) | Specific Heat (kJ/kgm3) | Parameter (Figure 5a) |
|---|---|---|---|---|---|
| Indoor | Polyurethane foam (8 mm) | 0.025–0.05 | 35–70 | 1.68–1.8 | ha = 2.49 kW/K awo = 36 kW/K Ci = 3 MJ/K |
| Indoor | Glass | 1.17 | 2529 | 0.754 | |
| Indoor | ABS plastic | 2.7 | 996 | 1.480 | |
| Indoor | Air | 8.17 | 1 | 1.006 | |
| Vehicle body | Aluminum | 237 | 2700 | 0.477 | |
| Vehicle body | Steel | 30–40 | 7850 | 0.896 | awi = 36 kW/K Cv = 30 MJ/K |
| Vehicle body | Glass/mineral wool (25–100 mm) | 0.031–0.041 | 20–110 | 0.840 |
| Storage System | Specific Energy (Wh/kg) | Specific Power (W/kg) | Energy Density (kWh/m3) | Price (€/kWh) | Self-Discharge (%/day) | Lifespan (Cycles) |
|---|---|---|---|---|---|---|
| Li-ion Batteries | 100–250 | 230–340 | 200–620 | 200–1800 | 0.1 | 4 × 103–4 × 104 |
| Supercapacitors | 0.1–15 | 0.1–10 | 10–25 | 300–4000 | 2 | >5 × 105 |
| Flywheels | 5–130 | 400–1600 | 20–80 | 1000–3500 | 20 | 105–107 |
| Direction | N° Stops | Duration | Primary Energy Consumption 1 (kWh) | Electricity Demand (kWh) | Braking Energy (kWh) | Average Power (kW) |
|---|---|---|---|---|---|---|
| Alcazar-Cartagena | 4 | 3 h 12 min | 7607.8 | 2417.2 | 1257.3 | 869.81 |
| Cartagena-Alcazar | 5 | 3 h 20 min | 9648.3 | 3229.7 | 955.8 | 1144.6 |
| Direction | N° Stops | Duration | Primary Energy Consumption 1 (kWh) | Electricity Demand (kWh) | Total Braking Energy (kWh) | Regenerative Energy (kWh) | Average Power (kW) |
|---|---|---|---|---|---|---|---|
| Alcazar–Cartagena | 4 | 3 h 3 min | 5143.8 | 2702.6 | 1638.6 | 310.5 | 1020.0 |
| Cartagena–Alcazar | 5 | 3 h 13 min | 8997.0 | 3744.5 | 1335.1 | 442.4 | 1343.4 |
| Storage System | Energy (kWh) | Weight (kg) | Volume (m3) | Price (€) | Lifespan (Cycles) |
|---|---|---|---|---|---|
| Batteries | 400 | 2700 | 2 | 83,600 | 10,000 |
| Batteries + supercapacitors | 320 + 15 | 2140 + 6520 | 1.6 + 0.59 | 66,880 + 120,000 | 10,000 (1,000,000 1) |
| Supercapacitors | 200 | 86,940 | 7.9 | 1600,000 | 1,000,000 |
| Direction | N° Stops | Locomotive | Duration | Energy Consumption (kWh) | Energy Demand (kWh) | Total Braking Energy (kWh) | Regenerative Energy (kWh) | Average Power (kW) |
|---|---|---|---|---|---|---|---|---|
| Alcazar-Cartagena | 4 | S-252 | 3 h 03 min | 2900.7 | 2637.0 | 1455.1 | 1357.6 | 1038.2 |
| S-253 | 3 h 12 min | 2197.4 | 1997.7 | 1051.6 | 982.5 | 648.5 | ||
| Cartagena-Alcazar | 5 | S-252 | 3 h 09 min | 4673.2 | 4248.4 | 1746.2 | 1639.4 | 1548.4 |
| S-253 | 3 h 21 min | 3837.0 | 3488.2 | 1179.1 | 1152.4 | 1137.6 | ||
| Alcazar-Chinchilla | 2 | S-252 | 1 h 02 min | 1707.3 | 1552.1 | 449.3 | 444.9 | 1735.0 |
| S-253 | 1 h 13 min | 1149.3 | 1044.8 | 240.7 | 99.73 | 912.3 | ||
| Chinchilla-Alcazar | 1 | S-252 | 1 h 02 min | 1697.2 | 1542.9 | 990.8 | 941.2 | 1616.8 |
| S-253 | 1 h 10 min | 824.8 | 749.2 | 251.8 | 226.7 | 651.02 |
| Direction | N° Stops | Locomotive | Duration | Energy Consumption (kWh) | Energy Demand (kWh) | Total Braking Energy (kWh) | Regenerative Energy (kWh) | Average Power (kW) |
|---|---|---|---|---|---|---|---|---|
| Alcazar-Cartagena | 4 | S-252 | 5 h 04 min | 2355.9 | 2141.7 | 2634.2 | 2389.2 | 508.1 |
| S-334 | 5 h 29 min | 6083.3 | 2080.5 | 2508.4 | (2400.1) | 470.5 | ||
| Cartagena-Alcazar | 5 | S-252 | 5 h 16 min | 4484.0 | 4076.3 | 1487.6 | 1362.5 | 1003.8 |
| S-334 | 6 h 04 min | 11834.1 | 4047.3 | 1429.2 | (1233.9) | 974.9 |
| Direction | Locomotive | KPI 1 kWh/kN-km | KPI 2 kWh/train-km | KPI 3 kWh/seat-km | KPI 4 kWh/pkm | KPI 5 kWh gen/kWh cons |
|---|---|---|---|---|---|---|
| Alcazar-Cartagena | S-334 | 0.1064 | 18.78 | 0.0716 | 0.1225 | 0 |
| S-730 | 0.0586 | 12.84 | 0.0490 | 0.0838 | 0.0604 | |
| S-252 | 0.0207 | 6.20 | 0.0237 | 0.0404 | 0.1153 | |
| S-253 | 0.0152 | 4.56 | 0.0174 | 0.0297 | 0.0732 | |
| Cartagena-Alcazar | S-334 | 0.1453 | 25.63 | 0.0978 | 0.1672 | 0 |
| S-730 | 0.1038 | 22.72 | 0.0867 | 0.1482 | 0.0492 | |
| S-252 | 0.0323 | 9.68 | 0.0369 | 0.0632 | 0.1422 | |
| S-253 | 0.0272 | 8.16 | 0.0311 | 0.0532 | 0.1000 |
| Direction | Locomotive | KPI 1 kWh/kN-km | KPI 2 kWh/train-km | KPI 3 kWh/seat-km | KPI 4 kWh/pkm | KPI 5 kWh gen/kWh cons |
|---|---|---|---|---|---|---|
| Alcazar-Cartagena | S-334 | 0.0883 | 15.58 | 0.0594 | 0.1016 | 0.1704 |
| S-730 | 0.0432 | 9.47 | 0.0361 | 0.0618 | 0.3070 | |
| S-252 | 0.0113 | 3.40 | 0.0130 | 0.0222 | 0.5148 | |
| S-253 | 0.0090 | 2.70 | 0.0103 | 0.0176 | 0.4918 | |
| Cartagena-Alcazar | S-334 | 0.1314 | 23.19 | 0.0885 | 0.1513 | 0.0952 |
| S-730 | 0.0931 | 20.40 | 0.0778 | 0.1331 | 0.1465 | |
| S-252 | 0.0231 | 6.93 | 0.0264 | 0.0452 | 0.3859 | |
| S-253 | 0.0207 | 6.21 | 0.0237 | 0.0405 | 0.3304 |
| Direction | Locomotive | KPI 1 kWh/kN-km | KPI 2 kWh/train-km | KPI 3 kWh/gross tkm | KPI 4 kWh/net tkm | KPI 5 kWh gen/kWh cons |
|---|---|---|---|---|---|---|
| Alcazar-Cartagena | S-334 | 0.0916 | 16.16 | 0.0182 | 0.0323 | 0 |
| S-252 | 0.0180 | 5.40 | 0.0061 | 0.0108 | 0.0521 | |
| Cartagena-Alcazar | S-334 | 0.1782 | 31.43 | 0.0353 | 0.0629 | 0 |
| S-252 | 0.0304 | 9.11 | 0.0103 | 0.0182 | 0.1586 |
| Direction | Locomotive | KPI 1 kWh/kN-km | KPI 2 kWh/train-km | KPI 3 kWh/gross tkm | KPI 4 kWh/net tkm | KPI 5 kWh gen/kWh cons |
|---|---|---|---|---|---|---|
| Alcazar-Cartagena | S-334 | 0.0555 | 9.79 | 0.0110 | 0.0196 | 0.3945 |
| S-252 | −0.0022 | −0.66 | −0.0007 | −0.0013 | 1.1156 | |
| Cartagena-Alcazar | S-334 | 0.1596 | 28.16 | 0.0316 | 0.0563 | 0.1043 |
| S-252 | 0.0240 | 7.21 | 0.0081 | 0.0144 | 0.3343 |
| Storage System | Energy (kWh) | Weight (kg) | Volume (m3) | Price (€) | Lifespan (Cycles) |
|---|---|---|---|---|---|
| Batteries | 350 | 2300 | 1.75 | 73,150 | 10,000 |
| Batteries + Supercapacitors | 245 + 15 | 1633 + 6520 | 1.23 + 0.59 | 51,205 + 120,000 | 10,000 (1,000,000 1) |
| Supercapacitors | 150 | 65,200 | 5.9 | 1,200,000 | 1,000,000 |
| Storage System | Energy (kWh) | Weight (kg) | Volume (m3) | Price (€) | Lifespan (Cycles) |
|---|---|---|---|---|---|
| Batteries | 75 | 500 | 0.38 | 15,675 | 10,000 |
| Batteries + Supercapacitors | 50 + 7 | 340 + 3000 | 0.25 + 0.28 | 10,450 + 56,000 | 10,000 (1,000,000 1) |
| Supercapacitors | 30 | 13,000 | 1.2 | 240,000 | 1,000,000 |
| Case/Scenario | Load Factor (%) | EStB (%) | MKPI5 (%) | Peak and Peak Clipping (MW, %) |
|---|---|---|---|---|
| 1 | 11 | NA 1 | NA 1 | 14.35, NA 1 |
| 2 | 16.58 2 | NA 1 | NA 1 | 9.56, NA 1 |
| 3 | 9.72 | 19.35 | 27.19 | 14.35, 0 |
| 4 | 13.66 2 | 39.4 2 | 27.19 | 9.56, 0 |
| 3 + 5 | 18.72 2 | 39.4 2 | 27.09 | 8.47, 11.4 |
| Case/Scenario | Load Factor (%) | EStB (%) | MKPI5 (%) | Peak Clipping and Peak (%, MW) |
|---|---|---|---|---|
| 1-Individual | 2.65 | NA | NA | - |
| 2-Aggregated (considering delays) | 3.85 | NA | NA | - |
| 3-Regenerative individual | 2.59 | 1.83 | 32.71 | 0, 10.2 |
| 4-Regenerative Aggregated | 3.48 | 19.71 | 32.71 | 0, 7.06 |
| 4 + 5-Hybrid S-730 as DER (individual) | 3.48 | 1.83 | 32.71 | 0, 10.2 |
| 6-Off-board 20 kWh storage (individual) | 9.05 | 12.3 | 32.71 | 69.6, 3.1 |
| Case/Scenario | Load Factor (%) | EStB (%) | MKPI5 (%) | Peak Clipping and Peak (%, MW) |
|---|---|---|---|---|
| 1-Individual | 5.37 | NA 1 | NA 1 | NA 1, 7.73 |
| 2-Aggregated (considering delays) | 7.47 | NA 1 | NA 1 | NA 1, 5.56 |
| 3- Regenerative individual | 5.09 | 4.83 | 30.03 | 0, 7.73 |
| 4- Regenerative Aggregated | 6.91 | 10.53 | 30.03 | 0, 5.56 |
| 4 + 5 Hybrid S-730 as DER (individual) | 4.98 | 4.83 | 30.03 | 0, 7.73 |
| 6-Off-board 25 kWh storage (individual) | 13.85 | 15.9 | 30.03 | 59.9, 3.1 |
| Departures to Luzerne | Departures to St Gallen | Arrivals from Luzerne | |||
|---|---|---|---|---|---|
| Time | Train Type and Number | Time | Train Type and Number | Time | Train Type and Number |
| 7 h 04 | IR 70 | 7 h 09 | IR 13 | 6 h 56 | IR 70 |
| 7 h 35 | IR 75 | 7 h 33 | IC 1 | 7 h 25 | IR 75 |
| 8 h 04 | IR 70 | 7 h 39 | IC 5 | 7h 56 | IR 70 |
| 8 h 35 | IR 75 | 8 h 02 | IR 37 | 8 h 25 | IR 75 |
| 9 h 04 | IR 70 | 8 h 09 | IR 13 | 8 h 56 | IR 70 |
| 9 h 35 | IR 75 | 8 h 33 | IC 1 | 9 h 25 | IR 75 |
| Departures (Intercity and Regional) | Arrivals (Intercity and Regional) | ||||
|---|---|---|---|---|---|
| Time | Destination | Train Type and Train Number | Time | From | Train Type and Train Number |
| 18 h 10 | Valladolid | AVANT 08389 | 17 h 58 | Lugo | ALVIA 00552 |
| 18 h 18 | Albacete 1 | MD Regional 18042 | 18 h 07 | Barcelona | MD Regional 17501 |
| 18 h 26 | Gijon | ALVIA 11761 | 18 h 07 | Santander | ALVIA 04142 |
| 18 h 33 | Cartagena 1 | ALTARIA 00226 | 18 h 11 | Alicante | ALVIA 11781 |
| 18 h 40 | Valladolid | AVANT 08169 | 18 h 34 | Murcia1 | ALTARIA 11929 |
| 18 h 50 | Santiago | ALVIA 00351 | 18 h 50 | Valladolid | AVANT 08178 |
| 19 h 00 | Soria | MD Regional 17306 | 19 h 19 | Jaen | MD Regional 18035 |
© 2019 by the authors. Licensee MDPI, Basel, Switzerland. This article is an open access article distributed under the terms and conditions of the Creative Commons Attribution (CC BY) license (http://creativecommons.org/licenses/by/4.0/).
Share and Cite
García-Garre, A.; Gabaldón, A. Analysis, Evaluation and Simulation of Railway Diesel-Electric and Hybrid Units as Distributed Energy Resources. Appl. Sci. 2019, 9, 3605. https://doi.org/10.3390/app9173605
García-Garre A, Gabaldón A. Analysis, Evaluation and Simulation of Railway Diesel-Electric and Hybrid Units as Distributed Energy Resources. Applied Sciences. 2019; 9(17):3605. https://doi.org/10.3390/app9173605
Chicago/Turabian StyleGarcía-Garre, Ana, and Antonio Gabaldón. 2019. "Analysis, Evaluation and Simulation of Railway Diesel-Electric and Hybrid Units as Distributed Energy Resources" Applied Sciences 9, no. 17: 3605. https://doi.org/10.3390/app9173605
APA StyleGarcía-Garre, A., & Gabaldón, A. (2019). Analysis, Evaluation and Simulation of Railway Diesel-Electric and Hybrid Units as Distributed Energy Resources. Applied Sciences, 9(17), 3605. https://doi.org/10.3390/app9173605

