Performance Analysis and Parameter Optimization of the Optimal Fixed-Point Quantum Search
Abstract
1. Introduction
2. OFPQS Algorithm Revisited
3. Performance Analysis of the OFPQS Algorithm
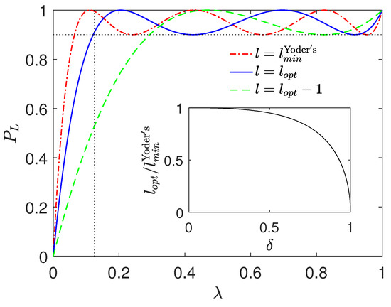
4. Optimization of Parameters of the OFPQS Algorithm
5. Discussion
5.1. Effects of and
5.2. Complexity of
6. Conclusions
Author Contributions
Funding
Conflicts of Interest
Abbreviations
| OFPQS | Optimal fixed-point quantum search |
Appendix A. Proof of the Extreme Properties of on
Appendix B. Proof of the Minimum of on of Equation (20)
Appendix C. Proof of the Optimal Parameter δ opt of Equation (24)
References
- Grover, L.K. A fast quantum mechanical algorithm for database search. In Proceedings of the Twenty-Eighth Annual ACM Symposium on Theory of Computing; ACM: Philadelphia, PA, USA, 1996; pp. 212–219. [Google Scholar]
- Grover, L.K. Quantum computers can search arbitrarily large databases by a single query. Phys. Rev. Lett. 1997, 79, 4709. [Google Scholar] [CrossRef]
- Bennett, C.H.; Bernstein, E.; Brassard, G.; Vazirani, U. Strengths and weaknesses of quantum computing. SIAM J. Comput. 1997, 26, 1510. [Google Scholar] [CrossRef]
- Boyer, M.; Brassard, G.; Høyer, P.; Tapp, A. Tight bounds on quantum searching. Fortschr. Phys. 1998, 46, 493. [Google Scholar] [CrossRef]
- Zalka, C. Grover’s quantum searching algorithm is optimal. Phys. Rev. A 1999, 60, 2746. [Google Scholar] [CrossRef]
- Grover, L.K.; Radhakrishnan, J. Is partial quantum search of a database any easier? In Proceedings of the Seventeenth Annual ACM Symposium on Parallelism in Algorithms and Architectures; ACM: Las Vegas, NV, USA, 2005; pp. 186–194. [Google Scholar]
- Brassard, G. Searching a quantum phone book. Science 1997, 275, 627. [Google Scholar] [CrossRef]
- Nielsen, M.A.; Chuang, I.L. Quantum Computation and Quantum Information, 2nd ed; Cambridge University Press: Cambridge, UK, 2010. [Google Scholar]
- Brassard, G.; Høyer, P. An exact quantum polynomial-time algorithm for Simon’s problem. In Proceedings of the Fifth Israel Symposium on the Theory of Computing Systems; IEEE Computer Society: Washington, DC, USA, 1997; pp. 12–23. [Google Scholar]
- Grover, L.K. Quantum computers can search rapidly by using almost any transformation. Phys. Rev. Lett. 1998, 80, 4329. [Google Scholar] [CrossRef]
- Brassard, G.; Høyer, P.; Tapp, A. Quantum counting. In International Colloquium on Automata, Languages, and Programming; Larsen, K.G., Skyum, S., Winskel, G., Eds.; Springer: Berlin, Germany, 1998; pp. 820–831. [Google Scholar]
- Brassard, G.; Høyer, P.; Mosca, M.; Tapp, A. Quantum amplitude amplification and estimation. In Quantum Computation and Information; Lomonaco, S.J., Jr., Brandt, H.E., Eds.; AMS: Providence, RI, USA, 2002; pp. 53–74. [Google Scholar]
- Long, G.L.; Li, Y.S.; Zhang, W.L.; Niu, L. Phase matching in quantum searching. Phys. Lett. A 1999, 262, 27. [Google Scholar] [CrossRef]
- Høyer, P. Arbitrary phases in quantum amplitude amplification. Phys. Rev. A 2000, 62, 052304. [Google Scholar] [CrossRef]
- Long, G.-L.; Li, X.; Sun, Y. Phase matching condition for quantum search with a generalized initial state. Phys. Lett. A 2002, 294, 143. [Google Scholar] [CrossRef]
- Li, P.; Li, S. Phase matching in Grover’s algorithm. Phys. Lett. A 2007, 366, 42. [Google Scholar] [CrossRef]
- Grover, L.K. Fixed-point quantum search. Phys. Rev. Lett. 2005, 95, 150501. [Google Scholar] [CrossRef] [PubMed]
- Chakraborty, S.; Radhakrishnan, J.; Raghunathan, N. Bounds for error reduction with few quantum queries. In Approximation, Randomization and Combinatorial Optimization. Algorithms and Techniques; Springer: Berlin, Germany, 2005; pp. 245–256. [Google Scholar]
- Tulsi, T.; Grover, L.K.; Patel, A. A new algorithm for fixed point quantum search. Quantum Inf. Comput. 2006, 6, 483. [Google Scholar]
- Yoder, T.J.; Low, G.H.; Chuang, I.L. Fixed-point quantum search with an optimal number of queries. Phys. Rev. Lett. 2014, 113, 210501. [Google Scholar] [CrossRef] [PubMed]
- Toyama, F.M.; van Dijk, W.; Nogami, Y.; Tabuchi, M.; Kimura, Y. Multiphase matching in the Grover algorithm. Phys. Rev. A 2008, 77, 042324. [Google Scholar] [CrossRef]
- Toyama, F.M.; Kasai, S.; van Dijk, W.; Nogami, Y. Matched-multiphase Grover algorithm for a small number of marked states. Phys. Rev. A 2009, 79, 014301. [Google Scholar] [CrossRef]
- Mason, J.; Handscomb, D. Chebyshev Polynomials; CRC Press: Boca Raton, FL, USA, 2002. [Google Scholar]
- Zwillinger, D. CRC Standard Mathematical Tables and Formulae; CRC Press: Boca Raton, FL, USA, 2011. [Google Scholar]




© 2019 by the authors. Licensee MDPI, Basel, Switzerland. This article is an open access article distributed under the terms and conditions of the Creative Commons Attribution (CC BY) license (http://creativecommons.org/licenses/by/4.0/).
Share and Cite
Bao, T.; Huang, D. Performance Analysis and Parameter Optimization of the Optimal Fixed-Point Quantum Search. Appl. Sci. 2019, 9, 3584. https://doi.org/10.3390/app9173584
Bao T, Huang D. Performance Analysis and Parameter Optimization of the Optimal Fixed-Point Quantum Search. Applied Sciences. 2019; 9(17):3584. https://doi.org/10.3390/app9173584
Chicago/Turabian StyleBao, Tianyi, and Duan Huang. 2019. "Performance Analysis and Parameter Optimization of the Optimal Fixed-Point Quantum Search" Applied Sciences 9, no. 17: 3584. https://doi.org/10.3390/app9173584
APA StyleBao, T., & Huang, D. (2019). Performance Analysis and Parameter Optimization of the Optimal Fixed-Point Quantum Search. Applied Sciences, 9(17), 3584. https://doi.org/10.3390/app9173584

